Синтетические активаторы аутофагии
- Авторы: Гусева Е.А.1,2,3, Павлова Ю.А.1,2,3, Донцова О.А.4,2,3,5, Сергиев П.В.6,2,3
-
Учреждения:
- Сколковского института науки и технологий
- НИИ физико-химической биологии имени А.Н. Белозерского, Московский государственный университет имени М.В. Ломоносова
- Московский государственный университет имени М.В. Ломоносова
- Сколковскогй институт науки и технологий
- Институт биоорганической химии им. академиков М.М. Шемякина и Ю.А. Овчинникова РАН
- Сколковский институт науки и технологий
- Выпуск: Том 89, № 1 (2024)
- Страницы: 33-60
- Раздел: Статьи
- URL: https://journals.rcsi.science/0320-9725/article/view/260440
- DOI: https://doi.org/10.31857/10.31857/S0320972524010027
- EDN: https://elibrary.ru/YRTMUL
- ID: 260440
Цитировать
Полный текст
Аннотация
Аутофагия является центральным процессом для деградации внутриклеточных компонентов, работающих с нарушениями. Молекулярные механизмы, лежащие в основе этого процесса, крайне сложны для изучения, так как в них задействовано большое число участников. Основная задача аутофагии – это перераспределение клеточных ресурсов в ответ на изменение окружающей среды, например голодание. Исследования последних лет показывают, что регуляция аутофагии может стать ключом к достижению здорового долголения, а также позволит создать терапевтические средства для лечения нейродегенеративных заболеваний, таких как болезни Паркинсона и Альцгеймера. В связи с этим разработка активаторов аутофагии с детально описанным механизмом действия является важнейшим направлением для исследований. Ряд коммерческих компаний на данный момент находится на разных этапах разработки таких молекул, а некоторые уже используют активаторы аутофагии на практике.
Ключевые слова
Полный текст
Принятые сокращения: АФК – активные формы кислорода; 3-МА – 3-метиладенин; Akt – RAC-α серин/треонин протеинкиназа; AMPK – AMP-активируемая протеинкиназа; BECN1 – беклин-1; FCCP – карбонилцианид p-(трифторметокси) фенилгидразона; FDA – управление по контролю качества пищевых продуктов и лекарственных средств; LC3 – ассоциированный с микротрубочками белок легкой цепи 3; MPTP – 1-метил-4-фенил-1,2,3,6-тетрагидропиридин; mTOR – мишень рапамицина млекопитающих; mTORC1 – мишень рапамицина млекопитающих комплекс 1; p62/SQSTM1 – секвестосома 1; PI3K – фосфатидилинозитол-3-киназа; PIK3C3 – каталитическая субъединица фосфатидилинозитол-3-киназы 3 типа; PINK1 – PTEN-индуцируемая протеинкиназа 1; PPAR – рецепторы, активируемые пролифераторами пероксисом; SIRT1 – сиртуин 1; TFEB – транскрипционный фактор EB; ULK1 – unc-51-подобная активирующая аутофагию киназа.
Введение
Разработка активаторов аутофагии является перспективным направлением для исследований, так как такие соединения могут найти свое применение в лечении нейродегенеративных заболеваний [1], рака [2, 3], инфекций [4], аутоиммунных заболеваний [5], сердечно-сосудистых заболеваний [6] и т.д. Одним из подвидов аутофагии является митофагия, сбалансированная работа которой крайне важна. Ее нарушение приводит к развитию раковых, сердечно-сосудистых и нейродегенеративных заболеваний [7]. На грызунах было показано, что активация процессов митофагии и аутофагии с помощью фармакологических препаратов позволяет улучшить состояние животных с моделями инфаркта миокарда, различных типов кардиомиопатий и атеросклероза [8]. Этот факт особенно важен, так как до сих пор сердечно-сосудистые заболевания занимают лидирующую позицию по числу смертей не только в России, но и по всему миру [9].
В обзоре, посвященном растительным активаторам аутофагии [10], описаны основные механизмы активации аутофагии, природные источники растительных активаторов аутофагии, а также механизм их действия. Данный обзор будет посвящен синтетическим активаторам аутофагии, многие из которых рассматриваются как перспективные агенты для лечения различных заболеваний.
Стоит отметить, что многие известные в клинической практике лекарства или природные соединения, являющиеся активаторами аутофагии, обладают низкой специфичностью и высокой плейотропностью действия (т.е. действуют на разнообразные системы организма), что при определенных режимах дозирования может обусловливать развитие побочных эффектов, не связанных с аутофагией [11], и осложнять идентификацию механизма действия этих веществ на молекулярном уровне [12]. Поэтому, помимо перепрофилирования уже известных препаратов, огромное внимание уделяется направленной разработке новых высокоселективных активаторов аутофагии с благоприятным соотношением пользы к потенциальному риску, а также решению проблем, связанных с транслированием данных, полученных в результате доклинических испытаний этих препаратов, на клинические исследования и определением клинических конечных точек, специфических для аутофагии [13, 14].
Более того, в данном обзоре приведена информация об одобренных управлением по контролю качества пищевых продуктов и лекарственных средств (FDA) синтетических соединениях-активаторах аутофагии и митофагии, которые в настоящее время уже нашли применение при различных показаниях для здоровья. Также в обзоре кратко резюмирована актуальная на сегодняшний день информация о биотехнологических компаниях, занимающихся продвижением исследований в области аутофагии с целью увеличения продолжительности здоровой жизни человека или борьбы с различными заболеваниями, такими как нейродегенерация, рак и др.
Одобренные к применению в клинической практике препараты, вызывающие аутофагию
На данный момент нет препаратов, которые были бы разработаны и одобрены FDA в первую очередь как индукторы аутофагии и митофагии. Однако при скрининге библиотек химических веществ нередко удается обнаружить препараты, первоначально одобренные FDA для терапии, например рака, диабета или нейродегенеративных заболеваний, которые проявляют свойства активаторов аутофагии. Такой подход к поиску новых активаторов аутофагии в ряде случаев позволил обнаружить новые механизмы активации аутофагии. Помимо этого, к плюсам таких скринингов можно отнести то, что для этих молекул, как правило, уже проведены все необходимые доклинические и клинические испытания, что существенно сокращает время до расширения показаний к их применению в качестве активаторов аутофагии.
Препараты-активаторы аутофагии. mTOR (мишень рапамицина млекопитающих) является ключевым регулятором аутофагии в клетке, и, в целом, все пути активации данного процесса можно разделить на mTOR-зависимые и mTOR-независимые. Начнем рассмотрение группы препаратов, одобренных для лечения человека и вызывающих аутофагию, с соединений, механизм действия которых зависит от mTOR.
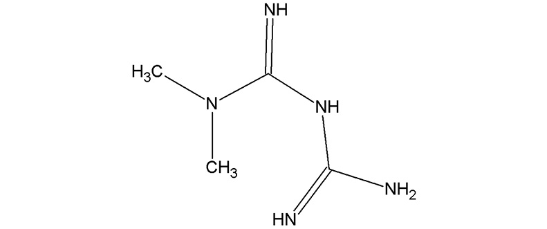
В качестве первой мишени для активаторов аутофагии из этой группы рассмотрим AMP-активируемую протеинкиназу (AMPK), которая участвует в регуляции активности mTOR. Примером соединения, активирующего AMPK, может служить известный препарат метформин (рис. 1). Данное соединение является побочным продуктом при синтезе N,N-диметилгуанидина [15] и было одобрено FDA в 1998 г. для терапии сахарного диабета 2-го типа. Хотя конкретный механизм активации аутофагии посредством метформина пока не до конца выяснен, считается, что он активирует AMPK; в свою очередь, это переключает клетку из анаболического состояния в катаболическое и запускает аутофагию через mTOR-, ULK1- и p53-зависимые сигнальные пути [16–18]. Исследования показывают, что метформин активирует аутофагию в опухолевых клетках рака эндометрия и меланомы [19, 20] и предотвращает развитие кардиомиопатии в мышах линии OVE26 с трансген-индуцированным диабетом [5].
Рис. 1. Механизм действия синтетических веществ, активирующих аутофагию по mTOR-зависимому и mTOR-независимому путям. Ub – убиквитинирование, Р – фосфорилирование (красным показано ингибирующее фосфорилирование, зеленым – активирующее), черные стрелки указывают на мишени действия активаторов аутофагии; в каскаде активации аутофагии зелеными стрелками показано активирующее действие белков, красными – подавляющее
Большое количество активаторов аутофагии было обнаружено в ходе скринингов различных библиотек веществ, одобренных FDA к использованию на людях. Как правило, основной целью таких проектов является выявление противоопухолевой активности, однако при более детальном изучении механизма в некоторых случаях удается выявить вещества, активирующие зависимый от аутофагии апоптоз. Так, например, для известного лекарства рибавирин, который был ранее зарегистрирован в качестве препарата широкого спектра против ДНК- и РНК-вирусов, недавно была показана противоопухолевая активность. При более детальном изучении механизма его действия удалось показать, что обработка рибавирином приводит к активации AMPK и ингибированию mTOR. Более того, известно, что рибавирин активирует AMPK за счет снижения уровней аденозинтрифосфата (ATP) и лизосомального комплекса v-ATPаза–Ragulator–AXIN. Интересно, что обработка рибавирином также приводит к увеличению продолжительности жизни и замедлению ухудшения здоровья с возрастом у Caenorhabditis elegans. Таким образом, рибавирин рассматривается как потенциальное средство против старения [21].
Аналогично противоопухолевая активность была обнаружена у препарата хлорпромазин (CPZ). Данное вещество является производным фенотиазина и было одобренно FDA для лечения шизофрении и других психических расстройств. CPZ индуцировал апоптоз у клеток рака ротовой полости, а также активировал аутофагию по пути PI3K/Akt/mTOR/p70S6K (киназа β1 рибосомального белка S6) и повышал экспрессию связанных с аутофагией генов. При совместной инкубации клеток с CPZ и ингибитором фосфатидилинозитол-3-киназы (PI3K), 3-метиладенина (3-МА), аутофагия не наблюдалась, что позволяет считать, что именно этот клеточный процесс способствовал CPZ-индуцированному апоптозу [22].
Селинексор – препарат, одобренный FDA в качестве селективного ингибитора протоонкогена XPO1. Для данного соединения описаны свойства ингибирования пролиферации клеток, запуска аутофагии и активации апоптоза за счет снижения потенциала на мембране митохондрий. Показано, что селинексор способствует накоплению p53 в ядре и активирует путь p53/mTOR для регуляции апоптоза, ассоциированного с аутофагией [23].
Однако активация процессов аутофагии характерна не только для препаратов, для которых была выявлена противоопухолевая активность. При скрининге веществ, способных снижать цитотоксичность макрофагов при микобактериальной инфекции, был отобран антидепрессант амоксапин. Постинфекционное лечение амоксапином приводило к ингибированию mTOR, что способствовало индукции аутофагии. При ингибировании аутофагии с помощью 3-МА действие амоксапина на микобактерии в клетках-хозяевах существенно снижалось. Показано, что амоксапин также проявляет активность против Mycobacterium tuberculosis на мышах [24].
Также интересный механизм активации mTOR-зависимой аутофагии описан для флубендазола, одобренного FDA антигельминтного препарата. Это соединение вызывает деполимеризацию динамических микротрубочек, что приводит к ингибированию mTOR и его диссоциации с поверхности лизосом. В результате этого транскрипционный фактор EB (TFEB) транслоцируется в ядро, где он повышает экспрессию генов, ассоциированных с аутофагией, что, в свою очередь, приводит к активации аутофагии [25]. Помимо этого, флубендазол активирует JNK1, что приводит к фосфорилированию Bcl-2, вызывая высвобождение беклина-1 (BECN1) из комплексов Bcl-2–BECN1, и также способствует активации аутофагии [26].
