Astaxanthin Reduces Н2O2- and Doxorubicin-Induced Cardiotoxicity in H9c2 Cardiomyocyte Cells
- 作者: Krestinin R.R.1, Kobyakova M.I.1, Baburina Y.L.1, Sotnikova L.D.1, Krestinina O.V.1
-
隶属关系:
- Institute of Theoretical and Experimental Biophysics of the Russian Academy of Sciences
- 期: 卷 89, 编号 10 (2024)
- 页面: 1731-1743
- 栏目: Regular articles
- URL: https://journals.rcsi.science/0320-9725/article/view/280909
- DOI: https://doi.org/10.31857/S0320972524100084
- EDN: https://elibrary.ru/IPAQQW
- ID: 280909
如何引用文章
全文:
详细
Cardiovascular diseases are one of the most challenging problems in clinical practice. Astaxanthin (AST) is a keto-carotenoid (xanthophyll) mainly of marine origin, which is able to penetrate the cell membrane, localize in the mitochondria and prevent mitochondrial dysfunction. The present study examined the effect of astaxanthin on the death of H9c2 cardiomyocytes caused by the cytotoxic effect of hydrogen peroxide (H2O2) and doxorubicin. Using the methods of spectrophotometry, spectrofluorimetry, and Western blotting analysis, it was shown that treatment of cells with AST contributed to an increase in the number of H9c2 cells resistant to H2O2 and doxorubicin, while maintaining the value of their mitochondrial transmembrane potential, reducing the intracellular production of reactive oxygen species and an increase in the intracellular content of mitophagy markers PINK1, Parkin and prohibitin 2. The obtained results suggest that the use of AST may be a highly effective way to prevent and treat cardiovascular diseases.
全文:
Принятые сокращения: АСТ – астаксантин; АФК – активные формы кислорода; Докс – доксорубицин; PHB2 – прохибитин 2; PINK1 – PTEN-индуцированная предполагаемая киназа 1; ΔΨм – трансмембранный потенциал митохондрий.
ВВЕДЕНИЕ
Нарушение функций митохондрий может быть причиной возникновения различных заболеваний, в том числе сердечно-сосудистых [1]. Митохондриальная дисфункция может провоцировать развитие заболеваний, связанных с окислительным стрессом [2, 3]. Важной предпосылкой нормальной клеточной функции является поддержание структурной и функциональной целостности митохондрий, поскольку именно митохондрии играют ключевую роль в энергетическом обмене, а также в поддержании окислительно-восстановительного состояния клеток и регуляции апоптоза. Известно, что митохондрии являются основным источником активных форм кислорода (АФК), митохондриальная дисфункция приводит к окислительному стрессу [4]. Функционирование сердечной мышцы регулируется различными механизмами антиоксидантной защиты, однако при заболеваниях сердца антиоксидантная защита нарушается, а увеличение продукции АФК приводит к ее снижению [5, 6].
Процесс удаления (элиминация/деградация) митохондрий посредством селективной аутофагии, известной как митофагия, имеет решающее значение для поддержания правильной метаболической функции и контроля как на митохондриальном, так и на клеточном уровнях [7]. Существует путь PINK1/Parkin, который считается важной системой контроля качества, участвующей в избирательном удалении поврежденных митохондрий [8]. Parkin представляет собой цитозольную убиквитинлигазу E3, а PTEN-индуцированная предполагаемая киназа 1 (PINK1) представляет собой киназу внешней мембраны митохондрий. Накопление PINK1 в поврежденных митохондриях может дать сигнал Parkin для избирательной деградации митохондрий [9]. Кроме того, у млекопитающих было охарактеризовано несколько рецепторов митофагии, таких как FUNDC1 [10], NIX, взаимодействующий с Bcl-2/аденовирусом E1B (BNIP3, 19 кДа) во внешней митохондриальной мембране [11], прохибитин 2 (PHB2) во внутренней митохондриальной мембране [12] и другие.
Чтобы повысить защитную реакцию организма на окислительный стресс, необходимо применение препаратов, направленных на снижение митохондриальной дисфункции. Среди таких препаратов следует отметить астаксантин (3,3′-dihydroxy-β,β′-carotene-4,4′-dione, АСТ) – каротиноид ксантофилл, который считается мощным антиоксидантом, а благодаря своим противовоспалительным свойствам он может использоваться в качестве терапевтического средства при сердечно-сосудистых заболеваниях [13]. Song et al. [14] показали, что в результате изменения проницаемости митохондриальных мембран АСТ ингибировал высвобождение цитохрома с и, таким образом, предотвращал опосредованную митохондриями апоптотическую гибель клеток. На модели фиброза легких было обнаружено, что АСТ ингибировал H2O2- и блеомицин-индуцированный апоптоз альвеолярных эпителиальных клеток. Обработка АСТ защищала митохондриальные мембраны от структурных нарушений, вызванных H2O2 или блеомицином, при этом мембранный потенциал митохондрий (ΔΨм) повышался [14]. Сотрудники других лабораторий показали, что АСТ ингибировал выход цитохрома с и апоптоз в клетках кардиомиоцитов линии Н9с2 [15] и SH-SY5Y [16] за счет снижения уровня АФК и последующего образования продуктов окисления белков, а также за счет восстановления ΔΨм. Ранее мы изучили влияние хронического введения АСТ крысам в течение 14 дней перорально и показали, что АСТ улучшал параметры, характеризующие функциональное состояние митохондрий. Сердечная недостаточность была вызвана инъекцией изопротеренола, что представляет собой широко используемую в мировом научном сообществе модель, при которой достигается сердечная недостаточность [17–19]. AСT проявлял защитный эффект в митохондриях сердца, изолированных из крыс с инъекцией изопротеринола [16, 20–23], и поэтому мы предположили, что АСТ может рассматриваться как эффективный препарат для улучшения функционирования сердечной мышцы как в нормальных, так и в клинических условиях.
В настоящем исследовании было изучено влияние АСТ на жизнеспособность кардиомиоцитов линии Н9с2 при окислительном стрессе, который вызвали индукторами цитотоксичности, такими как пероксид водорода (H2O2) и доксорубицин (Докс). Известно, что достижение цитотоксичности в клетках при помощи H2O2 используется для генерации внутриклеточных АФК [24], а механизм патофизиологии кардиотоксичности, вызванной Докс, обусловлен повышенным окислительным стрессом, падением митохондриального мембранного потенциала и усилением апоптоза [25]. В этих условиях были исследованы изменения жизнеспособности клеток кардиомиоцитов, продукции АФК, ΔΨм, PHB2 и маркеров митофагии.
