Phytoplankton change along the length of the Ural River under conditions of eutrophication
- Authors: Goncharov A.V.1, Sakharova E.G.2, Frolova N.L.1, Polyanin V.O.3
-
Affiliations:
- Lomonosov Moscow State University
- Papanin Institute for Biology of Inland Waters, Russian Academy of Sciences
- Institute of Water Problems of the Russian Academy of Sciences
- Issue: Vol 17, No 1 (2024)
- Pages: 108-114
- Section: Articles
- URL: https://journals.rcsi.science/0320-9652/article/view/261529
- DOI: https://doi.org/10.31857/S0320965224010094
- EDN: https://elibrary.ru/zacjwc
- ID: 261529
Cite item
Full Text
Abstract
For the first time, the change of phytoplankton along the length of the Ural River from Verkhneuralsk to Orenburg (on a site of more than 1000 km) was studied. A powerful eutrophying effect of Magnitogorsk on the river for more than 150 km has been revealed. It manifests itself in the fact that the phytoplankton biomass in this area increases greatly, averaging about 15 mg/ l (with the dominance of cyanobacteria Microcystis aeruginosa), and the species diversity index (Shannon index), on the contrary, reaches extremely low values of 0.25. This indicates a significant oppression of the plankton community and deterioration of water quality. In the Ural River above this site (from Verkhneuralsk to Magnitogorsk reservoir), as well as below it (from Orsk to Orenburg), phytoplankton indicators correspond to the usual values: biomass is 1.6–1.7 mg/l, Shannon index is 3.3–3.5 (on average for each site). This suggests that the conditions for the existence of plankton in the upper and lower areas are favorable. At the same time, the sites differ in the composition of algae: the first is dominated by diatoms, the second is predominantly green. Perhaps this is due to geographical factors: in the north, the Urals flows in the forest-steppe zone, and in the south it passes into the steppe.
Full Text
ВВЕДЕНИЕ
Урал — одна из наиболее крупных рек Европы, по протяженности — третья после рек Волга и Дунай. Однако по своей водности она находится примерно на сороковом месте. Физико-географические условия формирования стока таковы, что средний годовой расход воды в р. Урал почти в 20 раз меньше, чем в р. Волга (Вода…, 2000). Кроме того, сток реки распределен крайне неравномерно — 70–80% его приходится на весенний период (Магрицкий и др., 2018). Это создает проблемы для экономики и проживающего здесь населения (Eremkina et al., 2022).
Верховья р. Урал расположены в лесостепной зоне, основная часть — в степной, т.е. в районах с разными природно-климатическими условиями (Чибилев, 2008). На реке расположены крупные города — Магнитогорск, Орск, Оренбург. Имеются крупнейшие предприятия горнодобывающей и перерабатывающей промышленности. Поэтому можно ожидать, что сравнительно маловодная река в условиях сильного техногенного воздействия может сильно загрязняться. Значительное влияние на фитопланктон могут оказать и достаточно крупные водохранилища — Верхнеуральское, Магнитогорское, Ириклинское.
Гидробиологическому изучению р. Урал уделяли мало внимания (Гареев, Фатхутдинова, 2017). Если по р. Волга совершаются ежегодные экспедиции Института биологии внутренних вод РАН (Минеева и др., 2016; Минеева и др., 2022), то по р. Урал имеются лишь отдельные работы, где в разные периоды времени рассмотрен планктон некоторых участков: Орск–Оренбург–Илек (Гидробиология …, 1971; Алехина и др., 2019), в районе Ириклинского водохранилища (Соловых, 2003; Джаяни, 2020).
Цель работы — исследовать состояние фитопланктона по длине р. Урал от г. Верхнеуральск до г. Оренбург (>1000 км) в условиях антропогенного воздействия.