Помимо веществ, запускающих аутофагию по mTOR-зависимому пути, известны также низкомолекулярные вещества, способствующие индукции аутофагии на уровне регуляции транскрипции. Например, считается, что тамоксифен увеличивает уровень аутофагии за счет увеличения экспрессии BECN1, что было показано на клеточной линии MCF7. Однако на линии клеток U87MG изменений в экспрессии BECN1 не обнаружено. Таким образом, действие тамоксифена отличается в зависимости от типа клеток. Согласно другим данным, его действие обусловлено блокировкой биосинтеза холестерина [27]. Предполагается, что активация аутофагии под действием тамоксифена может лежать в основе резистентности рака к этому препарату [28].
С помощью увеличения экспрессии генов LC3 (кодирует ассоциированный с микротрубочками белок легкой цепи 3) и p62 активацию аутофагии вызывает итраконазол. Данное соединение используется в качестве противогрибкового препарата, однако также вызывает аутофагическую гибель клеток при раке молочной железы. При исследовании влияния интраконазола на клетки рака толстой кишки удалось показать, что механизм индукции апоптоза интраконазолом может быть связан с аутофагией [29].
Следующая большая группа активаторов аутофагии – это вещества, действующие на ионные каналы: блокаторы кальциевых каналов (верапамил, пимозид, амиодарон и т.д.); противоэпилептические препараты (карбамазепин, вальпроевая кислота, соли лития); активаторы имидазолиновых рецепторов (клонидин и рилменидин) и т.д. Более подробно с ними можно ознакомиться в обзоре Pierzynowska et al. [1]; мы же сосредоточимся на некоторых примерах.
Блокаторы кальциевых каналов быстро снижают внутриклеточную концентрацию кальция, таким образом, происходит инактивация кальпаинов, что приводит к формированию аутофагосом. Верапамил, синтетическое антиангинальное и антиаритмическое средство, восстанавливает аутофагический поток и подавляет образование белковых агрегатов/телец включения в клетках гепатоцеллюлярной карциномы in vitro и in vivo [30]. Он также вызывает улучшение моторных функций в мышиной модели болезни Хантингтона [31], хотя при этом не показал значительного эффекта у пациентов с боковым амиотрофическим склерозом [32].
Вальпроевая кислота, впервые синтезированная в 1882 г., применяется в клинической практике как противоэпилептическое средство. По одним данным, она, как и литий, на молекулярном уровне ингибирует активность мио-инозитол-1-фосфат синтазы (один из ключевых ферментов, вовлеченных в метаболизм инозитола), таким образом, вызывая снижение концентрации инозитола и внутриклеточного кальция, и, как следствие, активацию аутофагии [33]. Другие авторы утверждают, что вальпроевая кислота не оказывает эффекта на этот фермент, а действует иным образом – через образование активных форм кислорода (АФК) и активацию ERK1/2-сигнального пути, что и приводит к аутофагии в клетках глиомы [34]. Кроме этого, были исследования, подтверждающие, что вальпроат ингибирует деацетилазу гистонов (HDAC) и подавляет Akt/mTOR-путь в клетках рака простаты [35]. Однако было показано, что вальпроевая кислота, литий и карбамазепин могут приводить также к ингибированию киназы гликогенсинтазы 3β (GSK-3β), что вызывает подавление аутофагии. GSK-3β является положительным регулятором аутофагии, так как он ингибирует mTOR [36]. Поэтому при использовании этих соединений для активации аутофагии необходимо сочетать их, например, с ингибиторами mTOR. Стоит отметить, что противоэпилептические препараты имеют массу побочных эффектов со стороны ЦНС, пищеварительной системы, гемостаза, и их необходимо использовать только по назначению врача и с большой осторожностью.
Клонидин (клофелин), помимо связывания с центральными имидазолиновыми рецепторами, приводящими к значительному снижению системного артериального давления, также активирует калиевые каналы и снижает концентрацию кальция внутри клеток [37]. Было показано, что клонидин и его аналог, рилменидин, эффективны в животной модели лобно-височной деменции [38].
Также для некоторых препаратов были описаны свойства активаторов аутофагии, однако детали механизма остаются неизвестными. Таким примером может служить миконазол (производное имидазола), известный противогрибковый препарат, одобренный FDA в 1974 г. для лечения вагинального кандидоза. Сейчас это вещество рассматривается как потенциальное противоопухолевое средство: в ряде экспериментов оно ингибировало рост клеток глиобластомы за счет аутофагии, которая обусловлена стрессом эндоплазматического ретикулума, вызванным продук- цией АФК [39].
Помимо этого, некоторые препараты, использующиеся в косметических средствах, таких как шампуни и солнцезащитные крема, проявляют свойства активаторов аутофагии, однако механизм их действия остается неизвестным. Так, недавно для соединений авобензол и тиоксолон было показано, что они вызывают аутофагию по mTOR-независимому пути [40]. Авобензон (бутилметоксидибензоилметан) – синтетическое соединение-поглотитель ультрафиолета, широко используемый в солнцезащитных кремах. Исследования показали, что авобензон может эффективно проникать в роговой слой кожи и жизнеспособный эпидермис. Также было показано, что он ингибирует пролиферацию трофобластов человека, усиливает активность RAC-α серин/треонин протеинкиназы (Akt) и ERK1/2 и вызывает деполяризацию митохондриальной мембраны [41]. Тиоксолон (6-гидрокси-2H-1,3-бензоксатиол-2-он) используется в косметических продуктах, таких как шампуни для волос, очищающие средства для кожи и средства для лечения акне. Он обладает противогрибковым, антибактериальным, противовоспалительным и противоопухолевым действием и, как было показано, является ингибитором карбоангидразы II человека [40].
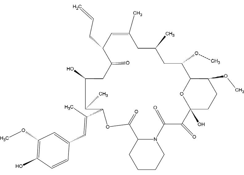
Последнее соединение, которое стоит отметить в этом разделе, – это макролид такролимус, который используется в качестве мягкого иммуносупрессора [42]. Было продемонстрировано на клеточных культурах и мышиных моделях, что данный препарат существенно снижает количество прионного белка в аномальной форме. При этом установлено, что данный эффект достигается за счет активации молекул, ассоциированных с аутофагией [43]. Таким образом, такролимус рассматривается в качестве потенциального препарата для лечения прионной инфекции. Однако также было продемонстрировано, что такролимус ингибирует TFEB-зависимую митофагию в β-клетках поджелудочной железы, что, в свою очередь, приводит к их дисфункции [44].
Препараты-активаторы митофагии. Отдельно рассмотрим одобренные FDA препараты, которые также демонстрируют свойства активаторов митофагии.
Многие соединения, активирующие митофагию, действуют на участников PINK/Parkin-пути передачи сигнала (рис. 2). Например, по такому механизму действует препарат репаглинид, который был одобрен FDA в качестве инсулинотропного противодиабетического препарата. Помимо этого, его также рассматривали в качестве потенциального терапевтического средства для лечения болезней Паркинсона и Хантингтона. Данное соединение также проявляет свойства активатора митофагии, и, хотя точный механизм неизвестен, было показано, что репаглинид повышает экспрессию маркера митофагии PINK1 (PTEN-индуцируемая протеинкиназа 1) и BECN1 [45].
Рис. 2. Механизм действия синтетических веществ, активирующих митофагию. Ub – убиквитинирование, Р – фосфорилирование, черные стрелки указывают на мишени действия активаторов аутофагии; в каскаде активации аутофагии зелеными стрелками показано активирующее действие белков, красными – подавляющее
Другой распространенный путь активации ауто- и митофагии – SIRT1-зависимый сигналинг. Примером соединения, воздействующего на этот путь, может служить противоопухолевое средство олапариб (AZD2281), который является ингибитором PARP-1, что и приводит к активации сиртуин-зависимого пути активации аутофагии. Было показано, что олапариб индуцирует митофагию в клетках рака молочной железы, а также существенно сокращает количество митохондрий в клетках с нарушениями митофагии [7].
Встречаются также препараты, которые активируют сразу несколько различных подтипов аутофагии, например, милтефозин способен активировать липофагию, митофагию и аутофагию. Этот препарат был одобрен FDA для лечения кожного и висцерального лейшманиоза. Показано, что инкубация с милтефозином оказывает множественное влияние на липидный гомеостаз в макрофагах, включающее повышение уровня высвобождения холестерина, ускорение разрушения липидных рафтов и перераспределение PIP2 из плазматической мембраны в регионы клетки, богатые актином. Также обработанные милтефозином клетки демонстрировали увеличение активирующего фосфорилирования AMPK и ULK1 (unc-51-подобная активирующая аутофагию киназа) [46].
Похожие эффекты описаны для низкомолекулярного антиоксиданта пробукола. Данное соединение снижает уровень холестерина, а также способно усиливать митофагию и предотвращать потерю дофаминергических нейронов у Drosophila melanogaster и Danio rerio [47]. При изучении механизма его действия было обнаружено, что пробукол действует независимо от пути PINK/Parkin и основной его мишенью является ABCA1 (ATP-связывающий кассетный транспортер), который подавляет митофагию [48].
Есть и другие способы инициации митофагии, например, дефицит железа. Функционирование митохондрий обеспечивает необходимый гомеостаз железа, так как три основных пути утилизации железа (его запасание, биосинтез гема и железосерных кластеров) протекают в митохондриях [49]. Недавние исследования показывают, что дефицит железа приводит к митофагии в разных модельных организмах [50–53] за счет повышения экспрессии митохондриального ферритина, который, попадая на внешнюю мембрану митохондрий, привлекает адаптерный белок аутофагии NCOA4 [54]. Таким образом, хелаторы железа, такие как, например, деферипрон (DFP), индуцируют митофагию, не влияя на трансмембранный митохондриальный потенциал [50, 55], по PINK1/Parkin-независимому пути. DFP был одобрен FDA в 1994 г. для лечения талассемии [56].
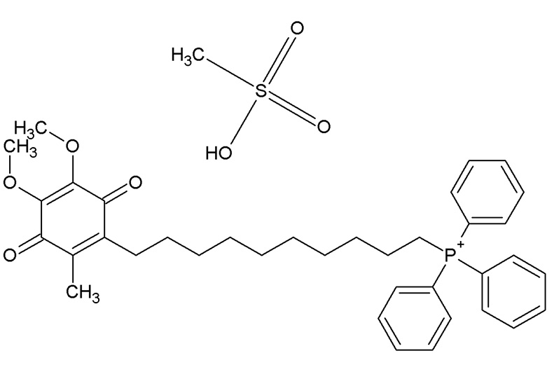
Отдельно стоит упомянуть катионные соединения, которые могут играть роль мягких разобщителей окислительного фосфорилирования. Например, было показано, что проникающие катионы, нацеленные на митохондрии, например, 10-(6′-убихинонил) децилтрифенилфосфоний (MitoQ), снижают потенциал на мембране митохондрий и являются разобщителями окислительного фосфорилирования, индуцируя ауто- и митофагию. MitoQ является известным антиоксидантом и используется в качестве пищевой добавки. В целом, соединения, проявляющие свойства мягких разобщителей окислительного фосфорилирования, являются крайне перспективными в контексте разработки препаратов, активирующих митофагию [57].
Таким образом, препараты, одобренные FDA и проявляющие свойства активаторов ауто- и митофагии, проявляют высокое разнообразие по механизмам своего действия. Подробнее с формулами приведенных соединений можно познакомиться в табл. 1. Стоит также отметить, что, несмотря на то что эти препараты уже используются человеком, для многих из них свойства активаторов аутофагии были обнаружены спустя продолжительное время после одобрения FDA. Это указывает на необходимость более тщательного исследования спектра побочных эффектов разрабатываемых препаратов.