МАТЕРИАЛЫ И МЕТОДЫ
Культура клеток и условия культивирования. В работе использовали крысиные кардиомиоциты линии Н9с2, полученные из Американской коллекции типовых клеточных культур («ATCC», США). Клетки высевали в лунки 96-луночного культурального планшета («SPL Life Sciences Co., LTD», Южная Корея) в количестве 2,5 × 103 в 100 мкл питательной среды, состоящей из смеси питательных сред DMEM/F12 («Sigma-Aldrich», США) с добавлением 10% эмбриональной бычьей сыворотки («Gibco», США), содержащей 40 мкг/мл гентамицина сульфата («Sigma-Aldrich»), и культивировали 24 ч при 37 °C в атмосфере 5% CO2. Через 24 ч от момента посева клетки использовали для проведения экспериментов.
Тест на выживаемость (цитотоксический тест). Жизнеспособность клеток после инкубации с 5–20 мкМ АСТ («Macklin», Китай), 1–200 мкМ Н2О2 («Sigma-Aldrich») и 1–100 мкМ доксорубицина (Докс) («Sigma-Aldrich») определяли по отношению количества живых клеток в опытных и контрольных (без добавления ACT, Н2О2 или Докс) культурах через 24 ч после добавления ACT, Н2О2 или Докс. Количество живых клеток после инкубации с ACT, Н2О2 или Докс оценивали по интенсивности восстановления резазурина («Sigma-Aldrich») до резофурина. Для этого к клеткам добавляли резазурин (30 мкг/мл), инкубировали с красителем в течение 4 ч при 37 °С в атмосфере 5% СО2 в инкубаторе и измеряли интенсивность флуоресценции при длине волны возбуждения 532 нм и длине волны испускания 590 нм с использованием планшетного спектрофлуориметра Infinite F200 («Tecan», Швейцария). Данные представлены в процентах от контроля (необработанные клетки). Дополнительно для определения числа мертвых клеток после инкубации с ACT (5–20 мкМ), Н2О2 (6–100 мкМ) или Докс (6–100 мкМ) использовали коммерческий набор Cytotoxicity Detection Kit (LDH) («Roche Diagnostics GmbH», Германия), следуя рекомендациям производителя. Поглощение измеряли при длине волны 490 нм с использованием планшетного ридера iMARK («Bio-Rad», США). В качестве положительного контроля использовали клетки, обработанные 1%-ным Triton X-100 («Helicon», Россия). Данные представлены в процентах от контроля.
Анализ изменения митохондриального мембранного потенциала. Для анализа митохондриального потенциала использовали флуоресцентный зонд 3,3′-дигексилоксакарбоцианин йодид DiOC6(3) («Sigma-Aldrich») (Ex – 485 нм/Em – 530 нм). Для этого клетки окрашивали 10 нМ DiOC6(3) в течение 30 мин при 37 °С в атмосфере 5% СО2 в инкубаторе. По истечении 30 мин клетки однократно промывали в фосфатно-солевом буфере (PBS) («Sigma-Aldrich»). В качестве положительного контроля использовали клетки, обработанные 250 нМ валиномицина («Sigma-Aldrich») в течение 30 мин перед добавлением DiOC6(3). Интенсивность флуоресценции измеряли на планшетном спектрофлуориметре Infinite F200 PRO («Tecan») при длине волны возбуждения 485 нм и длине волны испускания 530 нм. Данные представлены в процентах от контроля (необработанные клетки).
Анализ внутриклеточной продукции активных форм кислорода. Внутриклеточную продукцию АФК оценивали с использованием флуоресцентного зонда 2′,7′-дихлордигидрофлуоресцеиндиацетата (DCFH-DA; «Sigma-Aldrich») (Ex – 485 нм/Em – 530 нм). Для этого клетки окрашивали 50 мкМ DCFH-DA в течение 30 мин при 37 °С в атмосфере 5% СО2 в инкубаторе. По истечении 30 мин клетки однократно промывали PBS. Интенсивность флуоресценции измеряли на планшетном спектрофлуориметре Infinite F200 PRO при длине волны возбуждения 485 нм и длине волны испускания 530 нм. Данные представлены в процентах от контроля (необработанные клетки).
Вестерн-блот-анализ. К клеткам добавляли выбранные количества АСТ (5 и 10 мкМ), Н2О2 (100 мкМ) и Докс (100 мкМ). Клетки дважды промывали ледяным PBS и центрифугировали при 1500 g в течение 3 мин при комнатной температуре. Полученный осадок солюбилизировали в лизирующем буфере (RIPA; «Servicebio», Китай) с добавлением ингибиторов протеиназ/фосфатаз. После инкубации в течение часа при 4 °C образцы центрифугировали при 13 000 g в течение 10 мин. Концентрацию белка измеряли по методу Брэдфорда в супернатантах [26]. Полученные образцы растворяли в буфере для образцов Лэммли («Bio-Rad»), нагревали до 95 °С в течение 5 мин. Полученные лизаты разделяли на отдельные белки с помощью 12,5%-ного SDS-PAGE, переносили из геля на нитроцеллюлозную мембрану (0,2 мкм; «Bio-Rad»), которую затем блокировали в растворе Roti-block («Carl Roth GmbH + Co.», Германия) при комнатной температуре в течение часа. Мембрану инкубировали с антителами к PINK1 (PTEN-induced kinase 1; «Cusabio», США), Parkin («Abclonal», Германия), РНВ2 («Cusabio»), как описано в инструкции. В качестве контроля белковой нагрузки использовали антитела к глицеральдегид-3-фосфатдегидрогеназе (GAPDH; «Cell Signaling», США). Белковые полосы детектировали с использованием системы обнаружения ECL (ChemiDoc Touch Imaging System; «Bio-Rad»).
Статистический анализ. Для статистического анализа мы использовали однофакторный дисперсионный анализ и соответствующий апостериорный анализ (Стьюдента–Ньюмена–Кеулса). Различия считали достоверными при p < 0,05.
