Structure and dynamics of plankton communities in the coastal zone of the Curonian Lagoon of the Baltic Sea in 2017–2021 in the period of Cyanobacterial bloom
- Authors: Dmitrieva O.A.1,2, Semenova A.S.1,3, Kazakova E.Y.1
-
Affiliations:
- Russian Federal Research Institute of Fisheries and Oceanography “VNIRO”
- Shirshov Institute оf Oceanology, Russian Academy of Sciences
- Papanin Institute for Biology of Inland Waters Russian Academy of Sciences
- Issue: Vol 17, No 1 (2024)
- Pages: 22-42
- Section: Articles
- URL: https://journals.rcsi.science/0320-9652/article/view/261516
- DOI: https://doi.org/10.31857/S0320965224010028
- EDN: https://elibrary.ru/zalesf
- ID: 261516
Cite item
Full Text
Abstract
The structure and dynamics of plankton communities in the coastal zone of the Curonian Lagoon of the Baltic Sea in January-December 2017–2021 was studied. It was found that at the coastal shallow littoral station surrounded by macrophytes the species diversity was higher, and the quantitative characteristics of phytoplankton and zooplankton were lower in all seasons and years of the study than at the deeper coastal station located behind the macrophyte belt. The exception was the period when, as a result of surge events, the phytoplankton biomass in the coastal littoral in October–November 2018 increased to 326–627 g/m3. Every year, “blooms” of water by Cyanobacteria with different intensity and duration were observed at the Lagoon. The abundant of cells of potentially toxic Сyanobacteria exceeded the World Health Organization standard, as a rule, in the summer months at a deep-water coastal station, especially in 2017–2018. This had a negative impact on the state of the entire ecosystem, primarily on zooplankton organisms, in which communities the proportion of dead individuals increased. Water during the period of Cyanobacterial “blooms” in summer and autumn 2017–2018 also had an acute toxic effect on planktonic test organisms.
Full Text
ВВЕДЕНИЕ
Куршский залив относится к одним из наиболее крупных и высокопродуктивных водоемов Калининградской обл. Планктонные сообщества Куршского залива исследуют на протяжении длительного периода времени. В пределах российской части залива с 2002 г. по настоящее время проводятся регулярные мониторинговые наблюдения за фито- и зоопланктоном на прибрежных и открытых участках его акватории. К настоящему времени подробно исследованы видовой состав, структура, особенности сезонной динамики доминирующих комплексов, количественные показатели и трофические взаимоотношения фито- и зоопланктона (Schmidt-Ries, 1940; Уселите, 1959; Оленина, 1996; Семенова, Смыслов, 2005; Науменко, 2008, 2009; Dmitrieva, Semenova, 2011; Ланге, 2013; Дмитриева, 2017; Герб и др., 2018, 2019; Ланге, 2020; Багиров и др., 2021). Подробные исследования зоопланктона прибрежной зоны залива проведены в 1984–1986 гг. (Науменко, 2006), затем продолжены с 2007 г. (Семенова, 2010а) по настоящее время. Ежегодно в летний период в Куршском заливе регистрируют различные по своей интенсивности цианобактериальные “цветения” воды. Установлено, что в пресноводных водоемах 70% цианобактерий токсигенные. Даже виды, которые не образуют токсины, могут иметь гены, кодирующие их синтез (Pham et al., 2015). К таксонам, которые способны выделять в окружающую среду токсины (микроцистины) и чаще всего являются возбудителями токсичных “цветений” воды, относят цианобактерий родов Dolichospermum, Microcystis и Planktothrix (Сухаревич, Поляк, 2020). В Балтийском море массово развивается Nodularia spumigena Mertens ex Bornet & Flahault 1888, синтезирующая нодулярины. В Куршском заливе нодулярины обнаружены в литовской части вблизи морского пролива (Paldavičienė et al., 2009; Pattanaik et al., 2010). В Куршском заливе к микроцистин-продуцирующим таксонам с установленной токсикогенностью относятся представители рода Microcystis и Planktothrix agardhii (Gomont) Anagnostidis & Komárek 1988 (Belykh et al., 2013; Sidelev et al., 2020; Overlingė et al., 2021). Одна из функций цианотоксинов может заключаться в их участии в аллелопатических взаимодействиях — подавлении роста и развития конкурентов, защите от врагов (Omidi et al., 2018). К экологическим последствиям аллелопатических эффектов и усиления синтеза цианотоксинов в присутствии других организмов относят накопление токсинов в пищевой цепи и снижение биоразнообразия (Pei et al., 2020). Высокие концентрации микроцистинов неоднократно регистрировали в водах Куршского залива и в российской, и в литовской частях его акватории (Paldavičienė et al., 2009). Это может оказывать наиболее сильный негативный эффект на планктонных Cladocera (Сиделев, Семенова, 2019). В период цианобактериальных “цветений” воды может значительно возрастать доля мертвых особей в зоопланктоне (Семенова, 2011; Семенова, 2013; Tang et al., 2014), поэтому этот показатель может выступать как индикатор подобного вида воздействия. Влияние токсинов цианобактерий можно также успешно выявлять, используя методы биотестирования (Pesnya et al., 2022).
Несмотря на достаточно подробную изученность, сравнение сообществ планктона прибрежной зоны в зарослях макрофитной растительности и свободной от макрофитов акватории, а также биотестирование вод Куршского залива ранее не проводили.
Цель работы — исследование структуры и динамики планктонных сообществ Куршского залива, особенно в период цианобактериальных “цветений” воды, и влияния высоких концентрации микроцистинов на состояние зоопланктона в прибрежной зоне.
МАТЕРИАЛ И МЕТОДЫ ИССЛЕДОВАНИЯ
Фитопланктон и зоопланктон изучали в 2017–2021 гг. в прибрежной зоне российской части Куршского залива в районе научно-экспериментальной базы (НЭБ) Атлантического филиала Всероссийского научно-исследовательского института рыбного хозяйства и океанографии. Пробы планктона отбирали ежемесячно с января по декабрь на двух стандартных станциях (рис. 1). Станция НЭБ-1 располагалась в относительно глубоководной части водоема (глубина 3 м) на удалении 500 м от берега за поясом макрофитов, станция НЭБ-2 – в прибрежной мелководной литоральной зоне (глубина 0.5 м), окруженной поясом макрофитов. Пробы фитопланктона объемом 0.5 л консервировали раствором Люголя с добавлением формалина и ледяной уксусной кислоты. Сгущение проб проводили седиментационным методом до 5–20 мл в зависимости от количества фитопланктона в пробе. Количественную обработку выполняли по общепринятой методике в счетной камере типа “Учинская” объемом 0.01 мл при помощи микроскопа Leica DM2500. Объем клеток водорослей для расчета биомассы вычисляли методом геометрического подобия. К доминирующим относили виды, составлявшие ≥ 10% суммарной биомассы (Методика…, 1975). Для оценки степени развития ПТ таксонов принимали один из рекомендованных нормативов ВОЗ — численность клеток всех ПТ таксонов 20 млрд. кл./м3, представляющий угрозу при использовании водоемов в рекреационных целях (WHO, 2004).
Рис. 1. Расположение станций отбора проб в прибрежной зоне Куршского залива в 2017–2021 гг.
Пробы зоопланктона на более глубоководной станции (НЭБ-1) отбирали пяти–шестилитровым батометром с трех горизонтов (поверхностного, среднего и придонного), на мелководной станции (НЭБ-2) – мерным ведром. После отбора фиксированный объем воды процеживали через планктонную сеть с размером ячеи 68 мкм и прижизненно окрашивали 7.5%-ным раствором анилинового голубого красителя для выявления доли мертвых особей в зоопланктоне (Seepersad, Crippen, 1978; Дубовская, 2008; Bickel et al., 2008; Семенова, 2010а). После окрашивания пробы промывали водой и фиксировали 40%-ным формалином с сахарозой (Haney, Hall, 1973) до конечной концентрации в пробе 2–4%. Обработку и анализ проб проводили по стандартной методике (Методика…, 1975). В работе использовали стереомикроскоп Nikon SMZ800N и бинокулярный микроскоп Микмед-5 (ЛОМО). К доминирующим относили виды, формирующие >5% численности/биомассы зоопланктона.
Кроме стандартного изучения планктонных сообществ в природе, в лабораторных условиях проводили биотестирование воды, отобранной на более глубоководной станции НЭБ-1. После отбора воду фильтровали через обеззоленные фильтры (белая лента), помещали в бутылку (объемом 1 л) из пищевого пластика с плотно завинчивающейся крышкой для исключения попадания кислорода. До начала биотестирования пробы хранили в холодильнике при температуре 2–4°С. Биотестирование выполняли на тест-организмах Ceriodaphnia affinis Lilljeborg, 1901 и Daphnia magna Straus, 1820. На обоих видах проводили как острые, так и хронические эксперименты согласно аттестованным методикам (Биологические…, 2007; Методика..., 2007) определения токсичности воды ФР.1.39.2007.03221, ФР.1.39.2011.09714, ФР.1.39.2007.03222 и ФР.1.39.2015.19999. Гибель ≥50% рачков за 48 ч (для Ceriodaphnia affinis) или 96 ч (для Daphnia magna) в исследуемой воде служила критерием острой токсичности (при условии, что в контроле уровень их гибели не превышал 10%). Критерий хронической токсичности — гибель ≥20% тест-организмов и достоверное отклонение в плодовитости из числа выживших особей по сравнению с контролем за время эксперимента. Достоверность различий оценивали при уровне значимости р <0.05 (Sokal, Rohlf, 1995).
РЕЗУЛЬТАТЫ ИССЛЕДОВАНИЯ
Фитопланктон. Всего в составе сообществ было выявлено 450 таксонов фитопланктона рангом ниже рода. Бо`льшим таксономическим разнообразием отличались отделы Chlorophyta, Bacillariophyta и Cyanoprokaryota. На станции НЭБ-1 число выявленных таксонов (306) было меньше, чем на станции НЭБ-2 (359).
