Isolation, Identification and Characterization of the Algicidal Micromycete Penicillium chrysogenum SR–1.3
- Authors: Medvedeva N.G.1, Zaytseva T.B.1, Kuzikova I.L.1, Timofeeva O.G.1, Chernov I.S.1
-
Affiliations:
- St. Petersburg Federal Research Center of the Russian Academy of Sciences, Scientific Research Centre for Ecological Safety of the Russian Academy of Sciences
- Issue: Vol 17, No 3 (2024)
- Pages: 458-468
- Section: ВОДНАЯ ТОКСИКОЛОГИЯ
- URL: https://journals.rcsi.science/0320-9652/article/view/266949
- DOI: https://doi.org/10.31857/S0320965224030103
- EDN: https://elibrary.ru/ZPFWIG
- ID: 266949
Cite item
Full Text
Abstract
A novel strain SR–1.3 with algicidal properties and the ability to remove microcystin-LR was isolated from the water of Lake Sestroretskij Razliv during the active cyanobacteria vegetation. Based on the morphological and cultural characteristics and the results of sequencing of the ITS DNA region strain SR–1.3 was identified as Penicillium chrysogenum. The SR–1.3 strain exhibited algicidal activity against cyanobacteria and green algae. A dose-dependent and species-specific nature of the algicidal action of the P. chrysogenum SR–1.3 strain has been established. Cyanobacteria showed the highest sensitivity to strain SR–1.3. The complete lysis (100%) of cyanobacteria cells was observed when 10% (vol.) of the culture liquid or the micromycete filtrate were added to the medium. The algicidal effect of strain SR–1.3 on green algae was 30–70%, depending on the culture. According to the level of sensitivity to the algicidal effect SR–1.3, the test cultures can be arranged in the series Planktothrix agardhii > Microcystis aeruginosa > Aphanizomenon flos-aquae = Anabaena cylindrica > Scenedesmus quadricauda > Oocystis parva. The inhibitory effect of the strain SR-1.3 mycelium on the cyanobacteria and green algae growth did not exceed 3–6%. Based on the obtained results a conclusion was made about the indirect mechanism of the algicidal action of P. chrysogenum SR–1.3 by excretion into the medium of metabolites that inhibit and/or lyse cells of cyanobacteria and green algae. When toxigenic strains of M. aeruginosa and P. agardhii were cultivated on a medium containing exometabolites of strain SR–1.3, the concentrations of microcystins in the medium decreased by 3.3 and 1.8 times, respectively, compared with control variants. The ability of P. chrysogenum SR–1.3 to remove highly toxic microcystin-LR from the cultivation medium was revealed. The MC-LR content was found to decrease from 1.2 μg/ml to 0.79 μg/ml over 48 hours during the cultivation of strain SR–1.3 on medium with microcystin.
Full Text
ВВЕДЕНИЕ[*]
Проблема массового развития цианобактерий, в том числе токсигенных, — актуальная проблема для водоемов Северо-Запада России, в том числе для оз. Сестрорецкий разлив. Данное озеро расположено в черте г. Санкт-Петербурга в непосредственной близости от Финского залива. Площадь его поверхности 1100 га, средняя глубина 1.6 м. Озеро используют в рекреационных целях, уровень его трофности соответствует гипертрофному водоему (Chernova et al., 2016). Ежегодно в периоды активной вегетации цианобактерий отмечают доминирование в планктоне токсигенных видов цианобактерий рода Microcystis, Planktothrix agardhii и Aphanizomenon flos-aquae. В разные годы в озере детектировано до 14 вариантов микроцистинов, в том числе высокотоксичный микроцистин MC-LR (Chernova et al., 2016; Воякина и др., 2020).
Микроцистины, относящиеся к циклогептапептидам, — широко распространенные и часто встречающиеся цианотоксины во всем мире. Микроцистины гепатотоксичны, способствуют развитию онкологических заболеваний (Zhou et al., 2021). Согласно рекомендациям ВОЗ, концентрация наиболее токсичного MC-LR в питьевой воде не должна превышать 1 мкг/л (Cyanobacterial…, 2020). В водоемах концентрации микроцистинов обычно ≤10 мкг/л, хотя в ряде случаев детектированы сверхвысокие концентрации ≥18 000 мкг/л (Chorus, Bartram, 1999; Koreivienė et al., 2013).
Благодаря циклической структуре, микроцистины устойчивы к физико-химическим воздействиям и могут сохраняться в водоемах месяцами (Rastogi et al., 2014; Li et al., 2017).
Основным механизмом разрушения микроцистинов в природных условиях является биодеструкция (Christoffersen et al., 2002). Имеются многочисленные данные о способности природных микробных сообществ деградировать микроцистины, в том числе MC-LR (Dziga et al., 2017; Lezcano et al., 2018; Medvedeva et al., 2021; Медведева и др., 2023). В условиях микрокосма установлено, что деструкция MC-LR автохтонной микробиотой происходит в образцах воды разнотипных водоемов Северо-Запада РФ, различающихся размерами, глубиной, уровнем трофности (от мезо- до гипертрофного) – озерах Сестрорецкий разлив, Нижнее Суздальское и Ладожское (Медведева и др., 2023).
Из природных объектов выделены микроорганизмы, способные ингибировать рост или лизировать клетки цианобактерий, а также деструктировать микроцистины. Большинство этих исследований посвящено бактериальным культурам (Massey et al., 2020; Medvedeva et al., 2021; Kong et al., 2022).
