The influence of nucleotide context on non-specific amplification of DNA with Bst exo- DNA polymerase
- Authors: Garafutdinov R.R.1, Kupova O.Y.1, Sakhabutdinova A.R.1
-
Affiliations:
- Ufa Federal Research Center, Russian Academy of Sciences
- Issue: Vol 89, No 1 (2024)
- Pages: 61-73
- Section: Articles
- URL: https://journals.rcsi.science/0320-9725/article/view/260447
- DOI: https://doi.org/10.31857/10.31857/S0320972524010039
- EDN: https://elibrary.ru/YRMIAM
- ID: 260447
Cite item
Full Text
Abstract
In recent years, nucleic acid amplification methods that proceed in isothermal mode and require the use of DNA polymerases with strand-displacement activity have become increasingly widespread. Among these, the most popular is the Bst exo- polymerase, but it tends to carry out nonspecific DNA synthesis through multimerization. This study shows the influence of the nucleotide sequence on the binding of Bst exo- with DNA and on the efficiency of multimerization initiation. On single-stranded trinucleotides (sst) and dinucleotide duplexes (dst), molecular docking revealed the preference for binding of the “closed” form of Bst exo- to purine-rich sequences, especially those containing dG at the 3′ end of the synthesized strand. The data obtained in silico were confirmed in experiments using oligonucleotide templates that differ in the structure of the 3′- and 5′-terminal motifs. It has been shown that templates with an oligopurine 3′-terminal fragment and an oligopyrimidine 5′-terminal part contribute to an earlier start of multimerization. The obtained data can be used at the stage of selecting optimal nucleotide sequences for isothermal amplification, ensuring more reliable results. Thus, to avoid multimerization, DNA templates and primers containing terminal dA and/or dG nucleotides should be excluded.
Full Text
Принятые сокращения: а/к – аминокислоты; ЛМ – линейная матрица; ММ – мультимеризация; dst – двуцепочечный тринуклеотид; sb – ионные связи (солевые мостики); sst – одноцепочечный тринуклеотид.
Введение
Амплификация нуклеиновых кислот (НК) – основа молекулярно-биологических и генетических исследований, методов генной инженерии, ДНК/РНК-диагностики. Наиболее используемым методом амплификации НК является полимеразная цепная реакция, однако в силу ряда причин, ограничивающих её применение, были разработаны подходы, не требующие термоциклирования (изотермическая амплификация) [1–3]. Для проведения изотермической амплификации необходимы ДНК-полимеразы с цепь-вытесняющей активностью, обеспечивающие денатурацию двуцепочечной ДНК при умеренной (50–60 °С) температуре. В настоящее время коммерчески доступны различные ДНК- и РНК-полимеразы [4]. Среди цепь-вытесняющих полимераз чаще всего используется Bst exo- (большой фрагмент ДНК-полимеразы I из Geobacillus stearothermophilus), обладающая сильной цепь-вытесняющей активностью, умеренной термостабильностью и высокой процессивностью [5], но склонная вести синтез побочных продуктов посредством мультимеризации (ММ) [6, 7].
ММ – наиболее изученная реакция неспецифической изотермической амплификации, приводящая к наработке характерных продуктов (мультимеров): набора ампликонов кратной длины, состоящих из тандемных олигонуклеотидных повторов [7]. Согласно работе Wang et al. [8], ММ начинается с образования псевдоциклической ДНК-структуры благодаря частичной денатурации ампликонов («дыханию» цепей ДНК) с последующим изгибом свободных 3′-концов и их отжигом на противоположной части дуплекса. Показано, что этот процесс обусловлен ионным взаимодействием фосфатного остова синтезируемых цепей ДНК с поверхностными аминогруппами полимеразы [9]. Были определены условия, способствующие инициации ММ. Так, более ранний запуск ММ наблюдается при использовании полимеразы Bst 2.0 («New England Biolabs», США), для ДНК-матриц длиной около 50 нт, при наличии в реакционной смеси восстанавливающих агентов (например, β-меркаптоэтанола), при температуре 55–60 °С, при пониженном содержании интеркалирующих красителей [7]. Протекание ММ не позволяет дифференцировать результаты амплификации специфической мишени и реакции неспецифического синтеза, что резко снижает достоверность НК-анализа, основанного на изотермической амплификации [10, 11]. В частности, в условиях реакции EXPAR, протекающей под действием Bst exo- в присутствии никующих эндонуклеаз (никаз) [12], тестовые образцы и образцы отрицательного контроля демонстрируют близкие значения порогового времени (Tt), соответствующего началу экспоненциальной стадии накопления детектируемого количества продуктов амплификации [13]. Для данной реакции было показано, что более ранний старт неспецифической амплификации наблюдается для ДНК-матриц, богатых пуриновыми нуклеотидами [14].
Хотя были предложены различные способы предотвращения ММ [9, 15–17], потребность в получении достоверных результатов обусловливает проведение дальнейших исследований, посвящённых подробному изучению свойств ДНК-полимеразы Bst exo-. Целью данной работы стали изучение предпочтительности связывания ДНК-полимеразы Bst exo- с определёнными нуклеотидными последовательностями и оценка влияния первичной структуры ДНК-матриц на эффективность запуска ММ.
Материалы и методы
Молекулярный докинг проводился с использованием пакета программ Schrodinger Suite 2016-4 [18], как описано в работе Garafutdinov et al. [19]. Были взяты три пространственные структуры ДНК-полимеразы Bst exo- из базы данных PDB: 1L3S («открытая»), 2HVI («полуоткрытая») и 1LV5 («закрытая»). Молекулярную структуру полимеразы подготавливали для расчётов с помощью модуля Protein Preparation Wizard [20, 21], устраняя такие неточности, как отсутствующие атомы водорода, ошибочный порядок связей, неверная ориентация боковых групп. Исходные ДНК-дуплексы были удалены из структур комплексов. Одноцепочечные тринуклеотиды (sst) и двуцепочечные тринуклеотиды (dst) моделировали с помощью приложения Discovery Studio v.4.1 Visualizer («Dassault Systèmes», Франция) и далее подготавливали для расчётов с помощью модуля LigPrep. Комплексы «ДНК–ДНК-полимераза» рассчитывали с помощью модуля Glide Docking. Точность расчётов была выбрана как XP Docking.
