Стратегии акклимации черноморской диатомовой водоросли Ditylum brightwellii к высокой интенсивности света
- Авторы: Стельмах Л.В.1, Алатарцева О.С.1
-
Учреждения:
- Федеральный исследовательский центр “Институт биологии южных морей им. А.О. Ковалевского Российской академии наук
- Выпуск: Том 17, № 4 (2024)
- Страницы: 566-576
- Раздел: ФИТОПЛАНКТОН, ФИТОБЕНТОС, ФИТОПЕРИФИТОН
- URL: https://journals.rcsi.science/0320-9652/article/view/269864
- DOI: https://doi.org/10.31857/S0320965224040057
- EDN: https://elibrary.ru/YJWDLC
- ID: 269864
Цитировать
Полный текст
Аннотация
В клетках культуры крупной диатомовой водоросли Ditylum brightwellii (T. West) Grunow, акклимированной к слабому свету (17 мкмоль фотонов/(м2 × с)), многочисленные хлоропласты были равномерно распределены по всей цитоплазме. Через 10 мин нахождения водорослей при экстремально высокой освещенности (1100 мкмоль фотонов/(м2 × с)) наблюдали постепенное формирование их агрегатов в центре клетки, которое продолжалось до конца 2-часового периода экспозиции. В процессе кратковременной фотоакклимации к интенсивностям света 510–935 мкмоль фотонов/(м2 × с) агрегирование хлоропластов отмечено в течение 20–60 мин, далее выявлено их обратное движение и равномерное распределение в цитоплазме через 120 мин. В условиях более длительного пребывания культуры при интенсивности света 1100 мкмоль фотонов/(м2 × с) водоросли сохраняли свою жизнеспособность только в течение 6 ч. Долговременная фотоакклимация данного вида, завершившаяся к концу 2-х суток, выявлена при ослаблении света в ~2 раза. Она выражалась в увеличении объема клеток и отношения С/Хл а, усилении агрегирования хлоропластов в центре клетки и снижении целого ряда флуоресцентных параметров, отражающих эффективность работы фотосистемы II и жизнеспособность культуры.
Полный текст
ВВЕДЕНИЕ1
Диатомовые водоросли – один из основных компонентов фитопланктонного сообщества водоемов. На их долю приходится ~40% первичной продукции Мирового океана, также они играют важную роль в биогеохимическом круговороте веществ, прежде всего, соединений углерода и кремния (Mann, 1999; Smetacek, 1999; Treguer, Rocha, 2013).
В планктоне Черного моря диатомовые водоросли вместе с динофитовыми создают, как правило, основную биомассу фитопланктона (Moncheva et al., 2001; Mikaelyan et al., 2018; Silkin et al., 2021; Stelmakh et al., 2023). Размеры клеток этой таксономической группы водорослей изменяются в широком диапазоне. Например, в черноморских водах обитает массовый мелкий вид диатомовых Cyclotella caspia Grunow, у которого средний объем клеток ~60 мкм3 (Stelmakh et al., 2023). Среди крупных видов с клеточным объемом >104 мкм3 следует отметить Coscinodiscus granii Gough, Pseudosolenia calcar-avis (Schultze) Sundström, Proboscia alata (Brightwell) Sundström, Hemiaulus hauckii Grunow ex Van Heurck и Ditylum brightwellii (T. West) Grunow (Стельмах, Мансурова, 2017; Silkin et al., 2021). Мелкие водоросли наиболее интенсивно развиваются в Черном море в конце зимнего периода и весной (Финенко, Крупаткина, 1993; Mikaelyan et al., 2018; Silkin et al., 2021). Некоторые крупные диатомовые водоросли, как Pseudosolenia calcar-avis и Proboscia alata, в настоящее время играют существенную роль в формировании максимумов биомассы фитопланктона в прибрежных и открытых водах Черного моря в летний и осенний периоды (Стельмах и др., 2009; Silkin et al., 2021; Yunev et al., 2021; Stelmakh et al., 2023). Эти виды водорослей обладают целым комплексом адаптационных механизмов, позволяющих им доминировать в фитопланктоне. Они могут противостоять не только выеданию зоопланктоном, но и дефициту биогенных веществ, а также крайне высоким уровням солнечной радиации, имеющим место в верхнем перемешанном слое летом, в конце весны и в начале осени в период выраженной температурной стратификации вод (Стельмах и др., 2009; Silkin et al., 2021; Стельмах, 2022). В контексте акклимации водорослей к сильному свету следует отметить выявленный у Pseudosolenia calcar-avis и Proboscia alata особый механизм кратковременной фотоакклимации (Silkin et al., 2021). Он позволяет водорослям в течение 20–30 мин сгруппировать в цитоплазме многочисленные хлоропласты в виде агрегатов, что помогает защитить клетки от фотоповреждения с минимальными энергетическими затратами. Однако неясно, распространяется ли этот механизм кратковременной фотоакклимации на другие крупные виды диатомовых водорослей, и способны ли их клетки к долговременной фотоакклимации в этих экстремальных световых условиях или они будут погибать. Для ответа на эти вопросы необходимы исследования на других крупных видах диатомовых водорослей, представленных в планктоне Черного моря в теплое время года.
Цель данной работы – исследовать стратегии акклимации черноморской диатомовой водоросли Ditylum brightwellii к экстремально высоким интенсивностям света.
МАТЕРИАЛ И МЕТОДЫ ИССЛЕДОВАНИЯ
Исследовали альгологически чистую культуру диатомовой водоросли Ditylum brightwellii, выделенную нами из планктона прибрежных вод Черного моря в конце апреля 2023 г. Культуру содержали на питательной среде f/2 (Guillard, Rither, 1962) в чашках Петри при температуре 17–18°С и естественном рассеянном освещении. Исходный объем клеток составлял в среднем 14600 (±750) мкм3.
