Межгодовая динамика изменений сообществ макрозообентоса литоральной зоны Ладожского озера
- Авторы: Барбашова М.А.1, Трифонова М.С.1, Курашов Е.А.2
-
Учреждения:
- Институт озероведения Российской академии наук Санкт-Петербургского Федерального исследовательского центра РАН
- Институт биологии внутренних вод им. И.Д. Папанина Российской академии наук
- Выпуск: Том 17, № 5 (2024)
- Страницы: 749-762
- Раздел: ЗООПЛАНКТОН, ЗООБЕНТОС, ЗООПЕРИФИТОН
- URL: https://journals.rcsi.science/0320-9652/article/view/272431
- DOI: https://doi.org/10.31857/S0320965224050065
- EDN: https://elibrary.ru/XSAEAD
- ID: 272431
Цитировать
Полный текст
Аннотация
Представлены результаты исследований донных биоценозов в зарослях высшей водной растительности по всему периметру Ладожского озера в 2019 г. Выявлены значительные различия в пространственном распределении количественных характеристик макрозообентоса. Численность и биомасса зообентоса варьировали в пределах 392–49 800 экз./м2 и 0.17–77.13 г/м2 соответственно. По биомассе преобладали амфиподы (в среднем 49%). Отмечено снижение уровня развития зообентоса в 2019 г. по сравнению с 2014 г. Показана важная роль инвазивных видов амфипод (Gmelinoides fasciatus Stebbing, 1899, Micruropus possolskii Sowinsky, 1915, Pontogammarus robustoides (Sars, 1894), Chelicorophium curvispinum (Sars, 1895)) в межгодовых изменениях сообществ макрозообентоса в литоральной зоне озера.
Ключевые слова
Полный текст
ВВЕДЕНИЕ
Литоральная зона представляет собой прибрежную часть Ладожского озера, простирающуюся от уреза воды до границ распространения высшей водной растительности вглубь водоема (8 м) и включающую в себя дно (собственно литораль) и водную массу, расположенную над литоралью. Ее площадь 2543.0 км2 (14.3% площади водоема), объем водной массы 9.67 км3 (1.1% объема воды озера) (Науменко, 2013).
Литоральная зона обладает рядом специфических особенностей. Эта зона больше, чем любая другая, испытывает динамическое воздействие водной массы, здесь создаются своеобразные термические условия, выражающиеся в большой амплитуде суточных и сезонных колебаний температуры воды (Распопов, 1975). Она характеризуется высокой продуктивностью и значительным видовым разнообразием. Будучи зоной контакта с водосборной площадью, литоральная зона как экотон выполняет роль своеобразного экологического барьера между водосбором и основной акваторией озера и первой испытывает влияние факторов различной природы (включая антропогенные) на озеро в целом (Распопов, Андроникова, 2002; Литоральная..., 2011).
По сочетанию морфометрических характеристик, степени гидродинамического воздействия и особенностям развития высшей водной растительности в прибрежной зоне выделены три района – южный, район открытых берегов (с подразделением на западный и восточный подрайоны) и шхерный (Raspopov et al., 1996; Распопов и др., 1998). Береговая линия южного побережья озера существенно отличается от сильно изрезанной шхерно-островной северной части озера, где уклоны дна больше, чем на юге. Западный и восточный берега изрезаны слабо. Западное побережье (к югу от г. Приозерск) равнинное и на большом протяжении берег здесь образован каменистыми россыпями, лежащими на плотной серой глине, перекрытой тонким слоем песка. Вдоль восточного побережья располагаются многочисленные песчаные пляжи шириной до 50 м и более.1 В южной части озера находятся три крупных мелководных залива: бухта Петрокрепость, губы Волховская и Свирская.
Изрезанность береговой линии, наличие заливов, их изолированность от озера, режим волнового воздействия, состав донных отложений, интенсивность антропогенного воздействия, а также степень зарастания макрофитами и тип фитоценоза формируют сообщества донных и фитофильных организмов (Распопов и др., 1990; Литоральная..., 2011). Сообщества макрозообентоса отличаются высоким видовым богатством, например, ~90% бентосных организмов, известных для Ладожского озера, обитают в литоральной зоне (Стальмакова, 1968; Андроникова, Распопов, 2007).
Исследования последних десятилетий показали, что в пределах литоральной зоны, как наиболее динамичной и продуктивной части озера, чужеродные виды имеют большое значение (Курашов и др., 2021). Наибольшую роль в трансформации экосистемы озера, прежде всего, играют ракообразные, среди них первое место принадлежит амфиподам (Курашов и др., 2018). К настоящему времени в озере зарегистрировано четыре вида инвазивных амфипод. Из них два вида байкальского происхождения – Gmelinoides fasciatus Stebbing, 1899 и Micruropus possolskii Sowinsky, 1915 и два вида понто-каспийского происхождения – Pontogammarus robustoides (Sars, 1894) и Chelicorophium curvispinum (Sars, 1895).
В Ладожском озере первоначально в 1988 г. в бухте Петрокрепость обнаружен Gmelinoides fasciatus (Панов, 1994). После проникновения в озеро G. fasciatus заселил все литоральные биотопы, став доминирующим компонентом бентоса (Литоральная..., 2011). Впервые натурализовавшаяся популяция Micruropus possolskii найдена в Щучьем заливе в 2012 г. (Barbashova et al., 2013). Однако ревизия архивных проб из этого залива показала, что временем первой регистрации M. possolskii в озере надо считать 2003 г. (Kurashov et al., 2020). Виды понто-каспийских амфипод впервые встречены в Волховской губе: в 2006 г. Pontogammarus robustoides (Kurashov, Barbashova, 2008), в 2009 г. – Chelicorophium curvispinum (Kurashov et al., 2010). История проникновения инвазивных видов амфипод в Ладожское озеро дана в публикациях (Panov, 1996; Panov, Berezina, 2002; Березина, 2023).
Цель работы – представить данные по количественному развитию, структуре, особенностям распределения макрозообентоса в 2019 г. и оценить межгодовую изменчивость донных беспозвоночных в литорали озера.
МАТЕРИАЛ И МЕТОДЫ ИССЛЕДОВАНИЯ
Материал по макрозообентосу собирали на 35 станциях по всему периметру озера июле–августе 2019 г. (табл. 1, рис. 1). Пробы отбирали на глубинах 0.20–1.00 м в зарослях высшей водной растительности (в основном ассоциации с преобладанием тростника).
Таблица 1. Характеристика исследованных местообитаний в литоральной зоне Ладожского озера в 2019 г.