РЕЗУЛЬТАТЫ ИССЛЕДОВАНИЯ
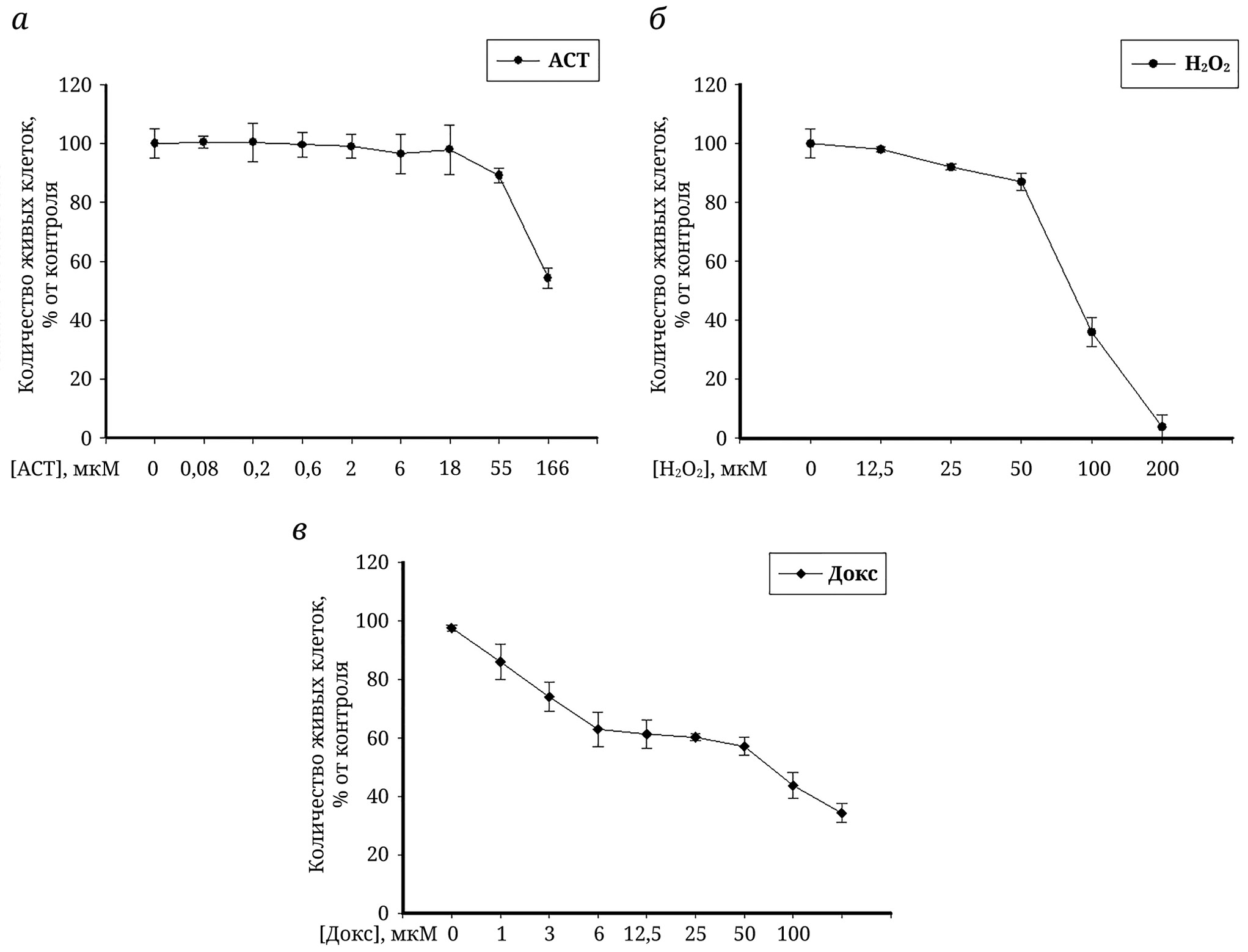
Исследование влияния различных концентраций АСТ, Н2О2 и Докс на выживаемость клеток Н9с2. Сначала был исследован эффект АСТ, Н2О2 и Докс на жизнеспособность клеток кардиомиоцитов Н9с2 (рис. 1). Для этого клетки высаживали в 96-луночный культуральный планшет (2,5 × 103 клеток на лунку) и инкубировали в течение 24 ч с добавлением различных концентраций АСТ (0–166 мкМ; рис. 1, а), Н2О2 (0–200 мкМ; рис. 1, б) и Докс (0–100 мкМ; рис. 1, в). Как видно из рис. 1, АСТ в ряду от 0 до 55 мкМ не оказывал влияния на жизнеспособность клеток, однако при 166 мкМ выживаемость клеток снижалась на 45%. При добавлении Н2О2 к клеткам Н9с2 их жизнеспособность снижалась при 50 мкМ на 13%, а при 100 мкМ – на 65%. В присутствии Докс в ряду 0 → 1 → 3 → 6 → 25 → 50 → 100 мкМ жизнеспособность клеток кардиомиоцитов снижалась на 14 → 26 → 38 → 39 → 43 → 57 → 66% соответственно.
Рис. 1. Жизнеспособность кардиомиоцитов линии Н9с2 после 24 ч инкубации с АСТ (а), Н2О2 (б) и Докс (в). Клетки высевали в 96-луночный планшет при плотности 2,5 × 103 клеток на лунку и обрабатывали указанными концентрациями АСТ (а), Н2О2 (б) и Докс (в) в Н9с2 в течение 24 ч. Данные представлены как среднее значение ± стандартное отклонение (SD) из десяти отдельных экспериментов
На следующем этапе мы исследовали защитное действие АСТ при его совместном действии с индукторами цитотоксичности, такими как Н2О2 и Докс (рис. 2). Следует отметить, что жизнеспособность клеток Н9с2 в выбранных условиях зависела не только от концентрации исследуемых препаратов, но и от времени прединкубации клеток с АСТ. Клетки в количестве 2,5 × 103 высевали в лунки 96-лучночного планшета, через 24 ч к клеткам добавляли АСТ (5, 10, 15 и 20 мкМ) и инкубировали еще в течение 1, 4 или 6 ч, затем добавляли индукторы цитотоксичности и через 24 ч измеряли жизнеспособность клеток. При инкубации с АСТ в течение 1 ч добавление Н2О2 в различных концентрациях не выявило защитного эффекта АСТ (рис. 2, а). При инкубации клеток с АСТ в течение 4 ч добавление Н2О2 в ряду 0 → 50 мкМ не изменяло жизнеспособность клеток.
Рис. 2. Зависимость жизнеспособности клеток кардиомиоцитов Н9с2 от концентрации АСТ, Н2О2, Докс и от времени инкубации с АСТ. Инкубация клеток с АСТ производилась в течение 1 (а, г), 4 (б, д) и 6 (в, е) часов. Количество живых клеток интактной культуры (контроль, без обработки препаратами) принималось за 100%. Данные представлены в виде среднего ± SD из шести отдельных экспериментов. Контроль представлял собой необработанные клетки
Несмотря на то что при воздействии Н2О2 (100 мкМ) жизнеспособность клеток значительно снижалась (65%), инкубирование клеток с 5 и 10 мкМ АСТ в течение 4 ч не отличалось от контроля. В этих условиях при совместном действии АСТ (15 мкМ) с Н2О2 (100 мкМ) жизнеспособность Н9с2 снижалась на 30%, а при 20 мкМ АСТ – на 50% по сравнению с контролем (рис. 2, б). На рис. 2, в показано изменение жизнеспособности клеток при различной концентрации Н9с2 после инкубации с АСТ в течение 6 ч. При инкубировании клеток с различными концентрациями АСТ добавление Н2О2 в ряду 0 → 50 мкМ не оказывало существенного влияния на жизнеспособность клеток. Однако при совместном действии АСТ (5, 10, 15 и 20 мкМ) с Н2О2 (100 мкМ) жизнеспособность снижалась на 10, 10, 25 и 50% соответственно. Добавление 200 мкМ Н2О2 к клеткам с АСТ, независимо от его концентрации, значительно снижало жизнеспособность клеток Н9с2 по сравнению с контролем. Однако при инкубации с АСТ (5 и 10 мкМ) добавление Н2О2 (200 мкМ) повышало выживаемость клеток почти на 30% по сравнению с эффектом одного Н2О2 (200 мкМ) как при 4 ч, так и при 6 ч инкубации с АСТ.