Использованные реагенты: ДНК-полимераза Bst LF (Bst Large Fragment), буферы Thermopol и Isothermal, ДНК-маркер 50 bp DNA Ladder («New England Biolabs»), буфер для ДНК-полимеразы Taq («СибЭнзим», Россия), дНТФ («Биолабмикс», Россия), интеркалирующий краситель dsGreen («Люмипроб», Россия), акриламид, N,N′-метиленбисакриламид, Tris, персульфат аммония, динатриевая соль N,N,N′,N′-этилендиаминтетрауксусной кислоты, N,N,N′,N′-тетраметилэтилендиамин («Sigma», Германия). Все растворы готовили на воде высшей категории качества (> 18 МОм) («Millipore», Франция).
Олигонуклеотидные матрицы и праймеры конструировали в инструменте OligoAnalyzer (https://www.idtdna.com/pages/tools/oligoanalyzer) и анализировали с помощью ресурса BLAST (https://blast.ncbi.nlm.nih.gov/Blast.cgi) на предмет отсутствия их гомологии с какими-либо известными нуклеотидными последовательностями. Олигонуклеотиды синтезировали в ООО «Синтол» (Россия), их последовательности приведены в табл. 1.
Таблица 1. Использованные олигонуклеотидные ДНК-матрицы и праймеры к ним*
№№ | Шифр | Последовательность, 5′→3′ | Длина, нт | Tотж.**, °C |
1 | ЛМ1 | GTCACGTCAGTCCTGTAGTGCTCAGTGTCGTCGTACAGCCTACATTGCAGA | 51 | 27,3/22,3 |
2 | ЛМ2 | CTCTCTCTCTCGCTGACGTGCTCAGTGTCGTCGTACAGCCTAAGGAGAAGA | 51 | 20,3/19,8 |
3 | ЛМ3 | AGGAGAAGACTGCTGACGTGCTCAGTGTCGTCGTACAGCCTACTCTTCCTC | 51 | 19,8/21,3 |
4 | ЛМ4 | CTGCCGCGACTGCTGACGTGCTCAGTGTCGTCGTACAGCCTACTATTATTA | 51 | 40,1/0,7 |
5 | ЛМ5 | ATTATTATACTGCTGACGTGCTCAGTGTCGTCGTACAGCCTACGCGGCCGC | 51 | 0,0/50,4 |
6 | ЛМ6 | CAGAСGTCAGTCCTGTAGTGCTCAGTGTCGTCGTACAGCCTACATTGCAGA | 51 | 26,6/22/3 |
7 | F1 | GTCACGTCAGTCCTGTAGTGCTCAGT | 26 | 61,6 |
8 | F2 | CTCTCTCTCTCGCTGACGTGCTCAGT | 26 | 63,1 |
9 | R2 | TCTTCTCCTTAGGCTGTACGACGAC | 25 | 59,5 |
10 | F3 | AGGAGAAGACTGCTGACGTGCTCAGT | 26 | 63,1 |
11 | R3 | GAGGAAGAGTAGGCTGTACGACGAC | 25 | 60,0 |
12 | F4 | CTGCCGCGACTGCTGACGTGCTCAGT | 26 | 68,3 |
13 | R4 | TAATAATAGTAGGCTGTACGACGAC | 25 | 53,6 |
14 | F5 | ATTATTATACTGCTGACGTGCTCAGT | 26 | 56,0 |
15 | R5 | GCGGCCGCGTAGGCTGTACGACGAC | 25 | 68,9 |
16 | F6 | CAGACGTCAGTCCTGTAGTGCTCAGT | 26 | 61,4 |
17 | R1/6 | TCTGCAATGTAGGCTGTACGACGAC | 25 | 60,5 |
* Подчёркиванием отмечена последовательность, общая для всех матриц, курсивом выделена последовательность, общая для матриц ЛМ2–ЛМ5.
** Tотж. – температура отжига 5′-/3′-концевых мотивов (выделены жирным шрифтом), найдена с помощью OligoAnalyzer.
Амплификационные эксперименты проводили следующим образом. Образцы для амплификации готовили в ПЦР-боксе UVC/TM-AR («Biosan», Латвия), предварительно облучая рабочее пространство, дозаторы и пластиковую посуду ультрафиолетом в течение 20 мин. Реакцию ММ проводили в приборе iQ5 («Bio-Rad Laboratories», США). Образцы объёмом 10 мкл содержали 107 копий ДНК-матрицы, 5 пмоль каждого праймера, 1 мкл смеси дНТФ с концентрацией 2,5 мМ каждого, 3,0 ед. акт. ДНК-полимеразы Bst LF, 1× буфер ДНК-полимеразы, 0,1× dsGreen. Программа амплификации состояла из следующих этапов: 1) 70 °С – 30 с, 2) 65 °С – 60 с, 3) 60 °С – 3 ч. Каждый образец был представлен в трёх повторах. Результаты ММ анализировали дополнительно с помощью электрофореза в 10%-ном полиакриламидном геле с окрашиванием бромистым этидием и визуализацией в системе GelDoc XR («Bio-Rad Laboratories»).
Результаты и обсуждение
Ранее при изучении ММ, протекающей под действием ДНК-полимеразы Bst exo-, нами было обнаружено различие во времени начала экспоненциальной стадии данной реакции (соответствует началу накопления детектируемого количества продуктов) при использовании в качестве ДНК-матриц олигонуклеотидов одинаковой длины (около 50 нт), но разного нуклеотидного состава [7, 16]. На примере реакции EXPAR зарубежными авторами было показано, что величина порогового времени для образцов отрицательного контроля, в которых протекал неспецифический ДНК-синтез, также зависит от первичной структуры используемых ДНК-матриц [14]. Вероятно, сила взаимодействия (прочность связывания) полимеразы Bst exo- с теми или иными нуклеотидами для матриц с разным нуклеотидным составом варьирует настолько, что может обусловливать заметное различие в скорости образования и/или стабильности соответствующих фермент-субстратных комплексов, инициирующих запуск неспецифического ДНК-синтеза. Таким образом, изотермическая амплификация в этом случае будет контекстно-зависимой.