Станция | Местоположение | Координаты | Тип грунта | Тип зарослей | Глубина, м | |
с.ш. | в.д. | |||||
10 | У Питкяранты | 61°33'920" | 31°28'037" | Илистая литораль с большим количеством растительных остатков | Хвощ, рдесты, элодея | 0.6 |
12 | зал. Импилахти | 61°37'278" | 31°10'314" | Песок | Тростник | 0.7 |
13 | зал. Хауккалахти | 61°38'122" | 31°11'242" | Глина | Тростник | 0.7 |
13b | зал. Хауккалахти | 61°38'122" | 31°11'242" | Ил на глине | – | 0.9 |
15 | Около пос. Ляскеля | 61°42'412" | 31°00'068" | Заиленный песок с растительными остатками | Тростник, горец, рдесты | 0.9 |
16 | М. Умоппиуми | 61°40'856" | 31°05'570" | Камни, ил, растительные остатки | Тростник | 0.6 |
17 | Залив у п-ва Рауталахти | 61°45'059" | 30°52'699" | Камни | Тростник | 0.4 |
С1-19 | Сортавальские шхеры | 61°44'729" | 30°48'245" | Мелкий заиленный песок с глиной | P. perfoliatus | 0.7 |
20 | о. Путсари | 61°30'862" | 30°31'783" | Песчаная литораль | Хвощ, ситняг, горец | 0.6 |
21 | Якимварский залив, Сороло | 61°29'157" | 30°13'816" | Глинистый грунт | Тростник | 1.0 |
21b | Якимварский залив, Сороло | 61°28'895" | 30°13'636" | Илистая литораль | Хвощ, горец | 1.0 |
22 | Напротив о. Койеонсари | 61°17'069 | 30°08'886" | Дерновина тростника | Тростник | 0.7 |
22b | Напротив о. Койеонсари | 61°17'039 | 30°08'876" | Песок | Ситняг | 0.7 |
4 | Щучий залив заросли | 61°04'916" | 30°05'419" | Заиленный песок | Элодея, рдест пронзеннолистный | 0.5 |
4а | Щучий залив открытая литораль | 61°04'916" | 30°05'419" | Сильно заиленный песок | – | 0.5 |
23 | Приозерск | 61°02'644" | 30°10'716 | Песок | Тростник | 0.4 |
26 | Владимирская бухта | 60°50'203" | 30°28'235" | Песчаная заиленная литораль | Рдесты, лютик, горец | 0.7 |
27 | Тайполовский залив | 60°37'174" | 30°31'635" | Песок | Тростник | 0.6 |
28 | бух. Далекая | 60°34'320" | 30°40'552" | Песок, камни, дерновина | Тростник | 0.7 |
30 | М. Осиновец | 60°06'555" | 31°05'175" | Песок с камнями на глине | Тростник, рдесты | 0.5 |
31 | пос. им. Морозова | 59°58'381" | 31°04'142" | Заиленный песок | Рдесты, элеохарис | 0.6 |
L3-10 | Назия | 59°54'344" | 31°22'449" | Песок мелкий | Тростник | 0.8 |
3Нк | Назия | 59°54'360" | 31°21'472" | Заиленный ил с растительными остатками | Густые заросли элодеи | 0.4 |
L2 | Кобона | 60°01'238" | 31°32'611" | Песок | Тростник | 0.6 |
L10-14 | Волховская губа, 4 км от устья Волхова влево | 60°07'562" | 32°15'749" | Песок | Тростник | 0.5 |
L9-14 | Волховская губа, 2 км от устья Волхова влево | 60°07'638" | 32°17'669" | Песок | P. perfoliatus, нитчатки | 0.3 |
L4-14 | Волховская губа, выход из Волхова в Ладогу | 60°07'759" | 32°19'429" | Песок | Тростник | 0.3 |
5УВ | Устье Волхов | 60°07'035" | 32°19'585" | Песок | Рдесты, стрелолист | 0.4 |
5 | дер. Вороново | 60°16'374" | 32°37'592" | Крупный песок | Тростник | 0.4 |
L1-19 | Заостровье | 60°18'401" | 32°36'207" | Песок | Редкий P. perfoliatus | 0.3 |
L16-10 | Устье Свири | 60°29'842" | 32°48'899" | Песок | Тростник | 0.6 |
8ГХ | Берег Свирской губы | 60°37'190" | 32°57'315" | Песок | – | 1.0 |
7 | Андрусовская бухта | 60°58'744" | 32°36'271" | Камни, песок | Тростник | 0.4 |
8 | У о. Мантинсари | 61°20'521" | 31°39'829" | Камни, песок | Тростник | 0.6 |
9 | Залив Уксунлахти | 61°24'026" | 31°40'497" | Плотная дерновина, песок | Тростник | 0.6 |
Примечание. “–” – отсутствие растительности.
Рис. 1. Схема расположения станций в литоральной зоне озера. Южные заливы озера: А – Бухта Петрокрепость, В – Волховская губа, С – Свирская губа. Черными кружками обозначены станции.
В целом методика исследования соответствовала таковой, изложенной в (Руководство…, 1983). Для сбора проб литоральных макробеспозвоночных в зарослевых биотопах использовали трубчатый пробоотборник Панова–Павлова с площадью сечения 0.125 м2 (Панов, Павлов, 1986). Для сбора на песчаных грунтах и в Щучьем заливе применяли дночерпатель Петерсена (Literature…, 2003) (площадь захвата 1/40 м2; по две выемки в каждой точке). Пробы грунта промывали через капроновый газ с диаметром ячеи 125 мкм и фиксировали формалином до его конечного содержания 4%. В лаборатории пробы разбирали, выбранные организмы сортировали по группам и видам, подсчитывали и повторно фиксировали 70%-ным этиловым спиртом. Массу обнаруженных животных определяли на аналитических весах Sartorius CPA225D, перед взвешиванием беспозвоночных обсушивали на фильтровальной бумаге. Идентификацию видовой принадлежности амфипод проводили по (Определитель…, 2016) и Базикаловой А.Я. (1951) с использованием стереоскопического микроскопа Zeiss STEMI DV4.
При оценке значимости группы или вида в сообществе принимали во внимание шкалу доминирования по численности и биомассе, представленную в работе (Баканов, 2005).
Для оценки многолетних изменений макрозобентоса использовали данные мониторинговых рейсов 2006 г., 2014 г., а также материалы, собранные в южной части озера в 2010 г. Для оценки достоверности различий между периодами наблюдений применяли t-критерий Стьюдента (Лакин, 1980). Перед статистической обработкой данные преобразовывали путем логарифмирования lg (x + 1).
РЕЗУЛЬТАТЫ ИССЛЕДОВАНИЯ
В 2019 г. литоральный макрозообентос представляли животные следующих систематических групп: Hydridae, Turbellaria, Mermithidae, Oligochaeta, Hirudinea, моллюски Bivalvia и Gastropoda, Isopoda, Amphipoda, Hydracarina, Ephemeroptera, Trichoptera, Hemiptera, Plecoptera, Coleoptera, Megaloptera, Lepidoptera, Chironomidae, Ceratopogonidae, Tabanidae и прочие Diptera. Постоянными представителями донных биоценозов были Oligochaeta, их встречаемость 100%. Из остальных групп в массе и наиболее часто встречались Chironomidae, Amphipoda, Isopoda, Mollusca, Hirudinea и Trichoptera. Видовой состав указанных групп (за исключением отдельных видов) в данной работе не приводится, поскольку это вопрос специального рассмотрения.
В 2019 г. численность макрозообентоса изменялась от 392 до 49 800 экз./м2, биомасса от 0.17 до 77.13 г/м2 (табл. 2). Суммарная численность в среднем по литорали озера достигала 7100 ± 1652 экз./м2, биомасса – 16.72 ± 3.28 г/м2. Донные биоценозы были разнообразны по составу и соотношению отдельных таксонов в общей численности и биомассе. По численности в среднем преобладали амфиподы (43) и хирономиды (36%), доля олигохет и моллюсков была 14 и 1.5% соответственно, на остальные группы бентоса приходилось 5.5% общей численности макрозообентоса. Вклад амфипод в биомассу зообентоса достигал 49, хирономид – 16, олигохет – 10, моллюсков – 8, пиявок – 7, ручейников – 4, остальных групп – 6%.