МАТЕРИАЛ И МЕТОДЫ ИССЛЕДОВАНИЯ
Материал собирали в межень 16–24 августа 2022 г. в пределах российской части бассейна р. Урал (рис. 1, табл. 1). Ширина реки в местах сбора изменялась от 15–20 м в районе г. Верхнеуральск до 100 м ниже г. Оренбург (у пос. Шуваловка). Скорость течения — от 0.1 м/с до 0.6 м/c (в среднем 0.3 м/с). Донные отложения, преимущественно, гравийно-галечно-песчаные. Обследование проводили при одинаковых гидрометеорологических условиях, характеризующихся теплой погодой и отсутствием осадков. Температура воды была в пределах 19–25°C (в разное время суток); ниже Ириклинского водохранилища — 15°C (влияние донного водоспуска).
Рис. 1. Схема расположения пунктов обследования (1-14) р. Урал в августе 2022 г.
Таблица 1. Расположение пунктов обследования р. Урал в августе 2022 г.
Станция | Местонахождение | Координаты: с.ш., в.д. |
1 | Выше г. Верхнеуральск | 53.88978455, 59.18213798 |
2 | Выше пос. Кожанов | 53.798839995, 59.119796005 |
3 | Верхнеуральское вдхр. | 53.592291995, 59.14991198 |
4 | Выше моста к пос. Верхнекизильское | 53.536177962, 59.077050995 |
5 | Магнитогорское вдхр. | 53.327256940, 59.049577995 |
6 | 1.5 км ниже Магнитогорского вдхр. | 53.310446967, 59.089695011 |
7 | пос. Янгельский | 53.128301973, 58.993038005 |
8 | Ниже пос. Пролетарка | 52.763030984, 58.912224005 |
9 | Выше пос. Урал | 52.276300984, 58.904526984 |
10 | Ниже Ириклинского вдхр. | 51.632637962, 58.609624016 |
11 | Выше г. Орск | 51.344527951, 58.748571005 |
12 | Ниже г. Орск | 51.239299962, 57.342448016 |
13 | Выше г. Оренбург | 51.718526038, 55.288837016 |
14 | Ниже г. Оренбург (ниже пос. Шуваловка) | 51.729849984, 54.649127005 |
Участки обследования выбирали выше и ниже основных источников антропогенного воздействия. Пробы воды для определения фитопланктона отбирали батометром из поверхностного горизонта (0.3 м) в одной точке (для каждой станции) посередине реки, фиксировали раствором Люголя с добавлением формалина и ледяной уксусной кислоты.
Фитопланктон концентрировали прямой фильтрацией под слабым давлением последовательно через мембранные фильтры “Владипор” с диаметром пор 5 и 1.2 мкм. Далее пробы сгущали до объема 5 мл и повторно фиксировали. Водоросли подсчитывали в камере Нажотта, биомассу фитопланктона определяли с помощью счетно-объемного метода (Методика…, 1975). Для получения линейных размеров измеряли клетки каждого встреченного организма. Видовое разнообразие фитопланктона оценивали с помощью индексов Шеннона и Пиелу (Одум, 1986), сапробность — по Пантле и Букку в модификации Сладечека (Sladecek, 1973). Отнесение видов к зонам сапробности проводили по Р. Веглу (Wegl, 1983).
РЕЗУЛЬТАТЫ ИССЛЕДОВАНИЯ
Состав и количественные характеристики фитопланктона. В составе фитопланктона р. Урал выявлено 150 видов и форм водорослей. Наибольшим видовым богатством характеризовался отдел зеленых водорослей (Chlorophyta) – 79 видов, 36 видов относилось к отделу диатомовых водорослей (Bacillariophyta), 16 – цианобактерий (Cyanophyta), шесть — золотистых (Chrysophyta), пять — криптофитовых (Cryptophyta), по три вида — к отделам эвгленовых (Euglenophyta) и динофитовых (Dinophyta), два — желто-зеленых (Xantophyta) водорослей.