Структура доминирующего комплекса на станции в зарослях макрофитов и в открытой части залива отличалась незначительно. Число доминирующих таксонов во все сезоны было выше на станции НЭБ-1. Во все сезоны основным доминирующим видом на этих станциях была диатомея Actinocyclus normanii (W.Gregory ex Greville) Hustedt 1957. Зимой и весной доминировали Aulacoseira islandica (O.Müller) Simonsen 1979, Stephanodiscus astraea (Kützing) Grunow 1880, летом и осенью — Aphanizomenon flos-aquae, Limnothrix redekei (Goor) Meffert 1988, Planktothrix agardhii (табл. 1).
Таблица 1. Изменение структуры комплекса доминирующих видов фито- и зоопланктона в 2017–2021 гг. на станциях НЭБ-1 и НЭБ-2
Январь–март | Апрель–июнь | Июль–сентябрь | Октябрь–декабрь | |||
фитопланктон | ||||||
НЭБ-1 | ||||||
Actinocyclus normanii, Stephanodiscus astraea, S. rotula (Kützing) Hendey 1964, Pediastrum boryanum (Turpin) Meneghini 1840, Komma caudata (L.Geitler) D.R.A.Hill 1991, Teleaulax acuta (Butcher) D.R.A.Hill 1991, Aphanizomenon flos-aquae, Limnothrix redekei, Planktolyngbya limnetica (Lemmermann) Komárková-Legnerová & Cronberg 1992, Gymnodinium sp. F. Stein, 1878, Heterocapsa rotundata (Lohmann) Gert Hansen 1995, Peridinium sp. Ehrenberg, 1830. | Actinocyclus normanii, Aulacoseira islandica, Stephanodiscus astraea, Aphanizomenon flos-aquae, Limnothrix redekei
| Actinocyclus normanii, Aphanizomenon flos-aquae, Limnothrix redekei, Planktothrix agardhii | Actinocyclus normanii, Stephanodiscus astraea, Aphanizomenon flos-aquae, Limnothrix redekei, Planktothrix agardhii, Ceratium hirundinella (O.F.Müller) Dujardin 1841
| |||
НЭБ-2 | ||||||
Actinocyclus normanii, Aulacoseira islandica, Staurosira construens Ehrenberg 1843, Stephanodiscus astraea, S. rotula, Planktolyngbya limnetica | Actinocyclus normanii, Aulacoseira islandica, Stephanodiscus astraea, Mougeotia sp. C.Agardh, 1824, Aphanizomenon flos-aquae, Limnothrix redekei | Actinocyclus normanii, Aphanizomenon flos-aquae, Planktothrix agardhii
| Actinocyclus normanii, Stephanodiscus astraea, Aphanizomenon flos-aquae, Limnothrix redekei
| |||
зоопланктон | ||||||
НЭБ-1 | ||||||
Keratella cochlearis (Gosse, 1851), K. quadrata (Müller, 1786)*, Polyarthra vulgaris Carlin, 1943, Synchaeta pectinata Ehrenberg, 1832, Nauplia Cyclopoida, Cyclops kolensis Lilljeborg, 1901*, C. scutifer Sars G.O., 1863, C. vicinus Uljanin, 1875, Eudiaptomus graciloides (Lilljeborg, 1888) | Keratella cochlearis, Keratella quadrata*, Polyarthra vulgaris, Bosmina (Eubosmina) coregoni Baird, 1857, Daphnia galeata G.O. Sars, 1864, Nauplia Cyclopoida, Cyclops vicinus, Eudiaptomus graciloides, Mesocyclops leuckarti, Cyclops kolensis* | Brachionus angularis Gosse, 1851*, Keratella cochlearis, K. tecta (Gosse, 1851)*, K. quadrata*, Pompholyx sulcata Hudson, 1885*, Bosmina (Eubosmina) coregoni, B. coregoni f. thersites Poppe, 1887*, Chydorus sphaericus*, Diaphanosoma mongolianum Ueno, 1938, Daphnia galeata, Nauplia Cyclopoida, Eudiaptomus graciloides, Mesocyclops leuckarti | Keratella cochlearis, K. quadrata*, Polyarthra vulgaris, Bosmina coregoni f. thersites*, Daphnia galeata, Nauplia Cyclopoida, Cyclops vicinus, Eudiaptomus graciloides, Cyclops kolensis* | |||
НЭБ-2 | ||||||
Keratella cochlearis, K. quadrata*, Polyarthra vulgaris, Synchaeta pectinata, Chydorus sphaericus (O.F. Müller, 1776)*, Cyclops vicinus, Mesocyclops leuckarti (Claus, 1857), Cyclops kolensis* | Keratella cochlearis, K. quadrata*, Polyarthra vulgaris, Bosmina longirostris (O.F. Müller, 1785)*, Chydorus sphaericus*, Mesocyclops leuckarti, Cyclops kolensis* | Asplanchna herricki De Guerne, 1888, Brachionus angularis*, Keratella cochlearis, K. tecta*, K. quadrata*, Bosmina (E.) coregoni, B. longirostris*, B. coregoni f. thersites*, Chydorus sphaericus*, Sida crystallina (O.F. Müller, 1776), Nauplia Cyclopoida, Eucyclops serrulatus (Fischer, 1851), Mesocyclops leuckarti | Keratella cochlearis, K. quadrata*, Polyarthra vulgaris, Chydorus sphaericus*, Cyclops vicinus, Eudiaptomus graciloides, Mesocyclops leuckarti, Cyclops kolensis* | |||
Примечание. *Вид-индикатор эвтрофных условий (по: Андроникова, 1996); жирным шрифтом выделены виды, доминирующие во все сезоны на станциях НЭБ-1 и НЭБ-2.
Помимо перечисленных в табл. 1 видов, в составе сообществ также были обнаружены потенциально-токсичные виды рода Microcystis, которые постоянно присутствовали в заливе в летние месяцы 2017–2021 гг., но развивались в меньших количествах. Доля видов рода Microcystis на НЭБ-1 и НЭБ-2 варьировала от 3.2 до 10% (рис. 2). На обеих станциях вклад в биомассу Aphanizomenon flos-aquae в среднем был несколько выше (11%), чем Planktothrix agardhii (5–7%), однако Aphanizomenon flos-aquae полностью отсутствовал в составе сообществ в июле–августе в 2020 г. на фоне возрастания роли Planktothrix agardhii (24%) (рис. 2). Диатомея Actinocyclus normanii была основным доминантом и на ст. НЭБ-1, и на ст. НЭБ-2. Ее доля в биомассе (41%) на ст. НЭБ-1 превышала таковую на ст. НЭБ-2 (32%). Наиболее низкие доли этого вида в биомассе (3–20%) зарегистрированы в 2020 и 2021 гг., наиболее высокие (37–61%) – в 2017–2019 гг. (рис. 2).
Рис. 2. Изменение доли доминирующих видов в биомассе фитопланктона на станциях НЭБ-1 (а) и НЭБ-2 (б) в июле–августе 2017–2021 гг.
Сезонная динамика фитопланктона Куршского залива характеризовалась доминированием преимущественно диатомовых водорослей зимой, цианобактерий и диатомей — весной, летом и осенью. На обеих станциях соотношение доминирующих групп в течение сезона было сходным, однако уровень количественного развития фитопланктона на НЭБ-2 был ниже. Минимальные значения биомассы на станциях (5–11 г/м3) отмечали в январе, феврале и декабре. В марте–мае биомасса фитопланктона варьировала от 14 до 54 г/м3 на ст. НЭБ-1 и от 10 до 14 г/м3 на ст. НЭБ-2. К июню–августу биомасса возрастала и изменялась в пределах 52–70 г/м3 на ст. НЭБ-1 и 11–32 г/м3 на НЭБ-2. В сентябре–ноябре биомасса была достаточно высокой (23–55 г/м3) на ст. НЭБ-1 и возрастала до 26–148 г/м3 на ст. НЭБ-2 (рис. 3, рис. 4, табл. 2).
Рис. 3. Сезонная динамика биомассы фитопланктона на станциях НЭБ-1 (а) и НЭБ-2 (б) в 2017–2021 гг. I–XII — месяцы.
Рис. 4. Изменение средней биомассы фитопланктона в 2017–2021 гг. 1 – биомасса на ст. НЭБ-1; 2 – на ст. НЭБ-2 в 2018 г.; 3 – на ст. НЭБ-2 без учета данных за октябрь–ноябрь 2018 г.
Таблица 2. Средние показатели фито- и зоопланктона Куршского залива за период с января по декабрь 2017–2021 гг.
Показатель | Станция | 2017 г. | 2018 г. | 2019 г. | 2020 г. | 2021 г. | Среднее |
Биомасса фитопланктона, г/м3 | НЭБ-1 | 41.57 ± 10.89 | 51.97 ± 10.32 | 34.87 ± 5.36 | 15.67 ± 6.61 | 35.38 ± 7.19 | 35.89 ± 8.07 |
НЭБ-2 | 32.25 ± 39.47 | 94.08 ± 39.90 | 15.54 ± 2.56 | 9.78 ± 2.40 | 11.01 ± 9.12 | 32.53 ± 18.69 | |
Численность зоопланктона, тыс. экз./м3 | НЭБ-1 | 184.5 ± 51.5 | 261.5 ± 129.3 | 397.0 ± 142.6 | 391.8 ± 92.1 | 258.3 ± 67.4 | 298.6 ± 96.6 |
НЭБ-2 | 158.2 ±45.7 | 168.6 ± 45.6 | 195.6 ± 33.8 | 91.7 ± 15.2 | 61.5 ± 22.6 | 135.1 ± 32.6 | |
Биомасса зоопланктона, г/м3 | НЭБ-1 | 1.62 ± 0.94 | 2.87 ± 0.87 | 1.17 ± 0.43 | 1.57 ± 0.46 | 1.21 ± 0.37 | 1.69 ± 0.61 |
НЭБ-2 | 0.77 ± 0.22 | 0.38 ± 0.12 | 0.39 ± 0.12 | 0.39 ± 0.12 | 0.07 ± 0.07 | 0.40 ± 0.13 | |
Доля мертвых особей в численности, % | НЭБ-1 | 8.40 ± 1.44 | 7.86 ± 1.34 | 3.74 ± 0.54 | 3.53 ± 0.80 | 5.83 ± 0.71 | 5.87 ± 0.96 |
НЭБ-2 | 6.75 ± 3.88 | 14.34 ± 3.94 | 4.70 ± 0.70 | 3.65 ± 0.75 | 4.46 ± 1.06 | 6.78 ± 2.07 | |
Доля мертвых особей в биомассе, % | НЭБ-1 | 4.78 ± 1.07 | 5.82 ± 1.02 | 2.22 ± 0.30 | 1.75 ± 0.54 | 3.58 ± 0.52 | 3.63 ± 0.69 |
НЭБ-2 | 5.07 ± 3.75 | 13.80 ± 3.84 | 2.88 ± 0.50 | 1.76 ± 0.46 | 2.92 ± 0.87 | 5.29 ±1 .88 |
Значения средней за сезон биомассы в 2017–2021 гг. на ст. НЭБ-1 варьировали от 15 до 51 г/м3 (в среднем 36 г/м3). На ст. НЭБ-2 средняя за сезон биомасса изменялась от 9.7 до 94 г/м3 (в среднем 32 г/м3). Следует отметить, что в 2018 г. наблюдали нагонные явления и скопление водорослевых масс в зарослях макрофитов, в результате биомасса в октябре была 627.0 г/м3, в ноябре — 326.3 г/м3. В период нагонных явлений в фитопланктоне доминировал Aphanizomenon flos-aquae, создавая >90% биомассы фитопланктона. Без учета нагонных явлений средняя биомасса на ст. НЭБ-2 была 17 г/м3 (рис. 3, рис. 4, табл. 2).