Таблица 2. Показатели численности (N, экз./м2) и биомассы (В, г/м2) всего макрозообентоса, ракообразных (Amphipoda) и их доли (%) на литоральных станциях Ладожского озера в 2019 г.
Станция | Весь макрозообентос | Amphipoda | ||||
N, экз./м2 | B, г/м2 | N, экз./м2 | B, г/м2 | N, % | B, % | |
Шхерный район | ||||||
10 | 5656 | 9.35 | 3336 | 7.50 | 58.98 | 80.21 |
12 | 800 | 0.68 | 168 | 0.31 | 21.00 | 45.59 |
13 | 936 | 3.85 | 424 | 0.86 | 45.30 | 22.34 |
13b | 1720 | 2.39 | 32 | 0.13 | 1.86 | 5.44 |
15 | 640 | 0.48 | 128 | 0.11 | 20.00 | 22.92 |
16 | 560 | 3.05 | 40 | 0.14 | 7.14 | 4.59 |
17 | 2752 | 4.18 | 744 | 1.39 | 27.03 | 33.25 |
С1-19 | 944 | 1.62 | 112 | 0.36 | 11.86 | 22.22 |
20 | 1296 | 1.64 | 368 | 0.85 | 28.40 | 51.83 |
21 | 1928 | 4.78 | 0 | 0 | 0 | 0 |
21b | 776 | 6.16 | 0 | 0 | 0 | 0 |
22 | 2488 | 6.00 | 40 | 0.04 | 1.61 | 0.67 |
22b | 10000 | 22.34 | 8392 | 19.75 | 83.92 | 88.41 |
Шхерный район, Щучий залив | ||||||
4 | 7520 | 28.36 | 5060 | 17.17 | 67.29 | 60.54 |
4а | 13540 | 33.39 | 10620 | 30.59 | 78.43 | 91.61 |
Западный район | ||||||
23 | 2640 | 6.86 | 1768 | 4.90 | 66.97 | 71.43 |
26 | 8800 | 30.20 | 4576 | 18.16 | 52.00 | 60.13 |
27 | 11704 | 38.90 | 10688 | 34.33 | 91.32 | 88.25 |
28 | 17296 | 35.80 | 16112 | 33.09 | 93.15 | 92.43 |
Южный район, бухта Петрокрепость | ||||||
30 | 2480 | 8.50 | 2347 | 8.40 | 94.64 | 98.82 |
31 | 5740 | 26.76 | 4260 | 22.02 | 74.22 | 82.29 |
L3–10 | 2620 | 11.00 | 380 | 1.96 | 14.50 | 17.82 |
3Нк | 49800 | 74.56 | 5240 | 20.36 | 10.52 | 27.31 |
L2 | 24780 | 17.95 | 23220 | 15.96 | 93.70 | 88.91 |
Южный район, Волховская губа | ||||||
L10–14 | 19987 | 29.35 | 14613 | 24.25 | 73.11 | 82.60 |
L9–14 | 11720 | 21.90 | 3480 | 9.05 | 29.69 | 41.32 |
L4–14 | 13500 | 35.27 | 5360 | 20.58 | 39.70 | 58.35 |
5УВ | 1960 | 77.13 | 220 | 1.14 | 11.22 | 1.48 |
5 | 1024 | 0.44 | 672 | 0.31 | 65.63 | 70.45 |
L1–19 | 8580 | 7.80 | 2980 | 5.10 | 34.73 | 65.38 |
Южный район, Свирская губа | ||||||
L16–10 | 2376 | 7.43 | 56 | 0.22 | 2.36 | 2.96 |
8ГХ | 392 | 0.17 | 72 | 0.11 | 18.37 | 64.71 |
Восточный район | ||||||
7 | 6192 | 17.06 | 5456 | 10.60 | 88.11 | 62.13 |
8 | 4360 | 7.77 | 3856 | 7.05 | 88.44 | 90.73 |
9 | 952 | 1.98 | 8 | 0.03 | 0.84 | 1.52 |
Мозаичный характер пространственного распределения и различия в количественном развитии сообществ макрозообентоса обусловлены разнообразием биотопических условий в литорали озера. Низкими биомассами (0.17–0.68 г/м2) отличались донные биоценозы на открытом побережье Свирской губы (ст. 8ГХ), в Волховской губе у д. Вороново (ст. 5), в шхерном районе озера около пос. Ляскеля (ст. 15) и в заливе Импилахти (ст. 12). Большое значение в бентофауне играли амфиподы (24–69%) и хирономиды (7–59%). На ст. 5 также была существенна роль олигохет (19%).
Биомассы бентоса 1.62–6.16 г/м2 характерны для биотопов северной части озера, а также в зал. Уксунлахти (ст. 9) восточной части озера. В вершинах заливов шхерного района и на других мелководных, защищенных от волнения участках, часто встречаются илистые отложения, содержащие неразложившиеся растительные остатки. На таких биотопах амфиподы или отсутствовали (Якимварский залив, ст. 21 и 21b), или их доля (0.7–1.5%) была минимальна (ст. 22 напротив о. Койеонсари и ст. 9). Здесь основу биомассы определяли олигохеты (3–24), хирономиды (12–29), моллюски (18–31) и пиявки (5–62%). В зал. Уксунлахти также была высока роль ручейников (22) и изоподы Asellus aquaticus L. (12%). В зал. Хауккалахти на глинистой литорали как в зарослях тростника (ст. 13), на участке без растительности (ст. 13b) и у мыса Умоппиуми (ст. 16) на долю амфипод приходилось от 5 до 22%. На ст. 13b был значителен вклад поденок (38), а на ст. 13 – личинок водных жуков (36%). На илистой литорали с камнями и большим количеством растительных остатков в зарослях тростника (ст. 16) большую роль в биомассе бентоса играли пиявки (35), хирономиды (21) и Sialis lutaria L. (Megaloptera) (8%). Поденки занимали второстепенное положение в сообществе (5%). На каменисто-песчаной и мелкопесчаной литорали (ст. С1-19, 20, 17) доля амфипод в биомассе бентоса достигала 23–52%. В заливе у п-ова Рауталахти (ст. 17) существенный вклад в биомассу вносили хирономиды (26) и ручейники (17%).
Биомассу бентоса в диапазоне 6.86–9.35 г/м2 наблюдали в шхерах у г. Питкяранта (ст. 10), в западной части озера в устье р. Вуокса (ст. 23), в южной части озера у мыса Осиновец (ст. 30), у пос. Заостровье (ст. L1–19) и в устье р. Свирь (ст. L16–10) г/м2, в восточной части озера у о. Мантисаари (ст. 8). На ст. L16–10 основу биомассы составляли пиявки (34), ручейники (19), олигохеты (17), хирономиды (10) и личинки водных жуков (12%), на долю амфипод приходилось только 3% (рис. 2). На остальных участках доминировали амфиподы (65–99%).
