Combined Administration of Metformin and Amprolium to Rats Affects Metabolism of Free Amino Acids in the Brain, Altering Behavior, and Heart Rate
- Authors: Graf A.V.1, Artiukhov A.V.1,2, Solovyeva O.N.1, Ksenofontov A.L.1, Bunik V.I.1,2
-
Affiliations:
- Lomonosov Moscow State University
- Sechenov Medical University
- Issue: Vol 89, No 10 (2024)
- Pages: 1609-1629
- Section: Articles
- URL: https://journals.rcsi.science/0320-9725/article/view/280875
- DOI: https://doi.org/10.31857/S0320972524100017
- EDN: https://elibrary.ru/IQKVWY
- ID: 280875
Cite item
Full Text
Abstract
The risk of developing diabetes and cardiometabolic disorders is associated with increased levels of alpha-aminoadipic acid and disturbances in the metabolism of branched-chain amino acids. The side effects of the widely used antidiabetic drug metformin include impaired degradation of branched-chain amino acids and inhibition of intracellular thiamin transport. These effects may be interconnected, as thiamine deficiency impairs the functioning of thiamine diphosphate (ThDP)-dependent dehydrogenases of 2-oxo acids involved in amino acids degradation, while diabetes is often associated with perturbed thiamine status. In this work, we investigate the action of metformin in rats with impaired thiamine availability. The reduction in the thiamine influx is induced by simultaneous administration of the thiamine transporters inhibitors metformin and amprolium. After 24 days of combined metformin/amprolium administration, no significant changes in the total brain levels of ThDP or activities of ThDP-dependent enzymes of central metabolism are observed, but the affinities of transketolase and 2-oxoglutarate dehydrogenase to ThDP increase. The treatment also significantly elevates the brain levels of free amino acids and ammonia, reduces the antioxidant defense, and alters the sympathetic/parasympathetic regulation, which is evident from changes in the ECG and behavioral parameters. Strong positive correlations between brain ThDP levels and contents of ammonia, glutathione disulfide, alpha-aminoadipate, glycine, citrulline, and ethanolamine are observed in the metformin/amprolium-treated rats, but not in the control animals. Analysis of the obtained data points to a switch in the metabolic impact of ThDP from the antioxidant and nitrogen-sparing in the control rats to the pro-oxidant and hyperammonemic in the metformin/amprolium-treated rats. As a result, metformin administration along with the amprolium-reduced thiamine supply significantly perturb the metabolism of amino acids in the rat brain, altering behavioral and ECG parameters.
Full Text
Принятые сокращения: ОГДК – 2-оксоглутаратдегидрогеназный комплекс; ПДК – пируватдегидрогеназный комплекс; ТДФ – тиаминдифосфат; ТКТ – транскетолаза; ФЭА – фосфоэтаноламин; BCAA – аминокислоты с разветвлённой цепью; GSH – глутатион; GSSG – окисленный глутатион.
ВВЕДЕНИЕ
Давно известно, что ожирение и инсулинорезистентность сопровождаются нарушениями метаболизма аминокислот и изменением их уровней в крови [1, 2]. В частности, диабет связан с повышенным содержанием α-аминоадипата в плазме крови [3]. Известно также, что терапевтический потенциал противодиабетического препарата метформина может быть увеличен путём преодоления вызываемых метформином нарушений деградации аминокислот с разветвлённой цепью (BCAA), опосредованных AMP-активируемой протеинкиназой (AMPK) [4, 5]. Аминокислоты деградируют через митохондриальный цикл трикарбоновых кислот (ЦТК), в основном в результате их трансаминирования в пируват, 2-оксоглутарат или 2-оксокислоты с разветвлённой цепью, подвергающиеся дальнейшему окислению соответствующими тиаминдифосфат (ТДФ)-зависимыми комплексами дегидрогеназ 2-оксокислот. Недостаточность окисления глюкозы обычно вызывает усиление деградации аминокислот в качестве альтернативного источника энергии.
ТДФ является дифосфорилированным производным тиамина (витамина B1). Поскольку в качестве кофермента ТДФ участвует в путях деградации аминокислот, дефицит тиамина нарушает метаболизм аминокислот. В частности, известно, что блокада биосинтеза ТДФ и, следовательно, нарушение катализа ТДФ-зависимыми ферментами вызывают изменения содержания ряда аминокислот в мозге экспериментальных животных [6, 7]. С другой стороны, улучшение метаболизма мозга в результате введения тиамина сопровождается снижением окисления аминокислот [8].
Хотя долгое время считалось, что дефицит тиамина больше не является проблемой в развитых странах, растёт число случаев, когда патогенез нейродегенеративных расстройств связан с нарушением тиаминового статуса пациента [9]. Употребление тиамина не рекомендуется производить одновременно с приёмом противодиабетического препарата метформина, поскольку тиамин и метформин конкурируют за одни и те же клеточные транспортеры. В связи с этим рекомендации учитывают, что тиамин может снижать фармакологический эффект метформина. Однако возможность противоположного эффекта, то есть снижения внутриклеточного содержания тиамина в результате конкуренции метформина и тиамина за одни и те же переносчики, при назначении метформина рассматривается на удивление редко. Это ещё более поразительно ввиду неоднократно наблюдаемого нарушения тиаминового статуса у пациентов с сахарным диабетом второго типа, свидетельствующего об уменьшении кишечного всасывания и/или внутриклеточного транспорта тиамина [10]. Несмотря на эти факты, насколько нам известно, связь между дефицитом тиамина и приёмом метформина не изучалась. Существование такой связи подтверждается рядом клинических наблюдений. Так, лактатный ацидоз является как известным эффектом тиаминового дефицита, так и распространённым побочным эффектом метформиновой терапии. Некоторые исследования клинических случаев продемонстрировали, что тиамин устраняет вызванный метформином лактатный ацидоз [11, 12]. Известно также, что дефицит тиамина ухудшает окисление 2-оксокислот с разветвлённой цепью [6], что может лежать в основе нарушения деградации BCAA метформином [4]. Однако, подобно лактатному ацидозу, связь этого побочного эффекта метформина с другим его побочным эффектом – блокированием транспорта тиамина – не анализировалась.
В данной работе мы изучали эффекты хронического введения метформина крысам, тиаминовый статус которых одновременно нарушался введением ампролиума. Ампролиум является кокцидиостатиком, используемым в птицеводстве. Он блокирует всасывание тиамина в кишечнике, а также замедляет его транспорт через гематоэнцефалический барьер и внутрь клеток [13–15]. Благодаря этим свойствам данный препарат также используется в фундаментальных исследованиях для создания животных моделей дефицита тиамина [16]. Введение ампролиума может вызывать тиамин-чувствительный цереброкортикальный некроз и полиоэнцефаломаляцию у сельскохозяйственных и домашних животных [17–21], тем самым ставя под сомнение безопасность использования животных, обработанных ампролиумом, для пищевого потребления [22]. Хроническое введение ампролиума мышам вызывает поведенческие изменения наряду с нарушением клеточных процессов [23]. Поэтому мы использовали комбинированное введение метформина и ампролиума крысам для моделирования эффектов противодиабетических препаратов из группы бигуанидов (метформин) на фоне такой типичной для пациентов с диабетом сопутствующей патологии, как недиагностированный дефицит тиамина. Принимая во внимание, что метформин и ампролиум оказывают влияние на внутриклеточные транспортеры тиамина семейств SLC19A и OCT [24–26], мы сравнивали тиамин-зависимый метаболизм у контрольных и обработанных крыс посредством: (1) оценки уровней ТДФ (коферментной формы тиамина), активностей ТДФ-зависимых ферментов и насыщения этих ферментов ТДФ в гомогенатах мозга, (2) количественного определения аминокислот и родственных соединений в экстрактах мозга и (3) проведения поведенческих тестов и регистрации электрокардиограммы (ЭКГ) в ходе эксперимента. Мы показали, что к концу эксперимента контрольные и опытные животные различаются по насыщению ТДФ-зависимых ферментов ТДФ и по вкладу ТДФ и ТДФ-зависимых ферментов в метаболизм, но не по общему уровню ТДФ. Используемые препараты увеличивали содержание и усиливали метаболические взаимодействия свободных аминокислот и аммиака в коре головного мозга крыс, одновременно влияя на поведение животных и параметры ЭКГ.
МАТЕРИАЛЫ И МЕТОДЫ
Эксперименты на животных. Все эксперименты на животных проводились в соответствии с Руководством по уходу и использованию лабораторных животных, опубликованным Директивами Европейского Союза 86/609/EEC и 2010/63/EU. Двадцать шесть самцов крыс линии Wistar были случайным образом распределены в контрольную и экспериментальную группы. На момент входа в эксперимент возраст крыс составлял от 5 до 6 недель, а масса тела – 155,3 ± 2,7 и 155,4 ± 3,3 г в контрольной и экспериментальной группах соответственно. В конце эксперимента крысы в возрасте от 9 до 10 недель весили 271,0 ± 5,1 и 278,3 ± 5,4 г в контрольной и экспериментальной группах соответственно. Ампролиум (40 мг/кг массы тела) и метформин (200 мг/кг массы тела для первых трёх инъекций и 70 мг/кг массы тела для последующих пятнадцати инъекций) вводили крысам в виде двух отдельных инъекций (n = 14; две крысы погибли на 3-й день). Контрольная группа (n = 12) получала две отдельные инъекции физиологического раствора. Животным делали инъекции утром (ZT 2 ± 1). Всего было сделано 18 двукратных инъекций в течение 24 дней по схеме, представленной на рис. 1, т.е. 5 дней с инъекциями сменялись двухдневным перерывом, вплоть до последних трёх дней с инъекциями. Дозы подбирали, основываясь на опубликованных данных [23, 27]. Ежедневно контролировали вес животных, потребление пищи и воды. Существенных различий между опытной и контрольной группами не наблюдалось. Тест «открытое поле» («OpenScience», Москва, Россия) использовали для оценки спонтанной активности животных в незнакомой обстановке [28]. Тест проводился в течение трёх минут в полной тишине; область освещалась 15-ваттной красной лампой, как описано ранее [29, 30]. Оценивали следующие параметры: локомоторная активность (по количеству пересечённых линий); количество выходов в центральную зону (по числу перемещений в центральную зону, пересекающих внешний и внутренний круги); количество стоек (на задних конечностях); время и количество актов груминга, время замирания, акты дефекации. Для количественной оценки исследовательской активности и тревожности также применяли кумулятивные индексы. Индекс исследовательской активности суммировал количество стоек и выходов в центральную зону. Индекс тревожности суммировал количество актов груминга и дефекации, а также время груминга и замирания.