В июле–августе самые низкие значения суммарной биомассы фитопланктона были отмечены в 2020 г.: 27.5 г/м3 на ст. НЭБ-1 и 15.6 г/м3 на ст. НЭБ-2. Максимальную биомассу (106.6 г/м3 и 56.6 г/м3) регистрировали в 2018 г. на ст. НЭБ-1 и ст. НЭБ-2 соответственно. Биомасса цианобактерий на ст. НЭБ-2 была 4.2–10.5 г/м3 (в среднем 7.1 г/м3), на ст. НЭБ-1 она была выше от 8.4 до 37.6 г/м3 (в среднем 20.6 г/м3) (табл. 3).
Таблица 3. Средние показатели фито- и зоопланктона Куршского залива в период “цветения” воды (июль–август) в 2017–2021 гг.
Показатель | Станция | 2017 г. | 2018 г. | 2019 г. | 2020 г. | 2021 г. | Среднее |
Биомасса фитопланктона, г/м3 | НЭБ-1 | 56.4 | 106.62 | 60.55 | 27.46 | 55.8 | 61.37 |
НЭБ-2 | 48.49 | 56.58 | 27.77 | 15.62 | 7.03 | 31.09 | |
Биомасса Cyanoprokaryota, г/м3 | НЭБ-1 | 11.66 | 22.4 | 23.06 | 8.44 | 37.69 | 20.65 |
НЭБ-2 | 9.06 | 5.1 | 10.52 | 6.21 | 4.18 | 7.01 | |
Численность потенциально-токсичных таксонов, млрд. кл./м3 | НЭБ-1 | 78.8 | 161.8 | 117.8 | 48.7 | 96.8 | 100.8 |
НЭБ-2 | 80.2 | 47.4 | 46 | 17.8 | 12.2 | 40.7 | |
Биомасса Microcystis spp., г/м3 | НЭБ-1 | 4.48 | 6.07 | 4.25 | 0.61 | 2.61 | 3.6 |
НЭБ-2 | 4.45 | 2.23 | 1.22 | 3.59 | 0.28 | 2.35 | |
Численность зоопланктона, тыс. экз./м3 | НЭБ-1 | 249 | 369.3 | 297.1 | 333.3 | 200.3 | 289.8 |
НЭБ-2 | 197 | 140.8 | 271 | 130.5 | 28.6 | 153.6 | |
Биомасса зоопланктона, г/м3 | НЭБ-1 | 5.19 | 3.28 | 2.34 | 1.75 | 1.73 | 2.86 |
НЭБ-2 | 1.76 | 0.21 | 0.65 | 0.7 | 0.12 | 0.69 | |
Доля мертвых особей в численности, % | НЭБ-1 | 12.14 | 16.36 | 5.22 | 3.67 | 5.43 | 8.56 |
НЭБ-2 | 10.67 | 15.8 | 6.93 | 3.21 | 5.59 | 8.44 | |
Доля мертвых особей в биомассе, % | НЭБ-1 | 7.07 | 12.07 | 2.56 | 1.56 | 5.13 | 5.68 |
НЭБ-2 | 7.43 | 15.01 | 5.09 | 2.83 | 4.04 | 6.88 |
Численность потенциально-токсичных цианобактерий характеризовалась значительной межгодовой изменчивостью. Ее наибольшие значения во все года наблюдений отмечали на ст. НЭБ-1. В августе 2018 г. на этой станции зарегистрирован максимум численности — 161 млрд кл/м3, который был сформирован интенсивным развитием в основном цианобактерий рода Microcystis (табл. 3).
Ежегодно, особенно с мая по сентябрь, численность ПТ таксонов превышала уровень (20 млрд кл/м3), представляющий угрозу при использовании водоемов в рекреационных целях (рис. 5а). Уровень развития ПТ таксонов на ст. НЭБ-2 был существенно ниже и превышал норматив ВОЗ только в апреле, июле, августе и сентябре отдельных лет (рис. 5б).
Рис. 5. Численность ПТ цианобактерий на ст. НЭБ-1 (а) и ст. НЭБ-2 (б) в 2017–2021 гг.
Зоопланктон. В период исследований в зоопланктоне было найдено 80 видов, из них коловраток — 44 вида, ветвистоусых ракообразных — 17, веслоногих — 19. Также в весенний и летний периоды отмечены велигеры двустворчатых моллюсков. На ст. НЭБ-1 выявлено 55 видов, на ст. НЭБ-2 – 71 вид. Минимальное число видов наблюдали в зимний период (18–24), затем к весне оно резко возрастало (до 36–51), оставаясь примерно на том же уровне в летний период (41–51), и снижалось к осени (до 28–31).
Во все сезоны на обеих станциях среди доминирующих видов были отмечены только два вида коловраток: Keratella cochlearis и Keratella quadrata. У всех других видов численность изменялась по сезонам и станциям (табл. 1). Число доминирующих видов возрастало от зимнего периода к весеннему и летнему и снижалось к осени. Многие доминирующие виды были общими для обеих станций исследований, однако имелись и различия. Во все сезоны в состав доминантов на ст. НЭБ-1 входил Eudiaptomus graciloides, на ст. НЭБ-2 – Chydorus sphaericus. На ст. НЭБ-1, в отличие от ст. НЭБ-2, комплекс доминирующих видов включал Cyclops scutifer зимой, Bosmina coregoni весной, Daphnia galeata весной, летом и осенью, Pompholyx sulcata и Diaphanosoma mongolianum летом, Bosmina coregoni f. thersites осенью. На ст. НЭБ-2 среди доминантов весной и летом была отмечена Bosmina longirostris, также летом доминировали Asplanchna herricki, Sida crystallina и Eucyclops serrulatus.
Наибольшее число видов-индикаторов эвтрофных условий среди доминирующих видов на обеих станциях было отмечено летом, минимальное — зимой (табл. 1). Зимой и весной среди доминирующих видов на ст. НЭБ-2 присутствовало больше видов-индикаторов, чем на ст. НЭБ-1, летом и осенью их число на обеих станциях было одинаково.
Выявлены межгодовые изменения в составе и соотношении доминирующих видов, которые наиболее ярко проявлялись в период массового развития фитопланктона в июле-августе (рис. 6). В 2018 г. при максимальной интенсивности развития фитопланктона в зоопланктоне была зарегистрирована максимальная доля видов-индикаторов эвтрофных условий: Chydorus sphaericus и Bosmina coregoni f. thersites. Из состава доминантов на ст. НЭБ-1 выпал Eudiaptomus graciloides. В 2020 г. при минимальной интенсивности развития фитопланктона Chydorus sphaericus и Bosmina coregoni f. thersites, наоборот, выпадали из состава доминантов, в который вместо них на ст. НЭБ-1 вошла Daphnia galeata, на ст. НЭБ-2 – Sida crystallina, Daphnia galeata и Eucyclops serrulatus.
Рис. 6. Изменение доли доминирующих видов в численности (а) и биомассе (б) зоопланктона в июле–августе 2017–2021 гг.
Минимальные значения численности и биомассы зоопланктона на станциях НЭБ-1 и НЭБ-2 были отмечены в зимний период (январь–февраль). В это время по численности доминировали коловратки, по биомассе — веслоногие ракообразные. На ст. НЭБ-2 в отдельные годы была высока доля ветвистоусых ракообразных (рис. 7). Затем, в весенний период наблюдалась вспышка численности зоопланктона. Как правило, она была в апреле, иногда — в мае, и определялась массовым развитием коловраток р. Keratella. В этот период численность зоопланктона достигала максимальных за год величин: 2267 тыс. экз./м3 (апрель 2019 г.) и 499–552 тыс. экз./м3 (апрель 2018–2019 гг.) на станциях НЭБ-1 и НЭБ-2 соответственно. Максимальные значения биомассы на станции НЭБ-1 были отмечены в период массового развития ветвистоусых ракообразных, которое наблюдали в весенне-летний период. Максимальная за весь период исследований биомасса на станции НЭБ-1 (13.4 г/м3) была в июне 2018 г. в период массового развития Daphnia galeata. Максимумы биомассы на станции НЭБ-2 связаны с массовым развитием ветвистоусых ракообразных, а также с развитием веслоногих ракообразных и коловраток, их отмечали весной, летом и осенью. Максимальная за весь период исследований биомасса на станции НЭБ-2 (2.7 г/м3) была зарегистрирована в апреле 2018 г. в период массового развития Cyclops kolensis. Высокие значения биомассы в июне 2017 г. вызваны массовым развитием Bosmina longirostris, в июле 2017 г. — B. coregoni, в августе 2017 г. — Asplanchna herricki, в сентябре — Bosmina coregoni f. thersites, октябре 2018 г. — Chydorus sphaericus, в августе 2020 г. — Sida crystallina и Eucyclops serrulatus. К ноябрю–декабрю на обеих станциях численность и биомасса зоопланктона снижались. В одни годы они были сопоставимы с отмеченными в январе–феврале, в другие годы — значительно превышали их. Так, превышение наблюдали в ноябре 2020 г. на ст. НЭБ-1 в период массового развития коловраток рода Keratella и в декабре 2019 г. на ст. НЭБ-2, когда в массе развивались Cyclops kolensis и Eudiaptomus graciloides.