Для проверки справедливости данного предположения нами изучены комплексы полимеразы Bst exo- с ДНК с помощью молекулярного докинга и оценена эффективность запуска MM, выраженная в значениях порогового времени Tt, для матриц с различающимся нуклеотидным составом концевых мотивов. Для молекулярного докинга брали три конформационные формы Bst exo-: «открытую» (PDB: 1L3S), «полуоткрытую» (2HVI) и «закрытую» (1LV5). «Открытая» форма фермента соответствует состоянию связывания полимеразы с двуцепочечной ДНК, «полуоткрытая» – оптимизации конформации активного центра перед присоединением нуклеотида, «закрытая» – каталитическому событию, т.е. в момент присоединения конкретного нуклеотида к растущей цепи [22]. Для проведения in silico исследований использовали программный пакет Schrodinger Suite 2016-4, который позволяет вести расчёты для замороженных состояний молекул. Поскольку целью данной части работы было определение параметров связывания полимеразы с ДНК, а не сайта связывания, расчёты проводились с сохранением исходной конформации белковой молекулы.
Докинг проводили в трёхнуклеотидном приближении для комплексов полимеразы с ДНК, в качестве которых выступали все возможные 64 варианта одноцепочечных тринуклеотидов (далее обозначены как sst) и 64 варианта динуклеотидных дуплексов с одним «свисающим» 5′-концевым нуклеотидом (далее dst, двуцепочечный тринуклеотид) (рис. 1). В указанных ДНК-структурах атомы водорода 5′-фосфатных групп были замещены на метильные группы для исключения влияния данных подвижных (кислых) протонов на результаты докинга. Структуры sst имитировали молекулярный комплекс при гипотетически возможном неспецифическом связывании фермента с одноцепочечной ДНК в активном центре; sst моделировали и далее анализировали с целью их сравнения с dst – ДНК-фрагментами в реальных фермент-субстратных комплексах в момент присоединения нуклеотида. Для sst пространственную ориентацию тринуклеотида задавали аналогично таковой для dst.
Рис. 1. Структура модельных одноцепочечных тринуклеотидов (sst) и динуклеотидных дуплексов (dst)
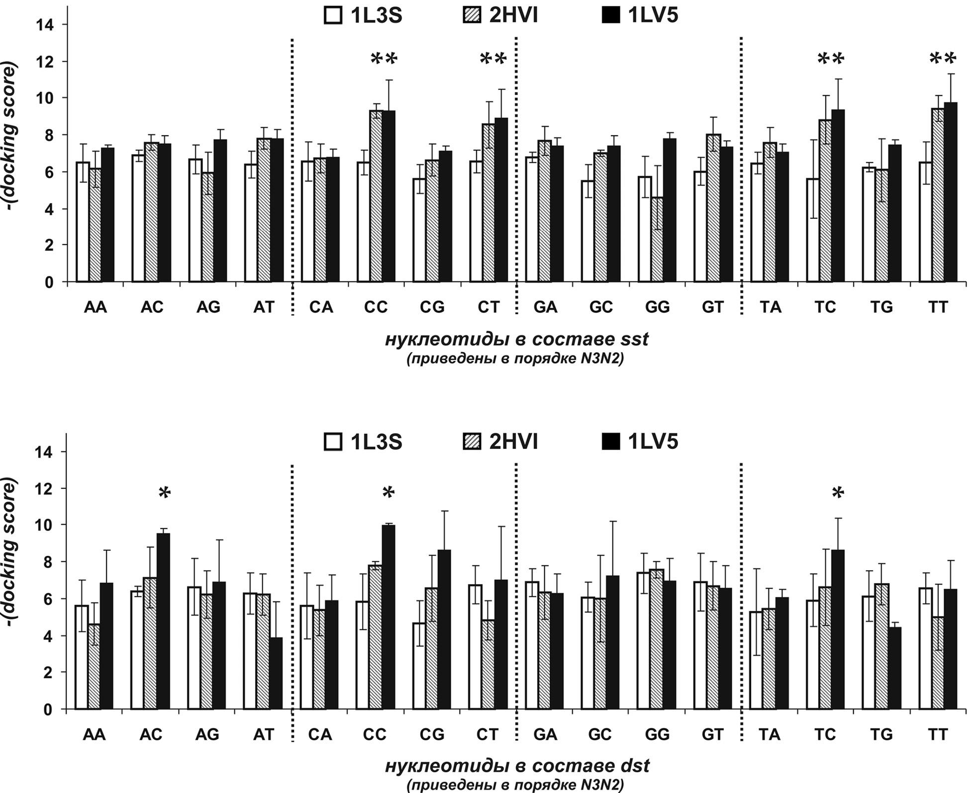
Расчёты были проведены для всех возможных вариантов фермент-субстратных комплексов, образованных тремя формами Bst exo- и модельных ДНК (384 варианта). Они позволили получить значения параметров glide emodel, potential energy и docking score, характеризующих прочность соответствующих молекулярных структур. Величина docking score является интегральной и наиболее точно отображает стабильность комплексов в целом; в случае образования устойчивого комплекса этот показатель имеет отрицательные значения. Для всех 384 структур были получены отрицательные значения docking score (приведены в табл. П1 дополнительных материалов). В случае sst величина docking score принимает значения от −8,147 до −3,150 для 1L3S, от −10,413 до −2,451 для 2HVI и от −11,485 до −6,179 для 1LV5, в случае dst – от −8,617 до −1,944, от −8,733 до −2,470 и от −10,969 до −1,626 соответственно. Бóльший диапазон значений в случае dst объясняется, по всей видимости, меньшим числом возможных для таких ДНК-структур степеней свободы ввиду их двуцепочечного строения, что приводит к снижению количества доступных конформационных состояний, в которых может реализоваться большее число химических взаимодействий в пределах комплекса. В целом, средние значения docking score как для sst, так и для dst оказались достаточно близки и не наблюдалось явной предпочтительности связывания полимеразы с определёнными тринуклеотидами. Однако после нахождения средних значений docking score при рассмотрении только ключевых нуклеотидов (центрального, N2, как связанного с 3′-концевым нуклеотидом растущей цепи, и N3 (5′-концевого), как определяющего тип присоединяемого к растущей цепи нуклеотида) предпочтительность связывания проявилась чётче (табл. П2 дополнительных материалов). Более прочными оказались комплексы, содержащие в ДНК-структурах пиримидиновые нуклеотиды: dC и dT в положениях N2 и N3 для sst и dC в положении N2 для dst (рис. 2).