По исследованию процессов микологического контроля процессов роста цианобактерий и деградации микроцистинов имеются лишь единичные работы. К настоящему времени известно только 18 видов грибов, обладающих альгицидной активностью, и 6 видов, способных удалять микроцистины из растворов за счет сорбции или деструкции (Mohamed et al., 2021; Kong et al., 2022). В связи с этим, выделение из объектов окружающей среды новых штаммов грибов, обладающих альгицидными свойствами и/или способных к биодеградации микроцистинов, будет важным для понимания роли микобиоты в контроле процессов массового развития цианобактерий в природных объектах, а также использования выделенных штаммов для разработки биотехнологических способов борьбы с “цветением” водоемов и детоксикации водных объектов, загрязненных токсичными метаболитами цианобактерий.
В настоящем исследовании были поставлены следующие задачи: выделить из образца воды оз. Сестрорецкий разлив и идентифицировать штамм микромицета, обладающий альгицидными свойствами и способный биодеградировать микроцистин-LR; исследовать спектр альгицидного действия выделенного штамма; изучить механизм альгицидного (прямое/непрямое) воздействия штамма на культуры цианобактерий и зеленых водорослей; исследовать способность выделенного штамма удалять микроцистин-LR из среды культивирования.
МАТЕРИАЛ И МЕТОДЫ ИССЛЕДОВАНИЯ
Выделение и идентификация штамма микромицета. Штамм микромицета выделяли из образца воды, отобранного в оз. Сестрорецкий разлив в июле 2022 г. в период активной вегетации цианобактерий. Пробу воды объемом 1 л отбирали с поверхности воды и фильтровали через сетку с размером ячеи 85 мкм. Биомассу лиофилизировали и использовали для определения содержания внутриклеточных микроцистинов.
Штамм микромицета выделяли традиционным методом посева на плотную среду Чапека (2% глюкозы), содержащую стрептомицин (100 мкг/мл) в качестве селективного агента.
Идентификацию штамма SR–1.3 проводили по морфолого-культуральным признакам (Sutton et al., 1998) и методом секвенирования ITS-региона ДНК. Морфологию клеток изучали под световым микроскопом МИКМЕД-6 ЛЮМ-LED (ЛОМО, Россия) при увеличении 1000×. ДНК выделяли при помощи набора реактивов DiaGen (Диа-М, Россия) согласно рекомендациям производителя. ITS1-5.8S-ITS2 регион амплифицировали с помощью праймеров ITS1 (5´-TCCGTAGGTGAACCTGCGG-3´) и ITS4 (5´-TCCTCCGCTTATTGATATGC-3´). Процедура амплификации и секвенирования геномной ДНК описана ранее (Kuzikova et al., 2017). Нуклеотидную последовательность ITS региона определяли на генетическом анализаторе ABI 3500xl (Applied Biosystems) в Центре коллективного пользования научным оборудованием “Геномные технологии, протеомика и клеточная биология” Всероссийского научно-исследовательского института сельскохозяйственной микробиологии. Последовательности ITS-региона штамма Penicillium chrysogenum SR–1.3 сравнивали с соответствующими последовательностями типовых штаммов, имеющихся в базе данных GenBank, с использованием анализа BLAST в NCBI.1 Для конструирования филогенетического дерева использовали программу MEGA-X и метод Maximum Likelihood (Kumar et al., 2018). Эволюционные расстояния рассчитывали методом maximum composite likelihood. Для оценки поддержки кластеров был выполнен Bootstrapанализ с 1000 повторов.
Культивирование штамма SR–1.3. Штамм SR–1.3 культивировали в колбах Эрленмейера объемом 250 мл с 50 мл жидкой среды Чапека (2% глюкозы) в темновых условиях на роторном шейкере Certomat BS-1 при 230 об./мин, температуре 25 ± 1°С. В качестве посевного материала использовали культуральную жидкость штамма SR–1.3 (10%), полученную культивированием споровой суспензии гриба (титр 2–3 × 106 кл./мл) в течение 3 сут в указанных выше условиях.
Культивирование цианобактерий и зеленых водорослей. В качестве тест-культур использовали цианобактерии Anabaena cylindrica Lemm. (HPDP), Aphanizomenon flos-aquae (L.) Ralfs ex Bornet & Flahault (CALU 1033), Microcystis aeruginosa Kütz. (CALU 973), Planktothrix agardhii Gom Anagnostidis et Komarek (CALU 1113) и зеленые водоросли Oocystis parva W. & G.S. West (CALU 391), Scenedesmus quadricauda (Turp.) Breb. (CALU 1248). Все культуры, за исключением штамма Anabaena cylindrica, предоставленного нам Институтом гидробиологии НАН Украины, получены из Ресурсного центра “Культивирование микроорганизмов” Научного парка Санкт-Петербургского государственного университета (Россия).
Цианобактерии и зеленые водоросли культивировали на среде BG11 в условиях, описанных ранее (Зайцева, Медведева, 2022). Рост цианобактерий и зеленых водорослей контролировали по содержанию Хл а. Экстракцию Хл а из клеток тест-культур проводили 90%-ным ацетоном при температуре 4ºС в течение 24 ч. Содержание Хл а рассчитывали по формуле Хл а (мг/л) = = (11.85 × А664) – (1.54 × А647) – (0.08 × А630) (Jeffrey, Humphrey, 1975). Оптические плотности ацетоновых экстрактов при длинах волн 630, 647 и 664 нм определяли на спектрофотометре Genesys 10UV scanning (Thermo Spectronic, США).
Изучение альгицидных свойств штамма SR–1.3. Клетки цианобактерий и зеленых водорослей экспоненциальной фазы роста вносили в 250 мл колбы Эрленмейера, содержащие 100 мл среды BG11, в количествах, соответствующих 0.197 ± 0.012 мг/л Хл а.