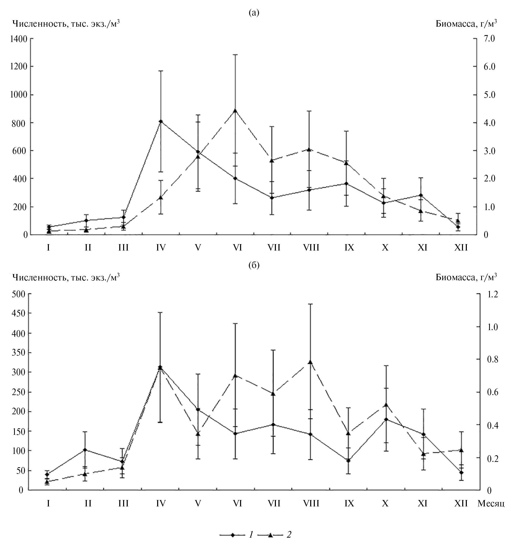
Рис. 7. Сезонная динамика численности (а, в) и биомассы (б, г) зоопланктона на ст. НЭБ-1 (а, б) и станции НЭБ-2 (в, г) в 2017–2021 гг.
В целом, по осредненным за 2017–2021 гг. данным, пик численности на станциях НЭБ-1 и НЭБ-2 характерен для апреля, ярко выраженный пик биомассы на станции НЭБ-1– для июня. На ст. НЭБ-2 ярко выраженный пик биомасс отсутствовал. Возрастание биомассы отмечали в апреле, июне и августе (рис. 8). Количественные показатели зоопланктона на более глубоководной ст. НЭБ-1 всегда превышали таковые на прибрежной ст. НЭБ-2, при этом средняя за год численность была выше в 1.2–4.3 раза, биомасса — в 2.1–16.2 раза.
Рис. 8. Изменение средней численности (1) и биомассы (2) зоопланктона в 2017–2021 гг. на станциях НЭБ-1 (а) и НЭБ-2 (б).
Средняя за год численность зоопланктона на ст. НЭБ-1 колебалась от 184.5 до 397.0 тыс. экз./м3, на ст. НЭБ-2 – от 61.5 до 195.6 тыс. экз./м3. Максимальные средние за год значения численности на обеих станциях были отмечены в 2019 г., минимальные на ст. НЭБ-1 в 2017 г., на ст. НЭБ-2 – 2021 г. (табл. 2). Средняя за год биомасса зоопланктона на ст. НЭБ-1 колебалась от 1.17 до 2.87 г/м3, на ст. НЭБ-2 – от 0.07 до 0.77 г/м3. Максимальная средняя за год биомасса на ст. НЭБ-1 была зарегистрирована в 2018 г., на ст. НЭБ-2 – в 2017 г. Минимальная средняя за год биомасса на ст. НЭБ-1 была в 2019 г., на ст. НЭБ-2 – в 2021 г.
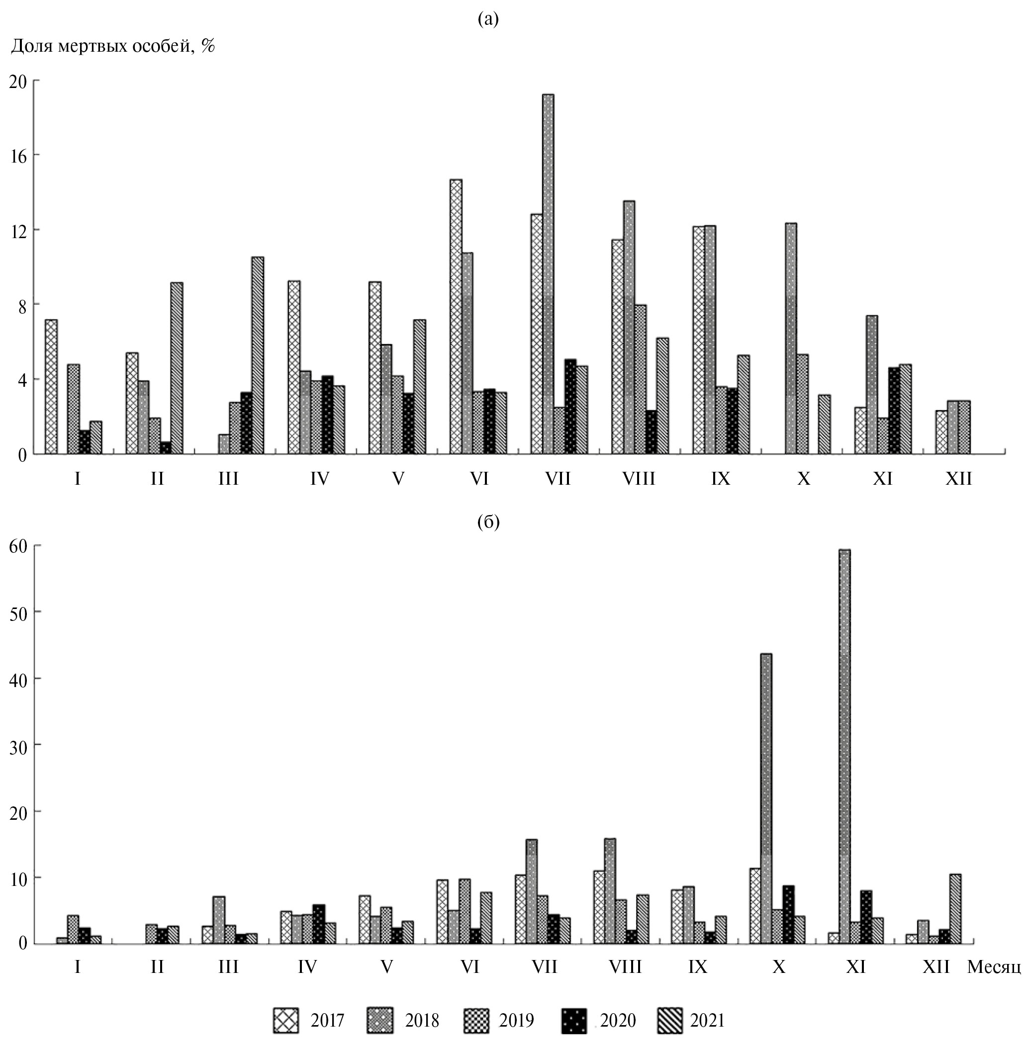
Доля мертвых особей в зоопланктоне Куршского залива в период исследований изменялась в широких пределах: на ст. НЭБ-1 – от 0.6 до 19.2% численности и от 0.1 до 14.8% биомассы зоопланктона, на ст. НЭБ-2 – от 1.0 до 59.3% и от 0.1 до 53.2% соответственно (рис. 9). На ст. НЭБ-1 на протяжении периода исследований доля мертвых особей, как правило, не превышала 5–7%. Повышенные доли мертвых особей (11–19% численности) отмечали в 2017 г. с июня по октябрь и в 2018 г. с июля по октябрь. Максимальные доли мертвых особей в численности и биомассе зоопланктона для ст. НЭБ-1 были зафиксированы в июле 2018 г. В этот период максимальные доли мертвых особей отмечали у ветвистоусых ракообразных Chydorus sphaericus (26%) и Daphnia galeata (37%), а также науплиусов Cyclopoida (30) и Calanoida (40%). На станции НЭБ-2 доля мертвых особей также, как и на ст. НЭБ-1, на протяжении периода исследований редко превышала 5–7%. Повышенные доли мертвых особей были отмечены в июле–августе 2017 и 2018 гг.: 10–11 и 16% от численности зоопланктона соответственно. Максимальные доли мертвых особей на ст. НЭБ-2 были зафиксированы в осенний период 2018 г. и достигали в октябре 43.7 и 45.2%, в ноябре — 59.3 и 53.2% численности и биомассы зоопланктона соответственно. В этот период наблюдали высокую долю мертвых особей во всех таксономических группах зоопланктона, особенно среди ветвистоусых ракообразных и коловраток: Daphnia galeata (67–95%), Chydorus sphaericus (51–70%), Keratella quadrata (62–66%), Kellicotia longispina (50–72%), а также у науплиусов Cyclopoida (40–60%), Calanoida (65–80%) и Eudiaptomus graciloides (49–100%). Для ряда видов (Euchlanis dilatata, Bosmina coregoni f. thersites, Cyclops kolensis и др.), которые присутствовали в этот период, доля мертвых особей не достигала таких высоких величин. В 2017–2019 гг. была выявлена положительная корреляционная связь между долей мертвых особей на ст. НЭБ-1 и биомассой Microcystis (R2 =0.36). Наиболее высокие коэффициенты корреляции отмечены в 2018 г. (R2 =0.47) и 2019 г. (R2 =0.51), тогда как в 2020–2021 гг. такая связь отсутствовала. Для ст. НЭБ-2 связь между долей мертвых особей и биомассой Microcystis не выявлена, но получена положительная связь с биомассой цианобактерий, особенно в 2018 г. (R2 =0.71).
Рис. 9. Доля мертвых особей зоопланктона в Куршском заливе на станциях НЭБ-1 (а) и НЭБ-2 (б) в 2017–2021 гг.
В целом по осредненным за год данным максимальные величины доли мертвых особей зоопланктона были в 2017–2018 гг., минимальные — в 2020 г. (табл. 2), максимальные величины в период “цветения” воды — в 2018 г., минимальные — также в 2020 г. (табл. 3).
Биотестирование. В градации результатов биотестирования на планктонных ракообразных существуют три степени оценки воздействия: острое токсическое воздействие, хроническое токсическое воздействие и отсутствие воздействия. В наших исследованиях проведена детализация этих градаций. Даже когда воздействие отсутствовало (различия между плодовитостью в опыте и контроле были недостоверны), отмечали, было ли в опыте легкое стимулирование (плодовитость в опыте была выше, контрольной) или подавление (плодовитость в опыте была ниже). Когда в опыте было выявлено хроническое воздействие, также указывали, наблюдалось ли в опыте стимулирование или подавление аналогично, как и в случае отсутствия воздействия. Также нами была добавлена промежуточная градация — острое токсическое воздействие в ряду поколений, когда за установленный для острого токсического воздействия промежуток в 48 или 96 ч в опыте по сравнению с контролем не погибало ≥ 50% особей и их потомства, но они погибали за более длительный период.