Наиболее выраженное развитие микроводорослей зарегистрировано в верхнем бьефе Магнитогорского вдхр. (особенно в его приплотинной части) и на участке протяженностью ~150 км ниже по течению реки (рис. 2), где биомасса фитопланктона изменялась от 10.9 мг/л на ст. 6 (в 1.5 км ниже плотины Магнитогорского вдхр.) до 23 мг/л на ст. 7 (у пос. Янгельский). Полученные значения соответствуют гипертрофному состоянию водных объектов, что неблагоприятным образом сказывается на качестве воды и условиях существования водных организмов. Анализ соотношения основных групп водорослей показал, что на рассматриваемом участке реки цветение вызвано цианобактериями, среди которых доминирует один вид — Microcystis aeruginosa (рис. 3).
Рис. 2. Биомасса (а) и численность (б) фитопланктона в воде р. Урал (август 2022 г.).
Рис. 3. Относительная доля (%) основных отделов водорослей в численности (а) и биомассе (б) фитопланктона р. Урал (август 2022 г.).
Для р. Урал в целом прослеживается пространственная неоднородность в составе фитопланктона. Это видно по доминирующим видам, представленным в табл. 2. Выше участка между Магнитогорским и Ириклинским водохранилищами (где получили массовое развитие цианобактерии), преобладали диатомовые водоросли, ниже распространены преимущественно, зеленые (рис. 3). И в том, и в другом случае биомасса фитопланктона была невелика — в пределах 0.2–4.2 мг/л (рис. 2).
Таблица 2. Список доминирующих видов фитопланктона (≥10% общей биомассы) различных участков р. Урал
Таксон | Станция | |||||||||||||
1 | 2 | 3 | 4 | 5 | 6 | 7 | 8 | 9 | 10 | 11 | 12 | 13 | 14 | |
Cyanophyta |
|
|
|
|
|
|
|
|
|
|
|
|
|
|
Microcystis aeruginosa (Kützing) Kützing | – | – | – | – | + | + | + | + | + | – | – | – | – | – |
Bacillariophyta |
|
|
|
|
|
|
|
|
|
|
|
|
|
|
Aulacoseira granulata (Ehrenberg) Simonsen | – | – | + | – | – | – | – | – | – | – | – | – | – | – |
Cocconeis placentula Ehrenberg | + | – | – | + | – | – | – | – | – | – | + | – | – | + |
Cyclotella meneghiniana Kützing | – | + | – | – | – | – | – | – | – | – | – | – | – | – |
Fragilaria crotonensis Kitton | – | – | + | – | – | – | – | – | – | – | – | – | – | – |
Gyrosigma acuminatum (Kützing) Rabenhorst | – | + | – | – | – | – | – | – | + | – | – | – | + | – |
Navicula capitatoradiata H. Germain ex Gasse | – | + | – | – | – | – | – | – | – | – | – | – | – | – |
Cryptophyta |
|
|
|
|
|
|
|
|
|
|
|
|
|
|
Chroomonas acuta Utermöhl | – | – | – | + | – | – | – | – | – | – | – | – | – | – |
Cryptomonas curvata Ehrenberg | – | – | – | + | – | – | – | – | – | – | – | – | – | – |
Dinophyta |
|
|
|
|
|
|
|
|
|
|
|
|
|
|
Peridiniopsis sp. | + | – | – | – | – | – | – | – | – | – | – | + | + | – |
Chlorophyta |
|
|
|
|
|
|
|
|
|
|
|
|
|
|
Chlamydomonas sp. | – | – | – | – | – | – | – | – | – | – | – | – | + | + |
Dictyosphaerium pulchellum H.C. Wood | – | – | – | – | – | – | – | – | – | – | – | – | + | – |
Mougeotia sp. | – | – | – | – | – | – | – | – | – | – | + | + | – | – |
Spyrogira sp. |
| – | – | – | – | – | – | – | – | + | – | – | – | – |
Примечание. “+” – присутствие вида, “–” – отсутствие.