Рис. 2. Соотношение основных групп макрозообентоса по численности (а) и биомассе (б) на станциях литоральной зоны Ладожского озера в июле–августе 2019 г. По оси абсцисс – номера станций.
В бухте Петрокрепость в районе пос. Назия (ст. L3–10) в зарослях тростника, где биомасса бентоса равнялась 11.00 г/м2, преобладали олигохеты (77%).
Схожими по составу и биомассе макрозообентоса (17.06–29.35 г/м2) были донные биоценозы в шхерном районе напротив о. Койеонсари (ст. 22b) и в Щучьем заливе в зарослях элодеи и рдеста пронзеннолистного (ст. 4); в бухте Петрокрепость у пос. им. Морозова (ст. 31) и у д. Кобона (ст. L2); в Волховской губе в 2 км (ст. L9–14) и 4 км (ст. L10–14) западнее устья р. Волхов; вдоль восточного побережья в Андрусовской бухте (ст. 7). В этих местообитаниях преобладали амфиподы (41–82%). В Щучьем заливе также отмечена значительная доля хирономид (30%), в 2 км от впадения р. Волхов – моллюсков (17%), а в Андрусовской бухте – поденок (18%).
Существенного обилия (30.20–38.90 г/м2) бентос достигал вдоль западного побережья в бухте Владимирская (ст. 26), в Тайполовском заливе (ст. 27) и в бухте Далекая (ст. 28), в Волховской губе недалеко от впадения р. Волхов в р. Ладогу (ст. L4–14), а также в Щучьем заливе на открытой песчаной литорали (ст. 4а). Основной вклад в биомассу вносили амфиподы (58–92%).
Довольно большую биомассу (74.56 г/м2) макрозообентоса наблюдали в бухте Петрокрепость на устьевом участке р. Назия (ст. 3Нк). Основу биомассы составляли хирономиды (25), амфиподы (27), моллюски (17) и пиявки (13%). Максимальная биомасса (77.13 г/м2) отмечена в устье р. Волхов (ст. 5УВ), где доминировали моллюски (92%).
Таким образом, на многих биотопах литоральной зоны преобладали амфиподы. За период наблюдений численность этих ракообразных колебалась от 8 до 23 220 экз./м2 (0.8–94.6% общей численности), биомасса – от 0.03 до 34.33 г/м2 (0.7–98.8% общей биомассы) (табл. 2).
Следует отметить приуроченность разных видов амфипод к различным районам озера. Наиболее широко в озере представлен Gmelinoides fasciatus (частота встречаемости в пробах (f) в целом по озеру 94%). Его численность варьировала от 8 до 23 220 экз./м2, биомасса – от 0.01 до 31.32 г/м2. Средние значения численности и биомассы G. fasciatus равнялись 3128 ± 877 экз./м2 и 6.66 ± 1.61 г/м2 соответственно. Максимальное скопление G. fasciatus наблюдали в бухте Петрокрепость в районе д. Кобона (ст. L2), а максимальную биомассу – на западном побережье в Тайполовском заливе (ст. 27).
Micruropus possolskii встречался (f 29%) от участка в шхерах в заливе напротив о. Койеонсари (ст. 22b), вдоль западного побережья и до участка в районе пос. Назия (ст. L3–10) в бухте Петрокрепость. На различных биотопах его численность изменялась от 40 до 3136 экз./м2, биомасса от 0.21 до 18.39 г/м2. Максимальная биомасса отмечена у пос. им. Морозова (ст. 31). Здесь доля M. possolskii достигала 71% численности амфипод и 84% их биомассы (рис. 3).
Рис. 3. Процентное соотношение инвазивных и реликтовых амфипод по численности (а) и биомассе (б) на станциях литоральной зоны Ладожского озера в июле–августе 2019 г. По оси абсцисс – номера станций.
Понто-каспийские виды Pontogammarus robustoides и Chelicorophium curvispinum регистрировали только в Волховской губе, встречаемость обоих видов – 11%. Плотность популяции и биомасса Pontogammarus robustoides (80–4880 экз./м2, 0.68–19.58 г/м2) были довольно высоки. Численность Chelicorophium curvispinum варьировала от 20 до 11 293 экз./м2, биомасса – от 0.02 до 12.43 г/м2. Максимальную биомассу Pontogammarus robustoides фиксировали у выхода из р. Волхов в р. Ладогу (ст. L4–14), а Chelicorophium curvispinum – в четырех км левее устья р. Волхов (ст. L10–14).
В Свирской губе на открытой песчаной литорали (ст. 8ГХ) совместно с Gmelinoides fasciatus встречены единичные экземпляры реликтовых амфипод Monoporeia affinis (Lindstrom) (48 экз./м2, 0.095 г/м2).
Представляет интерес оценка уровня развития бентоса в различных растительных ассоциациях. В озере преобладают в основном тростниковые заросли. Из табл. 3 видно, что средние показатели численности и биомассы как всего макрозообентоса, так и его некоторых основных групп (олигохет, хирономид, изопод, моллюсков, пиявок) были ниже в растительных ассоциациях тростника. Однако достоверных различий (сравнение выборочных средних по t-критерию Стьюдента) в развитии зообентоса между разными растительными ассоциациями не обнаружено.
Таблица 3. Численность (N, экз./м2) и биомасса (B, г/м2) вселенца Gmelinoides fasciatus, основных групп и всего макрозообентоса в растительных ассоциациях тростника и других макрофитов литорали Ладожского озера в 2019 г.
Группа | Тростник | Другие макрофиты | ||
N | B | N | B | |
Oligochaeta | 509 ± 133 | 0.96 ± 0.43 | 1105 ± 540 | 2.10 ± 0.72 |
Chironomidae | 851 ± 265 | 0.80 ± 0.26 | 4556 ± 2781 | 3.37 ± 1.59 |
Amphipoda | 4304 ± 1525 | 8.23 ± 260 | 3169 ± 784 | 10.12 ± 2.65 |
G. fasciatus | 3148 ± 1360 | 5.09 ± 2.00 | 2593 ± 820 | 7.65 ± 2.51 |
Isopoda | 16 ± 8 | 0.07 ± 0.03 | 211 ± 219 | 0.39 ± 0.40 |
Mollusca | 144 ± 120 | 0.63 ± 0.23 | 163 ± 115 | 7.62 ± 6.10 |
Hirudinea | 25 ± 9 | 0.48 ± 0.17 | 72 ± 44 | 1.34 ± 0.86 |
Trichoptera | 86 ± 65 | 0.48 ± 0.16 | 24 ± 7 | 0.30 ± 0.15 |
Varia | 65 ± 19 | 0.41 ± 0.17 | 105 ± 47 | 0.43 ± 0.30 |
Весь бентос | 6000 ± 1678 | 12.06 ± 2.91 | 9405 ± 4001 | 25.67 ± 7.72 |
Примечание. Даны средние и их ошибки. Другие макрофиты – элодея, рдест, стрелолист, хвощ, ситняг, горец, элиохарис.