Рис. 2. Усреднённые значения docking score, полученные при рассмотрении только нуклеотидов N2 и N3 (звёздочкой отмечены динуклеотиды, соответствующие наиболее прочным комплексам)
По-видимому, на прочность связывания ДНК с ферментом оказывает влияние гидрофобность азотистых оснований, которая максимальна у цитозина и минимальна у аденина [23, 24]. Ранее уже было показано влияние структуры и состава полинуклеотидов на эффективность синтеза ДНК in vitro [25, 26], однако данный феномен требует дальнейшего более детального изучения.
Наиболее ярко зависимость взаимодействия фермента с ДНК от нуклеотидного контекста выражена для «закрытой» формы полимеразы 1LV5 с dst. Согласно расчётам, для данных комплексов наблюдается наибольший разброс между минимальным и максимальным значениями docking score (табл. 2). Среди 16 структур, содержащих dC в положении N2, 10 структур характеризуются минимальной величиной docking score в своих группах (четвёрках тринуклеотидов dst). Такое строение соответствует наличию dG на 3′-конце противоположной цепи, что свидетельствует о предпочтительности связывания Bst exo- с dG-богатыми ДНК.
Таблица 2. Значения docking score, найденные для комплексов Bst exo- (форма 1LV5) с ДНК
Нуклеотид N3 | Нуклеотид N2 | Нуклеотид N1 | |||||||
dA | dC | dG | dT | ||||||
sst | dst | sst | dst | sst | dst | sst | dst | ||
dA | dA | −7,176 | −4,592 | −7,524 | −6,289 | −7,162 | −8,920 | −7,292 | −7,423 |
dC | −7,204 | −9,459** | −7,445 | −9,911 | −7,161 | −9,361 | −8,170 | −9,219 | |
dG | −7,251* | −6,117 | −7,605 | −5,776 | −8,480 | −10,329 | −7,643 | −5,280 | |
dT | −7,169 | −3,223 | −8,353 | −6,137 | −7,870 | −4,545 | −7,699 | −1,626 | |
dC | dA | −6,989 | −6,114 | −7,022 | −3,971 | −6,179 | −6,095 | −6,982 | −7,335 |
dC | −10,743 | −9,838 | −9,536 | −10,034 | −7,015 | −10,022 | −9,811 | −10,043 | |
dG | −7,468 | −9,298 | −6,925 | −9,571 | −6,914 | −10,119 | −7,193 | −5,506 | |
dT | −8,371 | −10,969 | −10,610 | −6,381 | −7,179 | −6,600 | −9,509 | −4,097 | |
dG | dA | −7,606 | −7,354 | −7,865 | −6,139 | −7,212 | −6,759 | −6,868 | −4,806 |
dC | −6,640 | −9,926 | −7,362 | −4,841 | −7,874 | −9,628 | −7,709 | −4,541 | |
dG | −8,001 | −5,318 | −7,886 | −7,772 | −7,203 | −8,030 | −7,920 | −6,616 | |
dT | −7,409 | −6,771 | −6,890 | −6,879 | −7,354 | −7,786 | −7,679 | −4,856 | |
dT | dA | −7,196 | −6,585 | −7,309 | −5,102 | −6,875 | −8,494 | −6,844 | −3,993 |
dC | −10,502 | −9,848 | −9,321 | −3,713 | −7,616 | −10,628 | −9,911 | −10,399 | |
dG | −7,104 | −6,306 | −7,073 | −3,752 | −6,946 | −3,774 | −8,562 | −3,832 | |
dT | −11,485 | −4,870 | −8,670 | −3,092 | −7,744 | −9,705 | −11,067 | −8,361 | |
Минимальное значение (MIN) | −11,485 | −10,969 | −10,610 | −10,034 | −8,480 | −10,628 | −11,067 | −10,399 | |
Максимальное значение (MAX) | −6,640 | −3,223 | −6,890 | −3,092 | −6,179 | −3,774 | −6,844 | −1,626 | |
Δ (MAX−MIN) | 4,845 | 7,746 | 3,720 | 6,942 | 2,301 | 6,854 | 4,223 | 8,773 | |
Среднее значение | −8,020 | −7,287 | −7,962 | −6,210 | −7,299 | −8,175 | −8,179 | −6,121 | |
Стандартное отклонение | 1,500 | 2,314 | 1,073 | 2,204 | 0,530 | 2,096 | 1,256 | 2,486 | |
* Жирным шрифтом выделены максимальные в группе (в четвёрках соответствующих тринуклеотидов с переменным N2) значения docking score.
** Серой заливкой выделены ячейки, соответствующие максимальному значению docking score для структур, содержащих dC в положении N2.
Природа химических взаимодействий, стабилизирующих комплексы, была определена на основании диаграмм взаимодействия лигандов (ДВЛ) – 2D-изображений, на которых аминокислоты (а/к) представлены в виде сфер, окрашенных в соответствии с их химическими свойствами (рис. 3).
Рис. 3. Диаграмма взаимодействия лигандов на примере комплекса Bst exo- с dst (в качестве примера приведён тринуклеотид 5′-САС-3′). В виде сфер представлены а/к: фиолетовые сферы – а/к, несущие положительно заряженные группы, голубые – содержащие полярные группы, зелёные – гидрофобные, красные – несущие отрицательно заряженные группы; цветными линиями и стрелками показаны химические взаимодействия между а/к и окружением: красные стрелки – ионные связи (солевые мостики, sb), синие – водородные связи (Н), отсутствие стрелок – прочие слабые взаимодействия (+)
ДВЛ не отображают расстояния между взаимодействующими группами или атомами и показывают только связи в комплексе между лигандом и рецептором. Оказалось, что Bst exo- связывается с модельными ДНК посредством ионных (sb) и водородных (H) связей и слабых взаимодействий (+). Для всех изученных комплексов ДВЛ позволили определить точки взаимодействия полимеразы с ДНК (данные для 10 наименее стабильных и 10 наиболее стабильных комплексов полимеразы с dst приведены в табл. 3, полные данные представлены в табл. П3 дополнительных материалов). В целом, количество а/к, образующих связи какого-либо из перечисленных типов, достигает нескольких десятков. Максимальное число sb составило 6 в комплексе Bst exo- с 5′-TAA-3′, однако данная структура по величине docking score не входит в группу 10 наиболее стабильных. На основании данных о количестве взаимодействий были определены индексы связывания R по формуле: R = = sb + H + (+). R является интегральным показателем, характеризующим стабильность комплексов в целом. Оказалось, что для 10 наименее прочных комплексов Bst exo- с dst значения R не превышали 30 единиц, в то время как для 10 наиболее прочных они были выше этой величины (табл. 3). В наименее прочных структурах повышено содержание нуклеотида dТ, а в наиболее прочных – dС в нижней трёхнуклеотидной цепи. При этом в dst первой из указанных групп в среднем положении триплета заметно чаще находятся dT (4 варианта из 10) и dG (3 варианта), в dst второй группы – dC (7 вариантов). В 6 структурах из 10, входящих в группу наиболее стабильных комплексов, верхняя цепь содержит 2 пуриновых нуклеотида (оба 3′-концевые), а в трёх присутствует хотя бы один пуриновый нуклеотид. Таким образом, согласно проведённому анализу химических взаимодействий, прочность связывания Bst exo- с ДНК зависит от вида нуклеотидов и для пурин-богатых последовательностей обеспечивает более эффективный запуск реакций побочного ДНК-синтеза. Результаты моделирования полностью коррелируют с ранее полученными экспериментальными данными [14]. По-видимому, для исключения протекания неспецифической амплификации следует избегать ДНК-структур, содержащих концевые нуклеотиды dA и/или dG.