Экспоненциально растущую культуру адаптировали к низкой интенсивности света (17 мкмоль фотонов/(м2 × с)) в течение 5 сут. Затем ее переносили в склянки объемом 25 мл и колбы объемом 250 мл, разбавляли свежей питательной средой и экспонировали при различных интенсивностях непрерывного света. Его значения, превышающие 500 мкмоль фотонов/(м2 × с), были отнесены нами к экстремально высоким. Небольшие склянки экспонировали при 510, 765, 935 и 1100 мкмоль фотонов/(м2 × с), колбы – при 510 и 1100 мкмоль фотонов/(м2 × с). Световые условия создавали с помощью светодиодов холодного белого света (6500 К). Интенсивность света в диапазоне ФАР измеряли с помощью автоматического регистрирующего устройства LI-1500 (LI-COR), оснащенного квантовым датчиком LI-190R (США).
Для исследования процессов кратковременной фотоакклимации из склянок с культурой объемом 25 мл каждые 10 мин в течение 1–2 ч отбирали клетки водорослей в капле объемом 0.1 мл, которую помещали на предметное стекло и фотографировали с помощью фотокамеры APC TEK, установленной на световом микроскопе Olympus CX 33 (Япония). Общее увеличение системы микроскопа было ×400. Линейные размеры клеток и размеры внутриклеточных агрегатов хлоропластов определяли с помощью компьютерной программы к используемой фотокамере. Объем клеток, полную площадь их поверхности и удельную поверхность, а также общий объем агрегированных хлоропластов вычисляли по методике (Брянцева и др., 2005), основываясь на принципе геометрического подобия. Размер выборки был 40–50 клеток.
Долговременную (длительную) фотоакклимацию D. brightwellii изучали в культуре, помещенной в колбы объемом 250 мл в двух повторностях. В течение 1–2 сут из каждой колбы с интервалом 3–15 ч отбирали пробы для определения ряда параметров: оптической плотности суспензии водорослей на длине волны 750 нм (OD750); концентрации Хл а; объема клеток водорослей и объем цитоплазмы, в которой сосредоточены хлоропласты; максимальной эффективности фотосистемы II (Fv/Fm); относительной скорости электронного транспорта по цепи переносчиков электронного заряда (ETR) и быстрых индукционных кривых флуоресценции (OJIP-кривые).
Для определения концентрации Хл а и продукта его разрушения феофитина а использовали аликвоты объемом 20 мл в трех повторностях, профильтрованные через мембранные фильтры GF/C (Whatman), которые помещали в 90%-ный водный раствор ацетона. Пигменты экстрагировали в течение 12 ч при температуре 8°С, затем определяли их концентрацию флуориметрическим методом с применением лабораторного флуориметра Trilogy Turner Designs (США). Для калибровки флуориметра использовали чистый Хл а фирмы Sigma, расчеты проводили по формулам, представленным в международных протоколах (Protocols for JGOFS, 1994). Относительная ошибка определений не превышала 10%.
Содержание углерода в клетках D. brightwellii определяли на основе результатов измерений оптической плотности суспензии водорослей на длине волны 750 нм (OD750) с помощью фотоэлектрического фотометра КФК-3 с последующим пересчетом ее значений в единицы органического углерода (мг/л). В основе расчетов лежит калибровочный график (рис. 1), связывающий OD750 в единицах оптической плотности с концентрацией органического углерода, измеренной прямым методом (Kvíderová, Lukavský, 2003). С этой целью использовали метод мокрого сжигания проб в хромовой смеси (Бергер и др., 2016). Относительная ошибка определений была ≤5%.
Рис. 1. Зависимость концентрации органического углерода (C) в культуре Ditylum brightwellii от оптической плотности суспензии ее клеток (ОD750) на длине волны 750 нм.
Удельную скорость роста культуры оценивали по приросту органического углерода в пробах по уравнению:
µ = lnNt – lnN0, (1)
где µ – удельная скорость роста водорослей, сут-1, N0 и Nt – исходная концентрация органического углерода и ее значение через 1 сут, мг/л.
Максимальную эффективность работы фотосистемы II или максимальный квантовый выход (Fv/Fm), а также эффективный квантовый выход (F'v/F'm) при семи различных интенсивностях света в диапазоне 10–1000 мкмоль фотонов/(м2·с) измеряли на ПАМ флуориметре Aqua Pen-C AP 110 (Photon System Instruments, Чешская Республика) в соответствии с протоколом LC3 для этого прибора. Относительная погрешность определений показателей не превышала 5%. Скорость нециклического электронного транспорта (ETR), выраженную в относительных единицах, рассчитывали на основе произведения F'v/F'm, соответствующей интенсивности света и постоянного коэффициента 0.5 (Маторин и др., 2022). Зависимость ETR от интенсивности света (I) описывали с помощью экспоненциального уравнения:
ETR = ETRs ·I/Iопт × exp(1– I/Iопт), (2)
где ETRs – максимальная скорость электронного транспорта (в отн. ед.), Iопт – интенсивность света (мкмоль фотонов/(м2 × с)), при которой получена величина ETRs. Коэффициент максимальной утилизации световой энергии (угол наклона световой кривой – α) был рассчитан как частное от деления ETRs на Iопт. Быстрые индукционные кривые флуоресценции (OJIP-кривые) получены при возбуждении светом с длинной волны 455 нм и интенсивностью 2100 мкмоль фотонов/(м2 × с). Интенсивность флуоресценции при 50 мкс (Fo), 100 мкс (FJ), 30 мс (FI) и максимальный уровень флуоресценции (Fm) использовали для расчетов параметров флуоресценции из индукционных кривых. Так, для оценки эффективности электронного транспорта применяли величину φEo, долю активных реакционных центров оценивали по параметру RC/ABS, а индекс производительности PIABS позволял судить о жизнеспособности клеток водорослей. Формулы расчетов этих трех показателей представлены в работе (Маторин и др., 2022).