На рис. 2 (г, д, е) показано изменение жизнеспособности клеток кардиомиоцитов линии Н9с2 в присутствии различных концентраций АСТ и Докс при инкубации клеток с АСТ в течение 1, 4 и 6 ч.
На рис. 2, г и д видно, что при 1 и 4 ч инкубации с АСТ при различных концентрациях жизнеспособность клеток снижалась так же, как и в присутствии Докс. Жизнеспособность клеток при 6-часовой инкубации с АСТ (5 и 10 мкМ) и последующим добавлением 100 мкМ Докс снижалась на 35 и 40% по сравнению с контролем. Однако, по сравнению с действием одного Докс (100 мкМ), жизнеспособность клеток повышалась на 12% при АСТ (5 мкМ) + Докс (100 мкМ) и на 20% – при АСТ (10 мкМ) + Докс (100 мкМ). АСТ при концентрации 15 и 20 мкМ с Докс (100 мкМ) не отличались от действия одного Докс (100 мкМ).
Дополнительно мы исследовали цитотоксическое действие АСТ и его совместное действие с индукторами цитотоксичности в клетках Н9с2, чтобы определить число погибших клеток (рис. 3). На рис. 3, а показано изменение количества погибших клеток в присутствии различных концентраций АСТ. Из рис. 3 видно, что при концентрации АСТ в ряду 0,03 → 0,08 → 0,2 погибших клеток не наблюдалось, при 0,6 мкМ процент погибших клеток составлял менее 1%, тогда как в ряду 2 → 6 → 18 мкМ АСТ количество погибших клеток не превышало 2,5%. Однако при 55 мкМ АСТ количество погибших клеток возрастало почти до 10%, а при дальнейшем повышении концентрации до 166 мкМ – до 55%. На рис. 3, б показано изменение количества погибших клеток при совместном применении АСТ с Н2О2 после 4 ч инкубации с АСТ.
Рис. 3. Цитотоксическое действие АСТ и его совместное действие с Н2О2 и Докс в клетках кардиомиоцитов Н9с2. В качестве положительного контроля использовали клетки, обработанные 1%-ным Triton X-100, которые принимали за 100%. а – Число погибших клеток в присутствии различных концентраций АСТ; б – количество погибших клеток при совместном применении АСТ с Н2О2 после 4 ч инкубации с АСТ; в – количество погибших клеток при совместном применении АСТ с Докс после 6 ч инкубации с АСТ. Данные представлены как среднее ± стандартное отклонение (n = 8); * р < 0,05 – значимое изменение по сравнению с контролем (интактная культура); # p < 0,05 – значимое изменение по сравнению с соответствующими значениями Н2О2 или Докс
При повышении концентрации Н2О2 в ряду 25 → 50 → 100 мкМ количество погибших клеток увеличивалось до 10% → 15% → 64% соответственно. Следует отметить, что при совместном действии АСТ с 25 мкМ Н2О2 при повышении концентрации АСТ в ряду 5 → 10 → 15 → 20 мкМ количество погибших клеток снижалось в 4 → 10 → 2,5 → 1,4 раза, при 50 мкМ Н2О2 – в 4 → 5 → 3 раза соответственно. При совместном действии 50 мкМ Н2О2 с 20 мкМ АСТ снижения количества погибших клеток не наблюдалось. При совместном действии 100 мкМ Н2О2 с различными концентрациями АСТ количество погибших клеток снижалось в 5 → 8,3 → 1,8 → 1,13 раза соответственно.
На рис. 3, в показано изменение количества погибших клеток при совместном применении АСТ с Докс после 6 ч инкубации с АСТ. При повышении концентрации Докс в ряду 6 → 12,5 → 25 → 50 → 100 мкМ количество погибших клеток увеличивалось до 28% → 30% → 33% → 40% → 57% соответственно. При совместном действии АСТ с 6 мкМ Докс количество погибших клеток снижалось только при 5 и 10 мкМ АСТ на 24% и в 2,3 раза соответственно. При более высоких концентрациях АСТ количество погибших клеток повышалось. Подобные эффекты мы заметили и при более высоких концентрациях Докс. Интересно отметить, что АСТ (10 мкМ) способствовал снижению гибели клеток при всех совместно используемых концентрациях Докс.
Таким образом, защитный эффект АСТ был существенным при концентрации АСТ 5 и 10 мкМ с Н2О2 (100 мкМ) при инкубации клеток с АСТ в течение 4 ч, а с Докс (100 мкМ) – при инкубации клеток с АСТ в течение 6 ч.
Поскольку более существенный эффект был замечен при концентрации АСТ 5 и 10 мкМ, при исследовании изменения ΔΨм и АФК использовали эти концентрации.
Исследование влияния АСТ, Н2О2 и Докс на изменение ΔΨм и внутриклеточной продукции АФК в клетках Н9с2. Далее, было проанализировано изменение ΔΨм в наших экспериментальных условиях (рис. 4).
Рис. 4. Влияние АСТ, Н2О2 и Докс на изменение ΔΨм в клетках кардиомиоцитов Н9с2. Интенсивность флуоресценции интактных клеток использовали в качестве контроля (без обработки препаратами). а – Изменение интенсивности флуоресценции в присутствии АСТ (5 и 10 мкМ) и Н2О2; б – изменение интенсивности флуоресценции в присутствии АСТ (5 и 10 мкМ) и Докс. Валиномицин (250 нМ) использовался как положительный контроль. Данные представлены как среднее значение ± стандартное отклонение (n = 6); * p < 0,05 – значимое изменение по сравнению с соответствующим контролем (необработанные клетки); # р < 0,05 – значимое изменение по сравнению с Н2О2 или Докс
Как видно из рис. 4, а, добавление к клеткам Н2О2 (25 мкМ) не изменяло ΔΨм, в то время как Н2О2 (50 мкМ) снижало ΔΨм на 12%, а Н2О2 (100 мкМ) – на 25% по сравнению с контролем (необработанные клетки). АСТ при концентрации 5 и 10 мкМ не оказывал влияние на изменение ΔΨм по сравнению с контролем. Однако при добавлении Н2О2 (25 мкМ) к АСТ (10 мкМ) – обработанным клеткам – повышало ΔΨм на 13% по сравнению с Н2О2 (25 мкМ). При комбинированном действии Н2О2 (50 мкМ) с АСТ (5 мкМ) ΔΨм увеличивался на 16%, а при действии Н2О2 (50 мкМ) с АСТ (10 мкМ) – на 12% по сравнению с Н2О2 (50 мкМ). Добавление Н2О2 (100 мкМ) к АСТ (5 мкМ) – обработанным клеткам – повышало ΔΨм на 25%, а Н2О2 (100 мкМ) к АСТ (10 мкМ) – на 27% по сравнению с Н2О2 (100 мкМ). На рис. 4, б повышение концентрации Докс в ряду 25 → 50 → 100 мкМ снижало ΔΨм на 16,5, 27 и 37% соответственно. Обработка АСТ (5 и 10 мкМ) совместно с 25 мкМ Докс повышала ΔΨм на ~30 и 16% по сравнению с 25 мкМ индуктора (без АСТ), совместно с 50 мкМ Докс – на 33 и 23% по сравнению с 50 мкМ индуктора (без АСТ) и совместно с 100 мкМ Докс – на 38 и 22% по сравнению с 100 мкМ индуктора (без АСТ) соответственно. АСТ восстанавливал ΔΨм, несмотря на токсичное действие Н2О2 и Докс.