Рис. 1. Схема экспериментов на животных. В указанные дни в течение 24 дней вводили инъекции метформина (М) и ампролиума (А). За первыми тремя инъекциями метформина в дозе 200 мг/кг массы тела следовали 15 инъекций метформина в дозе 70 мг/кг массы тела. Каждая из инъекций метформина сопровождалась второй инъекцией ампролиума в дозе 40 мг/кг массы тела. Физиологические и биохимические тесты проводили в указанные дни, как описано в разделе «Материалы и методы»
ЭКГ регистрировали в течение 3 минут с помощью неинвазивных электродов, как описано ранее [29]. Вегетативная регуляция сердца оценивалась по следующим параметрам ЭКГ: средний интервал R-R (мс); диапазон значений интервала R-R, т.е. разница между максимальным и минимальным значением интервалов R-R (dX, мс); среднеквадратичное значение последовательных разностей интервалов R-R (RMSSD, мс); и стресс-индекс (SI). Физиологический мониторинг проводили на 8-й, 15-й и 25-й дни эксперимента.
После проведения физиологических тестов на 25-й день животных умерщвляли путём декапитации. Мозг вырезали и переносили на лёд; кору головного мозга отделяли и замораживали в жидком азоте в течение 60–90 с после декапитации.
Приготовление гомогенатов мозга. Замороженную ткань коры гомогенизировали в 50 мМ MOPS-буфере (pH 7,0), содержащем 0,2 мМ ЭГТА, 1 мМ ДТТ, 20% глицерина и ингибиторы протеазы (1 мМ AEBSF, 0,8 мкМ апротинина, 50 мкМ бестатина, 10 мкМ пепстатина A, 15 мкМ E-64 и 20 мкМ лейпептина) с использованием диспергатора T10 Basic Ultra-Turrax («IKA»; Штауфен, Германия), как описано ранее [29]. Один мл буфера использовали на 0,4 г веса свежей ткани. Ткань далее разрушали ультразвуком (7 циклов × 30 с озвучивания в режиме низкой интенсивности и 30 с паузы) с помощью ультразвукового аппарата Bioruptor («Diagenode»; Льеж, Бельгия) в ледяной водяной бане. Полученные гомогенаты смешивали в соотношении 3 : 1 (v/v) с буфером для солюбилизации, содержащим 40 мМ Tris-HCl (pH 7,4), 600 мМ NaCl, 4 мМ ЭДТА, 1% дезоксихолата натрия и 4% NP-40, и инкубировали в течение не менее 30 мин перед анализами.
Определение активностей ферментов. Активность транскетолазы (TKT) оценивали спектрофотометрически по скорости окисления NADH в сопряжённой системе с триозофосфатизомеразой/глицерол-3-фосфатдегидрогеназой по известному методу [31], модифицированному для микропланшетного ридера [32]. Для расчёта скорости реакции использовали линейную часть кривой накопления продукта (30 мин) с последующим вычитанием фоновой скорости, измеренной без добавления пентозофосфатов. Активность пируватдегидрогеназного комплекса (ПДК) определяли колориметрическим методом на микропланшетном ридере CLARIOstar Plus («BMG Labtech»; Ортенберг, Германия) по продукции NADH, сопряжённой с восстановлением иодонитротетразолия до формазана [33], с ранее описанными модификациями [34, 35]. Для расчёта скорости реакции использовали линейную часть кривой накопления продукта с 1 по 10 мин. Активность 2-оксоглутаратдегидрогеназного комплекса (ОГДК) оценивали по поглощению продуцируемого NADH при 340 нм, как описано ранее [8], на микропланшетном ридере Sunrise («Tecan», Австрия). Для расчёта активности использовали стационарную, т.е. после завершения лаг-периода, скорость реакции с 5 по 10 мин. Для оценки активности эндогенных холоферментов ТДФ-зависимых дегидрогеназ анализы проводили в отсутствие MgCl2 и ТДФ в реакционной среде. Эндогенную холотранскетолазу определяли в среде, не содержащей ТДФ.
Количественное определение метаболитов мозга. Свободные аминокислоты и родственные аминосоединения количественно определяли в метанол-уксуснокислых экстрактах коры мозга с помощью ионообменной хроматографии в системе литиевых буферов с дериватизацией нингидрином [36]. Таурин количественно определяли в виде единого пика с фосфоэтаноламином (ФЭА). В независимых исследованиях мозга млекопитающих относительное содержание таурина, по сравнению с ФЭА, варьировало от сопоставимого до в 10 раз более обильного [37–40]. Окисленный глутатион (GSSG) и NAD+ измеряли в чёрных 96-луночных микропланшетах с использованием микропланшетного ридера CLARIOstar Plus с помощью опубликованных ранее флуориметрических анализов [41, 42]. ТДФ количественно определяли по ранее описанному методу активации апо-ТКТ коферментом [43], модифицированному для микропланшетного ридера [44].
Статистический анализ проводили с помощью программных пакетов STATISTICA (версия 6.0), GraphPad Prism (версия 8.4) и R (версия 4.3). Выбросы были идентифицированы с помощью итеративного теста Граббса (Alpha = 0,01) и исключены из статистического анализа. Учитывая нормальное распределение данных согласно тесту Д’Агостино–Пирсона, различия в содержании метаболитов между двумя группами анализировали с помощью теста Стьюдента. Различия в кумулятивных параметрах корреляций между метаболитами (сумма и средние коэффициенты корреляции, а также число значимых положительных и отрицательных корреляций) анализировали с помощью теста Манна–Уитни ввиду ненормального распределения. При анализе более двух групп использовали дисперсионный анализ (ANOVA) вместе с апостериорным сравнением средних значений в группах с помощью теста Шидака. Данные представляли как среднее значение ± стандартная ошибка среднего (SEM). Корреляции между исследуемыми параметрами анализировали с помощью коэффициента ранговой корреляции Спирмена, поскольку не все значения физиологических параметров были распределены нормально. Различия между группами и корреляции считали достоверными при p < 0,05, при p ≤ 0,1 рассматривались как тенденции.
РЕЗУЛЬТАТЫ
Уровни ТДФ, активностей ТДФ-зависимых ферментов и редокс-активных соединений в качестве индикаторов тиамин-зависимого метаболизма в коре головного мозга крыс. Содержание ТДФ может характеризовать потенциальные изменения тиамин-зависимого метаболизма после комбинированного хронического введения ингибиторов транспорта тиамина метформина и ампролиума, поскольку ТДФ является коферментной формой и основным производным тиамина в мозге. Ввиду существенной роли ТДФ в центральном редокс-метаболизме важными индикаторами тиамин-зависимых метаболических изменений являются уровни NAD+, а также антиоксидантных пептидов глутатиона (GSH) и карнозина.
Как видно из рис. 2, незначительное снижение общего содержания ТДФ в мозге после обработки ингибиторами транспорта тиамина не достигает уровня статистической значимости (p = 0,28). Тем не менее обработка вызывает некоторый уровень окислительного стресса, известного в качестве индикатора тиаминовой недостаточности [45, 46]. Наблюдается снижение содержания антиоксиданта карнозина, который защищает мозг от повреждения пероксинитритом [47], и тенденция (p = 0,09) к повышению уровня GSSG (рис. 2).
Рис. 2. Уровни ТДФ, NAD+, антиоксидантных пептидов карнозина и глутатиона (GSH), окисленного глутатиона (GSSG), а также соотношение восстановленного и окисленного глутатиона в коре головного мозга крыс, получавших метформин/ампролиум (М+А), по сравнению с контрольными животными
Полная, т.е. определяемая в присутствии ТДФ в реакционной среде, активность ТДФ-зависимых ферментов в коре головного мозга не отличается в контрольной и обработанной группах. Однако степень активации ферментов ТДФ, добавленным в среду, снижается после обработки. Для ТКТ это проявляется в исчезновении после обработки наблюдаемой в контрольных образцах небольшой, но статистически значимой активации ТДФ (рис. 3, а, верхняя панель). Для ОГДК наблюдается достоверное снижение фракции апо-ОГДК в обработанных образцах по сравнению с контрольными (рис. 3, в, нижняя панель). Активация ПДК ТДФ составляет ~100% как в контрольной, так и в обработанной группах, что согласуется с известной необходимостью добавления ТДФ в среду для измерения активности ПДК [34, 48]. В отличие от ТКТ и ОГДК, холофермент ПДК полностью диссоциирует в условиях анализа как в контрольной, так и в обработанной группе. Это не позволяет использовать уровни насыщения ПДГ ТДФ в качестве индикатора изменений, вызванных введением метформина/ампролиума. Однако как для ТКТ, так и для ОГДК уровни насыщения ТДФ увеличиваются после обработки по сравнению с контрольной группой.
Рис. 3. Активация ТКТ (а), ПДК (б) и ОГДК (в) добавлением ТДФ в реакционную среду измерения ферментативных активностей в коре головного мозга контрольных крыс и крыс, обработанных метформином/ампролиумом (M+A). На верхней панели полые и закрашенные точки обозначают активности, измеренные без и в присутствии ТДФ соответственно (статистический анализ с помощью ANOVA с повторными измерениями). Нижняя панель показывает сравнение фракций эндогенных апоферментов ТКТ, ПДК и ОГДК в обработанных и контрольных образцах, рассчитанных как [1 – (Активность без ТДФ)/(Активность в присутствии ТДФ)] × 100%. Исключённый из анализа выброс обозначен символом «x»
Если бы наблюдаемые изменения в насыщении ТКТ и ОГДК были вызваны различным содержанием ТДФ в мозге крыс, то определяемые в мозге обработанных и необработанных животных уровни ТДФ (ось Х) и соответствующие им активности эндогенных холоферментов либо фракций апоферментов (ось Y) занимали бы разные области пространства XY. Если же изменения в активности либо активации ферментов ТДФ (ось Y) были бы вызваны изменениями свойств фермента, а не уровней ТДФ (ось Х), то характерные для контрольной и опытной групп значения занимали бы одну и ту же область в пространстве XY. Корреляции между уровнем ТДФ и содержанием эндогенных холо- или апоферментов (рис. S1 Приложения) свидетельствуют в пользу второго предположения, поскольку точки для двух групп животных занимают одну и ту же область на графиках, показывающих соотношение значений активностей TKT или ОГДК или активации ферментов ТДФ и уровня ТДФ. Примечательно, что доля апо-ТКТ у контрольных крыс демонстрирует ожидаемую статистически значимую отрицательную корреляцию с содержанием ТДФ в мозге. Изменение параметров этой корреляции у обработанных животных дополнительно свидетельствует в пользу изменения сродства ТКТ к ТДФ после обработки. Активация митохондриального ОГДК ТДФ, добавленным в реакционную среду, достоверно не коррелирует с общим уровнем ТДФ в тканях ни у обработанных, ни у контрольных животных.
Таким образом, введение метформина/ампролиума не приводит к статистически значимому снижению общего уровня ТДФ в мозге крыс, но увеличивает сродство ТКТ и ОГДК мозга к коферменту ТДФ.