Для определения альгицидного эффекта штамма SR–1.3 в колбы опытных вариантов вносили культуральную жидкость (10% объема), нативный раствор (0.5, 1.0, 5.0 и 10% объема) и отмытую биомассу микромицета, количество которой соответствовало 10% культуральной жидкости (0.09 ± 0.01 г а.с.б./колба)2. Колбы с цианобактериями и зелеными водорослями без внесения штамма SR–1.3 использовали в качестве контрольных (Контроль 1). В качестве Контроля 2 была тест-культура без внесения штамма SR–1.3 с добавлением среды Чапека (10% по объему). Для уравнивания объемов среды во все колбы, за исключением вариантов с 10% культуральной жидкости и нативного раствора, вносили соответствующие объемы среды BG11.
В процессе культивирования ежедневно отбирали пробы для определения содержания Хл а.
Альгицидный эффект (А, %) рассчитывали по формуле:
А, % = 100 × (Ск — С0)/Ск,
где Ск и С0 – концентрации Хл а в контрольных и опытных вариантах соответственно.
Для определения влияния фильтрата микромицета SR–1.3 на содержание в среде микроцистинов, синтезируемых токсигенными штаммами Microcystis aeruginosa и Planktothrix agardhii, цианобактерий выращивали в течение 96 ч в описанных выше условиях на среде BG11, содержащей фильтрат SR–1.3 в концентрации 10% объема. В качестве контрольных использовали культуры цианобактерий, выращенные на среде BG11 без внесения фильтрата.
Получение сырца микроцистина-LR (МC-LR). Для получения сырца МC-LR штамм Microcystis aeruginosa CALU 973 культивировали в представленных выше условиях в течение 14 сут. Биомассу цианобактерий отделяли центрифугированием (6000 об./мин) и лиофилизировали. Размороженную биомассу (1 г) смешивали с 20 мл 80%-ного водного метанола и обрабатывали ультразвуком (частота 40 КГц) в ультразвуковой ванне DA-963 (КНР) в течение 1 ч. Полученную смесь центрифугировали 10 мин при +4ºС. Супернатант концентрировали на роторном испарителе при 40ºС и разбавляли 20 мл дистиллированной воды. Полученный сырец МC-LR хранили при –20ºС.
Определение микроцистинов. Количественное содержание микроцистинов определяли методом высокоэффективной жидкостной хроматографии — масс-спектрометрии с использованием масс-спектрометра высокого разрешения (30000) LTQ Orbitrap XL (Thermo Fisher Scientific, Сан-Хосе, США) с жидкостным хроматографом серии LC-20 Prominence (Shimadzu, Japan). Для извлечения целевых соединений из клеток применяли экстракцию 75%-ным водным раствором метанола под действием ультразвука. Внеклеточные микроцистины выделяли методом твердофазной экстракции на картриджах Oasis HLB (60 mg, Waters, Milford, Massachusetts, USA). Идентификацию и количественное определение проводили согласно установленным временам удерживания (с ошибкой ≤0.3 мин), точным значениям m/z ионов [М + Н]+ (точность определения масс ≤5 ррm) (Медведева и др., 2023).
Удаление MC-LR штаммом SR–1.3 из среды культивирования. Культивирование штамма SR–1.3 проводили в описанных выше условиях. Сырец МC-LR вносили в питательную среду в виде водного раствора, создавая концентрацию 1.2 мкг МС-LR/мл. Питательную среду без внесения микромицета использовали в качестве абиотического контроля. Прирост биомассы штамма SR–1.3 определяли массовым методом. Инкубирование проводили в течение 7 сут при 25ºС и 230 об./мин. По окончании процесса биомассу отделяли центрифугированием, в супернатанте определяли количество МC-LR.
Статистическая обработка результатов. Статистическую значимость различий при попарном сравнении вариантов оценивали с помощью U-критерия Манна–Уитни, для множественных сравнений использовали тест Краскела–Уолиса, различия считали значимыми при р <0.05. В таблицах и на графиках полученные данные представлены как среднее значение (± стандартное отклонение) (M ± SD) трех независимых повторов каждого варианта с тремя параллельными повторностями в каждом (n = 3).
РЕЗУЛЬТАТЫ ИССЛЕДОВАНИЯ
В пробе биомассы из образца воды, отобранной в период массового развития цианобактерий в оз. Сестрорецкий разлив определено содержание микроцистинов в количестве 2.86 мкг/л. Всего зарегистрировано семь структурных вариантов микроцистинов, в том числе высокотоксичный MC-LR:
Микроцистин, мкг/л | Содержание |
MC-LR | 0.180 |
[D-Asp3]MC- LR | 0.123 |
[D-Asp3]MC-RR | 1.934 |
[D-Asp3]MC-YR | <0.001 |
MC-RR | 0.569 |
MC-YR | 0.048 |
MC-WR | 0.004 |
Всего | 2.86 |
В наибольшем количестве (66%) в пробе содержался деметилированный вариант [D-Asp3]MC-RR.
Из отобранного образца воды выделен штамм SR–1.3, который на плотной питательной среде Чапека с 2% глюкозы через 7 сут при температуре 25°С образует низкие, бархатистые колонии диаметром 35–37 мм. Колонии с серовато-голубоватым центром и белой периферической частью. Экссудат от ярко-желтого до желто-коричневого цвета. Наблюдается выделение растворимого желтого пигмента. Гифы септированные. Конидиеносцы 200–300 мкм, с тонкими гладкими стенками. Конидии от эллиптических до шаровидных, гладкие, 2.6–3.9 мкм.