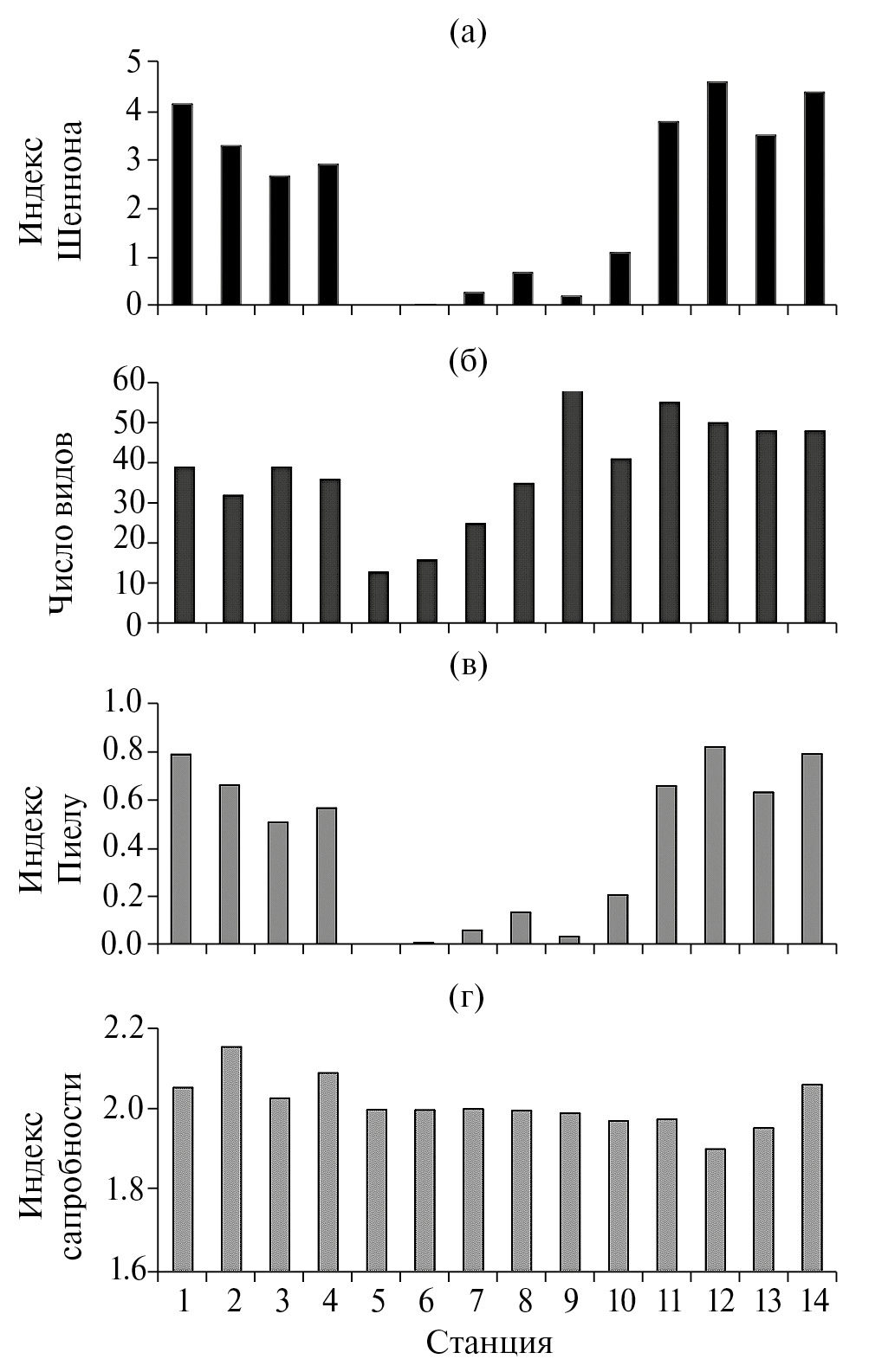
Видовое разнообразие фитопланктона и сапробность. Один из наиболее важных показателей экологического состояния водных объектов — индекс видового разнообразия (индекс Шеннона). Считается, что видовое разнообразие увеличивается при улучшении условий существования организмов. На рис. 4a видно, что в средней части р. Урал наблюдаются чрезвычайно низкие значения этого показателя, свидетельствующее, что фитопланктон находится здесь в угнетенном состоянии из-за эвтрофирования реки, начинающегося от Магнитогорского вдхр.