Острое токсическое воздействие воды из Куршского залива, при котором погибало ≥ 50% особей, для Daphnia magna Straus было отмечено в июне, июле, сентябре и октябре 2017 г. и в июне 2018 г., для Ceriodaphnia affinis Lilljeborg — в июне, июле и сентябре 2017 г. и в июне 2018 г. (табл. 4). Острое токсическое воздействие в ряду поколений для обоих видов наблюдали в августе 2018 г. Хроническое токсическое воздействие, при котором было отмечено подавление рождаемости в опыте по сравнению с контролем, регистрировали в отдельные летние и осенние месяцы 2017–2019 гг. и 2021 г. В остальные периоды наблюдали хроническое стимулирование показателей рождаемости обоих видов или воздействия отмечено не было. В некоторые месяцы в зимний период проводили только острые эксперименты, которые показали отсутствие острой токсичности зимой и для Daphnia magna, и для Ceriodaphnia affinis.
Таблица 4. Результаты биотестирования воды Куршского залива в 2017–2021 гг.
Месяц | Ceriodaphnia affinis | Daphnia magna | ||||||||
2017 | 2018 | 2019 | 2020 | 2021 | 2017 | 2018 | 2019 | 2020 | 2021 | |
Январь | ХВ+ | ХВ+ | – | ОВ+ | – | ХВ+ | ОВ+ | – | ОВ+ | – |
Февраль | ХВ+ | ХВ+ | – | ОВ+ | – | ХВ+ | ХВ+ | – | ХВ+ | – |
Март | ХВ+ | ОВ+ | – | ОВ+ | ХВ– | ХВ+ | ОВ– | – | ХВ+ | ХВ– |
Апрель | ХВ+ | ХВ+ | ОВ– | ОВ– | ОВ– | ОВ– | ХВ+ | ОВ– | ХВ+ | ОВ+ |
Май | ХВ+ | ХВ– | ХВ+ | ХВ+ | ХВ– | ОВ– | ХВ– | ХВ+ | ОВ+ | ХВ+ |
Июнь | ТВ | ТВ | ХВ+ | ХВ+ | ХВ+ | ТВ | ТВ | ОВ+ | ХВ+ | ХВ+ |
Июль | ТВ | ТВ* | ХВ+ | ХВ+ | ХВ+ | ТВ | ТВ* | ОВ+ | ХВ+ | ХВ+ |
Август | ХВ– | ТВ* | ХВ– | ХВ+ | ХВ+ | ХВ– | ТВ* | ОВ+ | ХВ+ | ХВ+ |
Сентябрь | ТВ | ХВ+ | ХВ– | ОВ+ | ОВ+ | ТВ | ХВ+ | ОВ– | ХВ+ | ХВ+ |
Октябрь | ХВ– | ОВ+ | ОВ– | ОВ- | ХВ– | ТВ | ОВ+ | ХВ+ | ОВ– | ХВ– |
Ноябрь | ХВ+ | – | ОВ– | ОВ+ | – | ОВ+ | – | ХВ– | ОВ+ | – |
Декабрь | ОВ+ | – | ОВ+ | ОВ+ | – | ХВ+ | – | ХВ+ | ОВ+ | – |
Примечание. “–” – острого токсичного воздействия нет, хронические опыты не проводили. ОВ+ – отсутствие воздействия (слабое стимулирование). ОВ– – отсутствие воздействия (слабое подавление). ХВ+ – хроническое токсическое воздействие (стимулирование). ХВ– – хроническое токсическое воздействие (подавление). ТВ* – острое токсическое воздействие в ряду поколений. “ТВ” – острое токсическое воздействие.
Таким образом, наиболее сильное отрицательное воздействие на планктонные тест-организмы, проявляющееся в острой токсичности или острой токсичности в ряду поколений, вода из Куршского залива оказывала с июня по сентябрь–октябрь 2017–2018 гг. Также воздействие было негативным при подавлении плодовитости в опыте, что, в основном, отмечали в ряде летних и осенних месяцев 2017–2019 гг. и 2021 г. В остальные периоды воздействие было стимулирующим или отсутствовало.
ОБСУЖДЕНИЕ РЕЗУЛЬТАТОВ
В результате проведенных исследований установлено, что число выявленных таксонов фитопланктона в прибрежной литорали было выше, чем в прибрежной, свободной от макрофитов части залива. По сравнению с 2002–2010 гг., доминирующий комплекс фитопланктона Куршского залива не претерпел существенных изменений (Дмитриева, 2017). Однако на станциях прибрежной зоны в 2020 г. наблюдали меньший вклад в значения биомассы Aphanizomenon sp. на фоне возрастания роли Planktothrix agardhii в июле–августе.
Подобную структурную перестройку в 2020 г. отмечали на станциях вдоль всего побережья Куршского залива (Багиров и др., 2021). Возможно, как следствие структурных перестроек доминирующего комплекса, произошло снижение интенсивности “цветения” воды в 2020–2021 гг. Виды цианобактерий (Planktothrix agardhii, Microcystis sp.,) массово развивающиеся в заливе в эти года, не способны формировать обширные “пятна цветения” и большие по площади скопления подобно тому, как это происходит в случае “цветения” воды Aphanizomenon flos-aquae. В период с 2002 по 2010 гг. Aphanizomenon flos-aquae развивался в заливе более интенсивно, формируя обширные “пятна цветения” и в прибрежной литорали, и в пелагиали водоема (Дмитриева, 2017).
Ранее было установлено, что в прибрежной зоне залива скопление и последующее разложение водорослевых масс может приводить к полному отсутствию кислорода (до 8 сут), что наблюдали в августе 2002 г. (Aleksandrov et al., 2018). Доминирующие в июле–августе 2017–2021 гг. потенциально-токсичные (токсигенные) виды цианобактерий, преимущественно рода Microcystis и Planktothrix agardhii, в Куршском заливе характеризуются различным по интенсивности уровнем развития по годам. Так, наибольшую долю в биомассе и численности клеток видов рода Microcystis наблюдали на станциях в открытой части Куршского залива в 2006 г. (Дмитриева, 2017). По данным исследований литовской части залива, на станции, наиболее близко расположенной к границе с российской частью акватории, концентрация микроцистина (MC-LR) в июле–октябре 2006 г. варьировала от 0 до 134.2 мкг/л и в среднем достигала 13.7 мкг/л (Paldavičienė et al., 2009). Согласно рекомендациям ВОЗ, концентрация микроцистина (MC-LR) в питьевой воде не должна превышать 1 мкг/л при однократном применении и 0.1 мкг/л при многократном потреблении (WHO, 2003). При использовании водоемов в рекреационных целях представляют угрозу численность цианобактерий 20 млрд кл./м3 и концентрации микроцистинов 2–4 мкг/л (WHO, 2004). В 2017 г. концентрация микроцистинов была 5–10 мкг/л в прибрежной защищенной макрофитами литорали и 11.3–13.5 мкг/л в прибрежной зоне вне пояса макрофитной растительности (Герб и др., 2018; Sidelev et al., 2020). Летом 2018 г. выявлено присутствие микроцистинов в воде прибрежной части Куршского залива, но, по сравнению с предыдущими годами, в меньших количествах и с меньшей частотой. В течение летнего периода микроцистины обнаруживали четырежды в концентрации 5 мкг/л в начале июня и 1 мкг/л — в июле–августе (Герб и др., 2019).
Биомасса цианобактерий в летние месяцы 2017–2021 гг. в среднем была выше в прибрежной части залива за поясом макрофитной растительности по сравнению с прибрежной мелководной литоральной зоной. Такая же тенденция была отмечена для численности клеток ПТ цианобактерий и для суммарной средней за год биомассы фитопланктона. Средние за год значения биомассы фитопланктона без учета высоких биомасс, сформировавшихся в результате нагонных явлений, на станции свободной от макрофитной растительности (НЭБ-1) были выше (32 г/м3), чем на станции в литоральной зоне (17 г/м3). Сходные показатели биомассы были получены для литоральной зоны залива вдоль всего побережья Куршской косы при проведении сезонных наблюдений в 2017–2020 гг.: 11.7–18.0 г/м3 (Герб и др., 2018, 2019; Ланге и др., 2020; Багиров и др., 2021). Различия изучаемых показателей могут быть обусловлены расположением станции литоральной зоны в зарослях макрофитов, которые служат ограничивающим барьером для распространения и развития микроводорослей (Семенченко, 2013; Sharip, 2021; Zeng et al., 2022). В макрофитной части оз. Неро был отмечен меньший уровень количественного развития фитопланктона и токсигенных цианобактерий по сравнению с планктонной, что указывало на их конкурентное исключение со стороны водных растений (Сиделев, Семенова, 2022). При увеличении интенсивности зарастания водоема прибрежно-водная растительность начинает подавлять развитие фитопланктона. Объясняется это, главным образом, недостатком солнечного света в зарослях и конкуренцией за биогенные элементы, изменением ионного состава водной среды, а также отрицательным аллелопатическим воздействием. Это происходит уже при биомассе водной растительности ~1.5 кг/м3 (Кутова, 1973; Садчиков, Кудряшов, 2004). Площадь зарастания Куршского залива основными макрофитами — тростником обыкновенным, расширяющим свой ареал в двухтысячных годах по сравнению с концом пятидесятых годов прошлого века, достигает 480 га, камышом озерным — 305 га (Фельдман, 2006). Надземная биомасса только этих видов в 2005–2006 гг. в весенне-летний период была 1.3–1.4 кг/м3 (Фельдман, 2008).