С помощью метода секвенирования показано, что последовательность ITS штамма SR–1.3 имеет максимальное сходство (100%) с ближайшими типовыми штаммами микромицетов рода Penicillium — P. tardochrysogenum strain CBS 132200 и P. chrysogenum strain CBS 306.48. (рис. 1). По совокупности морфолого-культуральных свойств и результатов секвенирования рДНК изолят SR–1.3 идентифицирован как Penicillium chrysogenum.
Рис. 1. Филогенетическое дерево для штамма Penicillium chrysogenum SR–1.3, построенное на основе последовательностей ITS-региона с использованием метода Maximum Likelihood.
Штамм SR–1.3 проявлял альгицидную активность по отношению к исследуемым цианобактериям и зеленым водорослям. Следует отметить, что статистически значимых различий в росте тест-культур в вариантах Контроль 1 и Контроль 2 не выявлен (р >0.05).
При внесении в среду культивирования BG11 10% (по объему) культуральной жидкости или фильтрата штамма микромицета альгицидный эффект в отношении цианобактерий и зеленых водорослей через 48 ч достигал 100 и 30–70% соответственно. Статистически значимых различий между альгицидными эффектами культуральной жидкости или фильтрата штамма SR–1.3 не выявлено (р >0.05). Ингибирующее действие мицелия микромицета на рост всех тест-культур было значительно ниже и не превышало 3–6% (р <0.05) (рис. 2).
Рис. 2. Альгицидный эффект штамма SR–1.3 в отношении тест-культур после 48 ч культивирования. Здесь и на рис. 3, 1 – Microcystis aeruginosa; 2 – Planktothrix agardhii; 3 – Aphanizomenоn flos-aquae; 4 – Anabaena cylindrica; 5 – Oocystis parva; 6 – Scenedesmus quadricauda. Здесь и далее результаты представлены как M ± SD трех независимых биологических повторностей.
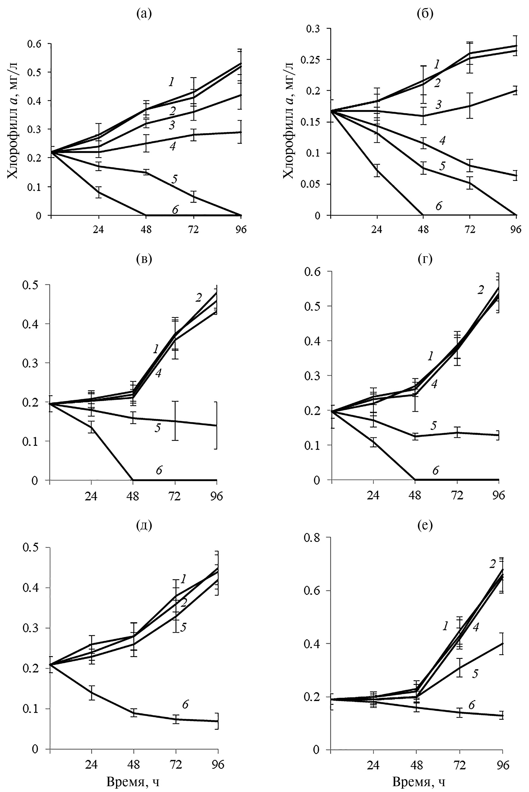
Величина и характер альгицидного эффекта (ингибирование роста или лизис) фильтрата штамма SR–1.3 зависели от его концентрации и вида тест-культуры (рис. 3). Наиболее чувствительными к воздействию компонентов фильтрата микромицета оказались токсигенные штаммы цианобактерий Microcystis aeruginosa и Planktothrix agardhii. Внесение в среду BG11 5% и 10% фильтрата штамма SR–1.3 приводило к 100%-ному лизису клеток этих цианобактерий. Аналогичный эффект отмечен и для двух других цианобактерий Aphanizomenon flos-aquae и Anabaena сylindrica при внесении в среду культивирования 10%-ного фильтрата выделенного штамма. В меньшей концентрации (1%) фильтрат либо не оказывал статистически значимого влияния на рост цианобактерий (Aphanizomenon flos-aquae, Anabaena сylindrica), либо приводил к ингибированию роста (Microcystis aeruginosa) или лизису клеток цианобактерий (Planktothrix agardhii) (рис. 4).
Рис. 3. Влияние фильтрата штамма SR–1.3 (0.5; 1.0; 5.0 и 10.0% объема) на тест-культуры (1–6) после 96 ч культивирования.
Рис. 4. Влияние фильтрата штамма SR–1.3 на рост тест-культур: а — Microcystis aeruginosa; б — Planktothrix agardhii; в — Aphanizomenоn flos-aquae; г — Anabaena cylindrica; д — Oocystis parva; е — Scenedesmus quadricauda. 1 – Контроль 1; 2 – Контроль 2; 3 – 0.5% объема; 4 – 1.0%; 5 – 5.0%; 6 – 10.0%.
В случае с зелеными водорослями Oocystis parva и Scenedesmus quadricauda литическое действие фильтрата штамма SR–1.3 наблюдали только при его высокой концентрации — 10%. Однако в этом случае полного лизиса клеток не происходило, содержание Хл а по сравнению с контрольными вариантами было 16 и 20% соответственно. При меньшем содержании фильтрата (1 и 5%) содержание Хл а в клетках зеленых водорослей статистически достоверно не отличалось от контрольного варианта у Oocystis parva и было ниже на 40% (р <0.05) у Scenedesmus quadricauda при содержании фильтрата 5%.