Рис. 4. Индекс Шеннона (а), число видов (б), индекс Пиелу (в) и индекс сапробности (г) по фитопланктону р. Урал (август 2022 г.).
Индекс Шеннона, по существу, включает в себя две характеристики: число видов (видовое богатство) и выровненность сообщества, определяемую индексом Пиелу, который принимает наибольшее значение, если все особи сообщества относятся к разным видам, наименьшее — когда все особи принадлежат одному виду (Magurran, 1988). Число видов, найденных на отдельных участках р. Урал, сильно снижается в Магнитогорском вдхр. и затем постепенно восстанавливается до первоначальных значений вплоть до пос. Пролетарка (рис. 4б). Наблюдаемое снижение числа видов не столь значительное, как у индекса Шеннона. Между тем, вторая составляющая этого показателя — индекс Пиелу –почти повторяет изменения индекса Шеннона (рис. 4в) и, таким образом, вносит основной вклад в его величину. Следует учитывать, что малые значения индекса Пиелу обусловлены подавляющим доминированием одного вида — Microcystis aeruginosa.
Низкое значение индекса Шеннона ниже Ириклинского вдхр. (1.1) – (рис. 4а) обусловлено низкой выровненностью сообщества — индекс Пиелу 0.21 (рис. 4в). Это вызвано доминированием цианобактерий, поступающих из водохранилища (в самом водоеме пробы мы не отбирали).
Индекс сапробности изменяется в р. Урал в небольшом диапазоне — от 1.9 до 2.2 (рис. 4г). Вопреки ожиданиям, сапробность в Магнитогорском вдхр. и ниже него не увеличивается. Наибольшие значения (>2.0) наблюдаются выше Магнитогорского вдхр. и затем ниже г. Оренбург.
ОБСУЖДЕНИЕ РЕЗУЛЬТАТОВ
Анализ полученных результатов позволяет выделить на р. Урал три участка: от г. Верхнеуральск до Магнитогорского вдхр.; между г. Магнитогорск и Ириклинским вдхр.; от станции выше г. Орск до г. Оренбург. Исключение — ст. 10, ниже Ириклинского вдхр., где очень мал индекс Шеннона (1.1), здесь планктон трансформирован, поскольку поступает через донный водоспуск с большой глубины водоема ~30 м (Чибилев и др., 2006).
Для выделенных участков получены средние значения основных показателей — биомассы и видового разнообразия фитопланктона. Представленные на рис. 5 результаты отражают основную особенность изменения фитопланктона по длине р. Урал — в средней части на расстоянии >150 км распространяется мощное эвтрофирующее воздействие г. Магнитогорска. Ярко проявляется известная экологическая закономерность, что при эвтрофировании водных объектов биомасса в них возрастает, а видовое разнообразие снижается (Алимов, 2000, Begon et al., 1986).
Рис. 5. Биомасса (1) и видовое разнообразие фитопланктона (индекс Шеннона) (2) на трех участках р. Урал: участок I — выше г. Магнитогорск, участок II — г. Магнитогорск — Ириклинское вдхр., участок III — ниже Ириклинского вдхр.