В зоопланктоне в период исследований были отмечены как типичные для Куршского залива виды (Науменко, 2006, 2008, 2009; Семенова, 2010а; Полунина, Родионова, 2017), так и характерные для этого водоема доминирующие виды и их смена по сезонам (Науменко, 2006, 2009; Семенова, 2010а, 2011; Dmitrieva, Semenova, 2011; Герб и др., 2018, 2019; Ланге и др., 2020; Багиров и др., 2021). В отличие от работ, проводимых в последние десятилетия, настоящее исследование выполнено на протяжении всего года и помимо вегетационного периода (с марта–апреля по октябрь–ноябрь) охватывало декабрь, январь и февраль. Подробные исследования в зимний период в Куршском заливе, как и подробные исследования прибрежной зоны в районе НЭБ Атлантического филиала Всероссийского научно-исследовательского института рыбного хозяйства и океанографии были проведены в 1984–1986 гг., т.е. >30 лет назад (Науменко, 2006). По данным наших исследований, по сравнению с исследованиями в 80‑х годах XX в., в зимний и ранневесенний периоды в массе развивался вид Cyclops kolensis, который не регистрировали предыдущие исследователи, но вид указывался как массовый и доминирующий в зимних зоопланктонных сообществах (Ривьер, 2012). Виды Bosmina coregoni f. thersites и Chydorus sphaericus входили в состав доминирующих и в открытой, и в прибрежной зоне Куршского залива в годы наиболее интенсивного “цветения воды” (Семенова, 2010б; Dmitrieva, Semenova, 2011), что также было отмечено и в наших исследованиях.
По данным 80‑х годов XX в., пик численности зоопланктона в прибрежной зоне в районе исследований отмечали в мае, пик биомассы — в июле. По нашим данным (2017–2021 гг.), произошло смещение: пик численности наблюдался в апреле, а пик биомассы — в июне в момент массового развития Daphnia galeata. Такое смещение пиков развития зоопланктона на более ранний период может, с одной стороны, объясняться локальным потеплением климата за последние 30 лет. Это подтверждают объективные наблюдения и тренды роста температур как непосредственно в районе исследований (Семенова, 2013), так и в целом для Балтийского региона (Viitasalo, Bonsdorff, 2022). Большую роль в этом могут играть более мягкие зимы и раннее наступление весны. С другой стороны, наблюдающееся в июле–августе массовое развитие цианобактерий негативно сказывается на крупных Daphnia galeata (Tillmanns et al., 2008; Semenova et al., 2017), которые составляют основу биомассы в июне. Возможно, смещение пика развития дафний на более ранний срок связано и с избеганием “цветений” воды и пресса хищников (Mehner et al., 1998).
Сезонные колебания численности и биомассы зоопланктона, а также их средние значения характерны для Куршского залива и близки к отмеченным для его акватории и района исследований (Науменко, 2006, 2009; Dmitrieva, Semenova, 2011). В соответствии с данными предыдущих наблюдений (Семенова, 2010б), также отмечены более низкие количественные показатели зоопланктона в защищенной макрофитами зоне (ст. НЭБ-2) по сравнению со свободной от макрофитов более глубоководной прибрежной зоной водоема. Сходное распределение количественных показателей в 2017–2021 гг. наблюдали и для фитопланктона. Менее интенсивное развитие фитопланктона на мелководной ст. НЭБ-2 могло ограничивать количественное развитие зоопланктона вследствие уменьшения пищевых ресурсов. Также снижение количественных показателей зоопланктона могло быть связано с прессом хищников (Науменко, 2006; Sagrario et al., 2009).
Массовое развитие цианобактерий наиболее негативно сказывалось на сообществе зоопланктона в 2017–2019 гг., когда в летне-осенний период отмечали повышенные доли мертвых особей в зоопланктоне — особенно среди наиболее чувствительных к “цветению” воды видов (Семенова, 2011; Semenova et al, 2017). Воздействие токсинов цианобактерий служит одной из причин повышения доли мертвых особей в пресноводных экосистемах (Tang et al., 2014). На ст. НЭБ-1, по-видимому, основной причиной повышенной гибели зоопланктона было влияние цианотоксинов Microcystis spp., для которых в Куршском заливе была установлена токсикогенность (Belykh et al., 2013; Semenova et al., 2017). В воде в районе исследований в летний период 2017 г. были зарегистрированы микроцистины в бóльших концентрациях, чем в 2018 г. (Герб и др., 2018, 2019). В 2017–2019 гг. выявлена положительная корреляция доли мертвых особей в зоопланктоне и биомассы Microcystis spp. — аналогично тому, как это наблюдали в заливе в 2007 и 2008 гг. (Семенова, Дмитриева, 2010). Токсическое влияние на зоопланктон также подтверждается данными биотестирования, согласно которым в летне-осенний период 2017–2018 гг. было отмечено острое токсическое воздействие на планктонных ракообразных. В июле и августе 2018 г., по данным биотестирования, наблюдали гибель ≥50% особей Daphnia magna и Ceriodaphnia affinis за более длительный период, чем предполагают острые эксперименты по установлению токсичности. Вероятно, это связано с накопительным эффектом воздействия токсинов, концентрация которых была ниже, чем в 2017 г. (Герб и др., 2018, 2019; Sidelev et al., 2020; Nandini, Sarma, 2023). Также следует отметить и 2019 г., когда доли мертвых особей в летне-осенний период были ниже, чем в 2017–2018 гг., а по данным биотестирования, острое токсическое воздействие отсутствовало. Выявлено лишь хроническое подавление репродуктивных показателей, хотя биомассы Microcystis spp. в отдельные месяцы были велики. Таким образом, и по данным наблюдений в природе, и по лабораторным исследованиям возможное воздействие цианотоксинов на зоопланктон в летне-осенний период 2019 г. было слабым. В водоемах популяция цианобактерий часто представлена несколькими видами, при этом токсичность цианотоксинов, образованных штаммами одного вида, может различаться на несколько порядков (Sivonen, Jones, 1999). На процентное соотношение токсигенных видов в фитопланктоне способно оказать синергетический эффект сочетание повышенной температуры с другими абиотическими и биотическими факторами среды (Rastogi et al., 2015). Показано, что штаммы Microcystis aeruginosa, не проявлявшие токсичных свойств, начинают продуцировать токсины при повышении температуры воды (Dzialls, Grossart, 2011). В 2019 г. в фитопланктоне Куршского залива могли развиваться нетоксигенные представители цианобактерий или сочетание абиотических условий не способствовало синтезу микроцистинов токсигенными штаммами цианобактерий. На ст. НЭБ-2 к воздействию токсинов на зоопланктон может добавляться фактор пониженного содержания кислорода в момент нагона больших биомасс фитопланктона и их последующего разложения (Брагинский и др., 1968). Этот эффект, по-видимому, возникал в октябре–ноябре 2018 г. Заморные явления в прибрежной зоне в результате нагонов отмечали в прибрежной зоне Куршского залива и ранее (Ежова и др., 2012; Семенова, 2013; Aleksandrov et al., 2018). Несмотря на повышенные значения доли мертвых особей в зоопланктоне в 2018 г., отмеченные в 2017–2021 гг. максимальные значения этого показателя были на обеих станциях ниже зарегистрированных для Куршского залива в летний и осенний периоды 2010 г. (Семенова, 2013). В 2010 г. в условиях аномального жаркого лета доля мертвых особей достигала 76.2 и 62.0% численности и биомассы зоопланктона соответственно. В этот период на части акватории залива зарегистрировано подавление развития зоопланктонного сообщества в целом, аналогичные явления подавления зоопланктона при массовом цветении цианобактерий были отмечены в 2010 г. в Чебоксарском вдхр. (Копылов и др., 2020). То есть в отдельные годы (до 2017–2021 гг.) на акватории Куршского залива в момент цианобактериальных “цветений” воды воздействие на зоопланктон могло быть более интенсивным, чем в 2017–2018 гг.
Исследования, посвященные биотестированию природных вод на планктонных тест-организмах немногочисленны (Томилина и др., 2018, 2020; Ложкина и др., 2020; Tomilina et al., 2021). Ни в одном из них не было зафиксировано острого токсического воздействия, хотя в исследованных водоемах (оз. Неро, Рыбинское вдхр., р. Волга) периодически отмечают “цветения” воды цианобактериями, в том числе токсичными (Корнева и др., 2012; Chernova et al., 2020; Сиделев, Семенова, 2022). По-видимому, в Куршском заливе уровень развития токсичных видов цианобактерий, способных негативно влиять на планктонных животных, превышает уровень их развития в перечисленных выше водоемах. Это подтверждают данные о меньшем содержании микроцистинов в водах их акваторий (0.1–5.3 мкг/л) по сравнению с таковым в водах Куршского залива (13.7 мкг/л) (Paldavičienė et al., 2009; Sidelev et al., 2020).
ЗАКЛЮЧЕНИЕ
Сезонная динамика фитопланктона прибрежной зоны Куршского залива в 2017–2021 гг. характеризовалась развитием преимущественно диатомовых водорослей зимой и цианобактерий и диатомей весной, летом и осенью. В среднем за исследуемый период суммарная биомасса фитопланктона, биомасса цианобактерий и численность клеток ПТ таксонов на более глубоководной ст. НЭБ-1 была выше во все сезоны, по сравнению с мелководной ст. НЭБ-2. Исключением были октябрь и ноябрь 2018 г., когда в период нагонных ветров в прибрежной зоне в зарослях макрофитов скапливались большие биомассы цианобактерий и, соответственно, происходило значительное увеличение суммарной биомассы фитопланктона. В зоопланктоне района исследований, по сравнению с данными 1980‑х годов, Cyclops kolensis стал доминирующим видом зимних и ранневесенних сообществ. Пик численности зоопланктона сместился на апрель, пик биомассы — на июнь, что может быть связано с локальным потеплением климата и избеганием планктонными организмами летних “цветений” воды. Максимальная степень воздействия цианобактериальных “цветений” и выделяющихся в этот период метаболитов (микроцистинов) на зоопланктонные организмы, проявляющаяся в возрастании доли мертвых особей в зоопланктоне и остром токсическом воздействии согласно результатам биотестирования, зафиксирована в летне-осенний период 2017–2018 гг. В это время были отмечены наибольшие численности ПТ цианобактерий, превышающие норматив ВОЗ в июле–сентябре в 3–11 раз и в 1–6 раз на станциях НЭБ-1 и НЭБ-2 соответственно, также зарегистрированы наибольшие биомасса видов рода Microcystis и содержание токсинов в воде залива. Осенью 2018 г. в период нагонных явлений в менее глубоководной зоне были выявлены максимальные доли мертвых особей зоопланктона. Минимальную степень воздействия на зоопланктон отмечали в 2020 г., когда численность ПТ цианобактерий, биомасса Microcystis и фитопланктона в целом были самыми низкими за исследуемый период. Доля мертвых особей в зоопланктоне летом и осенью 2020 г. также была наименьшей. В это время было зафиксировано лишь хроническое токсическое воздействие на тест-объекты, которое заключалось в стимулировании их репродуктивных показателей, связанных с повышенной продуктивностью воды Куршского залива, или же токсического воздействия не отмечали.