Таблица 1. Синтетические индукторы ауто- и митофагии, одобренные FDA для примения
Название | Структура | Механизм действия | Одобрен FDA |
Метформин | активирует AMPK | сахароснижающий препарат | |
Рибоверин | противовирусный препарат | ||
Хлорпромазин | активирует mTOR-зависимые пути | нейролептик | |
Селинексор | селективный ингибитор протоонкогена XPO1 | ||
Милтефозин | препарат против лейшманиоза | ||
Амоксапин | ингибирует mTOR | антидепрессант | |
Флубендазол | вызывает деполимеризацию динамических микротрубочек и ингибирование mTOR | антигельминтный препарат | |
Тамоксифен | увеличивает экспрессию BECN1 | гормональный препарат для лечения рака молочной железы | |
Итраконазол | увеличивает экспрессию генов LC3 и p62 | противогрибковый препарат | |
Верапамил | блокирует кальциевые каналы | антиангинальное и антиаритмическое средство | |
Амиодарон | |||
Пимозид | антипсихотическое средство | ||
Карбамазепин | ингибирует мио-инозитол-1- фосфат синтазу | противоэпилептический препарат | |
Вальпроевая кислота | |||
Соли лития | Li+ | ||
Клонидин | блокирует калиевые каналы | гипотензивный препарат | |
Рилменидин | |||
Миконазол | не известно | противогрибковый препарат | |
Авобензол | компонент солнцезащитных кремов | ||
Тиоксолон | средства для лечения акне | ||
Такролимус | иммуносупрессор | ||
Репаглинид | увеличивает экспрессию генов, кодирующих PINK1 и BECN1 | противодиабетический препарат | |
Олапариб | ингибирует PARP-1 | противоопухолевое средство | |
Пробукол | ингибирует ABCA1 | гиперлипидемический препарат | |
Деферипрон | хелатирует железо | препарат против талассемии | |
MitoQ | мягкий разобщитель окислительного фосфорилирования | антиоксидант |
Экспериментальные синтетические вещества
Параллельно с поиском способности активировать аутофагию у уже одобренных препаратов ведется разработка новых молекул с такими свойствами. Так как многие активаторы обладают высокой токсичностью, лишь малая часть таких молекул доходит до клинических испытаний.
При разработке новых активаторов аутофагии используется два основных подхода: скрининг химических библиотек и рациональный дизайн молекул. В скрининговых подходах, как правило, используются библиотеки структурных аналогов известных активаторов аутофагии. В подходах рационального дизайна часто разрабатываются химерные молекулы, которые позволяют создавать платформы для деградации разнообразных мишеней.
Вещества-активаторы аутофагии. Так же, как и лекарственные препараты, экспериментальные соединения, активирующие аутофагию, можно разделить на две группы: mTOR-зависимые и mTOR-незавиcимые. Начнем рассмотрение этих соединений с веществ, действующих на mTOR, и посредников передачи сигнала по mTOR-зависимому механизму активации аутофагии.
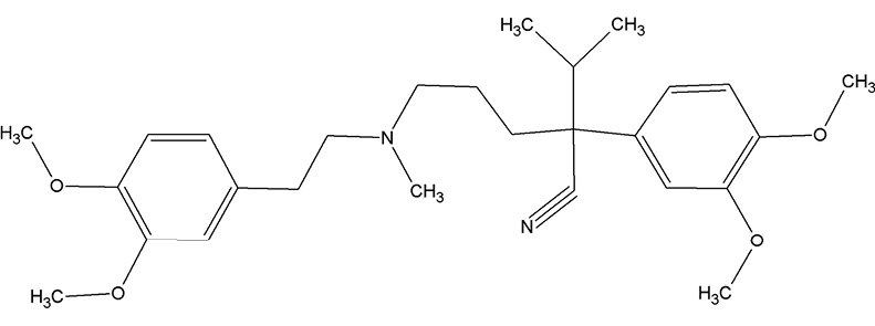
Рассмотрим ингибиторы mTOR. В отличие от рапамицина и его аналогов, которые аллостерически ингибируют этот фермент [58], синтетические ингибиторы mTOR имеют конкурентный механизм связывания с каталитическим центром киназ mTORC1 и mTORC2 (мишени рапамицина млекопитающих, комплексы 1 и 2). Они являются более активными ингибиторами mTOR, соответственно, их действие на активацию аутофагии выражено сильнее. Так, например, AZD8055 стимулирует и потенциирует аутофагию, вызванную химиотерапией, как показывает повышение конверсии LC3-I в LC3-II и снижение количества p62/SQSTM1 (секвестосома 1) [59]. CZ415 в in vitro экспериментах подавлял рост клеток папиллярной карциномы щитовидной железы [60] и плоскоклеточного рака головы и шеи [61]. К активаторам аутофагии с описанным механизмом действия и свойствами также относятся торин 1 [62], PP242 [63], KU-0063794, PtdIns-103 и NVP-BEZ235 [64].
Однако существенным недостатком большинства известных ингибиторов mTORC1 является низкая селективность. Воздействуя на активаторы mTORC1 и ингибируя передачу сигналов от них, удается существенно повысить селективность. Так, в ходе скрининга библиотеки ковалентных лигандов, совмещенного с белковым профилированием, удалось обнаружить EN6 – низкомолекулярный активатор аутофагии, связывающийся с Cys-277 в ATP6V1A лизосомальной v-ATPазы. В присутствии EN6 mTORC1 не получает активирующий сигнал от v-ATPазы, и ее активность снижается [65].
Как было оговорено выше, иммуносупрессивный эффект рапамицина ограничивает его частое использование, поэтому требуется разработка более безопасных аналогов. В результате скрининга библиотеки из 50 729 соединений было идентифицировано три низкомолекулярных усилителя рапамицина (SMER), которые индуцируют аутофагию [66]: они тормозят агрегацию гентингтина с высоким содержанием полиглутамина и α-синуклеина с мутацией A53T, которые ассоциированы с развитием болезни Хантингтона и болезни Паркинсона соответственно [67], индуцируя аутофагию по mTOR-независимым механизмам. Помимо этого, AUTEN-99, еще один представитель SMER, активирует аутофагию in vitro и in vivo и замедляет прогрессирование нейродегенеративных симптомов [68].
Помимо веществ, которые непосредственно влияют на работу комплекса mTOR, также известно множество веществ, вызывающих аутофагию при косвенном ингибировании mTOR и влияющих на работу участников сигнального каскада передачи сигнала инициации аутофагии. Например, в ходе высокопроизводительного скрининга было обнаружено соединение J3, которое показало себя эффективным активатором аутофагии. Это соединение проникает через гематоэнцефалический барьер и снижает уровень мутантного белка хантингтина у мышей HdhQ140, не влияя на уровень нормального белка. Также было показано, что J3 снижает уровень неверно свернутых белков в полосатом теле. Известно, что J3 ингибирует mTOR-зависимый путь, активируя аутофагию по независимому от AMPK пути [69].
Для другого соединения, 9f, также было показано, что оно воздействует на PI3K/Akt/mTOR-сигнальный путь. Однако для 9f механизм его работы изучен более детально: например, известно, что он является селективным ингибитором Akt1, а также индуцирует накопление p62/SQSTM1 в клетке. Помимо этого, описано, что 9f вызывает гибель клеток гепатоцеллюлярной карциномы Huh-7 за счет индукции аутофагии [70]. После добавления ингибитора аутофагии 3-МА цитотоксический эффект 9f значительно снижается.
Интересный ингибитор Akt-сигнального пути был разработан с помощью подхода по созданию гибридных молекул с известными доступными активаторами аутофагии. Был получен гибрид производного ресвератрола, известного природного активатора аутофагии, и производного сложного эфира Ганса [71], для которого описаны противовоспалительные [72] и антиоксидантные свойства [73]. Полученное гибридное соединение ReHа-2 повышало уровень LC3-II и снижало уровень p62, что свидетельствует об активации аутофагии. Известно, что ReHа-2 способен активировать сигнальные пути MAPK и Akt. Также было показано, что ReHа-2 повышает продукцию АФК в линии клеток человека NCI-H460, что приводит к гибели клеток с помощью аутофагии.
Помимо вышеописанных соединений, активаторами аутофагии и митофагии могут служить вещества, регулирующие активность сиртуинов, а именно SIRT1. Например, известно, что 4-гидроксиауксарконъюгатин (4-HAB) ослабляет опосредованную кристаллами мочевой кислоты активность инфламмасомы NLPR3 в суставах при подагре. Это действие обусловлено SIRT1-зависимой индукцией аутофагии [74]. Это соединение приводит к устойчивой экспрессии маркеров аутофагии, включая активацию Atg, LC3-II и т.д. Кроме того, 4-HAB ослабляет подагрическое воспаление in vitro и in vivo.
Также было показано in vivo, что активатор SIRT1, SRT1720, стимулирует работу AMPK, ингибирует апоптоз, индуцированный гипоксией через IRE1α-сигналинг, и усиливает аутофагию в ишемизированных кардиомиоцитах [75]. Структурный аналог предыдущего соединения, SRT2183, ингибирует сигнальные пути Akt/mTOR/70S6K и p38 MAPK, что индуцирует созревание аутофагосом в клетках рака яичника OVCAR-3 и A2780 и ингибирует рост этих линий; при этом нокдаун генов Atg5 и Atg7значительно нарушает противоопухолевую активность этого вещества [76]. Примечательно, есть подтверждение того, что ингибитор сиртуинов, MHY2256, вызывает апоптоз и остановку клеточного цикла в фазе G1 клеток рака эндометрия; кроме того, он приводит к появлению вакуолей и накоплению LC3, что как будто говорит об активации, а не подавлении аутофагии. Это соединение также приводит к замедлению роста клеток колоректального рака HCT116, HT-29 и DLD-1 [77]. Важно также отметить, что сиртуиновый сигналинг не является строго специфичным для аутофагии: белки этого пути задействованы также в процессах митофагии и митохондриальном биогенезе (см. ниже).
Следующей распространенной мишенью для активации аутофагии по mTOR-зависимому пути является AMPK. Например, вещества, такие как AICAR (5-аминоимидазол-4-карбоксамид-1-бета-D-рибофуранозид) и CRO15 (аналог метформина с большей биодоступностью), активируют AMPK, тем самым вызывая аутофагию за счет фосфорилирования и активации комплекса белков туберозного склероза 1 и 2 (TSC1/TSC2), который является негативным регулятором mTOR [78]. Причем AICAR может вызывать ингибирование аутофагии, нарушая формирование функционального комплекса BECN1 с PI3K, важного позитивного регулятора аутофагии. Что касается CRO15, то другой его механизм активации аутофагии – это ингибирование MELK, результатом чего является остановка клеточного цикла и запуск путей репарации ДНК за счет активации p53 и REDD1 [79].
Также распространенными мишенями активаторов и ингибиторов аутофагии являются ферменты, активность которых регулирует mTOR – Unc-51-подобная киназа 1 и каталитическая субъединица фосфотидилинозитол-3 киназы типа 3 (PIK3C3). При отсутствии аутофагии mTOR подавляет активность этих ферментов, соответственно активаторы ULK1 и PIK3C3 будут способствовать инициации аутофагии [80]. Так, например, активатор ULK1, LYN-1604, который был разработан в процессе рационального дизайна, вызывает аутофагию в in vitro и in vivo экспериментах на моделях трижды негативного рака молочной железы посредством сборки комплекса ULK1–mAtg13–FIP200–Atg101 [81]. Также известны активаторы PIK3C3; например, показано, что природный алкалоид кориноксин В эффективно запускает нейрональную аутофагию. Данное соединение обладает низкой проницаемостью через гематоэнцефалический барьер. При разработке потенциального препарата для терапии болезни Паркинсона было синтезировано производное кориноксина В – СВ6. CB6 эффективно усиливал аутофагию in vitro и in vivo, а также проявлял нейропротекторные свойства в модели болезни Паркинсона, вызванной 1-метил-4-фенил-1,2,3,6-тетрагидропиридином (MPTP), на мышах [82].