Биомасса фитопланктона на среднем участке составила ~15 мг/л, индекс видового разнообразия Шеннона принимал экстремально низкие значения — в среднем 0. 25, что свидетельствует о неблагополучном состоянии фитопланктона. Водоросли на данном участке поступают из Магнитогорского вдхр. и испытывают дополнительное развитие в реке под влиянием биогенных веществ, приходящих со сточными водами г. Магнитогорск. Сходная ситуация наблюдалась нами в 2015 г. на р. Дон ниже Воронежского водохранилища, когда биомасса фитопланктона в реке достигала 30–40 мг/л; основную часть водорослей тогда тоже представлял Microcystis aeruginosa (Киреева и др., 2018). Метаболиты этой широко распространенной водоросли способны оказывать токсичное воздействие на клетки печени и представляют серьезную угрозу для здоровья животных и человека (Kuiper-Goodman et al., 1999; Microalgae…, 2018).
Сходные результаты получены А.Г. Охапкиным по данным многолетних исследований рек Средней Волги: “при зарегулировании стока рек плотинами ГЭС, видовое разнообразие фитопланктона закономерно снижается, отражая процесс упрощения структуры фитопланктона…” (Охапкин, 1997, стр.43).
Насколько обычна для р. Урал рассматриваемая ситуация — сказать трудно, поскольку данные по фитопланктону эвтрофируемого участка в литературе не обнаружены. Вместе с тем, река здесь маловодная и испытывает очень сильное воздействие г. Магнитогорск. Сброс с очистных сооружений города составляет ~2 м3/с, а расход воды в р. Урал на рассматриваемом участке в период обследования – ~3 м3/с. При таком соотношении очевидно, что самоочищения реки недостаточно, чтобы справиться с потоком сточных вод. Содержащиеся в них биогенные вещества вызывают эвтрофирование. Примерно половина сточных вод сбрасывается в водохранилище, часть — в реку. Вследствие этого, в Магнитогорском вдхр. и в р. Урал ниже его (у г. Богдановское) вода характеризуются как “грязная” (4 класс разрядов “а” и “б” по индексу УКИЗВ (удельный комбинаторный индекс загрязненности воды). Превышения отмечены по меди (3–6 ПДК), цинку (2–6 ПДК), марганцу (6–13 ПДК), нитритам (до 15 ПДК). (Качество…, 2022).
Сильное развитие цианобактерий в Магнитогорском вдхр. с высокой вероятностью определяется совокупностью факторов антропогенного воздействия, среди которых можно выделить наличие крупнейшего промышленного центра, сбросы сточных вод хозяйственно-бытовой канализации г. Магнитогорск и диффузное загрязнение в виде выпусков ливневых и дренажных вод с городской территории. Механизм поступления в водоем загрязняющих (в т.ч. биогенных) веществ, вызывающих эвтрофирование, а также оценка их количества требуют дальнейшего уточнения.
Рассматривая состав фитопланктона на разных участках, можно обратить внимание на то, что верхний участок реки характеризуется преобладанием по биомассе диатомовых водорослей (Aulacoseira granulata, Gyrosigma acuminatum, Fragilaria crotonensis, Cyclotella meneghiniana). На втором участке доминируют цианобактерии Microcystis aeruginosa. На третьем развиты зеленые (Mougeotia sp., Dictyosphaerium pulchellum, Chlamydomonas sp.) и в меньшей степени — диатомовые.
Можно предположить, что различия в составе фитопланктона верхнего участка реки и нижнего связаны с природными условиями, поскольку первый из них располагается в лесостепной зоне, второй — в степной; расстояние между ними – >550 км (от г. Верхнеуральск до г. Орск по руслу реки). То, что в реках северных районов обычно преобладают диатомовые водоросли, а южных — зеленые, отмечал А. С. Константинов (1986).
Кроме того, число видов на нижнем участке больше, чем на верхнем (в среднем 50.3 против 36.5), что соответствует известной закономерности увеличения числа видов при увеличении площади водосборного бассейна реки (Алимов, 2000).