Обработку данных проводили в программе Excel 2007 для Windows. Вычисляли среднеарифметические значения исследуемых параметров и стандартное отклонение. Статистическую значимость различий средних значений определяли по t-критерию Стьюдента. Для построения графиков использовали программу Grafer v. 7.
РЕЗУЛЬТАТЫ ИССЛЕДОВАНИЯ
Кратковременная фотоакклимация. В культуре D. brightwellii, акклимированной к низкой интенсивности света (17 мкмоль фотонов/(м2 × с)), хлоропласты, общее количество которых было ~150 единиц на клетку, равномерно распределялись по всей цитоплазме (рис. 2а). Однако уже через 10 мин экспозиции культуры при интенсивности света 1100 мкмоль фотонов/(м2 × с) наблюдали формирование их агрегатов в центре клеток у ядра (рис. 2б). В это время общий объем агрегированных хлоропластов в клетке достигал в среднем 62% ее объема, через 50 мин он снизился в среднем до 47% и в течение последующего периода почти не изменялся (рис. 3а).
Рис. 2. Клетки Ditylum brightwellii в световом микроскопе: а – распределение хлоропластов в клетках культуры, акклимированной к низкой интенсивности света (17 мкмоль фотонов/м2 × с)), б – начало агрегирования хлоропластов при 1100 мкмоль фотонов/(м2 × с) через 10 мин экспозиции, в – максимальное агрегирование хлоропластов при интенсивности света 935 мкмоль фотонов/м2 × с через 40 мин экспозиции, г – обратное движение хлоропластов через 50 мин экспозиции при 935 мкмоль фотонов/(м2 × с).
Рис. 3. Временная изменчивость степени агрегирования хлоропластов в клетках Ditylum brightwellii при различных интенсивностях света: а – 1100 мкмоль фотонов/(м2·с) (1) и 935 мкмоль фотонов/(м2 × с) (2); б – 765 мкмоль фотонов/(м2 × с) (1) и 510 мкмоль фотонов/(м2 × с) (2). Значения на графиках – среднее арифметическое ± стандартное отклонение.
При интенсивности света 935 мкмоль фотонов/(м2 × с) начало агрегирования хлоропластов вследствие их перемещения к центру клетки отмечено также через 10 мин и достигло максимума через 40 мин (рис. 2в). К концу этого периода их суммарный объем в цитоплазме достиг в среднем 46% объема клетки (рис. 3а). Затем в результате обратного движения хлоропластов от центра клетки к ее периферии отмечено их более равномерное распределение в цитоплазме (рис. 2г). В результате через 50 мин объем цитоплазмы, в котором были сконцентрированы хлоропласты, возрос в среднем до 68% клеточного объема, а через 1 ч достиг 72%.
Снижение интенсивности света до 765 мкмоль фотонов/(м2 × с) вызвало ослабление процесса агрегирования хлоропластов. Через 10 мин экспозиции объем цитоплазмы, в котором были сосредоточены все хлоропласты, был равен в среднем 75%, а через 20 мин – 72%. Затем в результате обратного движения хлоропластов этот показатель возрастал и через 60 мин достиг 100% (рис. 3б).
При интенсивности света 510 мкмоль фотонов/(м2 × с) было зарегистрировано наиболее слабое движение хлоропластов к клеточному ядру. Через 10 мин экспозиции общий объем агрегированных хлоропластов был достоверно ниже исходного уровня (р = 0.015), составив в среднем 97%. Через 1 ч экспозиции отмечена самая высокая плотность хлоропластов в агрегатах, объем которых составил в среднем 74% объема цитоплазмы. Через 2 ч они равномерно рассредоточились по всей клетке (рис. 3б).
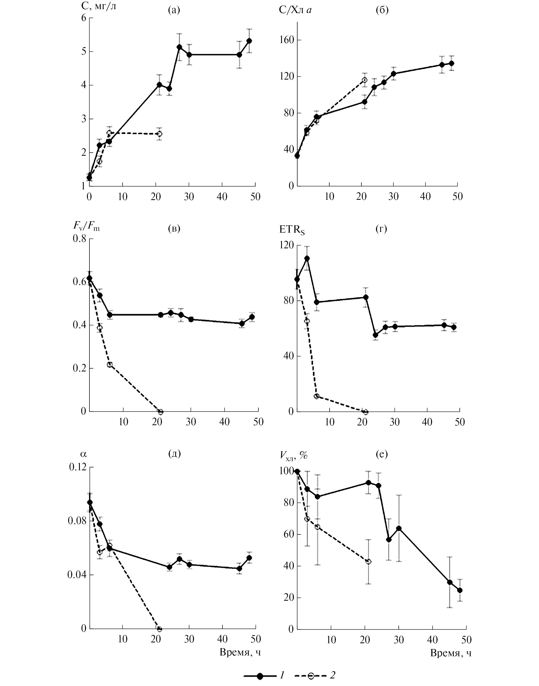
Долговременная фотоакклимация. Водоросли, акклимированные к низкой интенсивности света (17 мкмоль фотонов/(м2 × с)), помещали для длительной экспозиции на сильный свет двух интенсивностей – 510 и 1100 мкмоль фотонов/(м2 × с). При 510 мкмоль фотонов/(м2 × с) в течение 1-х сут наблюдался интенсивный рост культуры, в процессе которого ее биомасса увеличилась в 3 раза (рис. 4а), на 2-е сут прирост существенно замедлился. В целом, за 2 сут водоросли осуществили два клеточных деления, что принято считать одним из необходимых условий успешной акклимации. Увеличение интенсивности света в ~2 раза вызвало замедление прироста органического углерода, который наблюдали только в течение первых 6 ч. В обоих случаях отмечено слабое пропорциональное увеличение объема клеток водорослей и площади их поверхности (рис. 5а, 5б). В то же время отношение С/Хл а возрастало в 3–3.5 раза при обеих интенсивностях света, однако скорость его увеличения при 510 мкмоль фотонов/(м2 × с) была ниже, чем при 1100 мкмоль фотонов/(м2 × с) (рис. 4б).