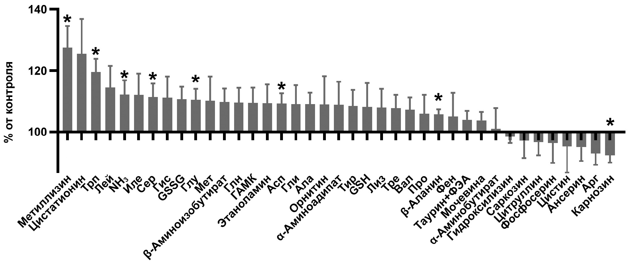
Изменения профилей свободных аминокислот и родственных соединений в мозге крыс после хронического введения метформина и ампролиума. По сравнению с контрольной группой хроническое введение метформина/ампролиума вызывает статистически значимое увеличение содержания метиллизина, триптофана, серина, глутамата, аспартата и бета-аланина, снижая содержание карнозина (рис. 4). Кроме того, наблюдаются тенденции (0,05 < p ≤ 0,1) к увеличению уровней цистатионина, лейцина, бета-аминоизобутирата и аланина. Содержание свободных аминокислот мозга, включая BCAA, в основном увеличивается. Это сопровождается достоверным повышением уровня аммиака в мозге (рис. 4). В совокупности эти данные свидетельствуют о том, что хроническое введение метформина и ампролиума приводит к гипераммониемии мозга, возникающей в результате повышенной деградации накапливающихся аминокислот. Таким образом, в дополнение к падению уровня антиоксиданта карнозина и росту содержания GSSG (рис. 2), общее нарушение метаболизма аминокислот, ассоциированное с гипераммониемией, представляет собой маркер патологических изменений в мозге крыс, получавших метформин/ампролиум.
Рис. 4. Изменения (в %) содержания аминокислот и родственных соединений в коре головного мозга крыс, получавших метформин/ампролиум, по сравнению с контрольными животными (n = 12 в каждой группе). Исключённые из статистического анализа выбросы не показаны, поскольку находятся за пределами диапазона оси Y. * Достоверное отличие от контрольных значений, принятых за 100%
Анализ корреляций между уровнями ТДФ или активностями ТДФ-зависимых ферментов и содержанием метаболитов мозга. Средние уровни ТДФ или активности ТДФ-зависимых ферментов в тканях (рис. 2 и 3) позволяют оценивать изменения в тиаминовом статусе, но не возникающие в результате потенциальных адаптаций различия в метаболических сетях контрольных и обработанных животных. Поэтому в дополнение к средним значениям параметров тиаминового статуса, парные корреляции между этими параметрами и содержанием метаболитов ТДФ-зависимой сети реакций полезны для характеристики метаболических изменений, вызванных введением исследуемых препаратов. Как показано в табл. 1, введение метформина/ампролиума сильно влияет на корреляции между содержанием ТДФ или активностями ТДФ-зависимых ферментов и уровнями редокс-индикаторов либо аминокислот. В частности, обработка метформином и ампролиумом приводит к достоверным положительным корреляциям между уровнями ТДФ и патологических маркеров, таких как GSSG, α-аминоадипат и аммиак. Кроме того, уровень ТДФ в мозге обработанных крыс положительно коррелирует с содержанием цитруллина, этаноламина, глицина и объединённым уровнем таурина и ФЭА, что не наблюдается у контрольных крыс. Достоверности положительной корреляции между уровнями ТДФ и лизина и отрицательной корреляции между уровнями ТДФ и триптофана у контрольных животных, напротив, пропадают после обработки. В совокупности эти данные указывают на изменение метаболического вклада ТДФ в редокс-состояние клеток и метаболизм аминокислот после хронического введения ингибиторов транспорта тиамина.
Таблица 1. Корреляции между уровнями ТДФ или активностями ТДФ-зависимых ферментов и содержанием NAD+, антиоксидантных пептидов, свободных аминокислот или родственных метаболитов в коре головного мозга контрольных крыс (контроль) и крыс, обработанных метформином/ампролиумом (M+A)
Параметр | ТДФ | ПДК−ТДФ | ПДК+ТДФ | ОГДК−ТДФ | ОГДК+ТДФ | ТКТ−ТДФ | ТКТ+ТДФ | |||||||
Контроль | M+A | Контроль | M+A | Контроль | M+A | Контроль | M+A | Контроль | M+A | Контроль | M+A | Контроль | M+A | |
NAD+ | 0,34 | −0,47 | −0,21 | −0,11 | −0,05 | 0,10 | 0,66 | −0,70 | 0,77 | −0,60 | 0,36 | 0,30 | −0,15 | 0,55 |
Карнозин | 0,29 | −0,33 | −0,31 | 0,33 | 0,12 | 0,50 | −0,08 | 0,08 | 0,21 | 0,38 | 0,27 | −0,62 | −0,07 | −0,43 |
GSH | 0,06 | −0,07 | −0,16 | −0,01 | −0,73 | 0,10 | 0,27 | −0,13 | −0,03 | −0,01 | −0,18 | 0,02 | −0,45 | 0,15 |
GSSG | −0,05 | 0,76 | 0,38 | −0,15 | 0,25 | −0,60 | −0,02 | 0,38 | 0,08 | 0,26 | −0,03 | 0,31 | 0,11 | 0,11 |
GSH/GSSG | −0,14 | −0,54 | −0,17 | −0,16 | −0,04 | 0,46 | −0,11 | −0,70 | −0,11 | −0,61 | 0,00 | 0,19 | −0,23 | 0,38 |
GSH + 2*GSSG | −0,04 | 0,36 | 0,14 | −0,52 | 0,02 | −0,28 | 0,04 | −0,27 | 0,16 | −0,24 | −0,16 | 0,70 | −0,39 | 0,69 |
α-Аминоадипат | −0,18 | 0,75 | 0,08 | −0,01 | 0,10 | −0,61 | 0,36 | 0,61 | 0,16 | 0,45 | −0,07 | 0,15 | −0,12 | −0,01 |
α-Аминобутират | 0,15 | 0,01 | −0,08 | −0,57 | −0,08 | −0,28 | 0,34 | −0,31 | 0,20 | −0,45 | 0,09 | 0,59 | −0,03 | 0,71 |
Арг | −0,45 | 0,26 | 0,31 | 0,37 | 0,29 | 0,11 | −0,65 | −0,05 | −0,45 | 0,04 | 0,17 | −0,10 | 0,34 | 0,01 |
β-Аминоизобутират | 0,07 | 0,37 | −0,12 | −0,57 | −0,69 | −0,58 | 0,10 | 0,32 | −0,30 | 0,06 | −0,28 | 0,34 | −0,36 | 0,21 |
Цитруллин | −0,16 | 0,60 | 0,21 | −0,10 | −0,07 | −0,36 | 0,50 | −0,03 | 0,52 | −0,20 | −0,04 | 0,31 | −0,28 | 0,22 |
Цистатионин | 0,31 | −0,17 | −0,10 | 0,75 | −0,15 | 0,45 | −0,21 | −0,27 | −0,08 | −0,09 | 0,47 | −0,36 | 0,29 | −0,26 |
Этаноламин | 0,52 | 0,60 | −0,22 | 0,06 | 0,00 | −0,31 | 0,38 | 0,26 | 0,51 | 0,41 | 0,35 | 0,23 | −0,03 | 0,22 |
Гли | −0,24 | 0,57 | 0,01 | 0,07 | 0,42 | −0,06 | −0,29 | 0,01 | −0,11 | 0,24 | 0,37 | 0,08 | 0,55 | 0,15 |
Гидроксилизин | 0,11 | 0,30 | −0,08 | 0,26 | 0,11 | 0,40 | −0,60 | 0,06 | −0,17 | 0,27 | 0,48 | −0,49 | 0,37 | −0,48 |
Иле | 0,02 | 0,57 | −0,03 | 0,15 | 0,35 | −0,24 | −0,54 | 0,01 | −0,03 | 0,11 | 0,73 | 0,14 | 0,73 | 0,21 |
Лей | −0,13 | 0,52 | 0,07 | 0,21 | 0,52 | −0,20 | −0,61 | 0,04 | −0,13 | 0,19 | 0,58 | 0,10 | 0,69 | 0,18 |
Лиз | 0,76 | 0,53 | −0,65 | 0,02 | −0,21 | −0,11 | −0,04 | 0,11 | 0,27 | 0,32 | 0,52 | 0,03 | 0,10 | 0,06 |
Мет | −0,19 | 0,47 | 0,08 | 0,20 | 0,43 | 0,10 | −0,76 | −0,22 | −0,23 | −0,03 | 0,59 | −0,02 | 0,65 | −0,02 |
NH3 | 0,19 | 0,66 | −0,01 | −0,01 | −0,26 | −0,26 | −0,37 | 0,08 | −0,49 | 0,31 | 0,20 | 0,30 | 0,40 | 0,29 |
Фен | −0,47 | 0,43 | 0,44 | 0,27 | 0,57 | 0,21 | −0,57 | 0,01 | −0,32 | 0,30 | 0,15 | −0,24 | 0,50 | −0,19 |
Фосфосерин | 0,10 | 0,31 | −0,15 | −0,55 | 0,29 | −0,22 | 0,33 | 0,59 | 0,61 | 0,76 | 0,32 | 0,08 | 0,07 | −0,03 |
Таурин + ФЭА | 0,19 | 0,79 | −0,22 | −0,31 | −0,29 | −0,48 | 0,34 | 0,42 | 0,33 | 0,38 | 0,30 | 0,34 | −0,13 | 0,00 |
Тре | 0,57 | 0,49 | −0,38 | −0,13 | 0,01 | 0,06 | −0,24 | −0,19 | 0,03 | 0,18 | 0,88 | 0,20 | 0,64 | 0,29 |
Трп | −0,79 | −0,33 | 0,73 | 0,56 | 0,20 | 0,25 | −0,49 | −0,59 | −0,66 | −0,36 | −0,08 | 0,03 | 0,35 | 0,29 |
Мочевина | 0,33 | 0,43 | −0,15 | 0,17 | 0,24 | −0,13 | 0,07 | −0,25 | 0,35 | −0,02 | 0,63 | 0,46 | 0,28 | 0,54 |
Вал | −0,21 | 0,44 | 0,28 | 0,27 | 0,70 | −0,02 | −0,20 | −0,19 | 0,17 | 0,12 | 0,56 | 0,15 | 0,67 | 0,29 |
Примечание. В таблице приведены метаболиты, содержание которых имеет хотя бы одну достоверную корреляцию с уровнем ТДФ или активностями ТДФ-зависимых ферментов. Каждая ячейка показывает ранговый коэффициент корреляции Спирмена для данной пары параметров. Коэффициенты корреляций, меняющихся в результате обработки от достоверных (p < 0,05) до недостоверных или наоборот, показаны красным цветом на сером фоне. Коэффициенты достоверных корреляций выделены жирным шрифтом.
Схожим образом под действием метформина и ампролиума меняется и значимость корреляций между уровнями активностей ТДФ-зависимых ферментов и редокс-индикаторов или аминокислот в мозге (табл. 1). В частности, после обработки уровень активности ОГДК отрицательно коррелирует с уровнями NAD+ и редокс-потенциалом глутатиона (GSH/GSSG), в то время как у контрольных животных активность ОГДК имеет сильную положительную корреляцию с содержанием NAD+. Уровень активности ТКТ мозга после обработки, но не в контрольной группе, положительно коррелирует с уровнями общего глутатиона (GSH + 2*GSSG) и α-аминобутирата и отрицательно – с уровнем карнозина. Кроме того, достоверные положительные корреляции уровней активности TKT и BCAA, наблюдаемые в контрольной группе, исчезают после обработки. В целом, корреляционный анализ показывает, что метаболические взаимосвязи ТДФ или ТДФ-зависимых ферментов со свободными аминокислотами или родственными соединениями различаются в мозге обработанных и контрольных крыс.