Сравнение результатов двух сьемок по периметру озера в 2014 и 2019 гг. показало снижение количественных показателей литорального макрозообентоса в 2019 г. Отмечено достоверное уменьшение общей численности (t = 3.63; р <0.001) и биомассы (t = 3.08; р <0.01) зообентоса, численности (t = 5.01; р <0.001) и биомассы (t = 3.74; р <0.001) олигохет, численности (t = 3.50; р <0.001) и биомассы (t = 2.81; р <0.001) хирономид, а также уменьшение численности пиявок (t = 3.27; р <0.01). Кроме того, значительно снизились численность (t = 6.13; р <0.001) и биомасса (t = 4.24; р <0.001) бентоса в северном шхерном районе озера (табл. 4). Щучий залив в табл. 4 особо выделен, поскольку он является модельным объектом исследований происходящих в нем изменений в связи со снижением антропогенной нагрузки (Литоральная…, 2011).
Таблица 4. Численность (N, экз./м2)и биомасса (В г/м2) основных групп и всего макрозообентоса в литоральной зоне различных районов Ладожского озера (июль–август 2014 и 2019 гг.)
Показатель | 2014 г.*** | 2019 г. | ||
N | В | N | В | |
Группы бентоса: | ||||
Oligochaeta | 2123 ± 389 | 3.39 ± 0.71 | 697 ± 198* | 1.30 ± 0.35* |
Chironomidae | 3609 ± 687 | 2.79 ± 0.47 | 2152 ± 961* | 1.68 ± 0.58* |
Amphipoda | 5251 ± 1218 | 17.16 ± 5.01 | 3852 ± 929 | 9.05 ± 1.85 |
Isopoda | 130 ± 64 | 0.45 ± 0.28 | 82 ± 73 | 0.17 ± 0.13 |
Mollusca | 189 ± 61 | 9.26 ± 5.02 | 140 ± 77 | 2.98 ± 2.05 |
Hirudinea | 128 ± 28 | 1.23 ± 0.34 | 38 ± 14* | 0.74 ± 0.30 |
Trichoptera | 75 ± 17 | 0.95 ± 0.36 | 60 ± 37 | 0.39 ± 0.10 |
Varia | 209 ± 48 | 1.26 ± 0.36 | 79 ± 19 | 0.41 ± 0.14 |
Весь бентос | 11 714 ± 1577 | 36.49 ± 8.63 | 7100 ± 1652* | 16.72 ± 3.28* |
Районы озера: | ||||
Шхерный** | 10 494 ± 1688 | 22.73 ± 6.55 | 2346 ± 774* | 5.12 ± 1.66* |
Щучий залив | 5207 ± 3498 | 20.89 ± 13.91 | 10530 ± 4257 | 30.87 ± 3.56 |
Западный | 6853 ± 1483 | 15.29 ± 3.38 | 10110 ± 3523 | 27.94 ± 8.37 |
Южный | 18 197 ± 3486 | 69.98 ± 22.43 | 11151 ± 4020 | 24.48 ± 7.29 |
Восточный | 5405 ± 3734 | 13.85 ± 6.38 | 3835 ± 1880 | 8.94 ± 5.38 |
Примечание. Даны средние значения и их ошибки; * Значимые различия (р <0.05) по t-критерию Стьюдента; ** без учета данных в Щучьем заливе; *** без учета данных на о. Валаам.
ОБСУЖДЕНИЕ РЕЗУЛЬТАТОВ
По имеющимся материалам не удалось выявить связь развития вселенцев Gmelinoides fasciatus или Micruropus possolskii с тем или иным типом растительных ассоциаций. Однако исследования 2013–2018 гг. в Щучьем заливе показали, что в распределении байкальских инвазивных амфипод по биотопам этого залива имелась определенная дифференциация. Gmelinoides fasciatus предпочитал заросли тростника, где его доля в биомассе составляла 69–100% биомассы амфипод, Micruropus possolskii – песчаную или заиленную литораль, где его доля в биомассе амфипод достигала 84% (Barbashova et al., 2021). Приуроченность M. possolskii к песчаным биотопам, вероятно, обусловлена его экологическими предпочтениями и приверженностью к хорошо прогревающимся биотопам. Этот вид ведет преимущественно роющий образ жизни и наиболее часто встречается на песчаной литорали с небольшим процентом покрытия макрофитами (Бекман, 1962; Визер, 2005).
Вселение Gmelinoides fasciatus привело к изменениям в структуре и функционировании прибрежных биоценозов Ладожского озера. Впоследствии то же самое произошло после вселения этого вида в Онежское озеро (Sidorova, 2023). Проникнув в озеро в конце 1980-х годов, уже к 2000 г. G. fasciatus освоил всю литоральную зону озера. Средние биомассы бентоса в 1990 г. (33.8 г/м2) (Kurashov et al., 1996) и в 2000 г. (34.6 г/м2) (Berezina et al., 2009) схожи, однако вклад аборигенных видов уменьшился с 99 до 14%. Общая численность и биомасса макробентоса за период 2000–2005 гг. значительно увеличились за счет роста обилия G. fasciatus и других бентосных групп. В 2005 г. средняя биомасса G. fasciatus была 54 г/м2, его вклад в суммарную численность и биомассу превысил 70% как в 2000 г., так и 2005 г. (Berezina et al., 2009).
В 2006 г. средняя биомасса бентоса в растительных ассоциациях тростника составила 28.09 г/м2 (ниже, чем в предыдущие годы), однако роль байкальского вселенца G. fasciatus по-прежнему была высока – в среднем 58% численности и 49% биомассы всего бентоса. В 2014 г. средние значения биомассы (37.56 г/м2) превышали таковые предыдущих лет. Доля G. fasciatus в общей численности и биомассе бентоса снизилась до 31 и 21% соответственно (Barbashova et al., 2021). В 2019 г. в зарослях тростника средняя численность всего бентоса (6000 ± 1678 экз./м2) и средняя биомасса (12.06 ± 2.91 г/м2) были ниже, чем в 2014 г. Вклад G. fasciatus в общую численность и биомассу бентоса вырос до 52 и 42% соответственно.
В связи с вхождением в состав сообществ зообентоса литорали Ладожского озера инвазивной амфиподы G. fasciatus отмечено снижение численности и даже исчезновение из многих мест обитания аборигенных ракообразных Gammarus lacustris Sars и Asellus aquaticus (Panov, Berezina, 2002; Курашов и др., 2006). Gammarus lacustris, широко распространенный ранее на каменистой слабоприбойной литорали озера (Стальмакова, 1961; Кузьменко, 1964), в наших сборах 2019 г. не обнаружен. Встречаемость водяного ослика Asellus aquaticus в 2019 г. была 29%. Его средние величины численности и биомассы достигали 286 ± 262 экз./м2 (пределы колебания 8–2520 экз./м2) и 0.60 ± 0.47 г/м2 (0.01–4.56 г/м2) соответственно, что ниже средних величин его развития в 2006 г. (численность – 688 экз./м2, биомасса – 1.58 г/м2) при встречаемости 35% (Барбашова, Курашов, 2011). Снижение роли A. aquaticus в донных сообществах литоральной зоны вероятно связано с хищничеством инвазивных амфипод.
Исследования на о. Валаам в 2017–2018 гг. показали, что A. aquaticus присутствовал на подводных склонах с глубинами 1–18 м, встречался на грунтах всех типов и на склонах побережья разной степени открытости. Наибольшей численности и биомассы (2737 экз./м2 и 5.60 г/м2 соответственно) вид достигал на глубинах 1–7 м. Asellus aquaticus успешно конкурировал с Gmelinoides fasciatus в наиболее благоприятных для последнего условиях в литорали, поскольку у него как у аборигенного вида выше устойчивость к волновому воздействию по сравнению с G. fasciatus (Зуев, 2023).