Помимо этого, также интересно, что по mTOR-зависимому механизму аутофагию запускают некоторые соли органических кислот. Показан положительный эффект бутирата натрия в моделях животных с болезнью Паркинсона через активацию деградации α-синуклеина в процессе аутофагии [83]. Установлено участие пропионата и бутирата в регуляции аутофагии в раковых клетках толстой кишки человека [84, 85]. Бутират ингибировал пролиферацию клеток при гепатоклеточной карциноме в результате активации аутофагии [86]. Бутират запускал аутофагию в эпителиальных клетках кишечника через индуцируемый гипоксией фактор 1α (HIF-1α) [87]. Ацетат стимулировал синтез муцинов клетками Т84, а образуемая γ-аминомасляная кислота (GABA) стимулировала выброс муцинов через влияние на процесс аутофагии и передачи Са2+-сигнала [88]. Бутират индуцировал изменения в метаболизме макрофагов, сопровождающееся снижением гликолиза, уменьшением активности киназы mTOR, повышением уровня LC3, увеличением синтеза антимикробных пептидов, и при этом без индукции цитокинового противовоспалительного ответа [89].
Как уже было описано выше, другая большая группа мишеней активаторов аутофагии не связана с mTOR-сигналингом. В качестве примеров таких белков можно привести BECN1 и взаимодействующие с ним антиапоптотические белки семейства Bcl-2 (Bcl-2 и Bcl-XL) [90]. Нарушение белок-белкового взаимодействия между BH3-доменом BECN1 и Bcl-2 при помощи BH3-миметиков, например, ABT737, приводит к повышению уровня аутофагии [91]. Однако BH3-миметики не специфичны для аутофагии, так как запускают апоптоз, разрушая взаимодействие между белками семейства Bcl-2 и BH3-доменами проапоптотических молекул; а потому, базируясь на структурных детерминантах между BH3-доменами BECN1 и проапоптотическими белками, есть возможность разработать BH3-миметики, селективно индуцирующие аутофагию.
Интересный вариант принципиально другого способа активации аутофагии – регуляция транскрипции. Примером может служить гидроксипроизводное линолевой кислоты, ABTL0812, которое было разработано как индуктор аутофагии с цитотоксическим эффектом [92]. Это соединение связывается c PPARα и PPARγ (рецепторы, активируемые пролифераторами пероксисом) и активирует их транскрипционную активность, что приводит к повышению экспрессии гена TRIB3, который является ингибитором Akt [93]. По итогам фазы I клинических испытаний было показано, что ABTL0812 безопасен и имеет приемлемый профиль переносимости; это обусловливает возможность его перорального применения. На данный момент завершена фаза IIa испытаний, исследующая эффективность этого препарата в терапии рака поджелудочной железы (номер клинических испытаний NCT04431258). Исследования данного препарата проводятся испанской компанией Ability Pharma, которая разрабатывает препараты, активирующие аутофагию, для лечения рака.
Также на активность аутофагии влияют транскрипционные факторы TFEB и TFE3 (транскрипционный фактор E3). Было показано, что на их активность влияет вещество MSL-7 – низкомолекулярный энхансер аутофагии, который был обнаружен при разработке препарата для терапии диабета 2-го типа. При этом заболевании человеческий островковый амилоидный полипептид (hIAPP) агрегирует с образованием олигомеров и фибрилл более сложной структуры, которые токсичны для β-клеток и вызывают воспаление. Аутофагия является основным механизмом удаления этих токсичных структур в β-клетках, однако при диабете 2-го типа работа этого процесса нарушается, что вызывает накопление hIAPP. Было обнаружено, что MSL-7 снижает уровень hIAPP у мышей. MSL-7 проникает в клетки и активирует фосфатазу кальциневрин А в цитоплазме. Кальциневрин А дефосфорилирует факторы транскрипции TFEB и TFE3, что приводит к их перемещению в ядро и активации экспрессии генов аутофагии и лизосом [94]. Аналогичный механизм активации аутофагии описан для другой молекулы, SMK-17, изначально разработанной как аллостерический ингибитор MAP2K1 и MAP2K2. SMK-17 индуцирует аутофагию и лизосомный биогенез посредством mTOR-независимой, но зависимой от PRKC активации TFEB, в отличие от других, структурно похожих на него ингибиторов MAP2K U0126 и PD184352 [95].
Среди экспериментальных соединений есть те, которые вызывают аутофагию пока по неизвестным механизмам. Так, производное катехола, соединение 6, индуцирует аутофагию в клетках HeLa и проявляет антифибротический эффект в эксперименте на крысах с поражением печени, вызванным диметилнитрозамином [96]. Активный и селективный обратный агонист ERRα, XCT-790, вызывает аутофагию, по всей видимости, mTOR-независимым путем, усиливает биогенез аутофагосом и проявляет нейропротективный эффект в дофаминергических нейронах черной субстанции [97]. Соединение 26b, производное списулозина, который сам по себе активирует апоптоз в раковых клетках, индуцирует устойчивую гибель клеток линии рака толстой кишки DLD-1 за счет аутофагии, что подтверждается образованием характерных аутофагических вакуолей, образованием локусов LC3 и экспрессией BECN1 и белков семейства Atg [98]. Гуманин, пептид митохондриального происхождения, усиливает аутофагию в некоторых типах клеток, а также усиливает экспрессию генов, связанных с аутофагией, и снижает накопление белков с неправильной укладкой в скелетных мышцах мышей. Предполагают, что аутофагия, вызванная гуманином, потенциально способствует улучшению функции скелетных мышц. Более того, показано, что аутофагия играет ключевую роль в индуцированном гуманином увеличении продолжительности жизни у C. elegans [99].
Вещества-активаторы митофагии. Одним из центральных клеточных путей запуска митофагии является PINK1/Parkin-зависимый сигнальный путь. Вещества, влияющие на посредников этого каскада, являются эффективными активаторами митофагии. В ходе скрининга набора из 50 гетероциклических соединений [100] были выявлены два индуктора митофагии, активирующих ее по Parkin-зависимому мехнизму, – VP07 и JAR1.39. Для этих веществ было показано, что они способны проникать через гемотоэнцефалический барьер [101], поэтому они представляют интерес в контексте изучения патологий центральной нервной системы.
Помимо этого, известны вещества, которые напрямую связываются с PINK1 и за счет этого активируют митофагию. Данное свойство характерно для N6-замещенных аденинов. Первым обнаруженным веществом с такими свойствами был кинетин. Известно, что в клетке он преобразуется в кинетинрибозидтрифосфат, который выполняет роль субстрата для PINK1 [102]. Однако данное соединение не имеет терапевтического потенциала, так как его действующая концентрация высока (50 мкМ). Для другого N6-замещенного аденина, MTK458, было показано, что он стабилизирует активную конформацию PINK1 [103]. Важно отметить, что MTK458 способен запускать митофагию только в низкой концентрации (0,5–1 мкМ) митохондриального стрессора, например карбонилцианида p-(трифторметокси) фенилгидразона (FCCP) и олигомицина, в то время как для кинетина показана способность активировать митофагию вне зависимости от состояния митохондрий [102].
Помимо этого, также были обнаружены соединения, которые влияют на регуляторы PINK1/Parkin-пути, например вещество UMI-77. Данное соединение проявляет свойства BH3-миметика для MCL1, усиливая его функцию рецептора митофагии, что, в свою очередь, улучшает способность MCL1 взаимодействовать с LC3. Ранее также было показано, что MCL1 инициирует аутофагию с помощью нарушенияя PINK1/PARK2-пути передачи сигналов. На мышиной модели болезни Альцгеймера было продемонстрировано, что UMI-77 оказывает положительный эффект на когнитивные функции [104].
Разобщители окислительного фосфорилирования, такие как карбонилцианид m-хлорфенилгидразон (СССР), FCCP, никлозамид и, в меньшей степени, 2,4-динитрофенол (DNP), стимулируют общую аутофагию, а также индуцируют деградацию митохондрий, повышая проницаемость их внутренней мембраны для протонов и снижая ее трансмембранный потенциал, что также приводит к запуску митофагии по PINK1/Parkin-зависимому пути [105–107]. Также было показано, что CCCP и FCCP могут запускать митофагию за счет NIX/BNIP3L- и FUNDC1-путей [7]. Несмотря на широкое использование в биологических экспериментах, эти соединения имеют нежелательные эффекты, которые не позволяют использовать их в клинической практике. Воздействие на всю популяцию митохондрий приводит к энергетическому кризису клеток и зачастую к их смерти [108], поэтому их хроническое применение может повлечь за собой полное разрушение всех митохондрий [106]. Они также нарушают работу белков плазматической мембраны и цитоскелета, подавляют активность лизосом [7]. Применение разобщителей окислительного фосфорилирования сопряжено с большим числом побочных эффектов и высокой цитотоксичностью. При этом цитотоксические свойства проявляются даже при концентрациях, недостаточных для индуцирования митофагии. Разобщитель окислительного фосфорилирования второго поколения, BAM15, найденный в процессе скрининга химических библиотек, проявляет более высокую селективность к внутренней мембране митохондрий и не вызывает деполяризации плазматической мембраны [109]. При этом эффективность BAM15 сопоставима с CCCP и FCCP.
Также к запуску PINK1/Parkin-зависимого пути приводит накопление в клетке АФК. Большая группа веществ, в которую входят паракват, дикват, селенит натрия и MPTP, вызывает серьезный окислительный стресс: они посредством различных механизмов запускают генерацию АФК, которые повреждают митохондрии [7, 110–113]. Например, селенит натрия вызывает летальную форму митофагии в клетках глиомы человека, но не влияет на астроциты. По-видимому, механизм действия селенита натрия связан с активацией убиквитинлигазы E3 MUL1, которая, в свою очередь, рекрутирует ULK1 в митохондрии, облегчая тем самым их деградацию [7]. Паракват и дикват активируют митофагию за счет повышения концентрации супероксид-анион радикалов, влияющей на комплекс I электрон-транспортной цепи (ЭТЦ). Митофагия в этом случае запускается в результате деполяризации митохондриальной мембраны и идет по PINK1/Parkin-зависимому пути [106, 107, 112]. MPP+ (активный метаболит MPTP) способствует фосфорилированию и накоплению в митохондриях ERK2, которая направляет митохондрии в аутофагосомы и способствует их деградации [111, 113]. Возможность активации аутофагии через индукцию АФК также не может быть применена в терапевтических целях, поскольку фактически вызывает повреждение митохондрий, что в конечном итоге и приводит к митофагии.
Известный ингибитор p53, пифитрин-α, вызывает Parkin-зависимую митофагию, которая защищает β-клетки поджелудочной железы и противодействует диабету [114], а также препятствует нарушению функции тканей миокарда [115] в мышиных моделях. Этот эффект связан с нарушением независящей от транскрипции цитоплазматической функции p53 [116].
Также митофагия может запускаться с помощью p62/SQSTM1. PMI (p62/SQSTM1-зависимый индуктор митофагии) – синтетическое соединение, запускающее p62-зависимую элиминацию митохондрий без влияния на мембранный потенциал или морфологию сети митохондрий [117]. PMI работает по нескольким механизмам: во-первых, увеличивает экспрессию и сигналинг от p62/SQSTM1, что стимулирует включение митохондрий в аутофагосомы; во-вторых, является ингибитором белок-белкового взаимодействия между Nrf2 и Keap1, стабилизируя Nrf2, который стимулирует биогенез митохондрий [7].
Таким образом, экспериментальные синтетические соединения также проявляют значительное разнообразие в механизмах активации ауто- и митофагии. В табл. 2 приведены структуры и мишени описанных веществ. Хотелось бы отметить, что, несмотря на большое количество исследований, проводимых в области аутофагии, для значительной части активаторов аутофагии так и не обнаружена конкретная мишень их действия. Данный факт отрицательно сказывается как на коммерческом потенциале молекул, так и на научном. При составлении химических библиотек для скрининга активаторов аутофагии многие научные группы используют признак структурного сходства молекул с известными активаторами аутофагии. Более детальные представления о механизме действия таких молекул позволили бы нам составлять более сфокусированные библиотеки.