Влияние обработки метформином и ампролиумом на поведение крыс в тесте «открытое поле» и ЭКГ. Проведение физиологических тестов в ходе эксперимента помогает понять, как наблюдаемые изменения метаболизма аминокислот мозга влияют на поведение животных и ЭКГ. В отличие от биохимической характеристики мозговой ткани, физиологическое тестирование может повторяться в ходе эксперимента, что даёт представление о динамике изменений, вызванных введением метформина и ампролиума. Согласно ANOVA, фактор «обработки» значимо влияет на количество выходов в центральную зону (рис. 5, а) и связанную с ним локомоторную активность (рис. 5, б). Кумулятивные индексы исследовательской активности и тревожности также показывают значимый вклад фактора «обработки» (рис. 5, б). Значимое взаимодействие между количеством выходов в центральную зону и длительностью эксперимента (рис. 5, а) проявляется в увеличении выходов в центральную зону после 15-го дня только у обработанных крыс. В результате на 25-й день количество выходов в центральную зону у обработанных животных значительно выше, чем у контрольных. Очевидно, что эта разница вносит наибольший вклад в более высокий кумулятивный индекс исследовательской активности у обработанных крыс по сравнению с контрольными. Несмотря на достоверность влияния фактора «обработки» на локомоторную активность (p = 0,046) и кумулятивный индекс тревожности (p = 0,03), рассчитанную по всем тестированиям каждой из групп сравнения, достоверные различия между отдельными группами, протестированными в выбранные дни эксперимента, не выявляются (рис. 5, б).
Рис. 5. Изменения поведения крыс в тесте «открытое поле» (а, б) и параметров ЭКГ (в) в зависимости от продолжительности хронического введения метформина/ампролиума (M+A) по сравнению с контрольными крысами. Достоверные различия между группами показаны на графиках; статистически значимые факторы, такие как «обработка» метформином/ампролиумом и «длительность обработки», а также их взаимодействие показаны под графиками (согласно ANOVA с повторными измерениями и апостериорным тестом Шидака)
Ввиду того, что введение метформина и ампролиума не влияет на количество стоек, но оказывает значимое влияние на количество выходов в центральную зону (p = 0,02) и локомоторную активность (p = 0,046), наблюдаемое увеличение количества выходов в центральную зону и сопутствующее увеличение исследовательской активности (p = 0,02), по-видимому, связано с общим повышением локомоторной активности, вызванным обработкой (рис. 5, а, б). Эти поведенческие изменения у обработанных крыс связаны с увеличением частоты сердечных сокращений, поскольку в ходе эксперимента R-R интервал ЭКГ снижается только у крыс, получавших метформин и ампролиум (рис. 5, в).
Таким образом, хроническое введение метформина и ампролиума влияет на определённые параметры поведения и ЭКГ в зависимости от продолжительности обработки. Наиболее существенные различия между контрольными и обработанными животными наблюдаются к концу эксперимента, что проявляется в увеличении количества выходов в центральную зону и связанного с этим кумулятивного индекса исследовательской активности у получавших метформин и ампролиум крыс по сравнению с контрольными.
Анализ корреляций между уровнями ТДФ или активностей ТДФ-зависимых ферментов и параметрами поведения или ЭКГ. Чтобы понять, насколько велик вклад тиаминового статуса и его взаимодействия с содержанием метаболитов в мозге (табл. 1) в индуцируемые метформином/ампролиумом изменения поведения и ЭКГ крыс, были проанализированы корреляции тиамин-зависимых биохимических параметров с физиологическими. Результаты анализа (табл. 2) выявляют интересную временную зависимость эффектов введения метформина/ампролиума на корреляции. Уровни ТДФ, определённые в мозге на 25-й, последний, день эксперимента, более достоверно коррелируют с поведенческими параметрами, определёнными не на 25-й, а на 15-й день. Так, у контрольных животных уровень ТДФ в мозге на 25-й день положительно коррелирует с кумулятивным индексом тревожности на 15-й день и отрицательно – с кумулятивным индексом исследовательской активности на 15-й день, причём обе корреляции пропадают у обработанных крыс. С другой стороны, у обработанных крыс уровень ТДФ в мозге на 25-й день отрицательно коррелирует с локомоторной активностью на 15-й день, тогда как у контрольных крыс эта корреляция отсутствует. Примечательно, что наблюдаемые корреляции согласуются с физиологическими закономерностями. Так, известно, что исследовательская активность выше при низкой тревожности. Соответственно, корреляции контрольных животных показывают, что содержание ТДФ имеет прямую взаимосвязь с тревожностью и обратную – с исследовательской активностью. Аналогично, известно, что локомоторная активность коррелирует с количеством выходов в центральную зону. Соответственно, корреляции обработанных животных показывают, что содержание ТДФ обратно связано с обоими параметрами.
Таблица 2. Корреляции уровней ТДФ или активностей ТДФ-зависимых ферментов мозга, измеренных в присутствии (+) или отсутствии (−) ТДФ в реакционной среде, с параметрами ЭКГ или поведения у контрольных (Контроль) и обработанных метформином/ампролиумом (M+A) крыс
Параметр | ТДФ | ПДК–ТДФ | ПДК+ТДФ | ОГДК–ТДФ | ОГДК+ТДФ | ТКТ–ТДФ | ТКТ+ТДФ | |||||||
Контроль | M+A | Контроль | M+A | Контроль | M+A | Контроль | M+A | Контроль | M+A | Контроль | M+A | Контроль | M+A | |
R-R интервал | −0,24 | −0,19 | 0,03 | −0,08 | 0,65 | 0,06 | 0,02 | −0,19 | −0,01 | −0,15 | −0,22 | 0,13 | −0,09 | 0,24 |
dX | −0,37 | 0,05 | 0,27 | −0,23 | 0,04 | −0,08 | 0,18 | 0,02 | −0,10 | −0,02 | −0,75 | 0,48 | −0,50 | 0,42 |
RMSSD | −0,10 | −0,18 | 0,02 | 0,09 | 0,11 | −0,21 | 0,13 | 0,29 | 0,03 | 0,20 | −0,34 | 0,04 | −0,35 | −0,01 |
SI | 0,36 | −0,06 | −0,08 | 0,34 | −0,27 | 0,21 | −0,06 | 0,03 | 0,21 | 0,03 | 0,60 | −0,40 | 0,38 | −0,43 |
Тревожность, день 8 | 0,04 | −0,02 | 0,20 | 0,41 | −0,52 | 0,02 | −0,14 | −0,20 | −0,45 | −0,30 | −0,37 | −0,05 | −0,10 | −0,06 |
Тревожность, день 15 | 0,57 | 0,02 | −0,53 | −0,10 | 0,05 | 0,27 | 0,30 | −0,05 | 0,45 | −0,01 | 0,29 | −0,38 | 0,01 | −0,24 |
Тревожность, день 25 | −0,16 | 0,08 | 0,01 | −0,11 | 0,36 | 0,14 | 0,44 | 0,08 | 0,14 | 0,02 | −0,59 | 0,21 | −0,39 | 0,03 |
Время груминга | −0,04 | 0,52 | −0,15 | −0,09 | −0,14 | −0,40 | 0,00 | 0,21 | 0,10 | −0,04 | −0,28 | 0,42 | −0,30 | 0,01 |
Время замирания | −0,31 | −0,19 | 0,28 | −0,14 | 0,38 | 0,36 | 0,47 | −0,19 | 0,15 | −0,14 | −0,65 | 0,09 | −0,37 | 0,23 |
Акты дефекации | −0,44 | −0,11 | 0,14 | −0,37 | 0,28 | 0,23 | 0,05 | −0,43 | −0,07 | −0,01 | −0,45 | 0,03 | −0,07 | 0,24 |
Акты груминга | −0,25 | −0,17 | 0,22 | 0,04 | 0,05 | −0,05 | −0,24 | 0,18 | −0,06 | −0,05 | −0,27 | 0,23 | −0,19 | 0,09 |
Исследовательская активность, день 8 | −0,33 | −0,46 | 0,04 | −0,28 | 0,61 | 0,13 | −0,06 | 0,00 | 0,15 | 0,23 | 0,39 | 0,07 | 0,32 | 0,22 |
Исследовательская активность, день 15 | −0,60 | −0,25 | 0,43 | −0,22 | 0,19 | −0,13 | −0,34 | −0,23 | −0,47 | −0,22 | −0,10 | 0,22 | 0,03 | 0,22 |
Исследовательская активность, день 25 | −0,10 | −0,33 | 0,11 | 0,21 | 0,07 | 0,02 | −0,43 | −0,25 | −0,01 | −0,32 | 0,58 | −0,29 | 0,49 | −0,15 |
Количество стоек | −0,06 | 0,03 | 0,25 | 0,13 | 0,18 | −0,27 | −0,45 | −0,27 | 0,01 | −0,32 | 0,63 | 0,03 | 0,57 | 0,09 |
Количество выходов в центральную зону | −0,38 | −0,80 | 0,09 | 0,39 | 0,03 | 0,55 | −0,43 | −0,10 | −0,34 | −0,08 | 0,12 | −0,69 | 0,20 | −0,39 |
Локомоторная активность, день 8 | −0,40 | −0,52 | 0,05 | 0,20 | 0,41 | 0,31 | 0,08 | 0,04 | 0,22 | 0,16 | 0,15 | −0,32 | 0,06 | −0,06 |
Локомоторная активность, день 15 | −0,26 | −0,58 | 0,21 | 0,22 | −0,36 | −0,02 | 0,02 | −0,18 | −0,25 | −0,34 | −0,18 | 0,16 | −0,30 | 0,23 |
Локомоторная активность, день 25 | −0,05 | 0,10 | 0,07 | 0,00 | −0,12 | −0,30 | −0,61 | 0,12 | −0,24 | 0,06 | 0,60 | −0,15 | 0,52 | −0,18 |
Примечание. Каждая ячейка показывает ранговый коэффициент корреляции Спирмена для данной пары параметров. Корреляции, которые достоверны (p < 0,05) лишь в контрольной или обработанной группе, показаны красным цветом на сером фоне. Коэффициенты достоверных корреляций выделены жирным шрифтом. Корреляции с «Локомоторной активностью» и кумулятивными индексами «Тревожность» или «Исследовательская активность» построены по данным, полученным на 8-й, 15-й или 25-й дни; корреляции с другими физиологическими параметрами показаны только для данных, полученных на 25-й день.