Таблица 3. Тип и количество химических связей в комплексах Bst exo- (форма 1LV5) с dst (приведены данные для 10 комплексов с наибольшим и 10 комплексов с наименьшим значением docking score)
№№ | dst, 3′→5′ | docking score | Тип и количество химических связей | Индекс связывания, R | Количество нуклеотидов | ||||||
sb1* | sb2** | H** | (+)** | dA | dG | dC | dT | ||||
1 | CTA | −10,97 | 1 | 2 | 7 | 25 | 35 | 1 | 1 | 1 | |
2 | TCG | −10,63 | 2 | 2 | 8 | 24 | 36 | 1 | 1 | 1 | |
3 | TCT | −10,40 | 2 | 4 | 6 | 20 | 32 | 1 | 2 | ||
4 | AGG | −10,33 | 2 | 4 | 8 | 20 | 34 | 1 | 2 | ||
5 | CGG | −10,12 | 1 | 3 | 7 | 21 | 32 | 2 | 1 | ||
6 | CCT | −10,04 | 2 | 3 | 7 | 23 | 35 | 2 | 1 | ||
7 | CCC | −10,03 | 1 | 3 | 7 | 23 | 34 | 3 | |||
8 | CCG | −10,02 | 1 | 3 | 9 | 22 | 35 | 1 | 2 | ||
9 | GCA | −9,926 | 1 | 2 | 5 | 23 | 31 | 1 | 1 | 1 | |
10 | ACC | −9,911 | 2 | 2 | 7 | 22 | 33 | 1 | 2 | ||
… | 4 | 7 | 14 | 5 | |||||||
55 | CTT | −4,097 | 1 | 3 | 2 | 20 | 26 | 1 | 2 | ||
56 | TAT | −3,993 | 3 | 3 | 18 | 24 | 1 | 2 | |||
57 | CAC | −3,971 | 3 | 3 | 19 | 25 | 1 | 2 | |||
58 | TGT | −3,832 | 1 | 3 | 2 | 22 | 28 | 1 | 2 | ||
59 | TGG | −3,774 | 1 | 2 | 2 | 21 | 26 | 2 | 1 | ||
60 | TGC | −3,752 | 1 | 3 | 2 | 21 | 27 | 1 | 1 | 1 | |
61 | TCC | −3,713 | 1 | 3 | 1 | 17 | 22 | 2 | 1 | ||
62 | ATA | −3,223 | 1 | 2 | 5 | 14 | 22 | 2 | 1 | ||
63 | TTC | −3,092 | 1 | 3 | 5 | 17 | 26 | 1 | 2 | ||
64 | ATT | −1,626 | 1 | 2 | 3 | 21 | 27 | 1 | 2 | ||
5 | 4 | 7 | 14 | ||||||||
* sb1 – ионные связи между катионом металла (Mn2+) и ДНК.
** Химические связи между ДНК и а/к: sb – ионные связи, Н – водородные связи, (+) – слабые взаимодействия.
Результаты in silico исследований свидетельствуют о несколько бóльшей прочности связывания Bst exo- с пурин-богатыми ДНК-последовательностями. Такая предпочтительность связывания фермента с ДНК не проявляется, по-видимому, в заметной степени при запуске обычных реакций амплификации и непосредственно в ходе синтеза ДНК, протекание которых чётко детерминировано образованием матрицей и праймерами значительного количества прочных вторичных структур. Однако в случае ММ запуск реакции является событием, характеризующимся малой математической вероятностью, поскольку зависит от факторов, влияющих на образование триггерной молекулярной структуры (инициаторного комплекса). ММ протекает следующим образом (рис. 4). Сначала один из праймеров (обозначен как R) отжигается на исходной линейной матрице (ЛМ) I и удлиняется ДНК-полимеразой, в результате чего на первом этапе реакции образуется первичный короткий ДНК-дуплекс (этап 1). Далее за счёт «дыхания» цепей и ионного взаимодействия фосфатных групп ДНК с поверхностными аминогруппами фермента происходит изгиб свободных 3′-концов и их отжиг на противоположной части дуплекса, приводящий к образованию псевдоциклической ДНК-структуры – инициаторного комплекса Ini (этап 2). Элонгация Ini даёт продукт с удвоенной нуклеотидной последовательностью и запускает ММ (этапы 3–5, 6). Включение в реакцию второго праймера (обозначен как F) переводит её в экспоненциальный режим (этапы 6 и i).