Таблица 2. Экспериментальные и синтетические индукторы ауто- и митофагии
Название | Структура | Механизм |
AZD8055 | ингибирует mTOR | |
CZ415 | ||
Торин 1 | ||
PP242 | ||
KU-0063794 | ||
PtdIns-103 | ||
NVP-BEZ235 | ||
EN6 | нарушает взаимодействие ATP6V1A и mTOR | |
SMERs | активирует mTOR-независимые пути | |
AUTEN-99 | ||
J3 | ингибирует mTOR-зависимый путь | |
Бутират натрия | ||
9f | ингибирует Akt1 | |
ReHа-2 | ингибирует Akt-сигнальный путь | |
4-HAB | активирует SIRT1-зависимый путь | |
SRT1720 | активирует SIRT1 и AMPK | |
SRT2183 | ингибирует сигнальный путь Akt/mTOR/70S6K | |
AICAR | активирует AMPK | |
CRO15 | ||
LYN-1604 | активирует ULK1 | |
CB6 | активирует PIK3C3 | |
ABT737 | нарушает взаимодействие BECN1 и Bcl-2 | |
ABTL0812 | активирует PPARα и PPARγ | |
MSL-7 | активирует фосфатазу кальциневрин А | |
SMK-17 | активирует TFEB | |
Производное катехола, соединение 6 | не известно | |
XCT-790 | не известно | |
26b | ||
Гуманин [118] | ||
VP07 | активирует Parkin-зависимые пути | |
JAR1.39 | ||
Пифитрин-α | ||
UMI-77 | ||
Кинетин | субстрат PINK1 | |
MTK458 | cтабилизирует активную конформацию PINK1 | |
FCCP | снижает трансмембранный потенциал | |
СССР | ||
DNP | ||
BAM15 | ||
Паракват | вызывает окислительный стресс | |
Дикват | ||
Селенит натрия | ||
MPTP | ||
PMI | увеличивает экспрессию и сигналинг от p62/SQSTM1 |
Коммерческие разработки синтетических активаторов аутофагии
В обзоре, посвященном природным активаторам аутофагии [10], были описаны компании, которые занимаются коммерциализацией биологически активных добавок на основе таких соединений, как уролитин А, спермидин, ресвератрол, куркумин и др. Для приема таких добавок, как правило, не нужны специальные показания и рекомендации врача, их применяют с целью увеличение продолжительности жизни и замедления старения.
Однако модулирование аутофагии является также подходом к лечению многих заболеваний. Такие компании, как AUTOTAC Bio Inc., Biophagy, Casma Therapeutics, Ability Pharma, Samsara Therapeutics, Retro Biosciences, Vincere, Libra Therapeutics, PAQ Therapeutics, разрабатывают активаторы аутофагии, нацеленные на лечение заболеваний, ассоциированных с аутофагией.
Данные компании занимаются более глубокими и сложными по своей природе исследованиями, поскольку, в отличие от компаний, которые использовали в своих добавках вещества природного происхождения, объекты разработок данных компаний – как правило, синтетические вещества, требующие более тщательных исследований на предмет токсичности, побочных эффектов и механизма действия.
Компании Biophagy, Samsara Therapeutics, Vincere, Libra Therapeutics, PAQ Therapeutics разрабатывают активаторы аутофагии для лечения заболеваний, связанных со старением, нейродегенерацией, раком, и пока находятся на стадии поиска и оптимизации формул активаторов или исследования механизмов их действия. Компании Casma Therapeutics и Retro Biosciences приближаются к стадии доклинических исследований, а более прогрессивные, такие как AUTOTAC Bio и Ability Pharma – уже находятся на стадии клинических испытаний.
Препарат компании Ability Pharma ABTL0812 уже прошел с положительными результатами испытания фазы IIа при раке эндометрия и раке легких [119] и в настоящее время проходит фазу IIb клинических испытаний при раке поджелудочной железы. Данное соединение индуцирует аутофагию за счет активации TRIB3, который является эндогенным ингибитором пути Atk/mTOR. Помимо этого, ABTL0812 также запускает стресс эндоплазматического ретикулума с помощью взаимодействия с ядерными рецепторами PPARα и PPARγ [119].
AUTOTAC Bio Inc. разрабатывает препараты на основе химер, нацеленных на аутофагию, для лечения нейродегенеративных заболеваний, рака, амилоидозов, мышечной дистрофии, инфекционных и метаболических заболеваний. В настоящее время несколько препаратов находятся на стадии доклинических испытаний, а один, направленный против болезни Альцгеймера, находится уже на стадии клинических испытаний. Компания AUTOTAC Bio Inc. имеет несколько патентов на свои химеры и опубликованное исследование, подтверждающие перспективность разработок [120].
Похожий подход разрабатывает компания Casma Therapeutics, которая создала платформу PHLYT™ (Phagosome-Lysosome Targeting) на основе соединений, позволяющих привлекать белки-регуляторы аутофагии к мишеням, являющимся причинами некоторых болезней, что приводит к биогенезу аутофагосом вокруг мишени. Компания нацелена на лечение онкологических заболеваний, воспаления, нейродегенерации и метаболических нарушений. Несколько онкологических препаратов приближается к стадии доклинических исследований.
Платформу направленной деградации на основе соединений, связывающих аутофагосомы (ATTEC) [121], разрабатывает компания PAQ Therapeutics. В конце 2021 г. компания объявила о сотрудничестве с Insilico Medicine для разработки новых методов лечения посредством деградации, зависящей от аутофагии.
Таким образом, достаточно много иностранных компаний занимается разработкой в области аутофагии, используя различные методы и преследуя разные цели, что свидетельствует о перспективности данного направления как подхода к увеличению продолжительности жизни, замедлению, лечению или предотвращению ассоциированных с возрастом заболеваний. Вполне вероятно, что многие из описанных в данном обзоре активаторов аутофагии, которые активно исследуются на моделях различных заболеваний, в последующем также станут объектами коммерциализации и войдут в состав новых пищевых добавок или терапевтических средств.
Как и для всего мирового сообщества, для нашей страны крайне актуально изучение аутофагии, так как благодаря исследованиям в этом направлении потенциально может быть увеличена продолжительность жизни и отсрочено наступление возрастных заболеваний. Помимо этого, соединения, активирующие аутофагию, являются крайне перспективными молекулами для терапии злокачественных опухолей и нейродегенеративных заболеваний. Разработки в направлении активации аутофагии могли бы значительно расширить арсенал методов для терапии этих заболеваний, что крайне актуально, так как, в частности, одной из приоритетных задач в медицине для Российской Федерации является борьба с раком. В данный момент в нашей стране ведутся научные исследования в области изучения аутофагии [57, 122–124], однако, к сожалению, пока что проекты не доведены до практического применения.
Заключение
За последние годы наши представления об аутофагии значительно расширились, однако она остается все еще сложным процессом для изучения. В первую очередь это связано с тем, что участники каскада регуляции аутофагии задействованы в различных смежных клеточных процессах. Помимо этого, большинство известных активаторов и ингибиторов аутофагии не обладают высокой специфичностью и воздействуют сразу на несколько ферментов, что, в свою очередь, приводит к появлению побочных эффектов в клетке.
В повседневной жизни источниками активаторов аутофагии для человека являются микробиота и пищевые продукты. Многие растения содержат в своем составе полифенольные соединения, которые затем под воздействием микробиоты превращаются, например, в уролитин А, который является одним из наиболее известных активаторов митофагии и уже сейчас используется в качестве пищевой добавки.
В связи с развитием молекулярной биологии и высоким терапевтическим потенциалом активаторов аутофагии за последние 2 года появились молекулы, механизм действия которых изучен детально, и определены конкретные мишени, среди которых встречаются AMPK, Akt и PINK1. Интересно также, что многие лекарственные препараты, которые уже применяются человеком, также запускают аутофагию, а значит, потенциально могут быть использованы, например, для терапии рака или нейродегенеративных заболеваний.
Немалое количество компаний в настоящее время ведет разработки активаторов аутофагии для лечения заболеваний, связанных со старением, раком, нейродегенерацией и другими ассоциированными с возрастом заболеваниями. Поэтому в скором времени активаторы аутофагии с большой вероятностью пополнят линейку терапевтических и профилактических средств, а также пищевых добавок против возраст-ассоциированных и других заболеваний.
Финансирование. Работа выполнена при финансовой поддержке компании ЭФКО.
Благодарности. Авторы благодарны коллективу лаборатории, а также академикам А.Г. Габибову и А.А. Макарову за обсуждение и дискуссии.
Конфликт интересов. Работа выполнена при финансовой поддержке компании ЭФКО.
Соблюдение этических норм. Настоящая статья не содержит описания каких-либо исследований с участием людей или животных в качестве объектов.
Об авторах
Е. А. Гусева
Сколковского института науки и технологий; НИИ физико-химической биологии имени А.Н. Белозерского, Московский государственный университет имени М.В. Ломоносова; Московский государственный университет имени М.В. Ломоносова
Email: eguseva98@mail.ru
Центр наук о жизни, химический факультет
Россия, 143025 Сколково; 119991 Москва; 119991 МоскваЮ. А. Павлова
Сколковского института науки и технологий; НИИ физико-химической биологии имени А.Н. Белозерского, Московский государственный университет имени М.В. Ломоносова; Московский государственный университет имени М.В. Ломоносова
Email: eguseva98@mail.ru
Центр наук о жизни, химический факультет
Россия, 143025 Сколково; 119991 Москва; 119991 МоскваО. А. Донцова
Сколковскогй институт науки и технологий; НИИ физико-химической биологии имени А.Н. Белозерского, Московский государственный университет имени М.В. Ломоносова; Московский государственный университет имени М.В. Ломоносова; Институт биоорганической химии им. академиков М.М. Шемякина и Ю.А. Овчинникова РАН
Email: eguseva98@mail.ru
Центр наук о жизни, химический факультет
Россия, 143025 Сколково; 119991 Москва; 119991 Москва; 117997 МоскваП. В. Сергиев
Сколковский институт науки и технологий; НИИ физико-химической биологии имени А.Н. Белозерского, Московский государственный университет имени М.В. Ломоносова; Московский государственный университет имени М.В. Ломоносова
Автор, ответственный за переписку.
Email: petya@genebee.msu.ru
Центр наук о жизни, химический факультет, Институт функциональной геномики
Россия, 143025 Сколково; 119991 Москва; 117997 Moscow;Список литературы
- Pierzynowska, K., Gaffke, L., Cyske, Z., Puchalski, M., Rintz, E., Bartkowski, M., et al. (2018) Autophagy stimulation as a promising approach in treatment of neurodegenerative diseases, Metab. Brain. Dis., 33, 989-1008, doi: 10.1007/s11011-018-0214-6.
- Liang, X. H., Jackson, S., Seaman, M., Brown, K., Kempkes, B., Hibshoosh, H., et al. (1999) Induction of autophagy and inhibition of tumorigenesis by beclin 1, Nature, 402, 672-676, doi: 10.1038/45257.
- Marinković, M., Šprung, M., Buljubašić, M., and Novak, I. (2018) Autophagy modulation in cancer: current knowledge on action and therapy, Oxid. Med. Cell Longev., 2018, 8023821, doi: 10.1155/2018/8023821.
- Campbell, G. R., and Spector, S. A. (2012) Vitamin D inhibits human immunodeficiency virus type 1 and Mycobacterium tuberculosis infection in macrophages through the induction of autophagy, PLoS Pathog., 8, e1002689, doi: 10.1371/journal.ppat.1002689.
- Xie, Z., Lau, K., Eby, B., Lozano, P., He, C., Pennington, B., et al. (2011) Improvement of cardiac functions by chronic metformin treatment is associated with enhanced cardiac autophagy in diabetic OVE26 mice, Diabetes, 60, 1770-1778, doi: 10.2337/db10-0351.
- Wang, B., Yang, Q., Sun, Y., Xing, Y., Wang, Y., Lu, X., et al. (2014) Resveratrol-enhanced autophagic flux ameliorates myocardial oxidative stress injury in diabetic mice, J. Cell Mol. Med., 18, 1599-1611, doi: 10.1111/jcmm.12312.