Рис. 4. Временная динамика структурных и функциональных параметров Ditylum brightwellii при интенсивностях света 1100 мкмоль фотонов/(м2 × с) (1) и 510 мкмоль фотонов/(м2 × с) (2): а – органический углерод, б – С/Хл а, в – Fv/Fm, г – ETRs, д – α, е – объем агрегатов хлоропластов (Vхл.). Значения на графиках – среднее арифметическое ± стандартное отклонение.
Рис. 5. Временная изменчивость объема клеток V (а), площади их поверхности S (б) и удельной поверхности S/V (в) в культуре Ditylum brightwellii при интенсивностях света 1100 мкмоль фотонов/(м2 × с) (1) и 510 мкмоль фотонов/(м2 × с) (2). Значения на графиках – среднее арифметическое ± стандартное отклонение.
Динамика флуоресцентных параметров D. brightwellii при двух интенсивностях света существенно различалась (рис. 4в–4д). Под действием света интенсивностью 510 мкмоль фотонов/(м2 × с) величина максимальной эффективности работы фотосистемы II) Fv/Fm снижалась от 0.62 до 0.45 в течение первых 6 ч, а затем почти не изменялась. Максимальная скорость электронного транспорта (ETRs) и коэффициент максимальной утилизации световой энергии (α) снижались в течение 1-х сут с 110 до 55 и с 0.094 до 0.046 соответственно. На 2-е сут они были неизменны. Агрегирование хлоропластов в 1-е сут было крайне слабым, в течение 2-х – резко усилилось. Через 48 ч объем агрегатов достиг в среднем 25% клеточного объема (рис. 4е). При интенсивности света 1100 мкмоль фотонов/(м2 × с) все флуоресцентные параметры и объем агрегатов хлоропластов резко снижались в течение первых 6 ч. Затем к концу 1-х сут флуоресцентные параметры падали до нуля, что свидетельствует о гибели клеток водорослей в этих условиях.
Комплекс флуоресцентных характеристик культуры D. brightwellii, полученный из световых кривых скорости электронного транспорта и быстрых индукционных кривых флуоресценции (табл. 1), позволяет оценить функциональное состояние водорослей, акклимированных к низкой и высокой интенсивностям света (17 и 510 мкмоль фотонов/(м2 × с)). К низкой интенсивности света культуру акклимировали в течение 5 сут, к высокой – в течение 2 сут, что позволило водорослям осуществить два клеточных деления при обеих интенсивностях. Видно (табл. 1), что в результате воздействия сильного света на клетки водорослей средние значения всех представленных характеристик достоверно ниже, чем при слабом освещении (р <0.05). Наиболее консервативными среди них были максимальная эффективность фотосистемы II (Fv/Fm) и доля активных реакционных центров (RC/ABS). При повышении интенсивности света в 30 раз эти параметры снизились лишь в 1.5 раза. Коэффициент максимальной утилизации световой энергии (α) и максимальная скорость электронного транспорта (ETRмакс) снизились в ~2 раза. Эффективность электронного транспорта (φEo) при высокой интенсивности света была в 3 раза меньше, чем при низкой, а индекс производительности (PIABS) снизился почти на порядок.
Таблица 1. Флуоресцентные параметры культуры Ditylum brightwellii, акклимированной к двум интенсивностям света
Параметр | I | |
17 | 510 | |
Fv /Fm | 0.62 ± 0.01 | 0.42 ± 0.02 |
φEo | 0.42 ± 0.05 | 0.15 ± 0.01 |
RC/ABS | 0.22 ± 0.02 | 0.15 ± 0.01 |
PIABS | 0.78 ± 0.02 | 0.08 ± 0.01 |
α | 0.094 ± 0.001 | 0.046 ± 0.002 |
ETRS | 110.0 ± 1.5 | 55.0 ± 0.7 |
Примечание. Fv/Fm – максимальная эффективность работы фотосистемы II; φEo – эффективность электронного транспорта; RC/ABS – доля активных реакционных центров; PIABS – индекс производительности; α – коэффициент максимальной утилизации световой энергии; ETRS – максимальная скорость электронного транспорта, oтн.ед.; I – интенсивность света, мкмоль фотонов/(м2 × с). Даны среднее значение и стандартное отклонение.
ОБСУЖДЕНИЕ РЕЗУЛЬТАТОВ
В последние два десятилетия в поверхностном слое прибрежных и открытых вод Черного моря наблюдается положительный температурный тренд (Oguz, Glibert, 2007; Yunev et al., 2022). Усиление температурного расслоения водной толщи в глубоководной области привело к снижению восходящего потока биогенных веществ в зону фотосинтеза (Mikaelyan et al., 2018). Это послужило, вероятно, одной из причин существенной перестройки видового состава фитопланктона и изменения сезонного хода его биомассы и первичной продукции. Для западной половины Черного моря было показано, что ранее основной продукционный максимум в открытых водах формировали мелкие диатомовые водоросли в начале весны (Финенко, Крупаткина, 1993). В настоящее время возросла роль крупных видов, прежде всего вида Рseudosolenia calcar-avis, который определяет формирование основного осеннего максимума биомассы фитопланктона (Yunev et al., 2021). Подобные изменения в структуре фитопланктона произошли в последние годы и в других районах Черного моря (Silkin et al., 2021; Stelmakh et al., 2023). Так, в прибрежных водах в районе г. Севастополь в теплый период года (с мая по сентябрь) доля мелких диатомовых водорослей рода Chaetoceros существенно сократилась, а доля крупных (Рseudosolenia calcar-avis и Proboscia alata) возросла. Эти виды, обладая крупной внутриклеточной вакуолью, способны накапливать определенный резерв биогенных веществ, позволяющий им осуществлять свой прирост даже при крайне низком содержании в среде (Silkin et al., 2021). Например, культура Рseudosolenia calcar-avis за счет внутриклеточного пула биогенных веществ может осуществить 4.5 клеточных деления (Стельмах, 2022, крупная диатомовая водоросль Cerataulina pelagica (Cleve) Hendey – три клеточных деления в условиях крайнего дефицита питательных веществ в воде (Стельмах, 2023), тогда как наиболее мелкие представители этой таксономической группы имеют небольшой пул питательных веществ, позволяющий им поделиться лишь один раз (Шоман, 2015).