Из представленных на рис. 5 графиков видно, что на 15-й день тенденции, наблюдаемые для многих физиологических параметров, меняются на противоположные: если параметр в основном снижается с 8-го по 15-й день, он начинает расти с 15-го по 25-й день, и наоборот. Это переключение может иметь как адаптивную, так и патологическую природу. Важность уровней ТДФ для наблюдаемых эффектов подчёркивается тем фактом, что количество выходов в центральную зону является единственным поведенческим параметром, который существенно различается на 25-й день между обработанными и контрольными животными, и в то же время единственным параметром в обработанной группе, который коррелирует с уровнем ТДФ на 25-й день. Достоверные корреляции как содержания ТДФ в мозге, так и активности ТДФ-зависимой ТКТ с количеством выходов в центральную зону на 25-й день (табл. 2) указывают на то, что переключение физиологических процессов на 15-й день, когда разница между экспериментальными группами ещё не проявилась (рис. 5), связано с ТДФ-зависимым метаболизмом мозга.
В конце эксперимента активности ТДФ-зависимых ферментов в основном достоверно коррелируют с параметрами поведения или ЭКГ у контрольных животных, причём эти корреляции пропадают у обработанных животных (табл. 2). То же самое наблюдается и для корреляции между активностью ПДК и исследовательской активностью на 8-й день. У обработанных животных возникает лишь отрицательная корреляция между активностью ТКТ и количеством выходов в центральную зону, отсутствующая у контрольных животных.
В целом, активность эндогенного холофермента ТКТ показывает наибольшее количество достоверных корреляций, как положительных, так и отрицательных, с параметрами поведения или ЭКГ, в основном у контрольных животных (табл. 2).
Изменения метаболической сети мозга крыс после хронического введения метформина/ампролиума, детектируемые по корреляциям биохимических и физиологических параметров. На рис. 6 и 7 показаны паттерны взаимодействия между содержанием метаболитов, активностями ферментов и физиологическими параметрами у контрольных и обработанных крыс. В целом, корреляционные матрицы для контрольных и обработанных животных показывают рост положительных взаимосвязей между содержанием аминокислот мозга и родственных им соединений (группа 5 на рис. 6 и 7) после обработки метформином/ампролиумом. По сравнению с контрольными животными у обработанных наблюдается более чем двукратное увеличение суммарных и средних коэффициентов корреляций, а также количества положительных корреляций между содержанием этих метаболитов (табл. S1 Приложения). Одновременно растёт содержание свободных аминокислот и аммиака в мозге (рис. 4). В совокупности эти результаты свидетельствуют в пользу общей причины повышения содержания различных аминокислот, такой как превалирование деградации белков над их биосинтезом.
Рис. 6. Матрицы корреляций физиологических и биохимических параметров у контрольных крыс. Выделенные горизонтальные линии делят параметры на пять групп: (1) параметры ЭКГ, (2) параметры тревожности, (3) параметры исследовательской и локомоторной активностей, (4) активности ТДФ-зависимых ферментов вместе с уровнем ТДФ и (5) уровни NAD+, аминокислот и родственных соединений
Рис. 7. Матрицы корреляций физиологических и биохимических параметров после хронического введения метформина/ампролиума. Выделенные горизонтальные линии делят параметры на пять групп: (1) параметры ЭКГ, (2) параметры тревожности, (3) параметры исследовательской и локомоторной активностей, (4) активности ТДФ-зависимых ферментов вместе с уровнем ТДФ и (5) уровни NAD+, аминокислот и родственных соединений
Значимые сдвиги в корреляциях между уровнями метаболитов и активностями ТДФ-зависимых ферментов, вызванные введением метформина и ампролиума (табл. 1 и обсуждение выше), сопровождаются изменениями в корреляциях между связанными с ТДФ маркерами патологических состояний. В частности, индуцированное обработкой изменение знака корреляции между содержанием NAD+ и активностью ОГДК сопровождается изменениями достоверности других корреляций с уровнем NAD+. У контрольных животных уровень NAD+ положительно коррелирует с содержанием мочевины и объединёнными уровнями таурина (антиоксиданта) и ФЭА. После обработки эти корреляции замещаются положительными корреляциями между уровнями NAD+ и триптофана либо редокс-потенциала глутатиона (GSH/GSSG), а также достоверной отрицательной корреляцией между уровнями NAD+ и α-аминоадипата. Примечательно, что введение животным метформина/ампролиума вызывает отрицательную корреляцию уровней α-аминоадипата и GSH/GSSG и положительную корреляцию уровней α-аминоадипата и GSSG, при этом обе корреляции отсутствуют у контрольных животных. У контрольных животных наблюдаются достоверные корреляции между содержанием антиоксиданта карнозина и уровнями аммиака (отрицательная), аланина (положительная) или гистидина (положительная). У обработанных животных эти корреляции замещаются достоверными отрицательными корреляциями между уровнем карнозина и уровнем общего глутатиона или активностью ТКТ, а также достоверными положительными корреляциями между содержаниями карнозина и пролина либо цистина. Таким образом, одновременно с изменением взаимосвязей уровней ТДФ или активностей ТДФ-зависимых ферментов с другими параметрами введение метформина/ампролиума изменяет взаимосвязи различных патологических маркеров, таких как маркер окислительного стресса GSSG или маркер диабета α-аминоадипат [3].
Что касается изменений в корреляциях между биохимическими и физиологическими параметрами, обработка метформином/ампролиумом изменяет знак корреляций между содержанием аминокислот и поведенческими параметрами групп 2 и 3. Преимущественно отрицательные корреляции между параметрами тревожности и содержанием аминокислот у контрольных животных становятся преимущественно положительными у обработанных животных. Противоположная ситуация наблюдается для корреляций между содержанием аминокислот и параметрами исследовательской и локомоторной активностей (рис. 6 и 7). Тот факт, что взаимосвязи между аминокислотами мозга и поведенческими параметрами различаются у крыс в разных состояниях, согласуется с необязательностью наличия причинно-следственных связей между коррелирующими параметрами. Тем не менее важно, что соотношения между содержанием аминокислот и поведенческими параметрами групп 2 и 3 противоположны. Это наблюдение соответствует отрицательной взаимосвязи между тревожностью и исследовательской или локомоторной активностями: тревожное животное не склонно ни к движению, ни к исследованию.
Отрицательные корреляции SI (индикатора симпатической активности) с длительностью R-R интервалов и их вариабельностью (dX) демонстрируют базовую физиологическую зависимость: чем ниже симпатическая активность, тем длиннее интервал R-R и выше его вариабельность. Поэтому достоверность этих корреляций сохраняется и после введения метформина и ампролиума. Однако отрицательная корреляция SI с RMSSD, наблюдаемая в контрольной группе, после обработки исчезает. Одновременно положительная корреляция dX с RMSSD у контрольных крыс замещается положительной корреляцией dX с R-R интервалом. Таким образом, хроническое введение метформина/ампролиума влияет на баланс между симпатической и парасимпатической регуляцией, проявляющийся в корреляциях между отдельными параметрами ЭКГ. Эти изменения сопровождаются изменениями корреляций между параметрами ЭКГ и содержанием метаболитов мозга, участвующих в клеточной редокс-регуляции (восстановленный, окисленный и общий глутатион, цистин, цистатионин, таурин + ФЭА), или некоторых других аминокислот (изолейцин, аспартат и треонин) (рис. 6 и 7). Единственная достоверная корреляция R-R интервала с содержанием изучаемых метаболитов – отрицательная корреляция с уровнем восстановленного глутатиона – не меняется под действием метформина и ампролиума.
Таким образом, введение метформина/ампролиума влияет на баланс между симпатической и парасимпатической регуляцией, что связано с изменением взаимных корреляций между параметрами ЭКГ, а также корреляций параметров ЭКГ с уровнями аминокислот в мозге. В свою очередь, изменение баланса симпатической и парасимпатической регуляции проявляется в изменении показателей тревожности. У грызунов замирание (форма поведенческого торможения, также являющаяся показателем тревожности) сопровождается снижением частоты сердечных сокращений [49]. У контрольных животных в нашем исследовании это иллюстрируют положительные корреляции времени замирания с длительностью R-R интервалов и dX, а также отрицательная корреляция времени замирания с SI. Однако только положительная корреляция между временем замирания и dX остаётся достоверной после обработки метформином и ампролиумом. Исчезновение двух других указанных корреляций служит дополнительным подтверждением индуцируемых обработкой изменений в балансе симпатической и парасимпатической регуляции.
ОБСУЖДЕНИЕ
В данной работе показано, что хроническое введение ингибиторов поступления тиамина в клетку, метформина и ампролиума, нарушает метаболизм аминокислот в мозге крыс. Известно, что дефицит тиамина нарушает окисление BCAA и вызывает другие изменения в метаболизме аминокислот в мозге [6, 7]. Известным, но недооцененным побочным эффектом метформина – широко используемого противодиабетического препарата – является ингибирование транспортеров тиамина. Ампролиум является применяемым в ветеринарии противопаразитарным препаратом, действие которого основано на блокаде транспорта тиамина. Хотя паразиты имеют более высокую чувствительность к такой блокаде, чем их хозяева [50], тиаминовый транспорт животных клеток также может быть затронут в зависимости от дозы. Так, ампролиум используется для моделирования дефицита тиамина у животных и в животных клетках [16, 25]. Поскольку нарушение тиаминового статуса является распространённым сопутствующим заболеванием при диабете, хроническое комбинированное введение метформина и ампролиума в нашей животной модели имитирует эффекты метформина у тех пациентов-диабетиков, у которых имеется недиагностированная тиаминовая недостаточность. Высокая чувствительность нервной системы к нарушениям тиаминового статуса обусловлена, в частности, зависимостью метаболизма аминокислотных нейромедиаторов или их предшественников от тиамина [30, 35, 41, 51]. Эти последствия нарушенного тиаминового статуса в мозге могут влиять на параметры поведения и ЭКГ, обосновывая наш интерес к изучению влияния ингибиторов переносчиков тиамина на метаболизм мозга.
Мы показали, что хроническое введение метформина/ампролиума повышает содержание BCAA в мозге (рис. 4), что согласуется с результатами независимых исследований, показавших нарушение деградации BCAA метформином [4]. Исчезновение достоверных корреляций между уровнями этих аминокислот и активностями ТДФ-зависимых ферментов (табл. 1) у обработанных животных связывает изменения содержания BCAA с перестройками в тиамин-зависимом метаболизме. Тем не менее достоверные изменения измеряемого нами ТДФ при снижении поступления в клетки тиамина под действием метформина и ампролиума не детектируются (рис. 2). Возможно, что отсутствие изменений ТДФ в мозге при снижении поступления тиамина связано с буферной функцией сильного ингибирования тиаминдифосфокиназы её продуктом ТДФ в отношении тканевого содержания ТДФ [52]. Увеличение насыщения ТКТ и ОГДК коферментом на 25-й день эксперимента (рис. 3) предполагает компенсаторную адаптацию ТДФ-связывающих ферментов в ответ на хроническое введение ингибиторов транспорта тиамина. Такие адаптации подтверждаются немонотонными изменениями физиологических параметров в течение эксперимента (рис. 5) и корреляциями этих зависящих от времени параметров с конечными уровнями ТДФ и активностями ТДФ-зависимых ферментов (табл. 2). Помимо содержания ТДФ в тканях, насыщение ТДФ-зависимых ферментов ТДФ может также зависеть от аллостерической регуляции [53] или пост-трансляционных модификаций ферментов [32, 44]. Более высокую степень насыщения ТКТ ТДФ наблюдали и в ряде независимых исследований тиаминового метаболизма при различных патологических состояниях (см. работу Artiukhov et al. [44] и упомянутые там ссылки). Независимо от конкретных молекулярных механизмов, увеличение насыщения ТКТ и ОГДК мозга ТДФ после хронического введения метформина/ампролиума указывает на то, что данные препараты влияют на центральный метаболизм глюкозы как в цитоплазме, так и в митохондриях. Хотя вызванные обработкой изменения средних уровней редокс-индикаторов (рис. 2) и активностей ТДФ-зависимых ферментов (рис. 3) кажутся незначительными, они ассоциированы с индикаторами окислительного стресса (снижение содержания антиоксиданта карнозина и тенденция к повышению содержания GSSG, рис. 2), повышением уровня аммиака и значительными нарушениями метаболизма аминокислот (рис. 4). В результате метформин и ампролиум вызывают изменения в поведении и ЭКГ животных (рис. 5).