- Georgakopoulos, N. D., Wells, G., and Campanella, M. (2017) The pharmacological regulation of cellular mitophagy, Nat. Chem. Biol., 13, 136-146, doi: 10.1038/nchembio.2287.
- Bravo-San Pedro, J. M., Kroemer, G., and Galluzzi, L. (2017) Autophagy and mitophagy in cardiovascular disease, Circ. Res., 120, 1812-1824, doi: 10.1161/CIRCRESAHA.117.311082.
- ВОЗ (2020) 10 ведущих причин смерти в мире, Всемирная организация здравоохранения, URL: https://www.who.int/ru/news-room/fact-sheets/detail/the-top-10-causes-of-death.
- Павлова Ю. А., Гусева Е. А., Донцова О. А., Сергиев П. В. (2024) Природные активаторы аутофагии, Биохимия, 1, 5-32, doi: 10.31857/S0320972524010018.
- Levine, B., Packer, M., and Codogno, P. (2015) Development of autophagy inducers in clinical medicine, J. Clin. Invest., 125, 14-24, doi: 10.1172/JCI73938.
- Russo, M., and Russo, G. L. (2018) Autophagy inducers in cancer, Biochem. Pharmacol., 153, 51-61, doi: 10.1016/ j.bcp.2018.02.007.
- Handschin, C., and Spiegelman, B. M. (2008) The role of exercise and PGC1alpha in inflammation and chronic disease, Nature, 454, 463-469, doi: 10.1038/nature07206.
- Varady, K. A., and Hellerstein, M. K. (2007) Alternate-day fasting and chronic disease prevention: a review of human and animal trials, Am. J. Clin. Nutr., 86, 7-13, doi: 10.1093/ajcn/86.1.7.
- Werner, E. A., and Bell, J. (1922) CCXIV. – The preparation of methylguanidine, and of ββ-dimethylguanidine by the interaction of dicyanodiamide, and methylammonium and dimethylammonium chlorides respectively, J. Chem. Soc. Trans., 121, 1790-1794, doi: 10.1039/CT9222101790.
- Cerezo, M., Tichet, M., Abbe, P., Ohanna, M., Lehraiki, A., Rouaud, F., et al. (2013) Metformin blocks melanoma invasion and metastasis development in AMPK/p53-dependent manner, Mol. Cancer. Ther., 12, 1605-1615, doi: 10.1158/ 1535-7163.MCT-12-1226-T.
- Hur, K. Y., and Lee, M.-S. (2015) New mechanisms of metformin action: focusing on mitochondria and the gut, J. Diabetes Invest., 6, 600-609, doi: 10.1111/jdi.12328.
- Viollet, B., Guigas, B., Sanz Garcia, N., Leclerc, J., Foretz, M., and Andreelli, F. (2012) Cellular and molecular mechanisms of metformin: an overview, Clin. Sci. (Lond)., 122, 253-270, doi: 10.1042/CS20110386.
- Diamanti-Kandarakis, E., Economou, F., Palimeri, S., and Christakou, C. (2010) Metformin in polycystic ovary syndrome, Ann. N. Y. Acad. Sci., 1205, 192-198, doi: 10.1111/j.1749-6632.2010.05679.x.
- Tomic, T., Botton, T., Cerezo, M., Robert, G., Luciano, F., Puissant, A., et al. (2011) Metformin inhibits melanoma development through autophagy and apoptosis mechanisms, Cell Death Dis., 2, e199, doi: 10.1038/ cddis.2011.86.
- Zhang, G., Liu, H., Xue, T., Kong, X., Tian, D., Luo, L., et al. (2023) Ribavirin extends the lifespan of Caenorhabditis elegans through AMPK-TOR signaling, Eur. J. Pharmacol., 946, 175548, doi: 10.1016/j.ejphar.2023.175548.
- Jhou, A.-J., Chang, H.-C., Hung, C.-C., Lin, H.-C., Lee, Y.-C., Liu, W., et al. (2021) Chlorpromazine, an antipsychotic agent, induces G2/ M phase arrest and apoptosis via regulation of the PI3K/AKT/mTOR-mediated autophagy pathways in human oral cancer, Biochem. Pharmacol., 184, 114403, doi: 10.1016/j.bcp.2020.114403.
- Zhao, C., Yang, Z., Zhang, J., Li, O., Liu, S., Cai, C., et al. (2022) Inhibition of XPO1 with KPT-330 induces autophagy-dependent apoptosis in gallbladder cancer by activating the p53/mTOR pathway, J. Transl. Med., 20, 434, doi: 10.1186/s12967-022-03635-w.
- Wang, J., Sha, J., Strong, E., Chopra, A. K., and Lee, S. (2022) FDA-approved amoxapine effectively promotes macrophage control of mycobacteria by inducing autophagy, Microbiol. Spectr., 10, e02509-22, doi: 10.1128/ spectrum.02509-22.
- Takla, M., Keshri, S., and Rubinsztein, D. C. (2023) The post-translational regulation of transcription factor EB (TFEB) in health and disease, EMBO Rep., 24, e57574, doi: 10.15252/embr.202357574.
- Chauhan, S., Ahmed, Z., Bradfute, S. B., Arko-Mensah, J., Mandell, M. A., Won Choi, S., et al. (2015) Pharmaceutical screen identifies novel target processes for activation of autophagy with a broad translational potential, Nat. Commun., 6, 8620, doi: 10.1038/ncomms9620.
- Gu, Y., Chen, T., Li, G., Xu, C., Xu, Z., Zhang, J., et al. (2017) Lower Beclin 1 downregulates HER2 expression to enhance tamoxifen sensitivity and predicts a favorable outcome for ER positive breast cancer, Oncotarget, 8, 52156-52177, doi: 10.18632/oncotarget.11044.
- Wu, Q., and Sharma, D. (2023) Autophagy and breast cancer: connected in growth, progression, and therapy, Cells, 12, 1156, doi: 10.3390/cells12081156.
- Shen, P.-W., Chou, Y.-M., Li, C.-L., Liao, E.-C., Huang, H.-S., Yin, C.-H., et al. (2021) Itraconazole improves survival outcomes in patients with colon cancer by inducing autophagic cell death and inhibiting transketolase expression, Oncol. Lett., 22, 768, doi: 10.3892/ol.2021.13029.
- Park, H.-W., and Lee, J. H. (2014) Calcium channel blockers as potential therapeutics for obesity-associated autophagy defects and fatty liver pathologies, Autophagy, 10, 2385-2386, doi: 10.4161/15548627.2014.984268.
- Kalonia, H., Kumar, P., and Kumar, A. (2011) Attenuation of proinflammatory cytokines and apoptotic process by verapamil and diltiazem against quinolinic acid induced Huntington like alterations in rats, Brain Res., 1372, 115-126, doi: 10.1016/j.brainres.2010.11.060.
- Miller, R. G., Smith, S. A., Murphy, J. R., Brinkmann, J. R., Graves, J., Mendoza, M., et al. (1996) A clinical trial of verapamil in amyotrophic lateral sclerosis, Muscle Nerve, 19, 511-515, doi: 10.1002/mus.880190405.
- Sarkar, S., Floto, R. A., Berger, Z., Imarisio, S., Cordenier, A., Pasco, M., et al. (2005) Lithium induces autophagy by inhibiting inositol monophosphatase, J. Cell Biol., 170, 1101-1111, doi: 10.1083/jcb.200504035.
- Fu, J., Shao, C.-J., Chen, F.-R., Ng, H.-K., and Chen, Z.-P. (2010) Autophagy induced by valproic acid is associated with oxidative stress in glioma cell lines, Neuro. Oncol., 12, 328-340, doi: 10.1093/neuonc/nop005.
- Xia, Q., Zheng, Y., Jiang, W., Huang, Z., Wang, M., Rodriguez, R., et al. (2016) Valproic acid induces autophagy by suppressing the Akt/mTOR pathway in human prostate cancer cells, Oncol. Lett., 12, 1826-1832, doi: 10.3892/ ol.2016.4880.
- Sarkar, S., Krishna, G., Imarisio, S., Saiki, S., O’Kane, C. J., and Rubinsztein, D. C. (2008) A rational mechanism for combination treatment of Huntington’ s disease using lithium and rapamycin, Hum. Mol. Genet., 17, 170-178, doi: 10.1093/hmg/ddm294.
- Murphy, R., and Freedman, J. E. (2001) Morphine and clonidine activate different K+ channels on rat amygdala neurons, Eur. J. Pharmacol., 415, R1-R3, doi: 10.1016/s0014-2999(01)00797-x.
- Lopez, A., Lee, S. E., Wojta, K., Ramos, E. M., Klein, E., Chen, J., et al. (2017) A152T tau allele causes neurodegeneration that can be ameliorated in a zebrafish model by autophagy induction, Brain, 140, 1128-1146, doi: 10.1093/ brain/awx005.
- Jung, H.-J., Seo, I., Jha, B. K., Suh, S.-I., and Baek, W.-K. (2021) Miconazole induces autophagic death in glioblastoma cells via reactive oxygen species-mediated endoplasmic reticulum stress, Oncol. Lett., 21, 335, doi: 10.3892/ol.2021.12596.
- Prajapat, S. K., Subramani, C., Sharma, P., Vrati, S., and Kalia, M. (2022) Avobenzone, Guaiazulene and Tioxolone identified as potent autophagy inducers in a high-throughput image based screen for autophagy flux, Autophagy Rep., 1, 523-536, doi: 10.1080/27694127.2022.2132075.
- Yang, C., Lim, W., Bazer, F. W., and Song, G. (2018) Avobenzone suppresses proliferative activity of human trophoblast cells and induces apoptosis mediated by mitochondrial disruption, Reproductive Toxicol., 81, 50-57, doi: 10.1016/ j.reprotox.2018.07.003.
- Staatz, C. E., and Tett, S. E. (2004) Clinical pharmacokinetics and pharmacodynamics of tacrolimus in solid organ transplantation, Clin. Pharmacokinetics, 43, 623-653, doi: 10.2165/00003088-200443100-00001.
- Nakagaki, T., Satoh, K., Ishibashi, D., Fuse, T., Sano, K., Kamatari, Y. O., et al. (2013) FK506 reduces abnormal prion protein through the activation of autolysosomal degradation and prolongs survival in prion-infected mice, Autophagy, 9, 1386-1394, doi: 10.4161/auto.25381.
- Park, K., Sonn, S. K., Seo, S., Kim, J., Hur, K. Y., Oh, G. T., et al. (2023) Impaired TFEB activation and mitophagy as a cause of PPP3/calcineurin inhibitor-induced pancreatic β-cell dysfunction, Autophagy, 19, 1444-1458, doi: 10.1080/15548627.2022.2132686.
- Motawi, T. K., Al-Kady, R. H., Senousy, M. A., and Abdelraouf, S. M. (2023) Repaglinide elicits a neuroprotective effect in rotenone-induced Parkinson’ s disease in rats: emphasis on targeting the DREAM-ER stress BiP/ATF6/CHOP trajectory and activation of mitophagy, ACS Chem. Neurosci., 14, 180-194, doi: 10.1021/acschemneuro.2c00656.
- Iacano, A. J., Lewis, H., Hazen, J. E., Andro, H., Smith, J. D., and Gulshan, K. (2019) Miltefosine increases macrophage cholesterol release and inhibits NLRP3-inflammasome assembly and IL-1β release, Sci. Rep., 9, 11128, doi: 10.1038/s41598-019-47610-w.
- Moskal, N., and McQuibban, G. A. (2023) From jeopardy champion to drug discovery; semantic similarity artificial intelligence, Autophagy, doi: 10.1080/15548627.2023.2210995.
- Moskal, N., Visanji, N. P., Gorbenko, O., Narasimhan, V., Tyrrell, H., Nash, J., et al. (2023) An AI-guided screen identifies probucol as an enhancer of mitophagy through modulation of lipid droplets, PLoS Biol., 21, e3001977, doi: 10.1371/journal.pbio.3001977.
