Distribution of the Mass Species of Benthic Crustacean on Nearshore Slope the Ladoga Lake
- Authors: Zuyev Y.A.1
-
Affiliations:
- Saint Petersburg Branch of Russian Federal Research Institute of Fisheries and Oceanography
- Issue: No 2 (2023)
- Pages: 210-223
- Section: ЗООПЛАНКТОН, ЗООБЕНТОС, ЗООПЕРИФИТОН
- URL: https://journals.rcsi.science/0320-9652/article/view/134951
- DOI: https://doi.org/10.31857/S0320965223020298
- EDN: https://elibrary.ru/BUWNJS
- ID: 134951
Cite item
Full Text
Abstract
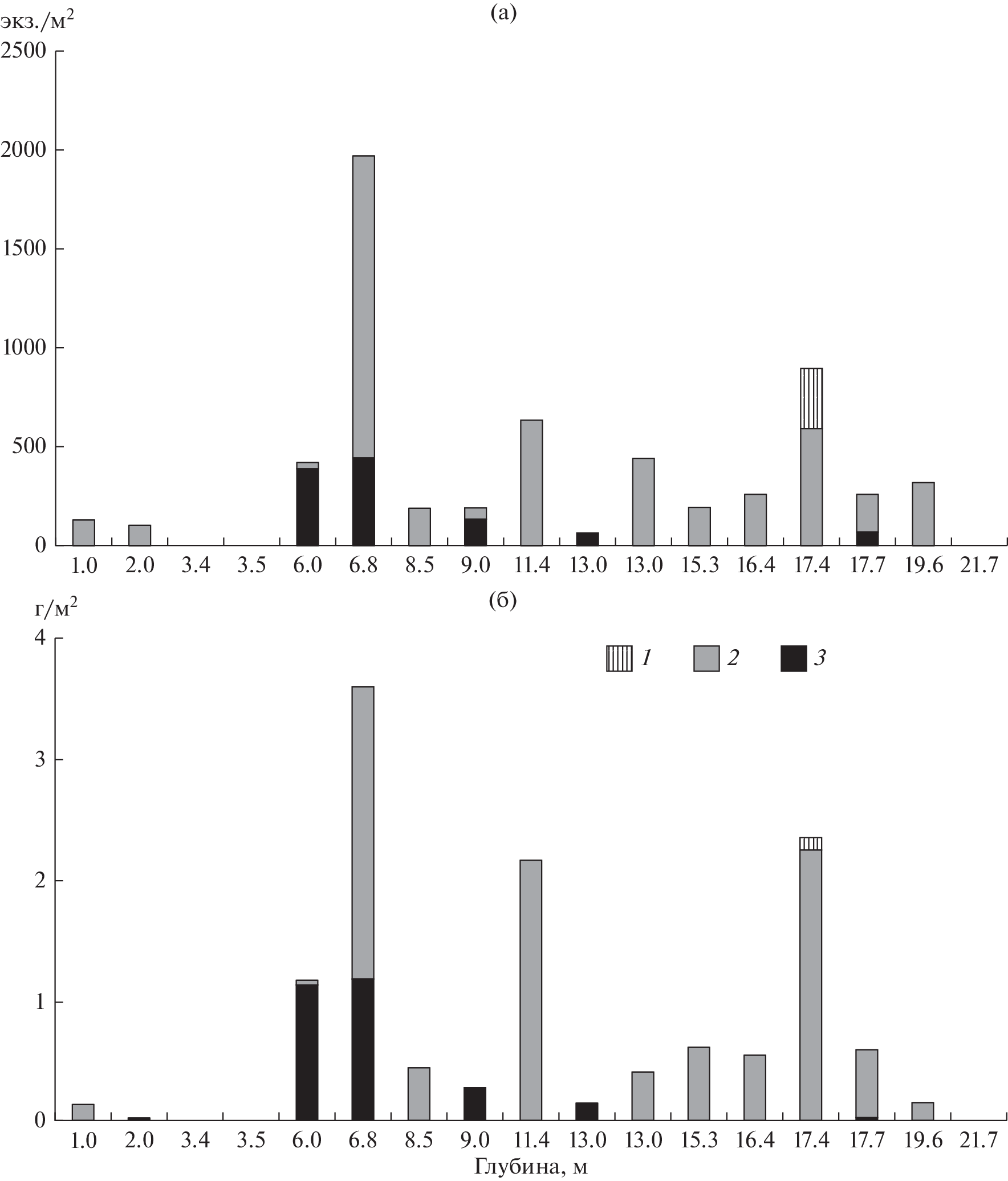
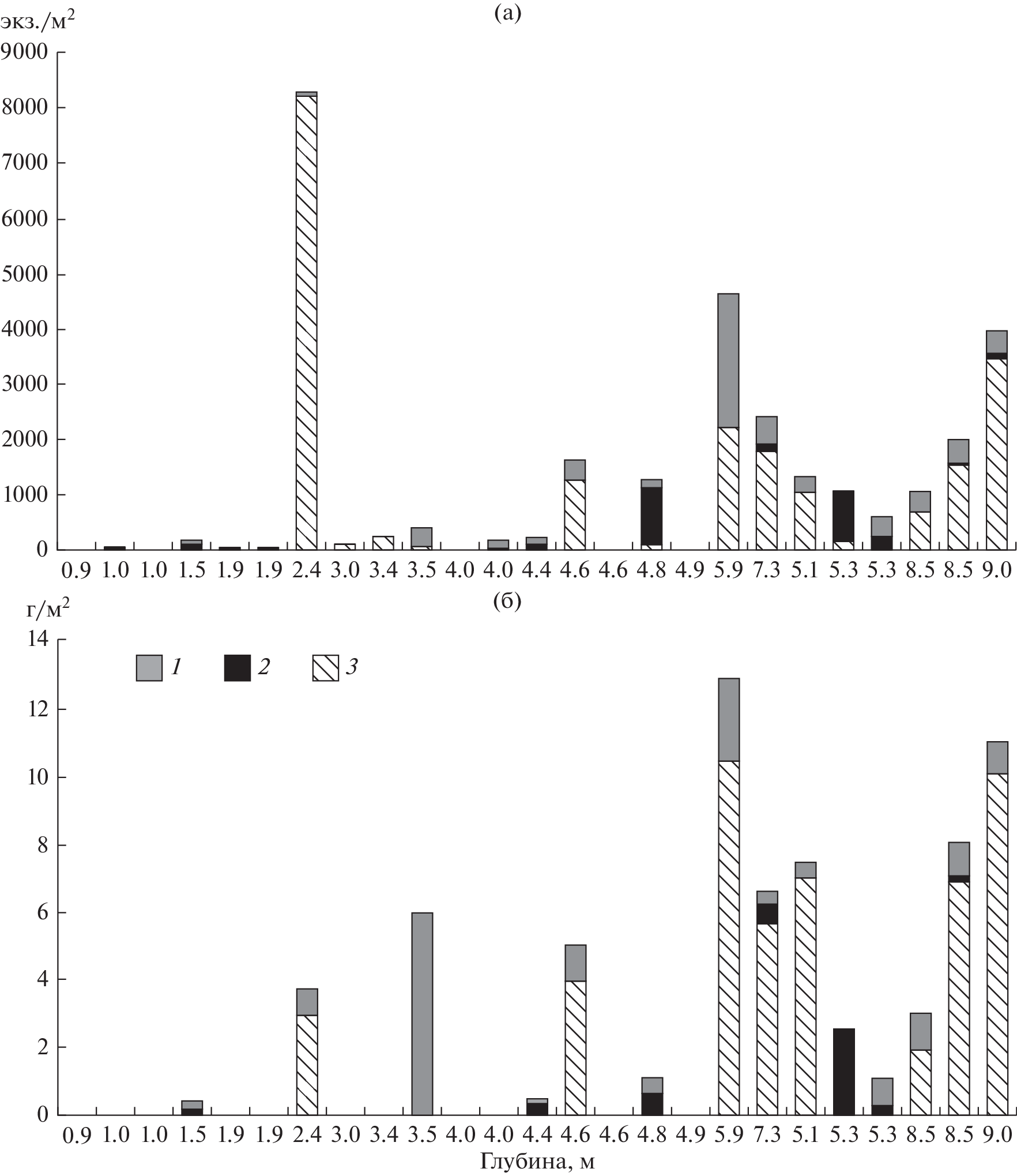
The species list and distribution of crustacean of a nearshore zone of the Valaam Island (Ladoga Lake) have been investigated by sampler-syringe, dredge and video records. On the depth 1–25 m the five species of crustacean: Asellus aquaticus (Linnaeus, 1758), Monoporeia affinis (Lindström, 1855), Pallaseopsis quadrispinosa (G.O. Sars, 1867), Gmelinoides fasciatus (Stebbing, 1899), Mysis relicta Lovén, 1862 were described. For the first time the vertical distribution of naturalized Baikal amphipods G. fasciatus were inventoried and their features of joint residence with local species were characterized. The distribution of the alien species reliably connected with wave intensity, types of grounds and depth range. The most numerous local species P. quadrispinosa distribution affects by depth range. The types of grounds do not influence on the quantity of all indigenous crustacean in the nearshore zone. In all condition the local species successfully compete with G. fasciatus. All these species inhabit of littoral have higher resistance for wave action as compared with non-indigenous species. It guarantees existence of refuges which can safe diversity of the indigenous species. The obtained data on the spatial distribution of crustaceans make possible to characterize the benthic communities of the little-studied parts of the littoral and sublittoral and, as a result, the food base of bentophagous fishes.
Keywords
About the authors
Yu. A. Zuyev
Saint Petersburg Branch of Russian Federal Research Institute of Fisheries and Oceanography
Author for correspondence.