Далее, мы исследовали влияние АСТ на изменение продукции АФК при Н2О2- и Докс-индуцированной цитотоксичности в клетках кардиомиоцитов Н9с2 (рис. 5).
Рис. 5. Влияние АСТ, Н2О2 и Докс на изменение внутриклеточной продукции АФК в клетках кардиомиоцитов Н9с2. а – Изменение интенсивности флуоресценции в присутствии АСТ (5 и 10 мкМ) и Н2О2; б – изменение интенсивности флуоресценции в присутствии АСТ (5 и 10 мкМ) и Докс. Н2О2 (100 мкМ) использовали как положительный контроль. Данные представлены как среднее ± стандартное отклонение (n = 6); * p < 0,05 – значимое изменение по сравнению с контролем (необработанные клетки); # р < 0,05 – значимое изменение по сравнению с Н2О2 или Докс
Н2О2 (25 мкМ; рис. 5, а) и Докс (25 мкМ; рис. 5, б) повышали продукцию АФК на 34 и 50% соответственно по сравнению с контролем (необработанные клетки). Добавление АСТ (5 и 10 мкМ) в этих условиях снижало продукцию АФК на ~26% по сравнению с индукторами (Н2О2 или Докс) без АСТ. При повышении концентрации индукторов до 50 и 100 мкМ продукция АФК увеличивалась на ~50% и 80% для Н2О2 и в ~3 и 5 раз для Докс по сравнению с контролем (необработанные клетки). Обработка АСТ (5 и 10 мкМ) уменьшала продукцию АФК на ~35% (при 50 мкМ Н2О2 и Докс) по сравнению с 50 мкМ индукторами (без АСТ), и на 50% (100 мкМ Н2О2) и 40% (100 мкМ Докс) по сравнению с 100 мкМ индукторами (без АСТ). АСТ снижал продукцию АФК, тем самым защищая клетки от вредного воздействия АФК.
Исследование влияния АСТ, Н2О2 и Докс на изменение маркеров митофагии и прохибитина 2 в клетках Н9с2. Поскольку митофагия играет важную роль в «контроле качества» митохондрий и выживании клеток [7], мы исследовали изменение содержания маркеров митофагии, таких как PINK1, Parkin и PHB2, в наших экспериментальных условиях. На рис. 6 показаны вестерн-блоты, окрашенные соответствующими антителами к PINK1, Parkin и PHB2, и количественная характеристика денситометрического анализа. Из рис. 6 видно, что Н2О2 (100 мкМ) снижал содержание PINK1 (а) и Parkin (б) на 40 и 60% соответственно по сравнению с контролем. Аналогичный эффект наблюдался при действии Докс (100 мкМ): содержание PINK1 и Parkin снижалось на 50 и 20% соответственно по сравнению с контролем. АСТ (10 мкМ) не изменял уровень белков относительно контроля, однако при совместном действии с Н2О2 содержание PINK1 повышалось на 20%, а Parkin на 55% относительно эффекта Н2О2.
Рис. 6. Влияние АСТ (10 мкМ), Н2О2 и Докс на изменение содержание PINK1 (а), Parkin (б) и РНВ2 (в) в клетках кардиомиоцитов Н9с2. Верхняя часть – иммуноокрашивание антителами к PINK1 (а), Parkin (б) и РНВ2 (в); GAPDH использовали как контроль белковой нагрузки. Нижняя часть – диаграммы, количественно отражающие изменения содержания белков, нормированных на GAPDH. Уровень белка в клеточном лизате (без добавок) служил контролем (100%). Данные представлены как среднее ± стандартное отклонение (n = 4); * p < 0,05 – значимое изменение по сравнению с контролем; # р < 0,05 – значимое изменение по сравнению с Н2О2 или Докс
При комбинированном действии АСТ (10 мкМ) и Докс (100 мкМ) уровни PINK1 и Parkin не изменялись по сравнению с контролем и повышались относительно действия Докс (100 мкМ) на 30 и 20% соответственно. PHB2 считается одним из рецепторов митофагии [12]. Ранее мы предположили, что снижение экспрессии PHB2 в митохондриях сердца и мозга крыс может приводить к нарушению митофагии [27, 28]. В настоящем исследовании мы проанализировали изменение содержания PHB2 в наших экспериментальных условиях (рис. 6, в). Содержание РНВ2 в клетках, инкубированных с АСТ 4 и 6 ч не отличалось от контроля. Добавление Н2О2 и Докс снижало уровень РНВ2 на 50 и 60% соответственно по сравнению с контролем. При совместном использовании Н2О2 и Докс с АСТ содержание РНВ2 не отличалось от контроля, но повышалось на 40 и 45% соответственно по сравнению с применением Н2О2 и Докс без АСТ.
ОБСУЖДЕНИЕ РЕЗУЛЬТАТОВ
Окислительный стресс является основной причиной различных заболеваний человека, таких как метаболические синдромы, нейродегенеративные, сердечно-сосудистые, воспалительные заболевания, а также возрастные заболевания. Митохондриальная дисфункция может быть вовлечена в развитие заболеваний, связанных с окислительным стрессом [2, 3, 12]. Поддержание структурной и функциональной целостности митохондрий необходимо для нормальной клеточной функции, поскольку митохондрии играют ключевую роль в энергетическом обмене, а также в поддержании окислительно-восстановительного состояния клеток и регуляции апоптоза. Митохондрии являются основным источником АФК, их дисфункция вызывает окислительный стресс, который приводит клетки в болезненное состояние [4]. В сердце существуют различные механизмы антиоксидантной защиты, однако при увеличении продукции АФК антиоксидантная способность подавляется [5, 6]. Так называемые диетические антиоксиданты способны снижать окислительный стресс, усиливая при этом антиоксидантную систему и, как следствие, защищать от развития сердечно-сосудистых заболеваний [29, 30]. Наибольший интерес для исследований представляет каротиноид астаксантин, который получают из природных источников в виде эфира жирных кислот или конъюгата белков пищевых продуктов [4]. Было показано, что на модели воспалительной преэклампсии in vitro АСТ снижал продукцию АФК и повышал ΔΨм. Кроме того, АСТ предотвращал нарушение развития бластоцисты, вызванное тепловым стрессом, за счет увеличения ΔΨм [31]. Ранее мы показали, что АСТ предотвращал митохондриальную дисфункцию, вызванную изопротеренолом и улучшал функциональное состояние митохондрий сердца и мозга крыс [21–23, 32, 33]. В настоящем исследовании здоровые клетки кардиомиоцитов линии Н9с2 подвергались цитотоксическому влиянию препаратов, таких как Н2О2 и доксорубицин, снижая жизнеспособность клеток. Добавление АСТ приводило к повышению жизнеспособности клеток, причем этот эффект зависел не только от концентрации АСТ, которые были достаточно низкими (5 и 10 мкМ), но и от времени инкубации АСТ с клетками (4-часовая с последующим добавлением Н2О2 и 6-часовая с последующим добавлением Докс). Аналогичные эффекты АСТ наблюдались с другим индуктором цитотоксичности, гомоцистеином, в клетках кардиомиоцитов линии Н9с2 [15]. Антиоксидантное защитное действие АСТ было более существенным при низких концентрациях, тогда как высокая концентрация, вероятно, привела бы к противоположному прооксидантному эффекту. Это свойство астаксантина малоизучено.