Рис. 4. Схема протекания мультимеризации: отжиг и удлинение праймера R на ДНК-матрице I, приводящие к образованию двуцепочечного продукта длиной 1L (этап 1), образование псевдоциклической ДНК-структуры Ini (этап 2), элонгация цепей в Ini, формирование двуцепочечного продукта длиной 2L (этапы 3, 4 и 5б) или отжиг и элонгация праймера R (этапы 3, 4 и 5а), образование матрицы II (этап 5а), вытеснение ДНК-матрицы II и отжиг на ней праймера F (этап 6), формирование полноразмерных ампликонов с тандемными нуклеотидными последовательностями (этапы i). Праймер F и комплементарные ему участки показаны чёрным цветом, праймер R и комплементарные ему участки – серым
Этап 2 лимитирует протекание ММ, поскольку формирование Ini – маловероятное событие. При определённых условиях, обеспечивающих «подвижность» концевых участков цепей ДНК и бóльшую стабильность Ini, возможно смещение равновесия в сторону его образования. Одним из таких условий может служить, предположительно, более прочное связывание полимеразы с 3′-концевыми нуклеотидами цепей ДНК. Экспериментальную оценку данного предположения проводили с использованием шести линейных олигонуклеотидных матриц ЛМ1–ЛМ6 длиной 51 нт, различающихся составом 3′- и 5′-концевых мотивов и имеющих практически идентичную внутреннюю последовательность (табл. 1). Матрицы конструировали таким образом, чтобы исключить образование ими гомо- и гетеродимерных структур, способных к элонгации и ММ в отсутствии праймеров. ЛМ1 состояла из случайным образом перемежающихся пуриновых и пиримидиновых нуклеотидов. Матрица ЛМ2 содержала на 5′-конце пиримидиновые, а на 3′-конце – пуриновые олигонуклеотидные фрагменты длиной 11 и 10 нт соответственно. В ЛМ3 расположение данных фрагментов было противоположным. ЛМ4 и ЛМ5 имели dA/dT- или dG/dC-богатые концы, а ЛМ6 содержала идентичные четырёхнуклеотидные мотивы на 5′- и 3′-концах. Такая структура обеспечивает максимальную стабильность Ini за счёт комплементарности 3′-концов цепей и, как следствие, повышение вероятности запуска ММ, что было использовано нами ранее при разработке методов обнаружения микроРНК [27] и вирусной РНК [28]. Стоит отметить, что пурин-пиримидиновый состав варьировали не только для 3′-, но и для 5′-конца матриц, поскольку при элонгации праймера R образуется комплементарная цепь, с которой также возможен запуск ММ.
Изотермическую амплификацию вели в условиях, способствующих, согласно нашим более ранним данным, эффективной инициации ММ (60 °С, пониженная концентрация интеркалирующего красителя SYBR Green I, реакционный буфер с β-меркаптоэтанолом) – для обеспечения её гарантированного протекания для всех матриц и более точной оценки влияния на неё их нуклеотидного состава. Эффективность запуска реакции оценивали по значениям порогового времени Tt. Следует отметить, что ММ, будучи реакцией неспецифической амплификации (протекает в отсутствии специфической мишени), характеризуется значительными величинами Tt (примерно 30–60 мин для «оптимальных» матриц) [7]. В целом, было обнаружено влияние состава 3′-концов ДНК-матриц на величину Tt (рис. 5), позволившее расположить их в следующем порядке: ЛМ6 > ЛМ2 >> ЛМ1 > ЛМ3 >> ЛМ4. Гель-электрофоретический анализ подтвердил образование характерных мультимерных продуктов (рис. 5, вставка). Матрица ЛМ1, имеющая случайный нуклеотидный состав, показала умеренную склонность к ММ. Наибольшую скорость запуска ММ (наименьшее значение Tt) обеспечила ЛМ6, содержащая идентичные мотивы по концам цепи. Чуть менее эффективно реакция инициируется для ЛМ2, несущей олигопуриновую 3′-концевую и олигопиримидиновую 5′-концевую последовательности. В то же время матрица ЛМ3, в которой данные типы фрагментов расположены в обратном порядке, продемонстрировала значительно меньшую склонность к запуску ММ. Показательно, что наименьшие значения Tt обеспечили ЛМ1, ЛМ2 и ЛМ6, содержащие пуриновые нуклеотиды на 3′-конце. Полученные результаты коррелируют с данными in silico исследований, согласно которым присутствие пуриновых нуклеотидов в качестве 3′-концевых обеспечивает наиболее высокую стабильность комплексов полимеразы с ДНК.
Рис. 5. Накопление продуктов мультимеризации для матриц с различающейся первичной структурой концевых фрагментов (приведены данные, полученные при использовании буфера Taq). Вставка: электрофоретическое разделение мультимеров: 1 – матрица ЛМ1, 2 – ЛМ2, 3 – ЛМ3, 4 – ЛМ4, 5 – ЛМ5, 6 – ЛМ6, М – маркер 50 bp DNA ladder
Для матрицы ЛМ5, имеющей на 3′-конце только нуклеотиды dС и dG (обеспечивают высокую температуру отжига концевого участка), а на 5′-конце – только dA и dT (низкая температура отжига), ММ не протекала, что связано, очевидно, с низкой эффективностью денатурации («дыхания») GC-богатого конца дуплекса. При обратном порядке расположения этих фрагментов (ЛМ4) запуск ММ всё же происходил, но спустя значительное время после начала реакции.
Состав буферной системы влиял на скорость инициации ММ. Тестировали три буфера: Thermopol (рекомендован для Bst LF), Isothermal (для Bst 2.0) и буфер к ДНК-полимеразе Taq производства «СибЭнзим». При равенстве значений pH, концентрации ионов Mg2+ и детергентов указанные буферы содержат разное количество KCl (10, 50 и 25 мМ соответственно), а буфер Taq – дополнительно β-меркаптоэтанол. Наименьшие значения Tt найдены для образцов, содержавших буфер для ДНК-полимеразы Taq (табл. 4). Вероятно, наличие восстанавливающего агента (β-меркаптоэтанол) обусловливает повышение активности ДНК-полимеразы. В целом, результаты, полученные для разных буферных систем, полностью коррелировали с недавно представленными данными [7].