Помимо дефицита питательных веществ, рост диатомовых водорослей в теплое время года могут ограничивать такие факторы как температура и свет. Для культур мелких видов диатомовых Chaetoceros curvisetus Cleve, Skeletonema costatum (Greville) Cleve, Thalassiosira parva Proshkina-Lavrenko и крупного вида Ditylum brightwellii зарегистрированы близкие значения температурного оптимума – 20–22°С (Akimov, Solomonova, 2019), которые ниже температуры черноморских поверхностных вод в летний период и в начале осени. Культура Cerataulina pelagica, выделенная нами из планктона Черного моря, обладала еще более низким температурным оптимумом – 16–18°С, при температуре 19–20°С ее рост полностью прекращался (Стельмах, 2023). В то же время, у берегов Крыма в районе г. Севастополь Рseudosolenia calcar-avis интенсивно развивалась в августе при температуре воды 25°С (Stelmakh et al., 2023). В северо-восточной части моря в период летне-осеннего “цветения” воды ее температура поднималась в отдельных случаях до 28°С. При этом >90% биомассы фитопланктона (без учета пикофракции) создавали P. calcar-avis и Proboscia alata (Silkin et al., 2021), что может свидетельствовать о наличии высокого температурного оптимума у этих видов.
Крайне высокие интенсивности солнечной радиации у морской поверхности и минимальная толщина верхнего квазиоднородного слоя (в глубоководной части Черного моря и в ряде мелководных районов в среднем 5–10 м в теплый период года (Stelmakh, Georgieva, 2014; Кубряков и др., 2019)) позволяют успешно развиваться в поверхностных водах тем видам диатомовых водорослей, обладающими механизмами фотоакклимации к этим условиям. Причем особое значение имеет кратковременная акклимация, предотвращающая процессы деструкции фотосинтетического аппарата. У мелких видов диатомовых водорослей, имеющих в клетках два хлоропласта, кратковременная акклимация к повышенному уровню солнечной радиации связана, в первую очередь, с уменьшением объема отдельных хлоропластов. Этот процесс приводит к увеличению коэффициента поглощения, специфичного для хлорофилла, тем самым частично противодействуя регуляторному эффекту снижения концентрации хлорофилла в клетке (Wilhelm et al., 2014). Среди механизмов кратковременной акклиматизации к высокому освещению мелкие фотоавтотрофы используют также образование пигментов ксантофиллового цикла, позволяющих им высвобождать избыточную энергию и тем самым предотвращать фотоингибирование (Brunet et al., 2011; Torres et al., 2014). Однако этот путь защиты от фотоповреждения пигментного аппарата существенно не влияет на коэффициент поглощения света хлорофиллом (Larkum, Vesk, 2003; Raven, Geider, 2003). Крупные виды диатомовых водорослей, содержащие многочисленные хлоропласты, могут менять их количество в клетке и расположение, что дает возможность регулировать коэффициент поглощения света. Такой процесс относят к эффекту упаковки второго рода (Silkin et al., 2021). Показано, что при усилении света до 1000 мкмоль фотонов/(м2 × с) ФАР хлоропласты в клетках Рseudosolenia calcar-avis и Proboscia alata агрегировались в течение 20 мин обычно в центре клетки. В результате коэффициент поглощения света снижался 2.5–5 раз, а уровень облучения хлоропластов в агрегатах достигал 200–400 мкмоль фотонов/(м2 × с) ФАР. Для многих видов планктонных микроводорослей этот уровень освещенности находится в области насыщения фотонами, а не фотоингибирования (Bouman et al., 2018). При повышенной освещенности у Рseudosolenia calcar-avis наблюдали также “конвейер” хлоропластов, движущихся от скопления к периферии клетки и обратно. Предполагается, что такой механизм быстрой фотоакклимации позволяет крупным диатомовым водорослям предотвратить фотоповреждение светособирающего пигментного комплекса при высоких значениях ФАР и, как следствие, необходимость затрат энергии и ресурсов на его восстановление (Raven, 2011). Кроме того, такие водоросли могут быстро акклимироваться и к низким интенсивностям света, тем самым повышая их конкурентоспособность в условиях высоких градиентов освещенности в верхнем квазиоднородном слое в теплое время года (Silkin et al., 2021).