Все полученные значения индексов сапробности (рис.4г) укладываются в рамки одной зоны сапробности (1.5–2.5) – характеризуя водные объекты, как умеренно загрязненные. Это можно рассматривать как свидетельство того, что источников бытовых сточных вод здесь немного, а те, что есть, проходят очистку.
ЗАКЛЮЧЕНИЕ
Результаты проведенного в августе 2022 г. исследования позволяют выделить на р. Урал три участка: от г. Верхнеуральск до Магнитогорского вдхр., между Магнитогорским и Ириклинским водохранилищами, от пункта выше г. Орск до г. Оренбург. Средняя часть р. Урал (от Магнитогорского до Ириклинского вдхр.) находится под мощным эвтрофирующим воздействием г. Магнитогорск. Биомасса фитопланктона здесь достигала в среднем ~15 мг/л (доминируют цианобактерии). Индекс видового разнообразия Шеннона принимал очень низкие значения — 0.25 (в среднем), что свидетельствовало о неблагополучном состоянии фитопланктона. Условия развития фитопланктона на верхнем (выше г. Магнитогорск) и нижнем (Орск–Оренбург) участках в целом благоприятны. Об этом свидетельствует биомасса фитопланктона 1.6–1.7 мг/л и индекс Шеннона 3.3–3.5. На верхнем участке реки преобладают диатомовые водоросли, на нижнем — зеленые. Такое распределение, по-видимому, определяется физико- географическими особенностями р. Урал, протекающей в субмеридиональном направлении, при этом первый (более северный) участок находится в лесостепной зоне, а второй — в степной. Индексы сапробности по фитопланктону для всей реки варьируют в узком диапазоне 1.90–2.16 (в среднем — 2.01), что соответствует “умеренному загрязнению”.
ФИНАНСИРОВАНИЕ
Государственный контракт № 0173100011 322000002 от 30.03.2022 г. на выполнение научно-исследовательской работы по теме: “Экологическая оценка последствий регулирования стока в трансграничном бассейне трансграничной реки Урал (Жайык) и разработка научно-обоснованных предложений по экологической реабилитации, сохранению и восстановлению трансграничной реки Урал (Жайык)” шифр 22-14‑НИР/01.
Госзадание НИР кафедры гидрологии суши географического факультета МГУ им. М.В. Ломоносова (№ ЦИТИС: 121051400038-1).
Государственное задание № 121051100099-5.
Междисциплинарная научно-образовательная школа МГУ им. М.В. Ломоносова “Будущее планеты и глобальные изменения окружающей среды”.
About the authors
A. V. Goncharov
Lomonosov Moscow State University
Author for correspondence.
Email: mama15333@mail.ru
Russian Federation, Moscow
E. G. Sakharova
Papanin Institute for Biology of Inland Waters, Russian Academy of Sciences
Email: mama15333@mail.ru
Russian Federation, Borok, Nekouzskii raion, Yaroslavl oblast
N. L. Frolova
Lomonosov Moscow State University
Email: mama15333@mail.ru
Russian Federation, Moscow
V. O. Polyanin
Institute of Water Problems of the Russian Academy of Sciences
Email: mama15333@mail.ru
Russian Federation, Moscow
References
- Алехина Г.П., Мисетов И.А., Верхошенцева Ю.П. 2019. Сезонная динамика в структуре альго-бактериопланктона среднего течения реки Урал в районе города Оренбурга // Матер. Всерос. науч.-практ. конф., посвященной 275-летию Оренбургской Губернии и 85-летию Оренбургской области “Оренбургские горизонты: прошлое, настоящее, будущее”. Оренбург. С. 285.
- Алимов А.Ф. 2000. Элементы теории функционирования водных экосистем. СПб.: Наука.
- Вода России. Речные бассейны. 2000. Екатеринбург: АКВА-ПРЕСС.