Эффекты хронического введения метформина и ампролиума на уровни аминокислот в мозге и их взаимовлияние (рис. 4; табл. S1 Приложения) поразительно похожи на те, которые наблюдаются после острой гипоксии [54]. Оба воздействия повышают содержания свободных аминокислот в мозге и усиливают их положительные корреляции друг с другом. Сходство эффектов этих очень разных воздействий на метаболизм аминокислот в мозге подразумевает сильное нарушение окислительного энергетического обмена не только в случае острой гипоксии, но и после хронического приёма метформина и ампролиума. Поскольку тиамин необходим для окислительного метаболизма, наблюдаемое сходство свидетельствует в пользу зависимости нарушенного метаболизма аминокислот от тиамина после хронического введения метформина и ампролиума, ингибирующего внутриклеточный транспорт тиамина.
Повышенные уровни свободных аминокислот и аммиака, среди которых наибольшее увеличение наблюдается для уровня продукта протеолитической деградации – свободного метиллизина (рис. 4) – указывают на нарушенный гомеостаз белков по окончании введения метформина и ампролиума. Хорошо известный медиатор действия метформина, AMPK, индуцирует аутофагию при нехватке питательных веществ [55–57]. Активирующим аутофагию стресс-сигналом вполне может служить снижение внутриклеточного уровня тиамина на ранних стадиях введения метформина и ампролиума.
Гипераммониемия при нарушениях метаболизма аминокислот и гомеостаза белков часто сопровождается окислительным стрессом [58, 59]. Известно, что пониженная активность ТДФ-зависимых ферментов индуцирует гипераммониемию вследствие недостаточной активности цикла мочевины при дефиците ацетил-CoA и ATP [60]. Вклад ТДФ-зависимого метаболизма в мозговую гипераммониемию, вызванную хроническим введением метформина/ампролиума, подтверждается сильной корреляцией между уровнями ТДФ и NH3 в мозге животных в конце эксперимента, что не наблюдается у контрольных животных (табл. 1). Увеличение насыщения ОГДК ТДФ в качестве адаптации к пониженному содержанию тиамина может способствовать гипераммониемии, активируя деградацию аминокислот в ЦТК, поскольку ОГДК катализирует скорость-лимитирующий этап цикла. Вызываемые введением метформина/ампролиума изменения взаимосвязей уровней аминокислот в мозге не только с уровнем ТДФ, но и с активностями ТДФ-зависимых ферментов (табл. 1) могут быть результатом «гиперактивации» ОГДК при росте её насыщения коферментом.
Ввиду значимости α-аминоадипата в качестве маркера диабета [3] и деградации этого соединения через метаболический путь, опосредованный ТДФ-зависимой 2-оксоадипатдегидрогеназой [61], следует отметить корреляции между уровнями α-аминоадипата и ТДФ или активностями ТДФ-зависимых дегидрогеназ, индуцированные введением метформина и ампролиума (табл. 1). Активность митохондриального 2-оксоадипатдегидрогеназного комплекса не определяется в присутствии ОГДК по причине гораздо более высокой экспрессии 2-оксоглутаратдегидрогеназы по сравнению с 2-оксоадипатдегидрогеназой в гомогенатах мозга и трансформации обоими комплексами как 2-оксоглутарата, так и 2-оксоадипата [8, 51, 62]. Однако ингибирование 2-оксоадипатдегидрогеназы in vivo соединениями, селективно связывающимися с её активным центром, снижало содержание карнозина и увеличивало содержание β-аланина в мозге крысы [51]. Поскольку те же изменения наблюдаются и после хронического введения метформина/ампролиума (рис. 1 и 4), это позволяет предположить, что индуцированный этими препаратами дефицит тиамина ингибирует 2-оксоадипатдегидрогеназу из-за сниженной доступности ТДФ для насыщения фермента. Такое снижение доступности ТДФ для 2-оксоадипатдегидрогеназы может быть вызвано увеличением сродства ОГДК к ТДФ (рис. 2). Неспособность 2-оксоадипатдегидрогеназы успешно конкурировать с ОГДК за ТДФ подтверждается наличием положительной корреляции между уровнем эндогенной холо-ОГДК и содержанием α-аминоадипата, предшественника субстрата 2-оксоадипатдегидрогеназы, у обработанных, но не у контрольных животных (табл. 1). Эта корреляция показывает, что чем выше активность ОГДК, эндогенно насыщенного ТДФ, тем выше уровень α-аминоадипата в мозге. Другими словами, чем выше активность ОГДК, тем менее эффективно 2-оксоадипатдегидрогеназа катализирует расщепление продукта трансаминирования α-аминоадипата – 2-оксоадипата. Дополнительным свидетельством ингибирования 2-оксоадипатдегидрогеназы после хронического введения метформина/ампролиума могут служить положительная корреляция между уровнями NAD+ и триптофана и отрицательная корреляция между уровнями NAD+ и α-аминоадипата у обработанных, но не у контрольных крыс (рис. 6 и 7). Возникновение данных корреляций хорошо соответствует метаболической роли 2-оксоадипатдегидрогеназы в биосинтезе NAD+ из триптофана [62]. Снижая деградацию триптофана через α-аминоадипат, ингибирование 2-оксоадипатдегидрогеназы должно способствовать альтернативному превращению триптофана в хинолиновую кислоту, которая является интермедиатом биосинтеза NAD+ из триптофана. Таким образом, прямая корреляция уровней NAD+ и триптофана и обратная – между уровнями NAD+ и α-аминоадипата свидетельствуют о том, что хроническое введение метформина/ампролиума увеличивает связанный с уровнями α-аминоадипата и триптофана биосинтез NAD+ в мозге крыс – эффект, согласующийся с ингибированием ТДФ-зависимой 2-оксоадипатдегидрогеназы. Индукция метаболических маркеров дисфункции 2-оксоадипатдегидрогеназы и накопление α-аминоадипата в мозге заслуживает особого внимания ввиду известной связи между уровнями α-аминоадипата в крови или дисфункцией 2-оксоадипатдегидрогеназы и диабетом, ожирением и сердечно-сосудистыми заболеваниями [51].
Изменения биохимии мозга крыс, индуцированные метформином/ампролиумом, связаны с изменениями в их поведении и параметрах ЭКГ. Введение метформина/ампролиума нарушает баланс между симпатической и парасимпатической регуляцией, что очевидно из корреляций между параметрами ЭКГ и временем замирания.
Известно, что ампролиум снижает исследовательскую активность [23], тогда как метформин оказывает анксиолитические и антидепрессивные эффекты [63, 64]. В нашем исследовании комбинированное введение метформина и ампролиума вызывает пограничное снижение тревожности (p = 0,05 для фактора «обработки», рис. 5), сопровождающееся увеличением локомоторной активности, что способствует увеличению числа выходов в центральную зону и кумулятивного индекса исследовательской активности у обработанных животных по сравнению с контрольными. Эти эффекты связаны с зависящим от времени эксперимента ростом числа выходов в центральную зону и частоты сердечных сокращений, наблюдаемым только у обработанных животных (рис. 5). Отсутствие таких изменений у контрольных крыс может свидетельствовать об их лучшей, по сравнению с обработанными крысами, адаптации к повторяющемуся тестированию.
Помимо ингибирования транспорта тиамина, другие механизмы действия метформина, в частности активация AMPK-зависимых сигнальных путей, могут вносить вклад в комплекс биохимических и физиологических эффектов комбинированного введения метформина и ампролиума. Наше исследование подчёркивает условный характер действия метформина. Преимущества приёма метформина могут быть снижены недостаточностью тиамина, которая может развиться у людей из-за различных сопутствующих факторов, включая проблемы с питанием и/или полиморфизмы генов, кодирующих переносчики тиамина.
ЗАКЛЮЧЕНИЕ
Исследованная модель хронического введения ингибиторов транспорта тиамина, метформина и ампролиума не показала существенных изменений конечных уровней ТДФ и полных активностей ТДФ-зависимых ферментов у обработанных крыс по сравнению с контрольными. Однако немонотонные изменения поведения и ЭКГ обработанных крыс в ходе эксперимента, а также взаимосвязи параметров поведения или ЭКГ с уровнями ТДФ или активностей ТДФ-зависимых ферментов в конце эксперимента предполагают адаптацию к нарушенной в ходе эксперимента доступности тиамина организму животных. После хронического введения метформина/ампролиума можно наблюдать переключение метаболической роли ТДФ и ТДФ-зависимых ферментов с антиоксидантной и азотсберегающей на прооксидантную и гипераммониемическую. Такое переключение сопровождается ростом частоты сердечных сокращений у обработанных, но не контрольных животных и повышением локомоторной составляющей исследовательской активности у обработанных крыс по сравнению с контрольными.
Дополнительные материалы. Приложение к статье опубликовано на сайте журнала «Биохимия» (https://biochemistrymoscow.com).
Вклад авторов. А.В.Г. спланировала и провела эксперименты на животных; А.В.А. измерял активности дегидрогеназ 2-оксокислот; О.Н.С. измеряла активность ТКТ и содержание ТДФ; А.Л.К. количественно определял аминокислоты; А.В.Г., А.В.А. и В.И.Б. анализировали и визуализировали результаты. В.И.Б. разработала концепцию и дизайн исследования, руководила проектом и написала текст статьи.
Финансирование. Работа выполнена при финансовой поддержке Государственной темы AAAA-A19-119042590056-2.
Конфликт интересов. Авторы данной работы заявляют об отсутствии конфликта интересов.
Соблюдение этических норм. Данная работа не содержит исследований с участием людей. Все эксперименты на животных были одобрены Биоэтическим комитетом МГУ имени М.В. Ломоносова (протокол 137-д от 11.11.2022).
About the authors
A. V. Graf
Lomonosov Moscow State University
Email: bunik@belozersky.msu.ru
Russian Federation, 119234, Moscow
A. V. Artiukhov
Lomonosov Moscow State University; Sechenov Medical University
Email: bunik@belozersky.msu.ru
Russian Federation, 119234, Moscow; 105043, Moscow
O. N. Solovyeva
Lomonosov Moscow State University
Email: bunik@belozersky.msu.ru
Russian Federation, 119234, Moscow
A. L. Ksenofontov
Lomonosov Moscow State University
Email: bunik@belozersky.msu.ru
Russian Federation, 119234, Moscow
V. I. Bunik
Lomonosov Moscow State University; Sechenov Medical University
Author for correspondence.