Фильтрат микромицета Pеnicillum chrysogenum SR–1.3 оказывал влияние не только на рост токсигенных цианобактерий Microcystis aeruginosa и Planktothrix agardhii, но и на содержание микроцистинов в среде (рис. 5).
Рис. 5. Влияние фильтрата штамма SR–1.3 на содержание микроцистинов, нг/мл (ось ординат) в средах культивирования Microcystis aeruginosa 973 (а) и Planktothrix agardhii 1113 (б). 1 – MC-LR, 2 – dm-MC-LR, 3 – dm-MC-RR.
При культивировании токсигенного штамма Microcystis aeruginosa при добавлении фильтрата штамма SR–1.3 в количестве 10% содержание двух вариантов микроцистинов — MC-LR и его деметилированной формы dm-MC-LR — снизилось по сравнению с контрольным вариантом (без фильтрата микромицета) в >3 раза. При культивировании другого токсигенного штамма Planktothrix agardhii также отмечено снижение содержания основного токсина dm-MC-RR, продуцируемого штаммом. Его концентрация в среде, содержащей фильтрат штамма SR–1.3, снизилась по сравнению с контролем в 1.8 раза. Содержание другого детектированного в среде варианта токсина dm-MC-LR было невелико (0.3–0.4 нг/мл), и статистически достоверной разницы между опытным и контрольным вариантами не выявлено (р >0.05).
Результаты исследования процессов удаления микроцистина-LR штаммом Pеnicillum chrysogenum SR–1.3 представлены на рис. 6. Концентрация MC-LR статистически значимо не изменялась (р > 0.05) в абиотическом контроле (без клеток микромицета), что свидетельствует о биологической природе убыли микроцистина (рис. 6). В условиях роста культуры P. chrysogenum SR–1.3 отмечено снижение содержания MC-LR на 33.6% за 48 ч культивирования. При дальнейшем инкубировании концентрация токсина статистически значимо не изменялась. Следует отметить, что в исследуемой концентрации 1.2 мкг/мл микроцистин-LR не оказывал влияния на рост микромицета SR–1.3 (рис. 6, линии 3 и 4).
Рис. 6. Изменение концентрации MC-LR в среде культивирования Penicillum chrysogenum SR–1.3. 1 – абиотический контроль; 2 – мицелий штамма SR–1.3; 3 – рост штамма SR–1.3 на среде Чапека; 4 – рост штамма SR–1.3 на среде Чапека с 1.2 мкг/мл MC-LR.
ОБСУЖДЕНИЕ РЕЗУЛЬТАТОВ
Из образца воды, отобранного из оз. Сестрорецкий разлив, в период активной вегетации цианобактерий и содержащего семь структурных вариантов микроцистинов в количестве 2.86 мкг/л, выделен штамм аскомицета Penicillium chrysogenum SR–1.3, проявляющий альгицидные свойства и способный удалять из среды высокотоксичный микроцистин MC-LR. Ранее было известно только об одном штамме P. chrysogenum с альгицидными свойствами, выделенном из сельскохозяйственных прудов Китая. При внесении культуральной жидкости этого гриба в количестве 3.85–6.25% в среду культивирования Microcystis aeruginosa через 6 сут отмечено ингибирование роста цианобактерий на 69.56% по сравнению с контролем (Han et al., 2021). Выделенный нами штамм Pеnicillum chrysogenum SR–1.3 продемонстрировал более высокую альгицидную активность: в концентрации фильтрата 5% объема через 4 сут штамм SR–1.3 полностью лизировал клетки цианобактерий Microcystis aeruginosa и Planktothrix agardhii и на 70–75% разрушал клетки Aphanizomenon flos-aquae и Anabaena сylindrica.
По альгицидной активности штамм SR–1.3 уступает аскомицету Trichoderma citrinoviride Bissett, способному полностью лизировать клетки Microcystis aeruginosa через 24 ч и базидиомицетам Lopharia spadicea (Pers.) Boidin, Phanerochaete chrysosporium Burds, Trichaptum abietinum (Dicks.) Ryvarden, альгицидная активность которых достигала 100% за 39–48 ч (Jia et al., 2010; Mohamed et al., 2010; Wang et al., 2010; Zeng et al., 2015).
Альгицидное воздействие Pеnicillum chrysogenum SR–1.3 не является специфическим, поскольку происходит подавление роста и лизис как у исследуемых цианобактерий, так и у зеленых водорослей Oocystis parva и Scenedesmus quadricauda. В отличие от штамма SR–1.3, дрожжи Aureobasidium pullulans, аскомицет Trichoderma citrinoviride, лизируя 100% клеток Microcystis aeruginosa, не оказывали ингибирующего действия на зеленые и диатомовые водоросли родов Chlorella и Nitzschia (Mohamed et al., 2014, 2020).
Ингибирующее действие альгицидных микроорганизмов (бактерий, грибов) на цианобактерии и водоросли может происходить как в результате прямого контакта клеток (прямое воздействие), так и путем выделения в среду метаболитов, обладающих ингибирующими или лизирующими свойствами (непрямое воздействие). Контактный лизис клеток цианобактерий Microcystis aeruginosa выявлен у базидиальных грибов Irpex lacteus (Han et al., 2011), Phanerochaete chrysosporium (Zeng et al., 2015), Trichaptum abietinum (Jia et al., 2010). Большинство других альгицидных грибов оказывают ингибирующее действие на рост или лизис цианобактерий посредством секреции внеклеточных соединений, которые токсичны для их клеток. Эти соединения представлены литическими ферментами (целлюлаза, β-глюканаза, протеазы и др.) (Jia et al., 2010; Dai et al., 2018; Han et al., 2020; Mohamed et al., 2020), антибиотиками (цефалоспорин, пенициллин) (Redhead, Wright, 1978; Han et al., 2021) и другими неидентифицированными метаболитами грибов, вызывающими лизис цианобактериальных клеток.