БЛАГОДАРНОСТИ
Авторы искренне признательны сотрудникам Атлантического филиала Всероссийского научно-исследовательского института рыбного хозяйства и океанографии Дюшкову Н.П., Приставко Ю.В., а также Мальфанову И.Л. за помощь при сборе материала в Куршском заливе.
ФИНАНСИРОВАНИЕ
Экспедиционные исследования, а также обработка проб выполнены при поддержке государственного задания Атлантического филиала Российского федерального научно-исследовательского института рыбного хозяйства и океанографии (тема № 076-00001-24-00); анализ и интерпретация данных по фитопланктону выполнены при поддержке государственного задания ИО РАН (тема № FMWE-2024-0021); анализ и интерпретация данных по зоопланктону и биотестированию выполнены при поддержке государственного задания ИБВВ РАН № 124032500016-4 "Разнообразие, биология и экология водных и околоводных беспозвоночных континентальных вод".
Сокращения: ПТ – потенциально-токсичный; НЭБ – научно-экспериментальная база; ВОЗ – Всемирная организация здравоохранения.
About the authors
O. A. Dmitrieva
Russian Federal Research Institute of Fisheries and Oceanography “VNIRO”; Shirshov Institute оf Oceanology, Russian Academy of Sciences
Author for correspondence.
Email: phytob@yandex.ru
Atlantic Branch
Russian Federation, Kaliningrad; MoscowA. S. Semenova
Russian Federal Research Institute of Fisheries and Oceanography “VNIRO”; Papanin Institute for Biology of Inland Waters Russian Academy of Sciences
Email: phytob@yandex.ru
Atlantic Branch
Russian Federation, Kaliningrad; Borok, Nekouzskii raion, Yaroslavl oblastE. Y. Kazakova
Russian Federal Research Institute of Fisheries and Oceanography “VNIRO”
Email: phytob@yandex.ru
Atlantic Branch
Russian Federation, KaliningradReferences
- Андроникова И.Н. 1996. Структурно-функциональная организация зоопланктона озерных экосистем разных трофических типов. СПб.: Наука.
- Багиров Н.Э., Ежова Е.Е., Ланге Е.К. и др. 2021. Результаты экологического мониторинга прибрежной зоны Куршского залива на территории национального парка “Куршская коса” в 2020 году // Проблемы изучения и охраны природного и культурного наследия национального парка “Куршская коса”. С. 144.
- Биологические методы контроля. Методика определения токсичности воды и водных вытяжек из почв, осадков сточных вод, отходов по смертности и изменению плодовитости дафний. 2007. ФР 1.39.2007.03222. М.: Акварос.
- Брагинский Л.П., Береза В.Д., Величко И.М. и др. 1968. “Пятна цветения”, нагонные массы, выбросы сине-зеленых водорослей и происходящие в них биологические процессы // “Цветение” воды. Киев: Наук. думка. С. 92.
- Герб М.А., Ежова Е.Е., Ланге Е.К. и др. 2019. Характеристика состояния биоты литоральной зоны Куршского залива на территории национального парка “Куршская коса” в 2018 году // Проблемы изучения и охраны природного и культурного наследия национального парка “Куршская коса”. Калининград: Изд-во Балтийск. федеральн. ун-та им. И. Канта. Вып. 15. С. 82.
- Герб М.А., Ланге Е.К., Ежова Е.Е., и др. 2018. Характеристика состояния биоты литоральной зоны Куршского залива в национальном парке “Куршская коса” в 2017 г. // Проблемы изучения и охраны природного и культурного наследия национального парка “Куршская коса”. Калининград: Изд-во Балтийск. федеральн. ун-та им. И. Канта. Вып. 14. С. 72.
- Дмитриева О.А. 2017. Исследование закономерностей пространственно-временных изменений структурных и количественных показателей фитопланктона в различных районах Балтийского моря: Дис. … 309 с.
- Дубовская О.П. 2008. Оценка количества мертвых особей рачкового зоопланктона в водоеме с помощью окрашивания проб анилиновым голубым: методические аспекты применения // Журн. Сиб. Фед. ун-та. Сер. Биология. № 2. С. 145.
- Ежова Е.Е., Ланге Е.К., Русских Я.В. и др. 2012. Токсические “цветения” фитопланктона в Куршском и Вислинском заливах Балтийского моря // Междунар. конф. “Актуальные проблемы планктонологии”: Тез. докл. Калининград: Изд-во АтлантНИРО. С. 100.
- Корнева Л.Г., Соловьева В.В., Русских Я.В., Чернова Е.Н. 2012. Состояние фитопланктона и содержание цианотоксинов в Рыбинском, Горьковском и Чебоксарском водохранилищах в период аномально жаркого лета 2010 г. // Бассейн Волги в XXI веке: структура и функционирование экосистем водохранилищ: Матер. докл. Всерос. конф. пос. Борок, 22–26 октября 2012 г. Ижевск: Издатель Пермяков. С. 138.
- Копылов А.И., Лазарева В.И., Минеева Н.М., Заботкина Е.А. 2020. Планктонное сообщество крупного эвтрофного водохранилища в период аномально высокой температуры воды // Биол. внутр. вод. № 4. С. 315. https://doi.org/10.31857/S0320965220040099
- Кутова Т.Н. 1973. О соотношении развития высших растений и фитопланктона в оз. Едрово // Изв. ГосНИОРХ. Т. 84. С. 96.
- Ланге Е.К. 2013. Фитопланктонный комплекс российской части Куршского залива (2001–2007 гг.) // Изв. Калининград. гос. техн. ун-та. № 28. С. 87.
- Ланге Е.К., Герб М.А., Ежова Е.Е., и др. 2020. Результаты экологического мониторинга прибрежной зоны Куршского залива на территории национального парка “Куршская коса” в 2019 году // Проблемы изучения и охраны природного и культурного наследия национального парка “Куршская коса”. Калининград: Изд-во Балтийск. федеральн. ун-та им. И. Канта. Вып. 16. С. 99.
- Ложкина Р.А., Томилина И.И., Гапеева М.В. 2020. Долговременные изменения качества воды Рыбинского водохранилища по данным биотестирования // Трансформация экосистем. № 3. С. 125.
- Методика изучения биогеоценозов внутренних водоемов. 1975. М.: Наука.
- Методика определения токсичности воды и водных вытяжек из почв, осадков сточных вод, отходов по смертности и изменению плодовитости цериодафний. 2007. Федеральный реестр (ФР). ФР 1.39.2007.03221. М.: Акварос.
- Науменко Е.Н. 2006. Зоопланктон прибрежной части Куршского залива. Калининград: Изд-во АтлантНИРО.
- Науменко Е.Н. 2008. Видовой состав зоопланктона Куршского и Вислинского заливов Балтийского моря // Тр. Зоол.ин-та РАН. Т. 312. № 1/2. С. 155.
- Науменко Е.Н. 2009. Зоопланктон в эстуариях разного типа (на примере Куршского и Вислинского заливов Балтийского моря) // Биология внутр. вод. № 1. С. 76.
- Оленина И.А. 1996. Видовой состав фитопланктона залива Куршю-Марес и прибрежной зоны юго-восточной части Балтийского моря // Botanica Lithuanica. Т. 2. № 3. С. 259.
- Полунина Ю.Ю., Родионова Н.В. 2017. Характеристика зоопланктонного сообщества // Система Балтийского моря. М.: Науч. мир. С. 258.
- Ривьер И.К. 2012. Холодноводный зоопланктон озер бассейна Верхней Волги. Ижевск: Издатель Пермяков С.А.
- Садчиков А.П., Кудряшов М.А. 2004. Экология прибрежно-водной растительности. М.: Изд-во НИА-Природа. РЭФИА.
- Семенова А.С. 2010а. Индикаторная роль зоопланктона в оценке экологического состояния Куршского залива: Дис. ... канд. биол. наук: 03.02.08. Борок. 280 с.
- Семенова А.С. 2010б. Изменения зоопланктона Куршского залива в период “гиперцветения” воды // Поволжский экол. журн. № 1. С. 86.
- Семенова А.С. 2011. Доля мертвых особей в зоопланктоне Куршского залива Балтийского моря // Биология внутр. вод. № 3. С. 35.
- Семенова А.С. 2013. Изменение показателей смертности зоопланктона Куршского залива в условиях аномально жаркого лета 2010 г. // Вода: химия и экология. № 12(65). С. 50.
- Семенова А.С., Дмитриева О.А. 2010. “Цветение” сине-зеленых водорослей как одна из причин повышения смертности зоопланктона Куршского залива Балтийского моря // Бюл. МОИП. Отд. Биол. Т. 118. № 6. С. 19.
- Семенова С.Н., Смыслов В.А. 2005. Состояние фитоцена Куршского залива Балтийского моря на рубеже XX–XXI веков // Гидробиологические исследования в бассейне Балтийского моря, Атлантическом и Тихом океанах на рубеже тысячелетий. Калининград: Изд-во АтлантНИРО. C. 17.
- Семенченко В.П. 2013. Зоопланктон литоральной зоны озер разного типа. Минск: Беларус. навука. С. 172.
- Сиделев С.И., Семенова А.С. 2022. Пространственное распределение хлорофилла “а”, токсичных цианобактерий и зоопланктона в макрофитной и фитопланктонной частях оз. Неро (Ярославская обл.) // Актуальные проблемы планктонологии: IV Всерос. конф.: Матер. (Светлогорск, 25–30 сентября 2022 г.). Калининград: ФГБОУ ВО “КГТУ”. С. 177.