В настоящее время наблюдается активное распространение Micruropus possolski в Ладожском озере, что неизбежно приводит к перестройкам в литоральных биоценозах тех мест, где данный вид может адаптироваться. До 2014 г. зона обитания этого вида была ограничена участком западного побережья от Щучьего залива до бухты Далекой. На различных биотопах его биомасса изменялась от 1.61 до 7.12 г/м2. В этом районе амфиподы были преобладающей группой макрозообентоса. Биомассу амфипод почти в равных долях определяли M. possolski (48) и Gmelinoides fasciatus (52%). В 2017 г. Micruropus possolski обнаружен в районе м. Осиновец и в центральной части бухты Петрокрепость, а в 2018 г. – у пос. им. Морозова (Barbashova et al., 2021). В 2019 г. этот вид уже находили в районе пос. Назия, а также в северной шхерной части озера в заливе напротив о. Койеонсари. Кроме того, в 2019 г. существенно выросли количественные характеристики M. possolskii (1820 экз./м2, 6.40 г/м2) в центре бухты Петрокрепость (ст. 114; 60°01.017′ с.ш., 31°15.000′ в.д.), здесь на его долю приходилось 84% численности и 93% биомассы амфипод.
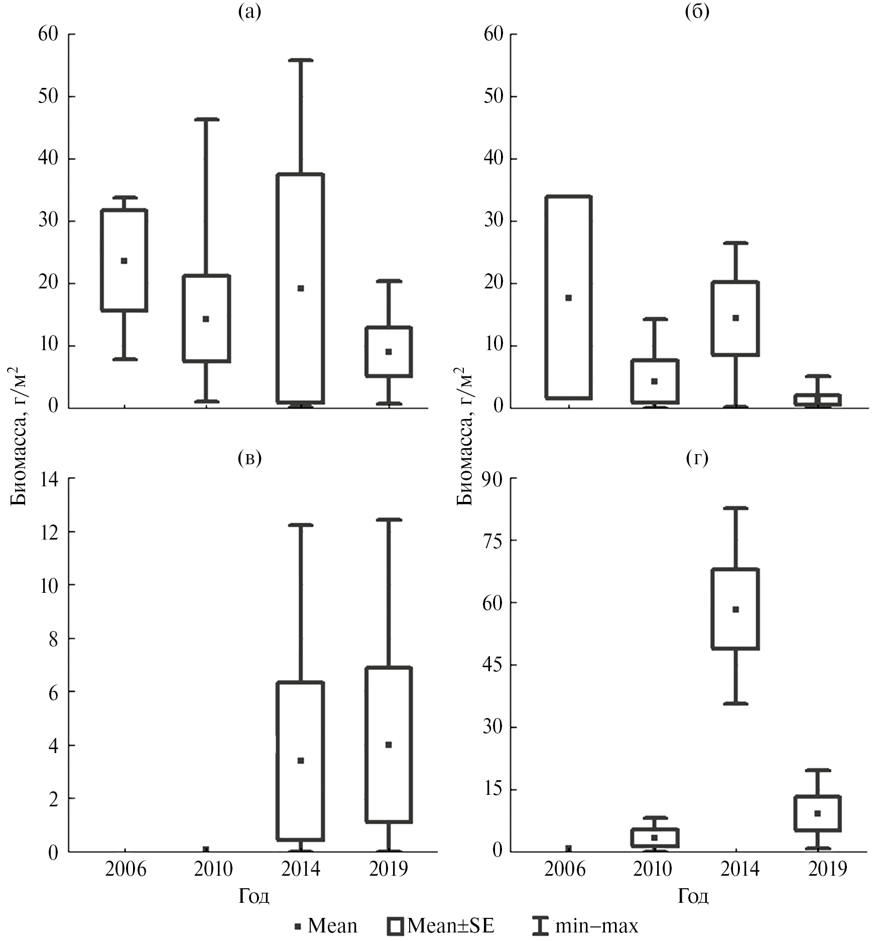
В 2019 г. в южной части озера уменьшились количественные показатели макрозообентоса, что было связано со снижением уровня развития понто-каспийского вселенца Pontоgammarus robustoides. Известно (Алимов и др., 2004; A handbook…, 2012), что при попадании вида-вселенца в новые для него условия, где отсутствует естественное ограничение его расселения и нет хищников, паразитов и конкуренции, создается идеальная ситуация для роста численности. Сначала рост численности (или биомассы) происходит незаметно и медленно, затем становиться быстрым, что может приводить к популяционному взрыву. При отсутствии ограничений со стороны условий среды такой рост может продолжаться неограниченно долго. Как правило, в природе на определенном этапе наращивания численности видом возникает лимитирование теми или иными факторами среды. Это приводит к замедлению роста численности (или биомассы), достижению верхнего предела и дальнейшему поддержанию этих показателей примерно на одном уровне. Для большинства видов амфипод характерен именно такой вид наращивания численности в новых местообитаниях (Березина, 2004). Схожую ситуацию наблюдали в Волховской губе, где P. robustoides появился в 2006 г. Будучи активным хищником, в состав рациона которого входит и Gmelinoides fasciatus (Березина, Максимов, 2016), Pontоgammarus robustoides, относящийся к наиболее опасным инвазивным видам (Самые…, 2018), мог оказывать значительный хищный пресс на зообентосные сообщества. В 2014 г. он дал вспышку развития, когда его биомасса на отдельных участках залива достигала 82.56 г/м2. Сравнение средних величин обилия P. robustoides за 2014 г. и 2019 г. показало достоверное уменьшение (t = 3.67; р <0.05) его биомассы в 2019 г. в >6 раз. Количественные характеристики другого понто-каспийского вида Chelicorophium curvispinum с 2014 г. не изменились (рис. 4). В настоящее время зона обитания понто-каспийских амфипод Pontоgammarus robustoides и Chelicorophium curvispinum по-прежнему ограничена границами Волховской губы. Их дальнейшему распространению, вероятно, препятствует низкая минерализация вод в озере.
Рис 4. Динамика изменений биомассы инвазивных амфипод в заливах южного района литоральной зоны Ладожского озера в разные годы: а – Gmelinoides fasciatus, б – Gmelinoides fasciatus, в – Chelicorophium curvispinum, г – Pontogammarus robustoides; a – бухта Петрокрепость, б–г – Волховская губа.
Ранее показано (Соколов, 1956; Литоральная..., 2011), что для количественных показателей макробентоса в различных районах литоральной зоны озера характерна большая изменчивость. При этом, антропогенное влияние часто бывает решающим фактором для сукцессий донных сообществ (Bass, 1992; Harris, 2012), а колебания биомассы и численности зообентоса связаны с высоким разнообразием местообитаний и неоднородностью распределения донных беспозвоночных.