Выделение штаммом SR–1.3 в среду экзометаболитов с альгицидными свойствами выявлено при его культивировании на среде Чапека. Низкий (3–6%) альгицидный эффект на цианобактерии и водоросли отмытого от среды Чапека мицелия штамма SR–1.3, по-видимому, объяснялся тем, что выделение им экометаболитов в среду BG11 было незначительным. Факт, что альгицидное действие мицелия штамма SR–1.3 существенно ниже ингибирующего воздействия фильтратов культуральной жидкости, может свидетельствовать о непрямом воздействии штамма SR–1.3 на клетки цианобактерий и зеленых водорослей путем экскреции в среду метаболитов, тормозящих рост и вызывающих их лизис. В рамках настоящей работы выделение и идентификацию альгицидных метаболитов Penicillium chrysogenum SR–1.3 не проводили, это будет предметом наших дальнейших исследований. Однако известно, что штаммы P. chrysogenum — продуценты пенициллинов, которые могут ингибировать рост и вызывать лизис клеток Microcystis aeruginosa (Han et al., 2021). Очевидно, спектр альгицидных метаболитов Penicillium chrysogenum SR–1.3 наряду с противобактериальными антибиотиками (возможно, пенициллинового ряда), будет включать и соединения, ингибирующие рост эукариотических зеленых водорослей.
Важное свойство альгицидных микроорганизмов — их способность влиять на процессы токсинообразования цианобактериями и накопление токсинов в среде, а также деградировать альготоксины. Известно, что альгицидные метаболиты аскомицета P. chrysogenum и базидиомицета Phanerochaete chrysosporium ингибируют экспрессию генов синтеза микроцистинов у Microcystis aeruginosa — mcyA, mcyB и mcyD, что приводит к снижению продуктивности синтеза микроцистина (Zeng et al., 2020; Han et al., 2021).
В настоящей работе показано, что при культивировании токсигенных штаммов M. aeruginosa и Planktothrix agardhii на среде, содержащей экзометаболиты штамма SR–1.3, концентрации микроцистинов (MC-LR, dm-MC-LR, dm-MC-RR) в среде снижаются по сравнению с контрольными вариантами в 3.3 и 1.8 раза соответственно. Вопрос, чем вызвано такое снижение — уменьшением продуктивности синтеза микроцистинов клетками цианобактерий и/или снижением их биомассы в среде — остается открытым и требует дальнейших исследований.
В нашем исследовании показано, что штамм Penicillium chrysogenum SR–1.3 способен в процессе культивирования снижать содержание токсичного микроцистина-LR в среде в течение первых 48 ч эксперимента с 1.2 мкг/мл до 0.79 мкг/мл. На данном этапе исследований мы не можем объяснить почти полное прекращение снижения концентраций MC-LR в среде культивирования штамма SR–1.3 через 48 ч. Для этого необходимо провести изучение влияния MC-LR на физиологию микромицета SR–1.3. По нашим данным, MC-LR вызывает у микромицетов рода Penicillium окислительный стресс даже при отсутствии ингибирования их роста (Kuzikova et al., 2023). Вопрос о механизме снижения концентрации MC-LR в среде (биодеструкция и/или биоаккумуляция) в присутствии P. chrysogenum SR–1.3 остается открытым.
Ранее была показана способность деградировать микроцистины зигомицетом Mucor hiemalis (Esterhuizen-Londt et al., 2017), аскомицетом Trichoderma citrinoviride (Mohamed et al., 2014) и базидиомицетами Schizophyllum commune, Phanerochaete chrysosporium, Trichaptum abietinum (Jia et al., 2010, 2011, 2012; Zhang, Xie, 2012; Zeng et al., 2020). Следует отметить, что из их числа только три культуры — Trichoderma citrinoviride, Trichaptum abietinum и Phanerochaete chrysosporium обладают альгицидными свойствами по отношению к цианобактериям.
ЗАКЛЮЧЕНИЕ
Из воды оз. Сестрорецкий разлив выделен штамм Penicillium chrysogenum SR–1.3, обладающий альгицидными свойствами и способный удалять из среды культивирования высокотоксичный микроцистин-LR. Ингибирование роста и лизис цианобактерий и зеленых водорослей обусловлены экзометаболитами, выделяемыми штаммом SR–1.3 в среду. Определение возможного механизма снижения концентрации микроцистина-LR в среде в присутствии P. chrysogenum SR–1.3 (биодеструкция и/или биоаккумуляция) требует дополнительных исследований. Способность P. chrysogenum SR–1.3 ингибировать рост и лизировать клетки цианобактерий, а также снижать концентрацию растворенного в среде микроцистина-LR позволяет рассматривать его в качестве кандидата для дальнейших исследований в процессах биоконтроля в водных объектах массового развития цианобактерий, в т. ч. токсигенных.
ФИНАНСИРОВАНИЕ
Работа выполнена при поддержке гранта Российского научного фонда № 23-24-00140.
[*] Сокращения. Хл а — хлорофилл а.
2 абсолютно сухая биомасса
About the authors
N. G. Medvedeva
St. Petersburg Federal Research Center of the Russian Academy of Sciences, Scientific Research Centre for Ecological Safety of the Russian Academy of Sciences
Author for correspondence.