Email: bunik@belozersky.msu.ru
Russian Federation, 119234, Moscow; 105043, Moscow
References
- White, P. J., McGarrah, R. W., Herman, M. A., Bain, J. R., Shah, S. H., and Newgard, C. B. (2021) Insulin action, type 2 diabetes, and branched-chain amino acids: a two-way street, Mol. Metab., 52, 101261, https://doi.org/10.1016/ j.molmet.2021.101261.
- Tobias, D. K., Mora, S., Verma, S., and Lawler, P. R. (2018) Altered branched chain amino acid metabolism: toward a unifying cardiometabolic hypothesis, Curr. Opin. Cardiol., 33, 558-564, https://doi.org/10.1097/HCO.0000000000000552.
- Desine, S., Gabriel, C. L., Smith, H. M., Antonetti, O. R., Wang, C., Calcutt, M. W., Doran, A. C., Silver, H. J., Nair, S., Terry, J. G., Carr, J. J., Linton, M. F., Brown, J. D., Koethe, J. R., and Ferguson, J. F. (2023) Association of alpha-aminoadipic acid with cardiometabolic risk factors in healthy and high-risk individuals, Front. Endocrinol. (Lausanne), 14, 1122391, https://doi.org/10.3389/fendo.2023.1122391.
- Zhao, X., Zhang, X., Pei, J., Liu, Y., Niu, W., and Sun, H. (2023) Targeting BCAA metabolism to potentiate metformin’s therapeutic efficacy in the treatment of diabetes in mice, Diabetologia, 66, 2139-2153, https:// doi.org/10.1007/s00125-023-05985-6.
- Rivera, C. N., Watne, R. M., Brown, Z. A., Mitchell, S. A., Wommack, A. J., and Vaughan, R. A. (2023) Effect of AMPK activation and glucose availability on myotube LAT1 expression and BCAA utilization, Amino Acids, 55, 275-286, https://doi.org/10.1007/s00726-022-03224-7.
- Navarro, D., Zwingmann, C., and Butterworth, R. F. (2008) Impaired oxidation of branched-chain amino acids in the medial thalamus of thiamine-deficient rats, Metab. Brain Dis., 23, 445-455, https://doi.org/10.1007/ s11011-008-9105-6.
- Navarro, D., Zwingmann, C., and Butterworth, R. F. (2008) Region-selective alterations of glucose oxidation and amino acid synthesis in the thiamine-deficient rat brain: a re-evaluation using 1H/13C nuclear magnetic resonance spectroscopy, J. Neurochem., 106, 603-612, https://doi.org/10.1111/j.1471-4159.2008.05410.x.
- Tsepkova, P. M., Artiukhov, A. V., Boyko, A. I., Aleshin, V. A., Mkrtchyan, G. V., Zvyagintseva, M. A., Ryabov, S. I., Ksenofontov, A. L., Baratova, L. A., Graf, A. V., and Bunik, V. I. (2017) Thiamine induces long-term changes in amino acid profiles and activities of 2-oxoglutarate and 2-oxoadipate dehydrogenases in rat brain, Biochemistry (Moscow), 82, 723-736, https://doi.org/10.1134/S0006297917060098.
- Bunik, V. I. (2023) Editorial: Experts’ opinion in medicine 2022, Front. Med. (Lausanne), 10, 1296196, https:// doi.org/10.3389/fmed.2023.1296196.
- Muley, A., Fernandez, R., Green, H., and Muley, P. (2022) Effect of thiamine supplementation on glycaemic outcomes in adults with type 2 diabetes: a systematic review and meta-analysis, BMJ Open, 12, e059834, https://doi.org/10.1136/bmjopen-2021-059834.
- Tamaki, H., Tsushima, H., Kachi, N., and Jimura, F. (2022) Cardiac dysfunction due to thiamine deficiency after hemodialysis for biguanide-related lactic acidosis, Intern. Med., 61, 2905-2909, https://doi.org/10.2169/ internalmedicine.8697-21.
- Alston, T. A. (2003) Does metformin interfere with thiamine? Arch. Intern. Med., 163, 983; author reply 983, https://doi.org/10.1001/archinte.163.8.983.
- Greenwood, J., and Pratt, O. E. (1985) Comparison of the effects of some thiamine analogues upon thiamine transport across the blood-brain barrier of the rat, J. Physiol., 369, 79-91, https://doi.org/10.1113/jphysiol. 1985.sp015889.
- Dudeja, P. K., Tyagi, S., Kavilaveettil, R. J., Gill, R., and Said, H. M. (2001) Mechanism of thiamine uptake by human jejunal brush-border membrane vesicles, Am. J. Physiol. Cell Physiol., 281, C786-792, https://doi.org/10.1152/ajpcell.2001.281.3.C786.
- Bizon-Zygmanska, D., Jankowska-Kulawy, A., Bielarczyk, H., Pawelczyk, T., Ronowska, A., Marszall, M., and Szutowicz, A. (2011) Acetyl-CoA metabolism in amprolium-evoked thiamine pyrophosphate deficits in cholinergic SN56 neuroblastoma cells, Neurochem. Int., 59, 208-216, https://doi.org/10.1016/j.neuint.2011.04.018.
- Bunik, V. I., Tylicki, A., and Lukashev, N. V. (2013) Thiamin diphosphate-dependent enzymes: from enzymology to metabolic regulation, drug design and disease models, FEBS J., 280, 6412-6442, https://doi.org/10.1111/ febs.12512.
- Wernery, U., Haydn-Evans, J., and Kinne, J. (1998) Amprolium-induced cerebrocortical necrosis (CCN) in dromedary racing camels, Zentralbl. Veterinarmed. B, 45, 335-343, https://doi.org/10.1111/j.1439-0450.1998.tb00802.x.
- Kasahara, T., Ichijo, S., Osame, S., and Sarashina, T. (1989) Clinical and biochemical findings in bovine cerebrocortical necrosis produced by oral administration of amprolium, Nihon Juigaku Zasshi, 51, 79-85, https:// doi.org/10.1292/jvms1939.51.79.
- Frye, T. M., Williams, S. N., and Graham, T. W. (1991) Vitamin deficiencies in cattle, Vet. Clin. North Am. Food Anim. Pract., 7, 217-275, https://doi.org/10.1016/s0749-0720(15)30817-3.
- Tanwar, R. K., Malik, K. S., and Gahlot, A. K. (1994) Polioencephalomalacia induced with amprolium in buffalo calves--clinicopathologic findings, Zentralbl. Veterinarmed. A, 41, 396-404, https://doi.org/10.1111/j.1439-0442. 1994.tb00106.x.
- Nikov, S., Ivanov, I. T., Simeonov, S. P., Stoikov, D., and Iordanova, V. (1983) Cerebrocortical necrosis in calves, sheep and goats, Vet. Med. Nauki, 20, 58-67.
- Thornber, E. J., Elliott, L. E., Kerr, D., Marriott, J. M., and Massera, F. C. (1983) Thiamin inadequacy in infants: lack of evidence of amprolium in egg yolk, Aust. N. Z. J. Med., 13, 51-52, https://doi.org/10.1111/j.1445-5994. 1983.tb04549.x.
- Moraes, J. O., Rodrigues, S. D. C., Pereira, L. M., Medeiros, R. C. N., de Cordova, C. A. S., and de Cordova, F. M. (2018) Amprolium exposure alters mice behavior and metabolism in vivo, Animal Model Exp. Med., 1, 272-281, https://doi.org/10.1002/ame2.12040.
- Lemos, C., Faria, A., Meireles, M., Martel, F., Monteiro, R., and Calhau, C. (2012) Thiamine is a substrate of organic cation transporters in Caco-2 cells, Eur. J. Pharmacol., 682, 37-42, https://doi.org/10.1016/j.ejphar.2012.02.028.
- Aleshin, V. A., Mkrtchyan, G. V., and Bunik, V. I. (2019) Mechanisms of non-coenzyme action of thiamine: protein targets and medical significance, Biochemistry (Moscow), 84, 829-850, https://doi.org/10.1134/S0006297919080017.
- Liang, X., Chien, H. C., Yee, S. W., Giacomini, M. M., Chen, E. C., Piao, M., Hao, J., Twelves, J., Lepist, E. I., Ray, A. S., and Giacomini, K. M. (2015) Metformin is a substrate and inhibitor of the human thiamine transporter, THTR-2 (SLC19A3), Mol. Pharm., 12, 4301-4310, https://doi.org/10.1021/acs.molpharmaceut.5b00501.
- Oliveira, W. H., Nunes, A. K., Franca, M. E., Santos, L. A., Los, D. B., Rocha, S. W., Barbosa, K. P., Rodrigues, G. B., and Peixoto, C. A. (2016) Effects of metformin on inflammation and short-term memory in streptozotocin-induced diabetic mice, Brain Res., 1644, 149-160, https://doi.org/10.1016/j.brainres.2016.05.013.
- Gould, T. D., Dao, D. T., and Kovacsics, C. E. (2009) The Open Field Test, in Mood and Anxiety Related Phenotypes in Mice (Gould, T. D., ed.) Humana Press/Springer Nature, pp. 1-20, https://doi.org/10.1007/978-1-60761-303-9_1.
- Aleshin, V. A., Graf, A. V., Artiukhov, A. V., Boyko, A. I., Ksenofontov, A. L., Maslova, M. V., Nogues, I., di Salvo, M. L., and Bunik, V. I. (2021) Physiological and biochemical markers of the sex-specific sensitivity to epileptogenic factors, delayed consequences of seizures and their response to vitamins B1 and B6 in a rat model, Pharmaceuticals (Basel), 14, 737, https://doi.org/10.3390/ph14080737.
- Graf, A. V., Maslova, M. V., Artiukhov, A. V., Ksenofontov, A. L., Aleshin, V. A., and Bunik, V. I. (2022) Acute prenatal hypoxia in rats affects physiology and brain metabolism in the offspring, dependent on sex and gestational age, Int. J. Mol. Sci., 23, 2579, https://doi.org/10.3390/ijms23052579.
- De La Haba, G., Leder, I. G., and Racker, E. (1955) Crystalline transketolase from bakers’ yeast: isolation and properties, J. Biol. Chem., 214, 409-426.
- Aleshin, V. A., Kaehne, T., Maslova, M. V., Graf, A. V., and Bunik, V. I. (2024) Posttranslational acylations of the rat brain transketolase discriminate the enzyme responses to inhibitors of ThDP-dependent enzymes or thiamine transport, Int. J. Mol. Sci., 25, 917, https://doi.org/10.3390/ijms25020917.
- Hinman, L. M., and Blass, J. P. (1981) An NADH-linked spectrophotometric assay for pyruvate dehydrogenase complex in crude tissue homogenates, J. Biol. Chem., 256, 6583-6586.