Несомненно, что общий количественный уровень развития макрозообентоса в литорали определяется сложным комплексом разнообразных факторов. Один из них – климатический, который в конечном итоге определяет гидрометеорологические условия каждого года и уровненный режим озера (Литоральная ..., 2011; Современное…, 2021). Увеличение суммы температур в прибрежной мелководной зоне юга Ладожского озера привело к возможности успешного размножения моллюска Dreissena polymorpha (Pallas, 1771) и его натурализации в условиях низкой минерализации вод Ладожского озера (Dudakova et al., 2021). Если сравнить суммарные средние показатели макрозообентоса литорали озера в 2006 г. (28.09 г/м2), 2014 г. (36.49 г/м2) и 2019 г. (16.72 г/м2) с температурой воды в эти годы при максимальном прогреве воды (июль–август), которая достигала 2006 г. 18.68 ± 0.56°С, в 2014 г. – 24.09 ± 0.55°С, в 2019 г. – 17.75 ± 0.5°С, то можно выдвинуть гипотезу, что температурный фактор прямо и опосредованно определяет общий уровень развития макрозообентоса в литоральной зоне. Кроме того, определенное влияние может оказывать и изменяющийся уровень воды в озере. Известно, что подъем уровня сопровождается снижением фитомассы и плотности зарослей тростника (Schmieder et al., 2002). Для Ладожского озера отмечена эта же закономерность снижения значений фитомассы и плотности зарослей тростника при подъеме уровня воды (Литоральная..., 2011). Более высокий уровень воды в озере в 2019 г. (451 см), чем в 2014 г. (438 см) мог вызвать изменения в развитии и составе сообществ макрофитов, соответственно опосредованно повлиять на развитие донной и фитофильной фауны и привести к снижению количественных показателей макрозообентоса. Однако такие вопросы требуют более тщательной проработки с привлечением большего объема исходных данных.
ЗАКЛЮЧЕНИЕ
Исследования 2019 г. показали значительные пространственные и временные различия в распределении количественных характеристик макрозообентоса в Ладожском озере, которые связаны с большим разнообразием литоральных местообитаний и воздействием факторов различной природы. В настоящее время в Ладожском озере активно идут процессы проникновения и распространения в нем видов–вселенцев, что приводит к изменениям сообществ макрозообентоса. Этому активно способствуют климатические изменения и флуктуации, приводящие к изменению температурных условий обитания беспозвоночных в прибрежных водах озера. Байкальские амфиподы Gmelinoides fasciatus и Micruropus possolskii, а также развивающиеся в Волховской губе в большом количестве понто-каспийские амфиподы Pontogammarus robustoides и Chelicorophium curvispinum существенно трансформировали потоки вещества и энергии в литорали, стали новым обильным трофическим ресурсом для рыб. Следует принимать во внимание и недавнюю инвазию в Ладожское озеро моллюска Dreissena polymorpha (Dudakova et al., 2021), что может повлечь за собой серьезные структурные перестройки в прибрежной зоне озера, включая и литоральную зону. Довольно быстрое расселение Micruropus possolskii по литорали озера дает основание предполагать, что в ближайшие годы эти амфиподы могут колонизировать южное, восточное и северное побережья озера. Весьма вероятно его проникновение и на острова Ладожского озера, прежде всего на о. Валаам. Соответственно, необходимо продолжать детальные регулярные наблюдения над протеканием процессов распространения и развития чужеродных видов в крупнейшем европейском оз. Ладожское, поскольку биоинвазии являются фактором, способным привести к значительным изменениям в этом водоеме.
ФИНАНСИРОВАНИЕ
Работа выполнена в рамках государственного задания Института озероведения РАН Санкт-Петербургского Федерального исследовательского центра РАН по теме FMNG-2019-0001.
1 https://yandex.ru/maps/-/CDRLBVOX Дата обращения 05.10.2023
Об авторах
М. А. Барбашова
Институт озероведения Российской академии наук Санкт-Петербургского Федерального исследовательского центра РАН
Автор, ответственный за переписку.
Email: mbarba@mail.ru
Россия, Санкт-Петербург
М. С. Трифонова
Институт озероведения Российской академии наук Санкт-Петербургского Федерального исследовательского центра РАН
Email: mbarba@mail.ru
Россия, Санкт-Петербург
Е. А. Курашов
Институт биологии внутренних вод им. И.Д. Папанина Российской академии наук
Email: mbarba@mail.ru
Россия, пос. Борок, Некоузский р-н, Ярославская обл.
Список литературы
- Алимов А.Ф., Богуцкая Н.Г., Орлова М.И. и др. 2004. Биологические инвазии в водных и наземных экосистемах. M.: Тов-во науч. изданий KMK.
- Андроникова И.Н., Распопов И.М. 2007. Зоны экологического риска в прибрежных районах Ладожского озера // Биология внутр. вод. № 2. С. 3.
- Базикалова А.Я. 1951. Морфологические особенности молодых стадий байкальских амфипод // Тр. Байкальской лимнологической станции. Т. 13. С. 120.
- Баканов А.И. 2005. Количественная оценка доминирования в экологических сообществах // Количественные методы экологии и гидробиологии (Сборник научных трудов, посвященный памяти А.И. Баканова). Тольятти: Самар. науч. центр РАН. С. 37.
- Барбашова М.А., Курашов Е.А. 2011. Макрофауна литоральной зоны Ладожского озера // Литоральная зона Ладожского озера. СПб.: Наука. С. 219.
- Бекман М.Ю. 1962. Экология и продукция Micruropus possolskii Sow и Gmelinoides fasciatus Stebb. // Систематика и экология ракообразных Байкала // Тр. Лимнол. ин-та СО АН СССР. Т. 2. Ч. 1. С. 141.
- Березина Н.А. 2004. Причины, особенности и последствия распространения чужеродных видов амфипод в водных экосистемах Европы // Биологические инвазии в водных и наземных экосистемах. М.: Тов-во науч. изданий КМК. С. 254.
- Березина Н.А. 2023. Анализ фауны амфипод континентальных водоемов Северо-Запада Европейской части России // Зоологический журн. Т. 102. № 10. С. 1104.
- Березина Н.А., Максимов А.А. 2016. Количественные характеристики и пищевые предпочтения бокоплавов (Crustacea: Amphipoda) в восточной части Финского залива Балтийского моря // Журн. Сибир. фед. ун-та. Сер. Биология. 9(4). C. 409.
- Визер A.M. 2005. Вселение байкальских амфипод (Gmelinoides fasciatus и Miruropus possolsky Sow.) и дальневосточной мизиды (Neomisis ntermedia Czern.) в Новосибирское водохранилище // Чужеродные виды в Голарктике (БОРОК-2). Тезисы докладов Второго международного симпозиума по изучению инвазийных видов. Рыбинск–Борок. С. 71.
- Зуев Ю.А. 2023. Особенности распределения массовых видов ракообразных на прибрежном склоне Ладожского озера // Биология внутр. вод. № 2. С. 210. https://doi.org/10.31857/S0320965223020298.
- Кузьменко К.Н. 1964. К биологии озерного гаммаруса (Gammarus lacustris Sars) Ладожского озера // Элементы режима Ладожского озера. М.: Наука. С. 57.