- Chen, C., and Paw, B. H. (2012) Cellular and mitochondrial iron homeostasis in vertebrates, Biochim. Biophys. Acta, 1823, 1459-1467, doi: 10.1016/j.bbamcr.2012.01.003.
- Allen, G. F. G., Toth, R., James, J., and Ganley, I. G. (2013) Loss of iron triggers PINK1/Parkin-independent mitophagy, EMBO Rep., 14, 1127-1135, doi: 10.1038/embor.2013.168.
- McWilliams, T. G., Prescott, A. R., Montava-Garriga, L., Ball, G., Singh, F., Barini, E., et al. (2018) Basal mitophagy occurs independently of PINK1 in mouse tissues of high metabolic demand, Cell Metab., 27, 439-449.e5, doi: 10.1016/ j.cmet.2017.12.008.
- Nagi, M., Tanabe, K., Nakayama, H., Ueno, K., Yamagoe, S., Umeyama, T., et al. (2016) Iron-depletion promotes mitophagy to maintain mitochondrial integrity in pathogenic yeast Candida glabrata, Autophagy, 12, 1259-1271, doi: 10.1080/15548627.2016.1183080.
- Schiavi, A., Maglioni, S., Palikaras, K., Shaik, A., Strappazzon, F., Brinkmann, V., et al. (2015) Iron-starvation-induced mitophagy mediates lifespan extension upon mitochondrial stress in C. elegans, Curr. Biol., 25, 1810-1822, doi: 10.1016/j.cub.2015.05.059.
- Hara, Y., Yanatori, I., Tanaka, A., Kishi, F., Lemasters, J. J., Nishina, S., Sasaki, K., and Hino, K. (2020) Iron loss triggers mitophagy through induction of mitochondrial ferritin, EMBO Rep., 21, e50202, doi: 10.15252/ embr.202050202.
- Kondapalli, C., Kazlauskaite, A., Zhang, N., Woodroof, H. I., Campbell, D. G., Gourlay, R., et al. (2012) PINK1 is activated by mitochondrial membrane potential depolarization and stimulates Parkin E3 ligase activity by phosphorylating Serine 65, Open Biol., 2, 120080, doi: 10.1098/rsob.120080.
- Savulescu, J. (2004) Thalassaemia major: the murky story of deferiprone, BMJ, 328, 358-359, doi: 10.1136/bmj.328.7436.358.
- Lyamzaev, K. G., Tokarchuk, A. V., Panteleeva, A. A., Mulkidjanian, A. Y., Skulachev, V. P., and Chernyak, B. V. (2018) Induction of autophagy by depolarization of mitochondria, Autophagy, 14, 921-924, doi: 10.1080/ 15548627.2018.1436937.
- Benjamin, D., Colombi, M., Moroni, C., and Hall, M. N. (2011) Rapamycin passes the torch: a new generation of mTOR inhibitors, Nat. Rev. Drug Discov., 10, 868-880, doi: 10.1038/nrd3531.
- Huang, S., Yang, Z. J., Yu, C., and Sinicrope, F. A. (2011) Inhibition of mTOR kinase by AZD8055 can antagonize chemotherapy-induced cell death through autophagy induction and down-regulation of p62/sequestosome 1, J. Biol. Chem., 286, 40002-40012, doi: 10.1074/jbc.M111.297432.
- Li, X., Li, Z., Song, Y., Liu, W., and Liu, Z. (2018) The mTOR kinase inhibitor CZ415 inhibits human papillary thyroid carcinoma cell growth, Cell Physiol. Biochem., 46, 579-590, doi: 10.1159/000488625.
- Xie, J., Li, Q., Ding, X., and Gao, Y. (2018) Targeting mTOR by CZ415 Inhibits Head and Neck Squamous Cell Carcinoma Cells, Cell. Physiol. Biochem., 46, 676-686, doi: 10.1159/000488724.
- Thoreen, C. C., Kang, S. A., Chang, J. W., Liu, Q., Zhang, J., Gao, Y., et al. (2009) An ATP-competitive mammalian target of rapamycin inhibitor reveals rapamycin-resistant functions of mTORC1, J. Biol. Chem., 284, 8023-8032, doi: 10.1074/jbc.M900301200.
- Feldman, M. E., Apsel, B., Uotila, A., Loewith, R., Knight, Z. A., Ruggero, D., et al. (2009) Active-site inhibitors of mTOR target rapamycin-resistant outputs of mTORC1 and mTORC2, PLoS Biol., 7, e38, doi: 10.1371/journal.pbio.1000038.
- Klionsky, D. J., Abdalla, F. C., Abeliovich, H., Abraham, R. T., Acevedo-Arozena, A., Adeli, K., et al. (2012) Guidelines for the use and interpretation of assays for monitoring autophagy, Autophagy, 8, 445-544, doi: 10.4161/auto.19496.
- Chung, C. Y.-S., Shin, H. R., Berdan, C. A., Ford, B., Ward, C. C., Olzmann, J. A., et al. (2019) Covalent targeting of the vacuolar H+-ATPase activates autophagy via mTORC1 inhibition, Nat. Chem. Biol., 15, 776-785, doi: 10.1038/ s41589-019-0308-4.
- Floto, R. A., Sarkar, S., Perlstein, E. O., Kampmann, B., Schreiber, S. L., and Rubinsztein, D. C. (2007) Small molecule enhancers of rapamycin-induced TOR inhibition promote autophagy, reduce toxicity in Huntington’ s disease models and enhance killing of mycobacteria by macrophages, Autophagy, 3, 620-622, doi: 10.4161/auto.4898.
- Seidel, K., Siswanto, S., Fredrich, M., Bouzrou, M., Brunt, E. R., van Leeuwen, F. W., et al. (2016) Polyglutamine aggregation in Huntington’ s disease and spinocerebellar ataxia type 3: similar mechanisms in aggregate formation, Neuropathol. Appl. Neurobiol., 42, 153-166, doi: 10.1111/nan.12253.
- Kovács, T., Billes, V., Komlós, M., Hotzi, B., Manzéger, A., Tarnóci, A., et al. (2017) The small molecule AUTEN-99 (autophagy enhancer-99) prevents the progression of neurodegenerative symptoms, Sci. Rep., 7, 42014, doi: 10.1038/srep42014.
- Long, J., Luo, X., Fang, D., Song, H., Fang, W., Shan, H., et al. (2022) Discovery of an autophagy inducer J3 to lower mutant huntingtin and alleviate Huntington’ s disease-related phenotype, Cell Biosci., 12, 167, doi: 10.1186/s13578-022-00906-3.
- Yu, M., Zeng, M., Pan, Z., Wu, F., Guo, L., and He, G. (2020) Discovery of novel akt1 inhibitor induces autophagy associated death in hepatocellular carcinoma cells, Eur. J. Med. Chem., 189, 112076, doi: 10.1016/j.ejmech.2020.112076.
- Du, Y., Wang, H. L., Zhao, S.-Hu., and Zhang, X.-J. (2022) Discovery a novel hybrid with resveratrol and hans ester derivatives as activators induce autophagic cell death in tumoral NCI-H460 cells through production of ROS, Res. Sq., doi: 10.21203/rs.3.rs-1329819/v1.
- Hafez, H. N., Abbas, H.-A. S., and El-Gazzar, A.-R. B. A. (2008) Synthesis and evaluation of analgesic, anti-inflammatory and ulcerogenic activities of some triazolo- and 2-pyrazolyl-pyrido[2,3-d]-pyrimidines, Acta Pharm., 58, 359-378, doi: 10.2478/v10007-008-0024-1.
- Sayed, H. H., Morsy, E. M. H., and Flefel, E. M. (2010) Synthesis and reactions of some novel Nicotinonitrile, Thiazolotriazole, and Imidazolotriazole derivatives for antioxidant evaluation, Synthetic Commun., 40, 1360-1370, doi: 10.1080/00397910903079631.
- Hsieh, C.-Y., Li, L.-H., Lam, Y., Fang, Z., Gan, C. H., Rao, Y. K., et al. (2020) Synthetic 4-hydroxy Auxarconjugatin B, a novel autophagy inducer, attenuates gouty inflammation by inhibiting the NLRP3 inflammasome, Cells, 9, E279, doi: 10.3390/cells9020279.
- Luo, G., Jian, Z., Zhu, Y., Zhu, Y., Chen, B., Ma, R., et al. (2019) Sirt1 promotes autophagy and inhibits apoptosis to protect cardiomyocytes from hypoxic stress, Int. J. Mol. Med., 43, 2033-2043, doi: 10.3892/ijmm.2019.4125.
- Sun, T., Hu, Y., He, W., Shang, Y., Yang, X., Gong, L., et al. (2020) SRT2183 impairs ovarian cancer by facilitating autophagy, Aging (Albany NY), 12, 24208-24218, doi: 10.18632/aging.104126.
- Kim, M. J., Kang, Y. J., Sung, B., Jang, J. Y., Ahn, Y. R., Oh, H. J., et al. (2020) Novel SIRT inhibitor, MHY2256, induces cell cycle arrest, apoptosis, and autophagic cell death in HCT116 human colorectal cancer cells, Biomol. Ther. (Seoul), 28, 561-568, doi: 10.4062/biomolther.2020.153.
- Viana, R., Aguado, C., Esteban, I., Moreno, D., Viollet, B., Knecht, E., et al. (2008) Role of AMP-activated protein kinase in autophagy and proteasome function, Biochem. Biophys. Res. Commun., 369, 964-968, doi: 10.1016/j.bbrc.2008.02.126.
- Jaune, E., Cavazza, E., Ronco, C., Grytsai, O., Abbe, P., Tekaya, N., et al. (2021) Discovery of a new molecule inducing melanoma cell death: dual AMPK/MELK targeting for novel melanoma therapies, Cell Death Dis., 12, 64, doi: 10.1038/s41419-020-03344-6.
- Pasquier, B. (2015) SAR405, a PIK3C3/Vps34 inhibitor that prevents autophagy and synergizes with MTOR inhibition in tumor cells, Autophagy, 11, 725-726, doi: 10.1080/15548627.2015.1033601.
- Zhang, L., Fu, L., Zhang, S., Zhang, J., Zhao, Y., Zheng, Y., et al. (2017) Discovery of a small molecule targeting ULK1-modulated cell death of triple negative breast cancer in vitro and in vivo, Chem. Sci., 8, 2687-2701, doi: 10.1039/c6sc05368h.
- Zhu, Z., Liu, L.-F., Su, C.-F., Liu, J., Tong, B. C.-K., Iyaswamy, A., et al. (2022) Corynoxine B derivative CB6 prevents Parkinsonian toxicity in mice by inducing PIK3C3 complex-dependent autophagy, Acta Pharmacol. Sin., 43, 2511-2526, doi: 10.1038/s41401-022-00871-0.
- Qiao, C.-M., Sun, M.-F., Jia, X.-B., Shi, Y., Zhang, B.-P., Zhou, Z.-L., et al. (2020) Sodium butyrate causes α-synuclein degradation by an Atg5-dependent and PI3K/Akt/mTOR-related autophagy pathway, Exp. Cell Res., 387, 111772, doi: 10.1016/j.yexcr.2019.111772.
- Tang, Y., Chen, Y., Jiang, H., and Nie, D. (2011) Short-chain fatty acids induced autophagy serves as an adaptive strategy for retarding mitochondria-mediated apoptotic cell death, Cell Death Differ., 18, 602-618, doi: 10.1038/cdd.2010.117.
- Zhang, J., Yi, M., Zha, L., Chen, S., Li, Z., Li, C., et al. (2016) Sodium butyrate induces endoplasmic reticulum stress and autophagy in colorectal cells: implications for apoptosis, PLoS One, 11, e0147218, doi: 10.1371/journal. pone.0147218.
- Pant, K., Saraya, A., and Venugopal, S. K. (2017) Oxidative stress plays a key role in butyrate-mediated autophagy via Akt/mTOR pathway in hepatoma cells, Chem. Biol. Interact., 273, 99-106, doi: 10.1016/j.cbi.2017.06.001.