Таблица 4. Зависимость скорости запуска ММ (в значениях порогового времени Tt, мин) от состава буферной системы
ДНК-матрица | Tотж., °C | Среднее пороговое время | ||
буфер Thermopol: 20 мМ Tris-HCl (pH 8,8), 10 мМ (NH4)2SO4, 10 мМ KCl, 2 мМ MgSO4, 0,1% Triton X-100 | буфер Isothermal: 20 мМ Tris-HCl (pH 8,8), 10 мМ (NH4)2SO4, 50 мМ KCl, 2 мМ MgSO4, 0,1% Tween 20 | буфер Taq: 60 мМ Tris-HCl (pH 8,8), 25 мМ KCl, 2 мМ MgCl2, 10 мМ β-меркаптоэтанола, 0,1% Triton X-100 | ||
ЛМ1 | 27,3/22,3 | > 160 | 139 ± 41 | 120 ± 11 |
ЛМ2 | 20,3/19,8 | 147 ± 38 | 113 ± 42 | 75 ± 8 |
ЛМ3 | 19,8/21,3 | – | > 160 | 134 ± 24 |
ЛМ4 | 40,1/0,7 | – | – | > 160 |
ЛМ5 | 0,0/50,4 | – | – | – |
ЛМ6 | 26,6/22/3 | 84 ± 15 | 75 ± 23 | 53 ± 6 |
Интересными представляются результаты, полученные для ДНК-матриц в парах ЛМ2/ЛМ3 и ЛМ4/ЛМ5, имеющих зеркальный порядок расположения концевых мотивов. При равной длине и схожих термодинамических характеристиках образующихся на их основе двуцепочечных ДНК найденные для них значения Tt свидетельствуют о неравнозначности концов первичного дуплекса с точки зрения запуска ММ. Различия в величинах Tt указывают на то, что инициация ММ для использованной молекулярной системы происходит преимущественно со стороны отжига затравочного (R) праймера. По-видимому, после элонгации праймера R и достраивания второй цепи полимераза, не успевая диссоциировать с первичного дуплекса, задерживается на его конце и далее участвует в формировании Ini. Таким образом, хотя «дыхание» цепей ДНК и оказывает некоторое влияние на скорость генерации Ini, в случае сравнимых термодинамических характеристик двуцепочечных структур оно не является определяющим.
Заключение
Ранее было показано, что ДНК-полимераза Bst exo- обеспечивает протекание реакции неспецифической изотермической амплификации – мультимеризации (ММ) – в условиях, способствующих «дыханию» цепей ДНК. В данной работе продемонстрировано влияние также и первичной структуры концевых фрагментов ДНК на запуск ММ. Методом молекулярного докинга выявлены различия в прочности комплексов Bst exo- с ДНК, а для модельных двуцепочечных ДНК обнаружена выраженная предпочтительность её связывания с пурин-богатыми последовательностями, в особенности содержащими dG. Принимая во внимание механизм ММ, повышение стабильности комплекса «ДНК–ДНК-полимераза» должно обеспечивать смещение равновесия в сторону образования псевдоциклической вторичной ДНК-структуры (Ini) и тем самым более ранний запуск реакции.
С данными in silico исследований хорошо коррелируют результаты амплификационных экспериментов, проведённых с использованием ДНК-матриц с различающимися 3′- и 5′-концевыми мотивами. Хотя наибольшую скорость запуска ММ обеспечила матрица, содержащая идентичные фрагменты по концам цепи и приводящая за счёт этого к формированию самой прочной Ini, среди прочих матриц максимальная скорость инициации ММ наблюдалась для ДНК с олигопуриновой 3′-концевой и олигопиримидиновой 5′-концевой последовательностями. Стоит отметить, что зависимость прочности связывания Bst exo- с ДНК от нуклеотидного контекста является только одним из факторов, оказывающих влияние на протекание ММ; определённый вклад вносит также эффективность «дыхания» цепей ДНК, зависящая от их GC-состава. Однако в случае сравнимых термодинамических характеристик двуцепочечных структур пурин-пиримидиновый состав нуклеотидных последовательностей становится, по всей видимости, определяющим при запуске ММ. Таким образом, для исключения неспецифической изотермической амплификации следует избегать ДНК-структур, содержащих концевые нуклеотиды dA и/или dG. В то же время возможно использование ММ для обнаружения специфических НК-мишеней, и в этом случае необходимо конструировать ДНК-матрицы с dA/dG-обогащёнными терминальными мотивами, обеспечивающие более высокую эффективность запуска ММ.
Финансирование. Работа выполнена при финансовой поддержке Российского научного фонда (грант № 22-24-00235).
Благодарности. В работе использовано оборудование Регионального центра коллективного пользования «Агидель» и Центра коллективного пользования «Биомика».
Соблюдение этических норм. Настоящая статья не содержит описания каких-либо исследований с участием людей или животных в качестве объектов.
About the authors
R. R. Garafutdinov
Ufa Federal Research Center, Russian Academy of Sciences
Email: garafutdinovr@gmail.com
Institute of Biochemistry and Genetics
Russian Federation, 450054 Ufa, BashkortostanO. Yu. Kupova
Ufa Federal Research Center, Russian Academy of Sciences
Email: garafutdinovr@gmail.com
Institute of Biochemistry and Genetics
Russian Federation, 450054 Ufa, BashkortostanA. R. Sakhabutdinova
Ufa Federal Research Center, Russian Academy of Sciences
Author for correspondence.
Email: garafutdinovr@gmail.com
Institute of Biochemistry and Genetics
Russian Federation, 450054 Ufa, BashkortostanReferences
- Бодулев О. Л., Сахаров И. Ю. (2020) Изотермические методы амплификации нуклеиновых кислот и их применение в биоанализе, Биохимия, 85, 174-196, doi: 10.31857/S0320972520020037.
- Soroka, M., Wasowicz, B., and Rymaszewska, A. (2021) Loop-mediated isothermal amplification (LAMP): the better sibling of PCR? Cells, 10, 1931, doi: 10.3390/cells10081931.
- Гарафутдинов Р. Р., Сахабутдинова А. Р., Гильванов А. Р., Чемерис А. В. (2021) Амлификация нуклеиновых кислот «катящимся кольцом» – универсальный метод анализа широкого круга биологических мишеней, Биоорг. Химия, 47, 721-740, doi: 10.31857/S0132342321060075.
- Kuznetsova, A. A., Fedorova, O. S., and Kuznetsov, N. A. (2022) Structural and molecular kinetic features of activities of DNA polymerases, Int. J. Mol. Sci., 23, 6373, doi: 10.3390/ijms23126373.
- Oscorbin, I., and Filipenko, M. (2023) Bst polymerase – a humble relative of Taq polymerase, Comput. Struct. Biotechnol. J., 21, 4519-4535, doi: 10.1016/j.csbj.2023.09.008.
- Hafner, G. J., Yang, I. C., Wolter, L. C., Stafford, M. R., and Giffard, P. M. (2001) Isothermal amplification and multimerization of DNA by Bst DNA polymerase, BioTechniques, 30, 852-886, doi: 10.2144/01304rr03.
- Garafutdinov, R. R., Gilvanov, A. R., and Sakhabutdinova, A. R. (2020) The influence of reaction conditions on DNA multimerization during isothermal amplification with Bst DNA polymerase, Appl. Biochem. Biotechnol., 190, 758-771, doi: 10.1007/s12010-019-03127-6.