Известно, что АСТ проявляет противораковые, противовоспалительные, противодиабетические, иммуномодулирующие и нейропротекторные действия, основанные на его антиоксидантной активности [34]. Общепринято, что изменение проницаемости митохондриальной мембраны сопровождается падением митохондриального мембранного потенциала и повышением продукции АФК, что в конечном итоге может привести к гибели клетки. Мы наблюдали, что падение ΔΨм и повышение внутриклеточной продукции АФК в присутствии Н2О2 и Докс снижало жизнеспособность клеток кардиомиоцитов Н9с2, однако при инкубации клеток с АСТ в этих условиях ΔΨм восстанавливался, а внутриклеточная продукция АФК снижалась, что способствовало повышению жизнеспособности клеток.
Индукция митофагии, митохондриальная динамика (деление и слияние), модулирование молекулярных механизмов митофагии, направленные на отдельные компоненты клетки, а также взаимодействие с другими способами аутофагии и митохондриальный биогенез образуют сложную взаимодействующую сеть, которая управляет деградацией митохондрий посредством митофагии и, таким образом, воздействует на митохондриальную функцию и клеточную целостность [35]. Одним из важных путей, вовлеченных в регуляцию митофагии, является путь PINK1/Parkin. Известно, что при высоком ΔΨм PINK1 импортируется в митохондриальный матрикс [36], где расщепляется митохондриальной процессинговой протеиназой (MPP) и пресенилин-ассоциированным ромбовидным белком (PARL) [37]. PINK1 способствует рекрутированию Parkin из цитозоля во внешнюю мембрану в поврежденные митохондрии с целью их удаления [38]. Исследования Billia et al. [39] показали, что нарушение PINK1/Parkin-опосредованной митофагии имеет негативные последствия для сердца. Дефицит PINK1 у мышей приводил к дисфункции сердечных митохондрий и усилению окислительного стресса. В настоящем исследовании при Н2О2- и Докс-индуцированной цитотоксичности содержание маркеров митофагии снижалось, что могло приводить к снижению жизнеспособности клеток в этих условиях. Накопление поврежденных митохондрий в клетках приводило к окислительному стрессу. Обработка клеток АСТ предотвращала падение мембранного потенциала и снижала внутриклеточную продукцию АФК, повышала уровни маркеров и в конечном итоге жизнеспособность клеток кардиомиоцитов повышалась.
Как было сказано выше, белок PHB2 является важным белком, принимающим участие в функционировании клеток и в митофагии [12]. Кроме того, считается, что PHB2 способствует рекрутированию Parkin в митохондрии [40], однако снижение его содержания в митохондриях может приводить к активации PARL, которая расщепляет PINK1. Дестабилизированный PINK1 блокирует рекрутирование Parkin в митохондрии [40]. В настоящем исследовании в присутствии Н2О2 и Докс содержание PHB2 снижалось, что могло приводить к нарушению PINK1/Parkin-зависимого пути митофагии и накоплению дисфункциональных митохондрий. АСТ повышал уровни PHB2 и маркеров митофагии почти до контрольных значений, что повышало жизнеспособность клеток.
ЗАКЛЮЧЕНИЕ
В результате воздействия на клетку различных препаратов функционирование митохондрий в клетке может улучшаться, увеличивая при этом количество здоровых митохондрий, что может быть многообещающим подходом для устранения различных патологических состояний. В настоящем исследовании было изучено влияние АСТ на жизнеспособность клеток кардиомиоцитов линии Н9с2 в присутствии индукторов цитотоксичности Н2О2 и Докс. Снижение ΔΨм и повышение продукции АФК при инкубации клеток с Н2О2 и Докс предполагает накопление дисфункциональных митохондрий, при этом снижение содержания РНВ2 и маркеров митофагии не приводит к их удалению и снижает жизнеспособность клеток кардиомиоцитов. Добавление АСТ к клеткам повышало ΔΨм и уменьшало продукцию АФК, несмотря на присутствие Н2О2 и Докс. Увеличение уровней РНВ2, PINK1 и Parkin в этих условиях, вероятно, способствовало восстановлению процесса митофагии, что могло привести к удалению дисфункциональных митохондрий и повышению жизнеспособности клеток кардиомиоцитов. Исходя из вышеизложенного и результатов, полученных нами ранее на животной модели, можно заключить, что АСТ можно рассматривать как препарат, применяемый в качестве профилактики сердечно-сосудистых заболеваний.
Вклад авторов. О.В. Крестинина – концепция и руководство работой; Р.Р. Крестинин, М.И. Кобякова, Ю.Л. Бабурина, Л.Д. Сотникова – проведение экспериментов; О.В. Крестинина, Р.Р. Крестинин – обсуждение результатов исследования; Р.Р. Крестинин, М.И. Кобякова Ю.Л. Бабурина – написание текста; О.В. Крестинина – редактирование текста статьи.
Финансирование. Работа выполнена при финансовой поддержке Российского научного фонда (грант № 24-25-00129).
Благодарности. В работе использовали оборудование центра коллективного пользования ИТЭБ РАН.
Конфликт интересов. Авторы заявляют об отсутствии конфликта интересов.
Соблюдение этических норм. Настоящая статья не содержит описания каких-либо исследований с участием людей или животных в качестве объектов.
作者简介
R. Krestinin
Institute of Theoretical and Experimental Biophysics of the Russian Academy of Sciences
编辑信件的主要联系方式.