- Zhou, C., Li, L., Li, T., Sun, L., Yin, J., Guan, H., et al. (2020) SCFAs induce autophagy in intestinal epithelial cells and relieve colitis by stabilizing HIF-1α, J. Mol. Med. (Berl), 98, 1189-1202, doi: 10.1007/s00109-020-01947-2.
- Engevik, M. A., Luk, B., Chang-Graham, A. L., Hall, A., Herrmann, B., Ruan, W., et al. (2019) Bifidobacterium dentium fortifies the intestinal mucus layer via autophagy and calcium signaling pathways, mBio, 10, e01087-19, doi: 10.1128/mBio.01087-19.
- Schulthess, J., Pandey, S., Capitani, M., Rue-Albrecht, K. C., Arnold, I., Franchini, F., et al. (2019) The short chain fatty acid butyrate imprints an antimicrobial program in macrophages, Immunity, 50, 432-445.e7, doi: 10.1016/ j.immuni.2018.12.018.
- Levine, B., Sinha, S. C., and Kroemer, G. (2008) Bcl-2 family members: Dual regulators of apoptosis and autophagy, Autophagy, 4, 600-606, doi: 10.4161/auto.6260.
- Maiuri, M. C., Le Toumelin, G., Criollo, A., Rain, J.-C., Gautier, F., Juin, P., et al. (2007) Functional and physical interaction between Bcl-X(L) and a BH3-like domain in Beclin-1, EMBO J., 26, 2527-2539, doi: 10.1038/sj.emboj.7601689.
- Escariba Ruiz, P. V., Busquetes Xaubet, X., Teres Jimenez, S., Barcelo Coblijn, G., Llado Canellas, V., Marcilla Etxenike, A., et al. (2010) Patent: Use of derevatives of polyunsaturated fatty acids as medicaments, WO2010106211, 23.09.2010.
- Erazo, T., Lorente, M., López-Plana, A., Muñoz-Guardiola, P., Fernández-Nogueira, P., García-Martínez, J. A., et al. (2016) The new antitumor drug ABTL0812 inhibits the Akt/mTORC1 axis by upregulating Tribbles-3 pseudokinase, Clin. Cancer Res., 22, 2508-2519, doi: 10.1158/1078-0432.CCR-15-1808.
- Bhagat, V., and Verchere, C. B. (2023) A small molecule improves diabetes in mice expressing human islet amyloid polypeptide, Islets, 15, 12-15, doi: 10.1080/19382014.2022.2163829.
- Kataura, T., Tashiro, E., Nishikawa, S., Shibahara, K., Muraoka, Y., Miura, M., et al. (2021) A chemical genomics-aggrephagy integrated method studying functional analysis of autophagy inducers, Autophagy, 17, 1856-1872, doi: 10.1080/15548627.2020.1794590.
- Han, S. and Lee, J.-H. (2020) Novel catechol derivatives or salt thereof, processes for preparing the same, and pharmaceutical compositions comprising the same. Patent: WO2020017878A1, 23.01.2020.
- Suresh, S. N., Chavalmane, A. K., Pillai, M., Ammanathan, V., Vidyadhara, D. J., Yarreiphang, H., et al. (2018) Modulation of autophagy by a small molecule inverse agonist of ERRα is neuroprotective, Front. Mol. Neurosci., 11, 109, doi: 10.3389/fnmol.2018.00109.
- Ganesher, A., Chaturvedi, P., Sahai, R., Meena, S., Mitra, K., Datta, D., et al. (2020) New Spisulosine Derivative promotes robust autophagic response to cancer cells, Eur. J. Med. Chem., 188, 112011, doi: 10.1016/j.ejmech.2019.112011.
- Kim, S.-J., Devgan, A., Miller, B., Lee, S. M., Kumagai, H., Wilson, K. A., et al. (2022) Humanin-induced autophagy plays important roles in skeletal muscle function and lifespan extension, Biochim. Biophys. Acta Gen. Subj., 1866, 130017, doi: 10.1016/j.bbagen.2021.130017.
- Maestro, I., de la Ballina, L. R., Simonsen, A., Boya, P., and Martinez, A. (2021) Phenotypic assay leads to discovery of mitophagy inducers with therapeutic potential for Parkinson’ s disease, ACS Chem. Neurosci., 12, 4512-4523, doi: 10.1021/acschemneuro.1c00529.
- Palomo, V., Perez, D. I., Roca, C., Anderson, C., Rodríguez-Muela, N., Perez, C., et al. (2017) Subtly modulating glycogen synthase kinase 3 β: allosteric inhibitor development and their potential for the treatment of chronic diseases, J. Med. Chem., 60, 4983-5001, doi: 10.1021/acs.jmedchem.7b00395.
- Mehellou, Y. (2023) Parkinson’ s disease: Are PINK1 activators inching closer to the clinic?, ACS Med. Chem. Lett., 14, 870-874, doi: 10.1021/acsmedchemlett.3c00070.
- Chin, R. M., Rakhit, R., Ditsworth, D., Wang, C., Bartholomeus, J., Liu, S., et al. (2023) Pharmacological PINK1 activation ameliorates pathology in Parkinson’s disease models, bioRxiv, doi: 10.1101/2023.02.14.528378.
- Cen, X., Xu, X., and Xia, H. (2021) Targeting MCL1 to induce mitophagy is a potential therapeutic strategy for Alzheimer disease, Autophagy, 17, 818-819, doi: 10.1080/15548627.2020.1860542.
- Gatliff, J., East, D., Crosby, J., Abeti, R., Harvey, R., Craigen, W., et al. (2014) TSPO interacts with VDAC1 and triggers a ROS-mediated inhibition of mitochondrial quality control, Autophagy, 10, 2279-2296, doi: 10.4161/15548627. 2014.991665.
- Narendra, D., Tanaka, A., Suen, D.-F., and Youle, R. J. (2008) Parkin is recruited selectively to impaired mitochondria and promotes their autophagy, J. Cell. Biol., 183, 795-803, doi: 10.1083/jcb.200809125.
- Narendra, D., Kane, L. A., Hauser, D. N., Fearnley, I. M., and Youle, R. J. (2010) p62/SQSTM1 is required for Parkin-induced mitochondrial clustering but not mitophagy; VDAC1 is dispensable for both, Autophagy, 6, 1090-1106, doi: 10.4161/auto.6.8.13426.
- Wang, Y., Nartiss, Y., Steipe, B., McQuibban, G. A., and Kim, P. K. (2012) ROS-induced mitochondrial depolarization initiates PARK2/PARKIN-dependent mitochondrial degradation by autophagy, Autophagy, 8, 1462-1476, doi: 10.4161/auto.21211.
- Kenwood, B. M., Weaver, J. L., Bajwa, A., Poon, I. K., Byrne, F. L., Murrow, B. A., et al. (2014) Identification of a novel mitochondrial uncoupler that does not depolarize the plasma membrane, Mol. Metab., 3, 114-123, doi: 10.1016/ j.molmet.2013.11.005.
- Chu, C. T., Ji, J., Dagda, R. K., Jiang, J. F., Tyurina, Y. Y., Kapralov, A. A., et al. (2013) Cardiolipin externalization to the outer mitochondrial membrane acts as an elimination signal for mitophagy in neuronal cells, Nat. Cell. Biol., 15, 1197-1205, doi: 10.1038/ncb2837.
- Dagda, R. K., Zhu, J., Kulich, S. M., and Chu, C. T. (2008) Mitochondrially localized ERK2 regulates mitophagy and autophagic cell stress: implications for Parkinson’ s disease, Autophagy, 4, 770-782, doi: 10.4161/auto.6458.
- Palikaras, K., Lionaki, E., and Tavernarakis, N. (2015) Coordination of mitophagy and mitochondrial biogenesis during ageing in C. elegans, Nature, 521, 525-528, doi: 10.1038/nature14300.
- Zhu, J. H., Gusdon, A. M., Cimen, H., Van Houten, B., Koc, E., and Chu, C. T. (2012) Impaired mitochondrial biogenesis contributes to depletion of functional mitochondria in chronic MPP+ toxicity: dual roles for ERK1/2, Cell Death Dis., 3, e312, doi: 10.1038/cddis.2012.46.
- Hoshino, A., Ariyoshi, M., Okawa, Y., Kaimoto, S., Uchihashi, M., Fukai, K., et al. (2014) Inhibition of p53 preserves Parkin-mediated mitophagy and pancreatic β-cell function in diabetes, Proc. Natl. Acad. Sci. USA, 111, 3116-3121, doi: 10.1073/pnas.1318951111.
- Hoshino, A., Mita, Y., Okawa, Y., Ariyoshi, M., Iwai-Kanai, E., Ueyama, T., et al. (2013) Cytosolic p53 inhibits Parkin-mediated mitophagy and promotes mitochondrial dysfunction in the mouse heart, Nat. Commun., 4, 2308, doi: 10.1038/ncomms3308.
- Bensaad, K., Cheung, E. C., and Vousden, K. H. (2009) Modulation of intracellular ROS levels by TIGAR controls autophagy, EMBO J., 28, 3015-3026, doi: 10.1038/emboj.2009.242.
- East, D. A., Fagiani, F., Crosby, J., Georgakopoulos, N. D., Bertrand, H., Schaap, M., et al. (2014) PMI: a ΔΨm independent pharmacological regulator of mitophagy, Chem. Biol., 21, 1585-1596, doi: 10.1016/j.chembiol.2014.09.019.
- Zhu, S., Hu, X., Bennett, S., Xu, J., and Mai, Y. (2022) The molecular structure and role of humanin in neural and skeletal diseases, and in tissue regeneration, Front. Cell Dev. Biol., 10, 823354, doi: 10.3389/fcell.2022.823354.
- Bosch-Barrera, J., Moran, T., Estévez-García, P., Martín-Martorell, P., Sabatier, R., Nadal, E., et al. (2023) Phase 2 clinical trial of the proautophagic drug ABTL0812 combined with paclitaxel and carboplatin in first-line patients with advanced squamous non-small cell lung carcinoma, JCO, 41, 9059-9059, doi: 10.1200/ JCO.2023.41.16_suppl.9059.
- Ji, C. H., Kim, H. Y., Lee, M. J., Heo, A. J., Park, D. Y., Lim, S., et al. (2022) The AUTOTAC chemical biology platform for targeted protein degradation via the autophagy-lysosome system, Nat. Commun., 13, 904, doi: 10.1038/ s41467-022-28520-4.
- Li, Z., Zhu, C., Ding, Y., Fei, Y., and Lu, B. (2020) ATTEC: a potential new approach to target proteinopathies, Autophagy, 16, 185-187, doi: 10.1080/15548627.2019.1688556.
- Korolenko, T. A., Ovsyukova, M. V., Bgatova, N. P., Ivanov, I. D., Makarova, S. I., Vavilin, V. A., et al. (2022) Trehalose activates hepatic and myocardial autophagy and has anti-inflammatory effects in db/db diabetic mice, Life (Basel), 12, 442, doi: 10.3390/life12030442.
- Korolenko, T. A., Dubrovina, N. I., Ovsyukova, M. V., Bgatova, N. P., Tenditnik, M. V., Pupyshev, A. B., et al. (2021) Treatment with autophagy inducer trehalose alleviates memory and behavioral impairments and neuroinflammatory brain processes in db/db mice, Cells, 10, 2557, doi: 10.3390/cells10102557.
- Lipatova, A., Krasnov, G., Vorobyov, P., Melnikov, P., Alekseeva, O., Vershinina, Y., et al. (2021) Effects of Siberian fir terpenes extract Abisil on antioxidant activity, autophagy, transcriptome and proteome of human fibroblasts, Aging (Albany NY), 13, 20050-20080, doi: 10.18632/aging.203448.
Дополнительные файлы









































