Email: ngmedvedeva@gmail.com
Russian Federation, St. Petersburg
T. B. Zaytseva
St. Petersburg Federal Research Center of the Russian Academy of Sciences, Scientific Research Centre for Ecological Safety of the Russian Academy of Sciences
Email: ngmedvedeva@gmail.com
Russian Federation, St. Petersburg
I. L. Kuzikova
St. Petersburg Federal Research Center of the Russian Academy of Sciences, Scientific Research Centre for Ecological Safety of the Russian Academy of Sciences
Email: ngmedvedeva@gmail.com
Russian Federation, St. Petersburg
O. G. Timofeeva
St. Petersburg Federal Research Center of the Russian Academy of Sciences, Scientific Research Centre for Ecological Safety of the Russian Academy of Sciences
Email: ngmedvedeva@gmail.com
Russian Federation, St. Petersburg
I. S. Chernov
St. Petersburg Federal Research Center of the Russian Academy of Sciences, Scientific Research Centre for Ecological Safety of the Russian Academy of Sciences
Email: ngmedvedeva@gmail.com
Russian Federation, St. Petersburg
References
- Воякина Е.Ю., Русских Я.В., Чернова Е.Н., Жаковская З.А. 2020. Токсичные цианобактерии и их метаболиты в водоемах Северо-Запада России // Теоретическая и прикладная экология. Т. 1. С. 124.
- Зайцева Т.Б., Медведева Н.Г. 2022. Влияние биогенных элементов на рост нитчатых цианобактерий — возбудителей “цветения” воды — и синтез ими метаболитов // Биология внутр. вод. № 3. С. 290. https://doi.org/10.31857/S0320965222030196
- Медведева Н.Г., Зайцева Т.Б., Кузикова И.Л., Чернова Е.Н. 2023. Биодеструкция микроцистина–LR автохтонной микробиотой разнотипных водных объектов Северо-Запада России // Изв. РАН. Серия биол. № 3. С. 687. https://doi.org/10.31857/S1026347022600820
- Chernova E., Russkikh I., Voyakina E., Zhakovskaya Z. 2016. Occurrence of microcystins and anatoxin-a in eutrophic lakes of Saint Petersburg, Northwestern Russia // Oceanol. Hydrobiol. V. 45. № 4. https://doi.org/10.1515/ohs-2016-0040
- Chorus I., Bartram J. 1999. Toxic cyanobacteria: a guide to their public health consequences monitoring and management. London: CRC Press.
- Christoffersen K., Lyck S., Winding A. 2002. Microbial activity and bacterial community structure during degradation of microcystins // Aquat. Microb. Ecol. V. 27. № 2. P. 125. https://doi.org/10.3354/ame027125
- Cyanobacterial toxins: microcystins. 2020. Background document for development of WHO Guidelines for drinking-water quality and Guidelines for safe recreational water environments. Geneva: World Health Organization 2020 (WHO/HEP/ECH/WSH/2020.6). Licence: CC BY-NCSA 3.0 IGO.
- Dai W., Chen X., Wang X. et al. 2018. The Algicidal fungus Trametes versicolor F21a eliminating blue algae via genes encoding degradation enzymes and metabolic pathways revealed by transcriptomic analysis // Front Microbiol. V. 9. P. 826. https://doi.org/10.3389/fmicb.2018.00826
- Dziga D., Maksylewicz A., Maroszek M. et al. 2017. The biodegradation of microcystins in temperate freshwater bodies with previous cyanobacterial history // Ecotoxicol. Environ. Saf. V. 145. P. 420. https://doi.org/10.1016/j.ecoenv.2017.07.046
- Esterhuizen-Londt M., Hertel S., Pflugmacher S. 2017. Uptake and biotransformation of pure commercial microcystin-LR versus microcystin-LR from a natural cyanobacterial bloom extract in the aquatic fungus Mucor hiemalis // Biotechnol. Lett. V. 39. № 10. P. 1537. https://doi.org/10.1007/s10529-017-2378-2
- Jeffrey S.W., Humprhråy G.E. 1975. New spectrophotometric equations for determining chlorophylls a, b, c1 and c2 in higher plants, algae and natural phytoplankton // Biochim. and Physiol. Pflanz. Bd. V. 167. № 2. P. 191. https://doi.org/10.1016/s0015-3796(17)30778-3
- Jia Y., Du, J., Song F. et al. 2012. A fungus capable of degrading microcystin-LR in the algal culture of Microcystis aeruginosa PCC7806 // Appl. Biochem. Biotechnol. V. 166. № 4. P. 987. https://doi.org/10.1007/s12010-011-9486-6
- Jia Y., Han G., Wang C. et al. 2010. The efficacy and mechanisms of fungal suppression of freshwater harmful algal bloom species // J. Hazard. Mater. V. 183. № 1–3. P. 176. https://doi.org/10.1016/j.jhazmat.2010.07.009
- Jia Y., Wang C., Zhao G. et al. 2011. The possibility of using cyanobacterial bloom materials as a medium for white rot fungi // Lett. Appl. Microbiol. V. 54. № 2. P. 96. https://doi.org/10.1111/j.1472-765x.2011.03178.x
- Han G., Feng X., Jia Y. et al. 2011. Isolation and evaluation of terrestrial fungi with algicidal ability from Zijin Mountain, Nanjing, China // J. Microbiol. V. 49. № 4. P. 562. https://doi.org/10.1007/s12275-011-0496-4