- Гареев А.М., Фатхутдинова Р.Ш. 2017. Основные этапы изучения гидролого-экологических характеристик водотоков в бассейне реки Урал (в пределах Российской Федерации) // Водное хозяйство России. № 5. С. 4. https://doi.org/10.35567/1999-4508-2017-5-1
- Гидробиология реки Урал. 1971. Челябинск: Южно- Уральское кн. изд-во.
- Джаяни Е.А. 2020. Фитопланктон проточного и зарегулированного участков р. Урал в разные сезоны // Поволжский экол. журн. № 1. С. 31. https://doi.org/10.35885/1684-7318-2020-1-31-43
- Качество поверхностных вод Российской федерации. Ежегодник. 2021. Ростов-на-Дону: Изд-во ФГБУ “Гидрохим. ин-т”.
- Киреева М.Б., Илич В.П., Гончаров А.В. и др. 2018. Влияние маловодья 2007–2015 гг. в бассейне р. Дон на состояние водных экосистем // Вестн. Москов. ун-та. Серия 5. № 5. С. 3.
- Константинов А.С. 1986. Общая гидробиология. М.: Высш. шк.
- Магрицкий Д.В., Евстигнеев В.М., Юмина Н.М. и др. 2018. Изменения стока в бассейне р. Урал // Вестн. Москов. ун-та. Серия 5. География. № 1. С. 90.
- Методика изучения биогеоценозов внутренних водоемов. 1975. М.: Наука.
- Минеева Н.М., Корнева Л.Г., Соловьева В.В. 2016. Влияние факторов среды на фотосинтетическую активность фитопланктона водохранилищ реки Волги // Биология внутр. вод. № 3. С. 47.
- Минеева Н.М., Семадени И.В., Соловьева В.В., Макарова О.С. 2022. Содержание хлорофилла и современное трофическое состояние водохранилищ р. Волги (2019, 2020 гг.) // Биология внутр. вод. № 4. С. 367. https://doi.org/10.31857/S0320965222040210.
- Magurran A.E. 1988. Ecological diversity and its measurement. Chapman and Hall..
- Одум Ю. 1986. Экология. т.2. М.: Мир.
- Охапкин А.Г. 1997. Структура и сукцессия фитопланктона при зарегулировании речного стока: на примере р. Волги и ее притоков: Автореф. дис…. докт. биол. наук: 03.00.16. СПб.: Ин-т озероведения РАН. 48 с.
- Соловых Г.Н., Раимова Е.К., Осадчая Н.Д. и др. 2003. Гидробиологическая характеристика Ириклинского водохранилища. Екатеринбург: Уральск. отделение РАН.
- Чибилев А.А. 2008. Бассейн Урала: история, география, экология. Екатеринбург: Уральск. отделение РАН.
- Чибилев А.А., Павлейчик В.М., Дамрин А.Г. 2006. Ириклинское водохранилище: геоэкология и природно-ресурсный потенциал. Екатеринбург: Уральск. отделение РАН.
- Begon M., Harper J. L., Townsend C. R. 1986. Ecology: individuals, populations and communities. Blackwell Scientific Publications, Oxford.
- Eremkina T.V., Yarushina M.I. 2022. Ural River Basin // Rivers of Europe (Second Edition). Chapter 22. Р. 883. https://doi.org/10.1016/B978-0-08-102612-0.00022-5
- Kuiper-Goodman T., Falconer I., Fitzgerald J. 1999. Human health aspects // Toxic Cyanobacteria in Water. A guide to their Public Health Consequences, Monitoring and Management. London. P. 113.
- Microalgae in Health and Disease Prevention. 2018. Elsevier Acad. Press.
- Sladecek V. 1973. System of water quality from biological point of view // Arch. Hydrobiol. Beiheft 7. Ergebnisse Limnol. № 7.
- Wegl R. 1983. Index für die Limnosaprobität // Wasser- und Abwasser. Bd 26. P. 1.
Supplementary files