Индуцированное светом перемещение хлоропластов в клетках крупных диатомовых водорослей наблюдали у пресноводного вида Pleurosira laevis (Ehrenberg) Compère (Furukawa et al., 1998), у морских видов водорослей Lauderia borealis Gran (Kiefer, 1973), Odontella regia (Schultze) Simonsen и Ditylum brightwellii (Chen, Li, 1991). Однако изучение этих процессов проводили при достаточно низких интенсивностях света, не превышавших 100 мкмоль фотонов/(м2 × с). Поэтому неясно, способны ли эти водоросли к кратковременной акклимации в условиях крайне высоких интенсивностей света за счет агрегирования хлоропластов. Тем более, что у крупного вида диатомовых водорослей Coscinodiscus granii даже при экстремально высокой интенсивности белого света (1250 мкмоль фотонов/(м2 × с)) агрегирования хлоропластов для защиты от фотоповреждения не наблюдали (Goessling et al., 2016). Такой процесс хорошо развит у исследованного нами вида Ditylum brightwellii. Ранее для него был описан механизм, обеспечивающий движение хлоропластов за счет микротрубочек и микрофиламентов, локализованных в цитоплазме (Chen, Li, 1991). Агрегаты хлоропластов в центре клетки у ее ядра выявлены нами при переносе водорослей со слабого света на сильный. При самой высокой интенсивности (1100 мкмоль фотонов/(м2 × с)) не обнаружено их обратного движения от центра к периферии клетки, что может свидетельствовать о необратимости наблюдаемого процесса, а значит неспособности этого вида завершить кратковременную акклимацию к данным световым условиям. Однако при понижении интенсивности света до 510–935 мкмоль фотонов/(м2 × с) восстановление равномерного распределения зеленых пластид за счет их обратного движения от центра к периферии клетки начиналось через 20–60 мин и завершалось к концу 1-го или 2-го ч экспозиции. В случае дальнейшего пребывания водорослей на ярком свету, вероятно, запускается механизм долговременной (длительной) фотоакклимации.
Получено, что при освещенности 1100 мкмоль фотонов/(м2 × с) культура D. brightwellii, предварительно адаптированная к 17 мкмоль фотонов/(м2 × с), остается жизнеспособной в течение первых 6 ч, а затем быстро погибает. Вместе с тем, при интенсивности света 510 мкмоль фотонов/(м2 × с) клетки культуры совершили два деления, что необходимо для завершения долговременной акклимации, в ходе которой наблюдали постепенное повышение отношения С/Хл а, стабилизировавшееся к концу 2-х сут. Именно изменением внутриклеточной концентрации Хл а и ее стабилизацией на определенном уровне характеризуется долговременная фотоакклимация (MacIntyre et al). От концентрации основного фотосинтезирующего пигмента в клетках, а также от их размеров зависит поглощение света пигментами (). По мере усиления света концентрация Хл а снижается, а объем клеток часто увеличивается (Стельмах, 2022). Поэтому вполне закономерно, что при действии высокой интенсивности света 510 мкмоль фотонов/м2 × с на клетки D. brightwellii внутриклеточная концентрация Хл а снизилась в 4 раза, а клеточный объем возрос в 1.5 раза, что способствовало снижению количества поглощенной световой энергии водорослями. Известно, что в условиях высоких интенсивностей света доля фотозащитных пигментов возрастает. У нескольких видов диатомовых водорослей концентрация таких пигментов, как диадиноксантин, диатоксантин, а в отделных случаях и каротин по мере увеличения интенсивности света от 25 до 750 мкмоль фотонов/(м2 × с) возрастала в несколько раз (Fujiki, Taguchi, 2002).
В ходе долгосрочной акклимации (в течение 2 сут) наблюдали перестройку не только структурных, но и функциональных параметров. Снижение флуоресцентных характеристик происходило преимущественно в течение первых суток, после чего их значения были неизменны, что также может свидетельствовать о завершении процессов акклимации к сильному свету. Выявлено снижение максимальной эффективности фотосистемы II, максимальной скорости электронного транспорта, коэффициента максимальной утилизации световой энергии, эффективности электронного транспорта и доли активных реакционных центров в 1.5–3 раза, что усиливало защиту культуры D. brightwellii от избытка световой энергии. Следует отметить, что пребывание исследуемого вида водорослей при интенсивности света 510 мкмоль фотонов/(м2 × с) >2 сут крайне нежелательно, поскольку уже на 2-е сут экспозиции прирост клеток сильно замедлялся, а такой флуоресцентный параметр, как индекс производительности, отражающий уровень жизнеспособности культуры, снижался к концу 2-х сут относительно исходных значений на порядок.
ЗАКЛЮЧЕНИЕ
Для крупного вида диатомовых водорослей D. brightwellii выявлен механизм кратковременной акклимации к высоким интенсивностям света в диапазоне 510–950 мкмоль фотонов/(м2 × с) ФАР. Он реализуется за счет формирования конгломератов многочисленных хлоропластов в центре клетки в течение 20–60 мин пребывания водорослей на ярком свету, что позволяет, вероятно, снизить в несколько раз количество поглощенной световой энергии и тем сам предотвратить фотоповреждение фотосинтетического аппарата. После чего через 1–2 ч происходило обратное движение хлоропластов, завершающее цикл кратковременной фотоакклимации.
Долговременная акклимация D. brightwellii к интенсивности света 510 мкмоль фотонов/(м2 × с), также направленная на снижение количества поглощенной клетками энергии для оптимизации роста культуры, осуществлялась в течение 2 сут за счет увеличения объема клеток водорослей, увеличения отношения С/Хл а, агрегирования хлоропластов в центре клетки, снижения максимальной эффективности работы фотосистемы II, максимальной скорости электронного транспорта, коэффициента максимальной утилизации световой энергии, эффективности электронного транспорта, доли активных реакционных центров, а также индекса производительности. Последний параметр показал наибольшую степень изменчивости (в 10 раз) и свидетельствовал о достаточно низкой жизнеспособности культуры к концу экспозиции в течении 2 сут при данной интенсивности света и нецелесообразности ее дальнейшего пребывания в этих условиях.
При экстремально высокой интенсивности света (1100 мкмоль фотонов/(м2 × с)) цикл кратковременной фотоакклимации водорослей был неполным, поскольку отсутствовало их обратное движение от центра клетки к ее периферии. В этих условиях долговременная фотоакклимация культуры оказалась невозможной, а ее жизнеспособность сохранялась только в течение первых шести часов экспозиции.