- Han G., Ma H., Ren S. et al. 2020. Insights into the mechanism of cyanobacteria removal by the algicidal fungi Bjerkandera adusta and Trametes versicolor // Microbiol. Open. https://doi.org/10.1002/mbo3.1042
- Han S., Zhou Q., Lilje O. et al. 2021. Inhibition mechanism of Penicillium chrysogenum on Microcystis aeruginosa in aquaculture water // J. Clean. Prod. V. 299. Article 126829. https://doi.org/10.1016/j.jclepro.2021.126829
- Kong Y., Wang Y., Miao L. et al. 2022. Recent Advances in the Research on the Anticyanobacterial Effects and Biodegradation Mechanisms of Microcystis aeruginosa with Microorganisms // Microorganisms. V. 10. Article 1136. https://doi.org/10.3390/microorganisms10061136
- Koreivienė J., Belous O., Kasperovičienė J. 2013. Variations of microcystins in freshwater ecosystems // Bot. Lith. V. 19(2). P. 139. https://doi.org/10.2478/botlit-2013-0017
- Kumar S., Stecher G., Li M. et al. 2018. MEGA X: Molecular evolutionary genetics analysis across computing platforms // Mol. Biol. Evol. V. 35. № 6. P. 1547. https:///
- Kuzikova I., Safronova V., Zaytseva T., Medvedeva N. 2017. Fate and effects of nonylphenol in the filamentous fungus Penicillium expansum isolated from the bottom sediments of the Gulf of Finland // J. Mar. Syst. V. 171. P. 111 https://doi.org/10.1016/j.jmarsys.2016.06.003
- Kuzikova I., Zaytseva T., Chernova E. et al. 2023. Algicidal activity and microcystin-LR destruction by a novel strain Penicillium sp. GF3 isolated from the Gulf of Finland (Baltic Sea) // Toxins. V. 15. P. 607. https://doi.org/10.3390/ toxins15100607
- Lezcano M.Á., Quesada A., El-Shehawy R. 2018. Seasonal dynamics of microcystin-degrading bacteria and toxic cyanobacterial blooms: interaction and influence of abiotic factors // Harmful Algae. V. 71. P. 19. https://doi.org/10.1016/j.hal.2017.11.002
- Li J., Li R., Li J. 2017. Current research scenario for microcystins biodegradation — a review on fundamental knowledge, application prospects and challenges // Sci. Total Environ. V. 595. P. 615. https://doi.org/10.1016/j.scitotenv.2017.03.285
- Massey I.Y., Yang F.A. 2020. Mini review on microcystins and bacterial degradation // Toxins. V. 12(4). P. 268. https://doi.org/10.3390/toxins12040268
- Medvedeva N.G., Kuzikova I.L. 2021. Microcystin-LR degradation by indigenous bacterial community of Rybinsk reservoir // IOP Conference Ser. “Earth and Environmental Science”. V. 834. № 1. Article 012066. https://doi.org/10.1088/1755-1315/834/1/012066
- Mohamed Z.A., Alamri S., Hashem M., Mostafa Y. 2020. Growth inhibition of Microcystis aeruginosa and adsorption of microcystin toxin by the yeast Aureobasidium pullulans, with no effect on microalgae // Environ. Sci. Pollut. Res. https://doi.org/10.1007/s11356-020-09902-x
- Mohamed Z.A., Hashem M., Alamri S.A. 2014. Growth inhibition of the cyanobacterium Microcystis aeruginosa and degradation of its microcystin toxins by the fungus Trichoderma citrinoviride // Toxicon. V. 86. P. 51. https://doi.org/10.1016/j.toxicon.2014.05.008
- Mohamed Z.A., Hashem M., Alamri S. et al. 2021. Fungal biodegradation and removal of cyanobacteria and microcystins: potential applications and research needs // Environ. Sci. Pollut. Res. V. 28. № 28. P. 37041. https://doi.org/10.1007/s11356-021-14623-w
- Rastogi R.P., Sinha R.P., Incharoensakdi A. 2014. The cyanotoxin-microcystins: current overview // Rev. Environ. Sci. Biotechnol. V. 13. P. 215. https://doi.org/10.1007/s11157-014-9334-6
- Redhead K., Wright S.J. 1978. Isolation and properties of fungi that lyse blue-green algae // Appl. Environ. Microbiol. V. 35. № 35. P. 962. https://doi.org/10.1128/AEM.35.5.962-969.1978
- Sutton D.A., Fothergill A.W., Rinaldi M.G. 1998. Guide to clinically significant fungi. Baltimore: Williams & Wilkins.
- Wang Q., Su M., Zhu W. et al. 2010. Growth inhibition of Microcystis aeruginosa by white-rot fungus Lopharia spadicea // Water Sci. Technol. V. 62. № 2. P. 317. https://doi.org/10.2166/wst.2010.214
- Zeng G., Gao P., Wang J. et al. 2020. Algicidal Molecular Mechanism and Toxicological Degradation of Microcystis aeruginosa by White-Rot Fungi // Toxins. V. 12(6). P. 406. https://doi.org/10.3390/toxins12060406
- Zeng G., Wang P., Wang Y. 2015. Algicidal efficiency and mechanism of Phanerochaete chrysosporium against harmful algal bloom species // Algal Res. V. 12. P. 182. https://doi.org/10.1016/j.algal.2015.08.019
- Zhang Y., Xie H.F. 2012. Study on biodegradation of microcystin-LR by white-rot fungus S. commune // Environ. Pollut. Control J. V. 34. P. 56.
- Zhou C., Chen H., Zhao H., Wan Q. 2021. Microcystin biosynthesis and toxic effects // Algal. Res. V. 55. Article 102277. https://doi.org/10.1016/j.algal.2021.102277
Supplementary files