Email: ovkres@mail.ru
卢旺达, 142290, Pushchino, Moscow Region
M. Kobyakova
Institute of Theoretical and Experimental Biophysics of the Russian Academy of Sciences
Email: ovkres@mail.ru
俄罗斯联邦, 142290, Pushchino, Moscow Region
Yu. Baburina
Institute of Theoretical and Experimental Biophysics of the Russian Academy of Sciences
Email: ovkres@mail.ru
俄罗斯联邦, 142290, Pushchino, Moscow Region
L. Sotnikova
Institute of Theoretical and Experimental Biophysics of the Russian Academy of Sciences
Email: ovkres@mail.ru
俄罗斯联邦, 142290, Pushchino, Moscow Region
O. Krestinina
Institute of Theoretical and Experimental Biophysics of the Russian Academy of Sciences
Email: ovkres@mail.ru
俄罗斯联邦, 142290, Pushchino, Moscow Region
参考
- Peoples, J. N., Saraf, A., Ghazal, N., Pham, T. T., and Kwong, J. Q. (2019) Mitochondrial dysfunction and oxidative stress in heart disease, Exp. Mol. Med., 51, 1-13, https://doi.org/10.1038/s12276-019-0355-7.
- Bullon, P., Newman, H. N., and Battino, M. (2014) Obesity, diabetes mellitus, atherosclerosis and chronic periodontitis: a shared pathology via oxidative stress and mitochondrial dysfunction? Periodontol. 2000, 64, 139-153, https://doi.org/10.1111/j.1600-0757.2012.00455.x.
- Hernandez-Aguilera, A., Rull, A., Rodriguez-Gallego, E., Riera-Borrull, M., Luciano-Mateo, F., Camps, J., Menendez, J. A., and Joven, J. (2013) Mitochondrial dysfunction: a basic mechanism in inflammation-related non-communicable diseases and therapeutic opportunities, Mediators Inflamm., 2013, 135698, https://doi.org/10.1155/ 2013/135698.
- Kim, S. H., and Kim, H. (2018) Inhibitory effect of astaxanthin on oxidative stress-induced mitochondrial dysfunction-a mini-review, Nutrients, 10, https://doi.org/10.3390/nu10091137.
- Griffiths, E. J. (2012) Mitochondria and heart disease, Adv. Exp. Med. Biol., 942, 249-267, https://doi.org/10.1007/ 978-94-007-2869-1_11.
- Tsutsui, H., Kinugawa, S., and Matsushima, S. (2008) Oxidative stress and mitochondrial DNA damage in heart failure, Circ. J., 72 Suppl A, A31-A37, https://doi.org/10.1253/circj.cj-08-0014.
- Li, W., He, P., Huang, Y., Li, Y. F., Lu, J., Li, M., Kurihara, H., Luo, Z., Meng, T., Onishi, M., Ma, C., Jiang, L., Hu, Y., Gong, Q., Zhu, D., Xu, Y., Liu, R., Liu, L., Yi, C., Zhu, Y., Ma, N., Okamoto, K., Xie, Z., Liu, J., He, R.-R., and Feng, D. (2021) Selective autophagy of intracellular organelles: recent research advances, Theranostics, 11, 222-256, https://doi.org/10.7150/thno.49860.
- Ashrafi, G., and Schwarz, T. L. (2013) The pathways of mitophagy for quality control and clearance of mitochondria, Cell Death Differ., 20, 31-42, https://doi.org/10.1038/cdd.2012.81.
- Vives-Bauza, C., Zhou, C., Huang, Y., Cui, M., de Vries, R. L., Kim, J., May, J., Tocilescu, M. A., Liu, W., Ko, H. S., Magrane, J., Moore, D. J., Dawson, V. L., Grailhe, R., Dawson, T. M., Li, C., Tieu, K., and Przedborski, S. (2010) PINK1-dependent recruitment of Parkin to mitochondria in mitophagy, Proc. Natl. Acad. Sci. USA, 107, 378-383, https://doi.org/10.1073/pnas.0911187107.
- Chen, M., Chen, Z., Wang, Y., Tan, Z., Zhu, C., Li, Y., Han, Z., Chen, L., Gao, R., Liu, L., and Chen, Q. (2016) Mitophagy receptor FUNDC1 regulates mitochondrial dynamics and mitophagy, Autophagy, 12, 689-702, https://doi.org/10.1080/15548627.2016.1151580.
- Zhu, Y., Massen, S., Terenzio, M., Lang, V., Chen-Lindner, S., Eils, R., Novak, I., Dikic, I., Hamacher-Brady, A., and Brady, N. R. (2013) Modulation of serines 17 and 24 in the LC3-interacting region of Bnip3 determines pro-survival mitophagy versus apoptosis, J. Biol. Chem., 288, 1099-1113, https://doi.org/10.1074/jbc. M112.399345.
- Wei, Y., Chiang, W. C., Sumpter, R., Jr., Mishra, P., and Levine, B. (2017) Prohibitin 2 is an inner mitochondrial membrane mitophagy receptor, Cell, 168, 224-238.e210, https://doi.org/10.1016/j.cell.2016.11.042.
- Fassett, R. G., and Coombes, J. S. (2011) Astaxanthin: a potential therapeutic agent in cardiovascular disease, Mar. Drugs, 9, 447-465, https://doi.org/10.3390/md9030447.
- Song, X., Wang, B., Lin, S., Jing, L., Mao, C., Xu, P., Lv, C., Liu, W., and Zuo, J. (2014) Astaxanthin inhibits apoptosis in alveolar epithelial cells type II in vivo and in vitro through the ROS-dependent mitochondrial signalling pathway, J. Cell Mol. Med., 18, 2198-2212, https://doi.org/10.1111/jcmm.12347.
- Fan, C. D., Sun, J. Y., Fu, X. T., Hou, Y. J., Li, Y., Yang, M. F., Fu, X. Y., and Sun, B. L. (2017) Astaxanthin attenuates homocysteine-induced cardiotoxicity in vitro and in vivo by inhibiting mitochondrial dysfunction and oxidative damage, Front. Physiol., 8, 1041, https://doi.org/10.3389/fphys.2017.01041.
- Liu, X., Shibata, T., Hisaka, S., and Osawa, T. (2009) Astaxanthin inhibits reactive oxygen species-mediated cellular toxicity in dopaminergic SH-SY5Y cells via mitochondria-targeted protective mechanism, Brain Res., 1254, 18-27, https://doi.org/10.1016/j.brainres.2008.11.076.
- Akila, P., Asaikumar, L., and Vennila, L. (2017) Chlorogenic acid ameliorates isoproterenol-induced myocardial injury in rats by stabilizing mitochondrial and lysosomal enzymes, Biomed. Pharmacother., 85, 582-591, https://doi.org/10.1016/j.biopha.2016.11.067.
- Feng, W., and Li, W. (2010) The study of ISO induced heart failure rat model, Exp. Mol. Pathol., 88, 299-304, https://doi.org/10.1016/j.yexmp.2009.10.011.