- Wang, G., Ding, X., Hu, J., Wu, W., Sun, J., and Mu, Y. (2017) Unusual isothermal multimerization and amplification by the strand-displacing DNA polymerases with reverse transcription activities, Sci. Rep., 7, 13928, doi: 10.1038/s41598-017-13324-0.
- Sakhabutdinova, A. R., Kamalov, M. I., Salakhieva, D. V., Mavzyutov, A. R., and Garafutdinov, R. R. (2021) Inhibition of nonspecific polymerase activity using poly(aspartic) acid as a model anionic polyelectrolyte, Anal. Biochem., 628, 114267, doi: 10.1016/j.ab.2021.114267.
- Зырина Н. В., Антипова В. Н. (2021) Неспецифический синтез нуклеиновых кислот в реакциях изотермической амплификации, Биохимия, 86, 1066-1077, doi: 10.31857/S0320972521070101.
- Rolando, J. C., Jue, E., Barlow, J. T., and Ismagilov, R. F. (2020) Real-time kinetics and high-resolution melt curves in single-molecule digital LAMP to differentiate and study specific and non-specific amplification, Nucleic Acids Res., 48, e42, doi: 10.1093/nar/gkaa099.
- Reid, M. S., Le, X. C., and Zhang, H. (2018) Exponential isothermal amplification of nucleic acids and assays for proteins, cells, small molecules, and enzyme activities: an EXPAR example, Angew. Chem. Int. Ed. Engl., 57, 11856-11866, doi: 10.1002/anie.201712217.
- Tan, E., Erwin, B., Dames, S., Ferguson, T., Buechel, M., Irvine, B., Voelkerding, K., and Niemz, A. (2008) Specific versus nonspecific isothermal DNA amplification through thermophilic polymerase and nicking enzyme activities, Biochemistry, 47, 9987-9999, doi: 10.1021/bi800746p.
- Qian, J., Ferguson, T. M., Shinde, D. N., Ramírez-Borrero, A. J., Hintze, A., Adami, C., and Niemz, A. (2012) Sequence dependence of isothermal DNA amplification via EXPAR, Nucleic Acids Res., 40, e87, doi: 10.1093/nar/gks230.
- Garafutdinov, R. R., Sakhabutdinova, A. R., Kupryushkin, M. S., and Pyshnyi, D. V. (2020) Prevention of DNA multimerization during isothermal amplification with Bst exo–DNA polymerase, Biochimie, 168, 259-267, doi: 10.1016/ j.biochi.2019.11.013.
- Сахабутдинова А. Р., Мирсаева Л. Р., Оскорбин И. П., Филипенко М. Л., Гарафутдинов Р. Р. (2020) Устранение мультимеризации ДНК, возникающей при изотермической амплификации в присутствии ДНК полимеразы Bst exo-, Биоорг. Химия, 46, 56-64, doi: 10.31857/S0132342320010091.
- Garafutdinov, R. R., Gilvanov, A. R., Kupova, O. Y., and Sakhabutdinova, A. R. (2020) Effect of metal ions on isothermal amplification with Bst exo– DNA polymerase, Int. J. Biol. Macromol., 161, 1447-1455, doi: 10.1016/ j.ijbiomac.2020.08.028.
- Schrödinger Suite, Small-Molecule Drug Discovery Suite 2016-4, Schrödinger, LLC, New York, 2016.
- Garafutdinov, R. R., Kupova, O. Y., and Sakhabutdinova, A. R. (2020) Data on molecular docking simulations of quaternary complexes ‘Bst exo– polymerase-DNA-dCTP-metal cations’, Data-in-Brief, 33, 106549, doi: 10.1016/j.dib.2020.106549.
- Protein Preparation Wizard; Epik, Schrödinger, LLC, New York, NY, 2016; Impact, Schrödinger, LLC, New York, NY, 2016; Prime, Schrödinger, LLC, New York, NY, 2016.
- Sastry, G. M., Adzhigirey, M., Day, T., Annabhimoju, R., and Sherman, W. (2013) Protein and ligand preparation: parameters, protocols, and influence on virtual screening enrichments, J. Comput. Aid. Mol. Des., 27, 221-234, doi: 10.1007/s10822-013-9644-8.
- Wu, E. Y., and Beese, L. S. (2011) The structure of a high fidelity DNA polymerase bound to a mismatched nucleotide reveals an “ajar” intermediate conformation in the nucleotide selection mechanism, J. Biol. Chem., 286, 19758-19767, doi: 10.1074/jbc.M110.191130.
- Knorre, D. G., Lavrik, O. I., and Nevinsky, G. A. (1988) Protein-nucleic acid interaction in reactions catalyzed with DNA polymerases, Biochimie, 70, 655-661, doi: 10.1016/0300-9084(88)90250-7.
- Kolocheva, T. I., Nevinsky, G. A., Levina, A. S., Khomov, V. V., and Lavrik, O. I. (1991) The mechanism of recognition of templates by DNA polymerases from pro- and eukaryotes as revealed by affinity modification data, J. Biomol. Struct. Dyn., 9, 169-186, doi: 10.1080/07391102.1991.10507901.
- Doronin, S. V., Nevinsky, G. A., Malygina, T. O., Podust, V. N., Khomov, V. V., and Lavrik, O. I. (1989) The efficiency of interaction of deoxyribonucleoside-5’-mono-, di- and triphosphates with the active center of E. coli DNA polymerase I Klenow fragment, FEBS Lett., 259, 83-85, doi: 10.1016/0014-5793(89)81500-5.
- Kolocheva, T. I., Nevinsky, G. A., Volchkova, V. A., Levina, A. S., Khomov, V. V., and Lavrik, O. I. (1989) DNA polymerase I (Klenow fragment): role of the structure and length of a template in enzyme recognition, FEBS Lett., 248, 97-100, doi: 10.1016/0014-5793(89)80439-9.
- Garafutdinov, R. R., Burkhanova, G. F., Maksimov, I. V., Sakhabutdinova, A. R. (2023) New method for microRNA detection based on multimerization, Anal. Biochem., 664, 115049, doi: 10.1016/j.ab.2023.115049.
- Сахабутдинова А. Р., Чемерис А. В., Гарафутдинов Р. Р. (2023) Обнаружение специфических РНК-мишеней с помощью мультимеризации, Биохимия, 88, 832-840, doi: 10.31857/S032097252305010X.
Supplementary files