- Сиделев С.И., Семенова А.С. 2019. Экологическая роль цианобактериальных токсинов (микроцистинов) в водных экосистемах // Цианобактерии/цианобактерии: систематика, экология, распространение: Матер. докл. II Междунар. науч. шк.-конф. С. 54.
- Сухаревич В.И., Поляк Ю.М. 2020. Глобальное распространение цианобактерий: причины и последствия (обзор) // Биология внутр. вод. № 6. С. 562. https://doi.org/10.31857/S0320965220060170
- Томилина И.И., Гапеева М.В., Ложкина Р.А. 2018. Оценка качества воды и донных отложений каскада водохранилищ р. Волга по показателям токсичности и химического состава // Тр. Ин-та биол. внутр. вод РАН. № 82(85). С. 106.
- Томилина И.И., Ложкина Р.А., Чалова И.В. 2020. Токсикологические исследования мелководного высокоэвтрофного оз. Неро (Ярославская область). Сообщение 1. Вода // Тр. Ин-та биол. внутр. вод РАН. № 91(94). С. 100.
- Уселите С.И. 1959. Фитопланктон залива Куршю Марес и его сезонная динамика // Куршю Марес. С. 139.
- Фельдман М.В. 2006. Оценка распространения и запаса аэрогидрофитов российской части Куршского залива // Проблемы изучении и охраны природного и культурного наследия национального парка “Куршская коса”. Калининград. С. 172.
- Фельдман М.В. 2008. Высшая водная растительность Куршского залива // Рыбохозяйственный кадастр трансграничных водоемов России (Калининградская область) и Литвы. Калининград: Изд-во “ИП Мишуткина”. С. 25.
- Aleksandrov S., Krek A., Bubnova E., Danchenkov A. 2018. Eutrophication and effects of algal bloom in the south-western part of the Curonian Lagoon alongside the Curonian Spit (Russia) // Baltica. V. 31. № 1. P. 1. https://doi.org/10.5200/baltica.2018.31.01
- Belykh O.I., Dmitrieva O.A., Gladkikh A.S., Sorokovikova E.G. 2013. Identification of toxigenic cyanobacteria of the genus Microcystis in the Curonian Lagoon (Baltic Sea) // Oceanology. V. 53. № 1. P. 71. https://doi.org/10.7868/S0030157413010024
- Bickel S.L., Tang K.W., Grossart H.P. 2008. Use of aniline blue to distinguish live and dead crustacean zooplankton composition in freshwaters // Freshwater Biol. V. 54. № 5. P. 971. https://doi.org/10.1111/j.1365-2427.2008.02141.x
- Chernova E., Sidelev S., Russkikh I. et al. 2020. Spatial distribution of cyanotoxins and ratios of microcystin to biomass indicators in the reservoirs of the Volga, Kama and Don Rivers, the European part of Russia // Limnologica. V. 84. P. 125. https://doi.org/10.1016/j.limno.2020.125819
- Dmitrieva O.A., Semenova A.S. 2011. Seasonal dynamics of phyto- and zooplankton and their Interactions in the hypereutrophic reservoir // Inland Water Biol. V. 4. № 3. P. 308. https://doi.org/10.1134/S1995082911030059
- Dzialls C., Grossart H.P. 2011. Increasing oxygen and water temperature select for Microcystis sP. // PloS One. V.6 (9). P. e25569. https://doi.org/10.1371/journal.pone.0025569
- Haney J.F., Hall D.J. 1973. Sugar-coated Daphnia: Apreservation technique for Cladocera // Limnol., Oceanogr. V. 18. № 2. P. 331. https://doi.org/10.4319/lo.1973.18.2.0331
- Mehner T., Hulsmann S., Worischka S. et al. 1998. Is the midsummer decline of daphnia really induced by age-0 fish predation? Comparison of fish consumption and daphnia mortality and life history parameters in a biomanipulated reservoir // J. Plankton Res. V. 20. № 9. P. 1797. https://doi.org/10.1093/plankt/20.9.1797
- Nandini S., Sarma S.S. 2023. Experimental studies on zooplankton-toxic cyanobacteria interactions: a Review // Toxics. V.11. № 2. Р. 176. https://doi.org/10.3390/toxics11020176
- Omidi A., Esterhuizen-Londt M., Pflugmacher S. 2018. Still challenging: the ecological function of the cyanobacterial toxin microcystin — what we know so far // Toxin ReV. V. 37. P. 87. https://doi.org/10.1080/15569543.2017.1326059
- Overlingė D., Toruńska-Sitarz A., Katarzyte M. et al. 2021. Characterization and diversity of microcystins produced by cyanobacteria from the Curonian Lagoon (SE Baltic Sea) // Toxins. V. 13. № 12. P. 838. https://doi.org/10.3390/toxins13120838
- Paldavičienė A., Mazur-Marzec H., Razinkovas A. 2009. Toxic cyanobacteria blooms in the Lithuanian part of the Curonian Lagoon // Oceanologia. V. 51(2). P. 203. http://dx.doi.org/10.5697/oc.51-2.203
- Pattanaik B., Wulff A., Roleda M.Y. et al. 2010. Production of the cyanotoxin nodularin — a multifactorial approach // Harmful Algae. № 10. Р. 30. https://doi.org/10.1016/j.hal.2010.06.001
- Pei Y., Xu R., Hilt S., Chang X. 2020. Effects of cyanobacterial secondary metabolites on phytoplankton community succession // Co-Evolution of Secondary Metabolites, Ref. Ser. Phytochem. Cambridge: Springer. P. 323. https://doi.org/10.1007/978-3-319-76887-8_12-1
- Pesnya D.S., Kurbatova S.A., Sharov A.N. et al. 2022. Genotoxicity of natural water during the mass development of cyanobacteria evaluated by the allium test method: a model experiment with microcosms // Toxins. V. 14(5). P. 359. https://doi.org/10.3390/toxins14050359
- Pham T.L., Dao T.S., Shimizu K. et al. 2015. Isolation and characterization of microcystin-producing cyanobacteria from Dau Tieng Reservoir, Vietnam // Nova Hedwigia. V. 101(1–2). P. 3. https://doi.org/10.1127/NOVA_HEDWIGIA/2014/0243
- Rastogi R.P., Madamwar D., Incharoensakdi A. 2015. Bloom dynamics of cyanobacteria and their toxins: Environmental health impacts and mitigation strategies // Front. Microbiol. № 6. P. 1. https://doi.org/10.3389/fmicb.2015.01254
- Sagrario G., De LosÁngeles M., Balseiro E. et al. 2009. Macrophytes as refuge or risky area for zooplankton: a balance set by littoral predacious macroinvertebrates // Freshwater Biol. V. 54(5). P. 1042. https://doi.org/10.1111/j.1365-2427.2008.02152.x
- Schmidt-Ries H. 1940. Untersuchungen zur Kennthis des Pelagials eines Strangewassers (Kurishes Haff) // Zeitschriften fur Fischerei und deren Hilfwissenschiften. Bd 6. H. 2. P. 138.
- Seepersad B., Crippen R.W. 1978. Use of aniline blue for distinguishing between live and dead freshwater zooplankton // J. Fish Res. Board Canada. V. 35. № 10. P. 1363.
- Semenova A.S., Sidelev S.I., Dmitrieva O.A. 2017. Experimental investigation of natural populations of Daphnia galeata G.O. Sars from the Curonian Lagoon feeding on potentially toxigenic cyanobacteria // Biol. Bull. V. 44. № 5. P. 538. https://doi.org/10.1134/S1062359017050156
- Sharip Z. 2021. Changes in phytoplankton and zooplankton abundance and diversity in macrophyte-dominated and open pelagic ecosystem of shallow reservoirs // Inland Water Biol. V. 14. № 4. P. 427. https://doi.org/10.1134/S1995082921040088
- Sidelev S., Zubishina A., Chernova E. 2020. Distribution of microcystin-producing genes in Microcystis colonies from some Russian freshwaters: Is there any correlation with morphospecies and colony size? // Toxicon. V. 184. P. 136. https://doi.org/10.1016/j.toxicon.2020.06.005
- Sivonen K., Jones G. 1999. Cyanobacterial toxins // Toxic cyanobacteria in Water: a guide to their public health consequences, monitoring and management. Ch. 3. L.: E&FN Spon. P. 41. https://doi.org/10.1201/9781482295061
- Sokal R.R., Rohlf F.J. 1995. Biometry: the principles and practice of statistics in biological research. New York: W. H. Freeman and ComP. P. 887.
- Tang K.W., Gladyshev M.I., Dubovskaya O.P. et al. 2014. Zooplankton carcasses and non-predatory mortality in freshwater and inland sea environments // J. Plankton Res. V. 36(3). P. 597. https://doi.org/10.1093/plankt/fbu014
- Tillmanns A.R., Wilson A.E., Pick F.R., Sarnelle O. 2008. Metaanalysis of cyanobacterial effects on zooplankton population growth rate: species-specific responses // Fundam. Appl. Limnol. V. 171. № 4. P. 285. https://doi.org/10.1127/1863-9135/2008/0171-0285
- Tomilina I.I., Lozhkina R.A., Gapeeva M.V. 2021. Toxicity of bottom sediments of the Rybinsk Reservoir according to long-term biotesting data: Report 1 // Inland Water Biol. V. 14. P. 777. https://doi.org/10.1134/S1995082921060134
- Viitasalo M., Bonsdorff E. 2022. Global climate change and the Baltic Sea ecosystem: direct and indirect effects on species, communities and ecosystem functioning // Earth Syst. Dynam. V. 13. P. 711. https://doi.org/10.5194/esd-13-711-2022
- World Health Organization (WHO). Guidelines for safe recreational water environment. 2003. V. 1. Coastal and Fresh Waters. Geneva: World Health Organization. P. 219.
- World Health Organization (WHO). Guidelines for drinking water quality. 2004. Geneva: World Health Organization. V. 1. P. 407.
- Zeng Q., Wei Z., Yi C. et al. 2022. The effect of different coverage of aquatic plants on the phytoplankton and zooplankton community structures: a study based on a shallow macrophytic lake // Aquat. Ecol. V. 56(4). P. 1347. https://doi.org/10.1007/s10452-022-09970-w
Supplementary files