БЛАГОДАРНОСТИ
Автор выражает искреннюю благодарность ведущему инженеру отдела экологической физиологии водорослей Института биологии южных морей И. И. Бабич за неоценимую помощь при выполнении данной работы.
ФИНАНСИРОВАНИЕ
Работа выполнена по теме государственного задания Института биологии южных морей “Функциональные, метаболические и токсикологические аспекты существования гидробионтов и их популяций в биотопах с различным физико-химическим режимом” (номер гос. регистрации 121041400077-1). Никаких дополнительных грантов на проведение или руководство данным конкретным исследованием получено не было.
1 Сокращения: ФАР – фотосинтетически активная радиация, Хл а – хлорофилл а, С/Хл а – отношение между органическим углеродом клетки и хлорофиллом а, ETRs – максимальная относительная скорость электронного транспорта, Fv/Fm – максимальная эффективность работы фотосистемы II, F'v/F'm – эффективности работы фотосистемы II при различных интенсивностях света (I), OD750 – оптическая плотность на длине волны 750 нм, φEo – эффективность электронного транспорта, PIABS – индекс производительности, RC/ABS – доля активных реакционных центров, α – коэффициент максимальной утилизации световой энергии.
Об авторах
Л. В. Стельмах
Федеральный исследовательский центр “Институт биологии южных морей им. А.О. Ковалевского Российской академии наук
Автор, ответственный за переписку.
Email: lustelm@mail.ru
Россия, Севастополь
О. С. Алатарцева
Федеральный исследовательский центр “Институт биологии южных морей им. А.О. Ковалевского Российской академии наук
Email: lustelm@mail.ru
Россия, Севастополь
Список литературы
- Бергер В.Я., Митяев М.В., Сухотин А.А. 2016. Опыт использования метода мокрого сжигания для определения концентрации взвешенных органических веществ в морской воде // Океанология. Т. 56. № 2. С. 328. https://doi.org/10.7868/S0030157416020015
- Брянцева Ю.В., Лях А.М., Сергеева А.В. 2005. Расчет объемов и площадей поверхности одноклеточных водорослей Черного моря. Севастополь. (Препринт НАН Украины, Институт биологии южных морей).
- Кубряков А.А., Белокопытов В.Н., Зацепин А.Г. и др. 2019. Изменчивость толщины перемешанного слоя в Черном море и ее связь с динамикой вод и атмосферным воздействием // Морск. гидрофиз. журн. Т. 35. № 5. С. 449. https://doi.org/10.22449/0233-7584-2019-5-4
- Маторин Д.Н., Тодоренко Д.А., Воронов Д.А. и др. 2022.Особенности распределения и состояния фитопланктона на разных глубинах в озере Кисло-Сладкое Белого моря // Вестн. Москов. ун-та. Сер. 16. Биология. Т. 77. № 3. C. 180.
- Стельмах Л.В., Бабич И.И., Тугрул С. и др. 2009. Скорость роста фитопланктона и его выедание зоопланктоном в западной части Черного моря в осенний период // Океанология. Т. 49. № 1. С. 90.
- Стельмах Л.В., Мансурова И.М. 2017. Унимодальная зависимость скорости роста от объема клеток в культурах черноморских видов микроводорослей // Вопр. современ. альгологии. № 1(13). http://algology.ru/1101
- Стельмах Л.В. 2022. Особенности структурных и функциональных характеристик диатомовой водоросли Pseudosolenia alcar-avis // Биология внутр. вод. № 3. С. 300. https://doi.org/10.31857/S0320965222030184
- Стельмах Л.В. 2023. Влияние абиотических факторов на структурные и функциональные характеристики диатомовой водоросли Сerataulina pelagicа (Сleve) Hendey // Биология внутр. вод. № 2. С.174. https://doi.org/10.31857/S0320965223020237
- Финенко З.З., Крупаткина Д.К. 1993. Первичная продукция в Черном море в зимне-весенний период // Океанология. Т. 32. № 1. С. 97.
- Шоман Н.Ю. 2015. Динамика внутриклеточного содержания углерода, азота и хлорофилла a в условиях накопительного роста диатомовой водоросли Phaeodactylum tricornutum (Bohlin, 1897) при разной интенсивности света // Биология моря. Т. 41. № 5. С. 324. http://elibrary.ru/item.asp?id=24862972
- Akimov A.I., Solomonova E.S. 2019. Characteristics of growth and fluorescence of certain types of algae during acclimation to different temperatures under culture conditions // Oceanology. V. 59. Iss. 3. P. 316. https://doi.org/10.1134/S0001437019030019
- Bouman H.A., Platt T., Doblin et al. 2018. Photosynthesis–irradiance parameters of marine phytoplankton: synthesis of a global data set // Earth Syst. Sci. Data. V. 10. P. 251.
- Brunet C., Johnsen G.., Lavaud J., Roy S. 2011. Pigments and photoacclimation processes // Phytoplankton Pigments. Cambridge: Cambridge Univ. Press. https://doi.org/:10.1017/CBO9780511732263.017
- Chen S.T., Li C.W. 1991. Relationships between the movements of chloroplasts and cytoskeletons in diatoms // Bot. Mar. V. 34. P. 505. https://doi.org/10.1515/botm.1991.34.6.505
- Finkel Z.V. 2001. Light absorption and size scaling of light-limited metabolism in marine diatoms // Limnol., Oceanogr. V. 46. P. 86.
- Fujiki T., Taguchi S. 2002. Variability in chlorophyll a specific absorption coefficient in marine phytoplankton as a function of cell size and irradiance // J. Plankton Res. V. 24. № 9. P. 859.