- Schwab, M. A., Kolker, S., van den Heuvel, L. P., Sauer, S., Wolf, N. I., Rating, D., Hoffmann, G. F., Smeitink, J. A., and Okun, J. G. (2005) Optimized spectrophotometric assay for the completely activated pyruvate dehydrogenase complex in fibroblasts, Clin. Chem., 51, 151-160, https://doi.org/10.1373/clinchem.2004.033852.
- Artiukhov, A. V., Graf, A. V., Kazantsev, A. V., Boyko, A. I., Aleshin, V. A., Ksenofontov, A. L., and Bunik, V. I. (2022) Increasing inhibition of the rat brain 2-oxoglutarate dehydrogenase decreases glutathione redox state, elevating anxiety and perturbing stress adaptation, Pharmaceuticals (Basel), 15, 182, https://doi.org/10.3390/ph15020182.
- Ksenofontov, A. L., Boyko, A. I., Mkrtchyan, G. V., Tashlitsky, V. N., Timofeeva, A. V., Graf, A. V., Bunik, V. I., and Baratova, L. A. (2017) Analysis of free amino acids in mammalian brain extracts, Biochemistry (Moscow), 82, 1183-1192, https://doi.org/10.1134/S000629791710011X.
- Hagberg, H., Lehmann, A., Sandberg, M., Nystrom, B., Jacobson, I., and Hamberger, A. V. (1985) Ischemia-induced shift of inhibitory and excitatory amino acids from intra- to extracellular compartments, J. Cereb. Blood Flow Metab., 5, 413-319, https://doi.org/10.1038/jcbfm.1985.56.
- Ellison, D. W., Beal, M. F., and Martin, J. B. (1987) Phosphoethanolamine and ethanolamine are decreased in Alzheimer’s disease and Huntington’s disease, Brain Res., 417, 389-392, https://doi.org/10.1016/0006-8993(87)90471-9.
- Suarez, L. M., Munoz, M. D., Martin Del Rio, R. and Solis, J. M. (2016) Taurine content in different brain structures during ageing: effect on hippocampal synaptic plasticity, Amino Acids, 48, 1199-1208, https://doi.org/10.1007/s00726-015-2155-2.
- Turner, O., Phoenix, J., and Wray, S. (1994) Developmental and gestational changes of phosphoethanolamine and taurine in rat brain, striated and smooth muscle, Exp. Physiol., 79, 681-689, https://doi.org/10.1113/ expphysiol.1994.sp003800.
- Artiukhov, A. V., Aleshin, V. A., Karlina, I. S., Kazantsev, A. V., Sibiryakina, D. A., Ksenofontov, A. L., Lukashev, N. V., Graf, A. V., and Bunik, V. I. (2022) Phosphonate inhibitors of pyruvate dehydrogenase perturb homeostasis of amino acids and protein succinylation in the brain, Int. J. Mol. Sci., 23, 13186, https://doi.org/10.3390/ijms232113186.
- Artiukhov, A. V., Pometun, A. A., Zubanova, S. A., Tishkov, V. I., and Bunik, V. I. (2020) Advantages of formate dehydrogenase reaction for efficient NAD(+) quantification in biological samples, Anal. Biochem., 603, 113797, https://doi.org/10.1016/j.ab.2020.113797.
- Kochetov, G. A. (1982) Transketolase from yeast, rat liver, and pig liver, Methods Enzymol., 90 Pt E, 209-223, https://doi.org/10.1016/s0076-6879(82)90128-8.
- Artiukhov, A. V., Solovjeva, O. N., Balashova, N. V., Sidorova, O. P., Graf, A. V., and Bunik, V. I. (2024) Pharmacological doses of thiamine benefit patients with the Charcot–Marie–Tooth neuropathy by changing thiamine diphosphate levels and affecting regulation of thiamine-dependent enzymes, Biochemistry (Moscow), 89, 1-22, https://doi.org/10.1134/S0006297924070010.
- Huang, H. M., Chen, H. L., and Gibson, G. E. (2010) Thiamine and oxidants interact to modify cellular calcium stores, Neurochem. Res., 35, 2107-2116, https://doi.org/10.1007/s11064-010-0242-z.
- Karuppagounder, S. S., Xu, H., Shi, Q., Chen, L. H., Pedrini, S., Pechman, D., Baker, H., Beal, M. F., Gandy, S. E., and Gibson, G. E. (2009) Thiamine deficiency induces oxidative stress and exacerbates the plaque pathology in Alzheimer’s mouse model, Neurobiol. Aging, 30, 1587-1600, https://doi.org/10.1016/j.neurobiolaging.2007.12.013.
- Nicoletti, V. G., Santoro, A. M., Grasso, G., Vagliasindi, L. I., Giuffrida, M. L., Cuppari, C., Purrello, V. S., Stella, A. M., and Rizzarelli, E. (2007) Carnosine interaction with nitric oxide and astroglial cell protection, J. Neurosci. Res., 85, 2239-2245, https://doi.org/10.1002/jnr.21365.
- Ke, C. J., He, Y. H., He, H. W., Yang, X., Li, R., and Yuan, J. (2014) A new spectrophotometric assay for measuring pyruvate dehydrogenase complex activity: a comparative evaluation, Anal. Methods, 6, 6381-6388, https:// doi.org/10.1039/c4ay00804a.
- Roelofs, K. (2017) Freeze for action: neurobiological mechanisms in animal and human freezing, Philos. Trans. R. Soc. Lond. B Biol. Sci., 372, https://doi.org/10.1098/rstb.2016.0206.
- Page, S. W. (2008) Antiparasitic drugs, in Small Animal Clinical Pharmacology (Maddison, J. E., Page, S. W., and Church, D. B., eds) Saunders Ltd., Philadelphia, pp. 198-260.
- Bunik, V. I., Artiukhov, A. V., Kazantsev, A. V., Aleshin, V. A., Boyko, A. I., Ksenofontov, A. L., Lukashev, N. V., and Graf, A. V. (2022) Administration of phosphonate inhibitors of dehydrogenases of 2-oxoglutarate and 2-oxoadipate to rats elicits target-specific metabolic and physiological responses, Front. Chem., 10, 892284, https:// doi.org/10.3389/fchem.2022.892284.
- Sambon, M., Pavlova, O., Alhama-Riba, J., Wins, P., Brans, A., and Bettendorff, L. (2022) Product inhibition of mammalian thiamine pyrophosphokinase is an important mechanism for maintaining thiamine diphosphate homeostasis, Biochim. Biophys. Acta Gen. Subj., 1866, 130071, https://doi.org/10.1016/j.bbagen.2021.130071.
- Bunik, V. I., Raddatz, G., and Strumilo, S. A. (2013) Translating enzymology into metabolic regulation: the case of the 2-oxoglutarate dehydrogenase multienzyme complex, Curr. Chem. Biol., 7, 74-93, https://doi.org/10.2174/ 2212796811307010008.
- Graf, A., Trofimova, L., Ksenofontov, A., Baratova, L., and Bunik, V. (2020) Hypoxic adaptation of mitochondrial metabolism in rat cerebellum decreases in pregnancy, Cells, 9, https://doi.org/10.3390/cells9010139.
- Kazyken, D., Dame, S. G., Wang, C., Wadley, M., and Fingar, D. C. (2024) Unexpected roles for AMPK in the suppression of autophagy and the reactivation of MTORC1 signaling during prolonged amino acid deprivation, Autophagy, 20, 2017-2040, https://doi.org/10.1080/15548627.2024.2355074.
- Barnaba, C., Broadbent, D. G., Kaminsky, E. G., Perez, G. I., and Schmidt, J. C. (2024) AMPK regulates phagophore-to-autophagosome maturation, J. Cell Biol., 223, https://doi.org/10.1083/jcb.202309145.
- Seliger, C., Rauer, L., Wuster, A. L., Moeckel, S., Leidgens, V., Jachnik, B., Ammer, L. M., Heckscher, S., Dettmer, K., Riemenschneider, M. J., Oefner, P. J., Proescholdt, M., Vollmann-Zwerenz, A., and Hau, P. (2023) Heterogeneity of amino acid profiles of proneural and mesenchymal brain-tumor initiating cells, Int. J. Mol. Sci., 24, https:// doi.org/10.3390/ijms24043199.
- Welch, N., Singh, S. S., Kumar, A., Dhruba, S. R., Mishra, S., Sekar, J., Bellar, A., Attaway, A. H., Chelluboyina, A., Willard, B. B., Li, L., Huo, Z., Karnik, S. S., Esser, K., Longworth, M. S., Shah, Y. M., Davuluri, G., Pal, R., and Dasarathy, S. (2021) Integrated multiomics analysis identifies molecular landscape perturbations during hyperammonemia in skeletal muscle and myotubes, J. Biol. Chem., 297, 101023, https://doi.org/10.1016/ j.jbc.2021.101023.
- Fitzpatrick, S. M., Hetherington, H. P., Behar, K. L., and Shulman, R. G. (1989) Effects of acute hyperammonemia on cerebral amino acid metabolism and pHi in vivo, measured by 1H and 31P nuclear magnetic resonance, J. Neurochem., 52, 741-749, https://doi.org/10.1111/j.1471-4159.1989.tb02517.x.
- Haberle, J. (2013) Clinical and biochemical aspects of primary and secondary hyperammonemic disorders, Arch. Biochem. Biophys., 536, 101-108, https://doi.org/10.1016/j.abb.2013.04.009.
- Boyko, A. I., Artiukhov, A. V., Kaehne, T., di Salvo, M. L., Bonaccorsi di Patti, M. C., Contestabile, R., Tramonti, A., and Bunik, V. I. (2020) Isoforms of the DHTKD1-encoded 2-oxoadipate dehydrogenase, identified in animal tissues, are not observed upon the human DHTKD1 expression in bacterial or yeast systems, Biochemistry (Moscow), 85, 920-929, https://doi.org/10.1134/S0006297920080076.
- Artiukhov, A. V., Grabarska, A., Gumbarewicz, E., Aleshin, V. A., Kahne, T., Obata, T., Kazantsev, A. V., Lukashev, N. V., Stepulak, A., Fernie, A. R., and Bunik, V. I. (2020) Synthetic analogues of 2-oxo acids discriminate metabolic contribution of the 2-oxoglutarate and 2-oxoadipate dehydrogenases in mammalian cells and tissues, Sci. Rep., 10, 1886, https://doi.org/10.1038/s41598-020-58701-4.
- Fan, J., Li, D., Chen, H. S., Huang, J. G., Xu, J. F., Zhu, W. W., Chen, J. G., and Wang, F. (2019) Metformin produces anxiolytic-like effects in rats by facilitating GABA(A) receptor trafficking to membrane, Br. J. Pharmacol., 176, 297-316, https://doi.org/10.1111/bph.14519.
- Li, G. F., Zhao, M., Zhao, T., Cheng, X., Fan, M., and Zhu, L. L. (2019) Effects of metformin on depressive behavior in chronic stress rats, Zhongguo Ying Yong Sheng Li Xue Za Zhi, 35, 245-249, https://doi.org/10.12047/ j.cjap.5775.2019.052.
Supplementary files