- Курашов Е.А., Барбашова М.А., Дудакова Д.С. и др. 2018. Экосистема Ладожского озера: современное состояние и тенденции ее изменения в конце XX – начале XXI в. // Биосфера. № 2(10). С. 65. https://doi.org/10.24855/BIOSFERA.V10I2.439
- Курашов Е.А., Барбашова М.А., Дудакова Д.С. и др. 2021. Развитие инвазионного процесса в условиях изменяющегося климата // Современное состояние и проблемы антропогенной трансформации экосистемы Ладожского озера в условиях изменяющегося климата. М.: РАН. С. 374.
- Курашов Е.А., Барков Д.В., Анисимов А.А. 2006. Роль байкальского вселенца Gmelinoides fasciatus (Stebbing) в формировании литоральных биоценозов о. Валаам (Ладожское озеро) // Биология внутр. вод. № 1. С. 74.
- Лакин Г.Ф. 1980. Биометрия. М.: Высшая школа.
- Литоральная зона Ладожского озера. 2011. СПб.: Нестор-История.
- Науменко М.А. 2013. Анализ морфометрических характеристик подводного рельефа Ладожского озера на основе цифровой модели // Изв. РАН. Сер. геогр. № 1. C. 62.
- Определитель зоопланктона и зообентоса пресных вод Европейской России. 2016. Т. 2. Зообентос. М.: Тов-во научных изданий КМК.
- Панов В.Е. 1994. Байкальская эндемичная амфипода Gmelinoides fasciatus Stebb. в Ладожском озере // Докл. академии наук. Т. 336. № 2. С. 279.
- Панов В.Е., Павлов А.М. 1986. Методика количественного учета водных беспозвоночных в зарослях камыша и тростника // Гидробиол. журн. Т. 22. № 6. С. 87.
- Распопов И.М. 1975. Литоральная зона Онежского озера. Общие понятия // Литоральная зона Онежского озера. Л.: Наука. С.7.
- Распопов И.М., Андроникова И.Н. 2002. Роль литоральной зоны в оценке состояния экосистемы озера и основные направления будущих исследований // Ладожское озеро – прошлое, настоящее, будущее. СПб.: Наука. С. 264.
- Распопов И.М., Андроникова И.Н., Слепухина Т.Д. и др. 1998. Прибрежно-водные экотоны больших озер. СПб.: РТП ИК “Синтез”.
- Распопов И.М., Воронцов Ф.Ф., Слепухина Т.Д. и др. 1990. Роль волнения в формировании биоценозов бентоса больших озер. Л.: Наука.
- Руководство по методам гидробиологического анализа поверхностных вод и донных отложений. 1983. Л.: Гидрометеоиздат.
- Самые опасные инвазионные виды России (ТОП-100). 2018. М.: Тов-во науч. изданий КМК.
- Современное состояние и проблемы антропогенной трансформации экосистемы Ладожского озера в условиях изменяющегося климата. 2021. М.: Российская академия наук.
- Соколов И.И. 1956. Зообентос литорали южной половины Ладожского озера // Тр. Кар. фил. АН СССР. Вып. 5. С.76.
- Стальмакова Г.А. 1961. К познанию бентоса шхерной части Ладожского озера // Комплексные исследования шхерной части Ладожского озера. М.: Наука. С. 267.
- Стальмакова Г.А. 1968. Зообентос Ладожского озера // Биологические ресурсы (зоология) Ладожского озера. Л.: Наука. С. 4.
- A handbook of global freshwater invasive species. 2012. Earthscan.
- Barbashova M.A., Malavin S.A., Kurashov E.A. 2013. First finding of Baikalian amphipod Micruropus possolskii Sowinsky, 1915 (Amphipoda, Crustacea) in Lake Ladoga // Rus. J. Biol. Invasions. V. 4. № 4. P. 219. https://doi.org/10.1134/S2075111713040036
- Barbashova M.A., Trifonova M.S., Kurashov E.A. 2021. Features of the spatial distribution of invasive amphipod species in the littoral of Lake Ladoga // Rus. J. Biol. Invasions. V. 12. P. 136. https://doi.org/10.1134/S207511172102003X
- Bass D. 1992. Colonization and succession of benthic macroinvertebrates in Arcadia Lake, a South-Central USA reservoir // Hydrobiologia. 242 P. 123. https://doi.org/10.1007/BF00018068
- Berezina N.A., Zhakova L.V., Zaporozhets N.V., Panov V.E. 2009. Key role of the amphipod Gmelinoides fasciatus in reed beds of Lake Ladoga // Boreal Environ. Res. V. 14. P. 404.
- Dudakova D.S., Dudakov M.O., Kurashov E.A., Anokhin V.M. 2021. Invasion of the zebra mussel Dreissena polymorpha (Pallas, 1771) (Dreissenidae) in Lake Ladoga // Biol. Bull. V. 48. № 9. P. 1452. https://doi.org/10.1134/S106235902109003X
- Harris P.T. 2012. Anthropogenic threats to benthic habitats // Seafloor geomorphology as benthic habitat. P. 39.
- Kurashov E.A., Barbashova M.A. 2008. First record of the invasive Ponto-Caspian amphipod Pontogammarus robustoides G.O. Sars, 1894 from Lake Ladoga, Russia // Aquat. Invasions. V. 3(2). Р. 243. https://doi.org/10.3391/ai.2008.3.2.18
- Kurashov E.A., Barbashova M.A., Panov V.E. 2010. First finding of Ponto-Caspian invasive amphipod Chelicorophium curvispinum (G.O. Sars, 1895) (Amphipoda, Crustacea) in Lake Ladoga // Rus. J. Biol. Invasions. V. 1. № 4. P. 282. https://doi.org/10.1134/S2075111710040053
- Kurashov E.A., Telesh I.V., Panov V.E. et al. 1996. Invertebrate communities associated with macrophytes in Lake Ladoga: effects of environmental factors // Hydrobiologia. V. 322. Р. 49.
- Kurashov E.A., Trifonova M.S., Barbashova M.A. 2020. Expansion dynamics of Micruropus possolskii Sowinsky, 1915 (Amphipoda, Crustacea) in Lake Ladoga // Rus. J. Biol. Invasions. V. 11. № 4. P. 326. https://doi.org/10.1134/S2075111720040050
- Literature review and report surface sediment sampler database. 2003. Tetra Tech EM Inc.
- Panov V.E. 1996. Establishment of the Baikalian endemic amphipod Gmelinoides fasciatus in Lake Ladoga // Hydrobiologia. V. 322. P. 187.
- Panov V.E., Berezina N.A. 2002. Invasion history, biology and impacts of the Baikalian amphipod Gmelinoides fasciatus // Invasive Aquatic Species of Europe – Distribution, Impacts and Management. Dordrecht: Kluwer Acad. Publ. Р. 96.
- Raspopov I.M., Andronikova I.N., Dotsenko O.N. et al. 1996. Littoral zone of Lake Ladoga: ecological state evalution // Hydrobiologia. V. 322. Р. 39.
- Schmieder K., Dienst M., Ostendorp W. 2002. Effects of the extreme flood in 1999 on the spatial dynamics and stand structure of the reed belts in Lake Constance // Limnologica. V. 32. P. 131.
- Sidorova A.I. 2023. Role of Gmelinoides fasciatus (Crustacea: Amphipoda) in macrozoobenthos on the littoral of Lake Onego during the subglacial period // J. Stress Physiol. & Biochem. 2023. Т. 19. № 4. С. 225.
Дополнительные файлы