- Furukawa T., Watanabe M., Shihira-Ishikawa I. 1998. Greenand bluelight-mediated chloroplast migration in the centric diatom Pleurosira laevis // Protoplasma. V. 203. P. 214. https://doi.org/10.1007/BF01279479
- Goessling J.W., Cartaxana P., Kühl M. 2016. Photo-protection in the centric diatom Coscinodiscus granii is not controlled by chloroplast high-light avoidance movement // Front. Mar. Sci. V. 2. P. 115. https://doi.org/10.3389/fmars.2015.00115
- Guillard R.R.L., Ryther J.H. 1962. Studies of marine planktonic diatoms. I. Cyclotella nana Hustedt and Detonula confervacea Cleve // Can. J. Microbiol. V. 8. P. 229.
- Kiefer D.A. 1973. Chlorophyll a fluorescence in marine centric diatoms: responses of chloroplasts to light and nutrient stress // Mar. Biol. V. 23. P. 39.
- Kvíderová J., Lukavský J. 2003. The cultivation of Phaeodactylum tricornutum in crossed gradients of temperature and light // Algol. Stud. V. 110(1). P. 67. https://doi.org/10.1127/1864-1318/2003/0110-0067
- Larkum A.W., Vesk M. 2003. Algal plastids: Their fine structure and properties // Photosynthesis in Algae. Dordrecht: Kluwer Acad. Publ. P. 11. https://doi.org/10.1007/978-94-007-1038-2_2
- MacIntyre H.L., Kana T.M., Anning J., Geider R. 2002. Photoacclimation of photosynthesis irradiance response curves and photosynthetic pigments in microalgae and cyanobacteria // J. Phycol. V. 38. P. 17.
- Mann D.G. 1999. The species concept in diatoms // Phycologia. V. 38. Iss. 6. P. 437. https://doi.org/10.2216/i0031-8884-38-6-437.1
- Mikaelyan A.S., Kubryakov A.A., Silkin V.A. et al. 2018. Regional climate and patterns of phytoplankton annual succession in the open waters of the Black Sea // Deep Sea Res. Pt. I. V. 142. P. 44. https://doi.org/10.1016/j.dsr.2018.08.00
- Moncheva S., Gotsis-Skretas O., Pagou K. et al. 2001. Phytoplankton blooms in Black Sea and Mediterranean coastal ecosystems subjected to anthropogenic eutrophication: similarities and differences // Estuarine, Coastal and Shelf Sci. V. 53. P. 281. https://doi.org/10.1006/ecss.2001.0767
- Oguz T., Gilbert D. 2007. Abrupt transitions of the top-down controlled Black Sea pelagic ecosystem during 1960–2000: Evidence for regime-shifts under strong fishery exploitation and nutrient enrichment modulated by climate-induced variations // Deep Sea Res. Pt. I. V. 54. P. 220. http://dx.doi.org/10.1016/j.dsr.2006.09.010
- Protocols for the Joint Global Ocean Flux Study (JGOFS) Core Measurements. JGOFS Report Nr. 19, vi + 170 pp. Reprint of the IOC Manuals and Guides No. 29. UNESCO. 1994. https://hdl.handle.net/11329/220
- Raven J.A. 2011. The cost of photoinhibition // Physiol. Plant. V. 142. P. 87. https://doi.org/10.1111/j.1399-3054.2011.01465.x
- Raven J.A., Geider R.J. 2003. Adaptation, acclimation and regulation in algal photosynthesis // Photosynthesis of Algae. Dordrecht: Kluwer Acad. Publ. P. 385.
- Silkin V., Fedorov A., Flynn K.J. et al. 2021. Protoplasmic streaming of chloroplasts enables rapid photoacclimation in large diatoms // J. Plankton Res. V. 43. Iss. 6. P. 831. https://doi.org/10.1093/plankt/fbab071
- Smetacek V. 1999. Diatoms and the ocean carbon cycle // Protist. V. 150. Iss. 1. P. 25. https://doi.org/10.1016/S1434-4610(99)70006-4
- Stelmakh L., Kovrigina N., Gorbunova T. 2023. Phytoplankton seasonal dynamics under conditions of climate change and anthropogenic pollution in the western coastal waters of the Black Sea (Sevastopol Region) // J. Mar. Sci. Eng. V. 11. P. 569. https://doi.org/ 10.3390/jmse11030569
- Stelmakh L., Georgieva E. 2014. Microzooplankton: the trophic role and involvement in the phytoplankton loss and bloom-formation in the Black Sea // Turkish J. Fish and Aquat. Sci. V. 14. P. 955. www.trjfas.org ISSN 1303-2712. https://doi.org/10.4194/1303-2712-v14_4_15
- Torres M.A., Ritchie R.J., McC-Lilley R. et al. 2014. Measurement of photosynthesis and photosynthetic efficiency in two diatoms. New Zea // J. Bot. V. 52. P. 6. https://doi.org/10.1080/0028825X.2013.831917
- Treguer P.J., De La Rocha C.L. 2013. The world ocean silica cycle // Ann. Rev. Mar. Sci. V. 5. P. 477. https://doi.org/10.1146/annurev-marine-121211-172346
- Yunev O.A., Carstensen J., Stelmakh L.V. et al. 2021. Reconsideration of the phytoplankton seasonality in the open Black Sea // Limnol., Oceanogr. Letters. V. 6. P. 51. https://doi.org/10.1002/lol2.10178
- Yunev O., Carstensen J., Stelmakh L. et al. 2022. Temporal changes of phytoplankton biomass in the western Black Sea shelf waters: Evaluation by satellite data (1998–2018) // Estuarine, Coastal and Shelf Science. P. 271. Article no. 107865. https://doi.org/10.1016/j.ecss.2022.107865
- Wilhelm C., Jungandreas A., Jakob T. et al. 2014. Light acclimation in diatoms: from phenomenology to mechanisms // Mar. Genomics. V. 16. P. 5. https://doi.org/10.1016/j.margen.2013.12.003
Дополнительные файлы