- Odinokova, I., Baburina, Y., Kruglov, A., Fadeeva, I., Zvyagina, A., Sotnikova, L., Akatov, V., and Krestinina, O. (2018) Effect of melatonin on rat heart mitochondria in acute heart failure in aged rats, Int. J. Mol. Sci., 19, https://doi.org/10.3390/ijms19061555.
- Baburina, Y., Krestinin, R., Odinokova, I., Sotnikova, L., Kruglov, A., and Krestinina, O. (2019) Astaxanthin inhibits mitochondrial permeability transition pore opening in rat heart mitochondria, Antioxidants (Basel), 8, https://doi.org/10.3390/antiox8120576.
- Krestinin, R., Baburina, Y., Odinokova, I., Kruglov, A., Fadeeva, I., Zvyagina, A., Sotnikova, L., and Krestinina, O. (2020) Isoproterenol-induced permeability transition pore-related dysfunction of heart mitochondria is attenuated by astaxanthin, Biomedicines, 8, 437, https://doi.org/10.3390/biomedicines8100437.
- Krestinina, O., Baburina, Y., and Krestinin, R. (2021) Mitochondrion as a target of astaxanthin therapy in heart failure, Int. J. Mol. Sci., 22, https://doi.org/10.3390/ijms22157964.
- Krestinina, O., Baburina, Y., Krestinin, R., Odinokova, I., Fadeeva, I., and Sotnikova, L. (2020) Astaxanthin prevents mitochondrial impairment induced by isoproterenol in isolated rat heart mitochondria, Antioxidants (Basel), 9, 262, https://doi.org/10.3390/antiox9030262.
- Kim, D. E., Kim, B., Shin, H. S., Kwon, H. J., and Park, E. S. (2014) The protective effect of hispidin against hydrogen peroxide-induced apoptosis in H9c2 cardiomyoblast cells through Akt/GSK-3beta and ERK1/2 signaling pathway, Exp. Cell Res., 327, 264-275, https://doi.org/10.1016/j.yexcr.2014.07.037.
- Carvalho, C., Santos, R. X., Cardoso, S., Correia, S., Oliveira, P. J., Santos, M. S., and Moreira, P. I. (2009) Doxorubicin: the good, the bad and the ugly effect, Curr. Med. Chem., 16, 3267-3285, https://doi.org/10.2174/ 092986709788803312.
- Kruger, N. J. (1994) The Bradford method for protein quantitation, Methods Mol. Biol., 32, 9-15, https:// doi.org/10.1385/0-89603-268-X:9.
- Baburina, Y., Krestinin, R., Fedorov, D., Odinokova, I., Pershina, E., Sotnikova, L., and Krestinina, O. (2022) The improvement of functional state of brain mitochondria with astaxanthin in rats after heart failure, Int. J. Mol. Sci., 24, https://doi.org/10.3390/ijms24010031.
- Крестинин Р. Р., Бабурина Ю. Л., Одинокова И. В., Сотникова Л. Д., Крестинина О. В. (2024) Астаксантин предотвращает дисрегуляцию митохондриальной динамики в митохондриях мозга крыс, индуцированную изопротеренолом, Биофизика, 69, 90-102.
- Carpenter, K. L., Kirkpatrick, P. J., Weissberg, P. L., Challis, I. R., Dennis, I. F., Freeman, M. A., and Mitchinson, M. J. (2003) Oral alpha-tocopherol supplementation inhibits lipid oxidation in established human atherosclerotic lesions, Free Radic Res., 37, 1235-1244, https://doi.org/10.1080/10715760310001604143.
- Ellingsen, I., Seljeflot, I., Arnesen, H., and Tonstad, S. (2009) Vitamin C consumption is associated with less progression in carotid intima media thickness in elderly men: a 3-year intervention study, Nutr. Metab. Cardiovasc. Dis., 19, 8-14, https://doi.org/10.1016/j.numecd.2008.01.006.
- Xuan, R. R., Niu, T. T., and Chen, H. M. (2016) Astaxanthin blocks preeclampsia progression by suppressing oxidative stress and inflammation, Mol. Med. Rep., 14, 2697-2704, https://doi.org/10.3892/mmr. 2016.5569.
- Krestinin, R., Baburina, Y., Odinokova, I., Kruglov, A., Sotnikova, L., and Krestinina, O. (2023) The effect of astaxanthin on mitochondrial dynamics in rat heart mitochondria under iso-induced injury, Antioxidants (Basel), 12, https://doi.org/10.3390/antiox12061247.
- Krestinina, O., Odinokova, I., Sotnikova, L., Krestinin, R., Zvyagina, A., and Baburina, Y. (2022) Astaxanthin is able to prevent alcohol-induced dysfunction of liver mitochondria, Antioxidants (Basel), 11, 2019, https:// doi.org/10.3390/antiox11102019.
- Abdelzaher, L. A., Imaizumi, T., Suzuki, T., Tomita, K., Takashina, M., and Hattori, Y. (2016) Astaxanthin alleviates oxidative stress insults-related derangements in human vascular endothelial cells exposed to glucose fluctuations, Life Sci., 150, 24-31, https://doi.org/10.1016/j.lfs.2016.02.087.
- Mijaljica, D., Prescott, M., and Devenish, R. (2014) Mitophagy: An Overview, in Autophagy: Cancer, Other Pathologies, Inflammation, Immunity, Infection, and Aging, Academic Press, pp. 103-116.
- Lazarou, M., Jin, S. M., Kane, L. A., and Youle, R. J. (2012) Role of PINK1 binding to the TOM complex and alternate intracellular membranes in recruitment and activation of the E3 ligase Parkin, Dev. Cell, 22, 320-333, https://doi.org/10.1016/j.devcel.2011.12.014.
- Jin, S. M., Lazarou, M., Wang, C., Kane, L. A., Narendra, D. P., and Youle, R. J. (2010) Mitochondrial membrane potential regulates PINK1 import and proteolytic destabilization by PARL, J. Cell Biol., 191, 933-942, https:// doi.org/10.1083/jcb.201008084.
- Narendra, D., Tanaka, A., Suen, D. F., and Youle, R. J. (2008) Parkin is recruited selectively to impaired mitochondria and promotes their autophagy, J. Cell Biol., 183, 795-803, https://doi.org/10.1083/jcb.200809125.
- Billia, F., Hauck, L., Konecny, F., Rao, V., Shen, J., and Mak, T. W. (2011) PTEN-inducible kinase 1 (PINK1)/Park6 is indispensable for normal heart function, Proc. Natl. Acad. Sci. USA, 108, 9572-9577, https://doi.org/10.1073/pnas.1106291108.
- Yan, C., Gong, L., Chen, L., Xu, M., Abou-Hamdan, H., Tang, M., Desaubry, L., and Song, Z. (2020) PHB2 (prohibitin 2) promotes PINK1-PRKN/Parkin-dependent mitophagy by the PARL-PGAM5-PINK1 axis, Autophagy, 16, 419-434, https://doi.org/10.1080/15548627.2019.1628520.
补充文件