Email: yzuyev@yandex.ru
Russia, St. Petersburg
References
- Барбашова М.А., Слепухина Т.Д. 2002. Макрозообентос литоральной зоны заливов шхерного района озера // Ладожское озеро – прошлое, настоящее, будущее. Санкт-Петербург: Наука.
- Барбашова М.А., Курашов Е.А. 2011. Макрофауна литоральной зоны Ладожского озера // Литоральная зона Ладожского озера. Санкт-Петербург: Наука.
- Барков Д.В. 2006. Экология и биология байкальского вселенца Gmelinoides fasciatus (Stebbing, 1899) и его роль в экосистеме Ладожского озера: Автореф. дис. … канд. биол. наук. Санкт-Петербург.
- Барков Д.В., Курашов Е.А. 2005. Значение байкальской амфиподы Gmelinoides fasciatus (Stebb.) в структуре макрозообентоса литорали о. Валаам (Ладожское озеро) // Эл. науч. журн. “Исследовано в России”. 79. С. 820.
- Барышев И.А., Сидорова А.И., Георгиев А.П., Калинкина Н.М. 2021. Биомасса популяции, продукция за вегетационный период и биоресурсное значение инвазивного Gmelinoides fasciatus (Сrustacea: Amphipoda) в Онежском озере // Биология внутр. вод. № 4. С. 433. https://doi.org/10.31857/S0320965221040057
- Бекман М.Ю. 1962. Экология и продукция Micruropus possolskii Sow и Gmelinoides fasciatus Stebb. // Систематика и экология ракообразных Байкала. Труды Лимнол. ин-та СО АН СССР. Т. 2. Ч. 1. С. 141.
- Березина Н.А., Панов В.Е. 2004. Популяции амфипод в прибрежных зонах эстуария р. Невы и крупных озер бассейна Балтийского моря // Закономерности гидробиологического режима водоемов разного типа. Москва: Научный мир. С. 179.
- Георгиев А.П., Сидорова А.И., Шустов Ю.А., Лесонен М.А. 2019. Байкальская амфипода Gmelinoides fasciatus (Amphipoda, Crustacea) в питании окуня литоральной зоны Онежского озера (возрастной и сезонный аспекты) // Зоол. журн. Т. 98. № 7(98). С. 749. https://doi.org/10.1134/S0044513419070055
- Голиков А.Н., Скарлато О.А. 1965. Гидробиологические исследования в заливе Посьет с применением водолазной техники // Исследования фауны морей СССР. № 3(9). С. 5.
- Дудакова Д.С., Родионова Н.В., Протопопова Е.В. и др. 2015. Состав и динамика гидробионтов литорали бухты Петрокрепость Ладожского озера // Тр. Карельск. науч. центра РАН. № 2. Сер. Экологические исследования. С. 53. https://doi.org/10.17076/eco42
- Зуев Ю.А., Зуева Н.В. 2013. Опыт исследования макрозообентоса каменистой литорали Ладожского озера // Уч. зап. Российского гос. гидрометеорол. ун-та. № 30. С. 134.
- Калинкина Н.М., Сидорова А.И., Полякова Т.Н. и др. 2016. Снижение численности глубоководного макрозообентоса Онежского озера в условиях многофакторного воздействия // Принципы экологии. № 2. С. 43. https://doi.org/10.15393/j1.art.2016.5182
- Карнаухов Д.Ю., Курашов Е.А. 2020. К вопросу о ночных вертикальных миграциях амфипод в Ладожском озере // Тр. Карельск. науч. центра РАН. № 4. С. 115. https://doi.org/10.17076/lim1140
- Курашов Е.А., Барбашова М.А., Барков Д.В. и др. 2011. Виды-вселенцы в литоральной зоне Ладожского озера. Литоральная зона Ладожского озера. Санкт-Петербург: Наука. С. 279.
- Курашов Е.А., Барбашова М.А., Дудакова Д.С. и др. 2018. Экосистема Ладожского озера: современное состояние и тенденции ее изменения в конце XX–начале XXI в. // Биосфера. № 2(10). С. 65. https://https://doi.org/10.24855/BIOSFERA.V10I2.439
- Лаврентьева Г.М., Мицкевич О.И., Огородникова В.А., Терешенкова Т.В. 2009. Сравнительная оценка сообществ планктона и бентоса Онеги и Ладоги в многолетнем аспекте: (90-е гг. ХХ в. и первое десятилетие ХХI в.) // Рыбохозяйственное исследование больших озер Северо-Запада европейской части России: сборник научных трудов. Санкт-Петербург: Изд-во ДЕАН. Вып. 334. С. 228.
- Панов В.Е. 1994. Байкальская эндемичная амфипода Gmelinoides fasciatus Stebb. в Ладожском озере // Докл. Академии наук. Т. 336. № 2. С. 279.
- Панов В.Е., Павлов А.М. 1986. Методика количественного учета водных беспозвоночных в зарослях камыша и тростника // Гидробиол. журн. Т. 22. № 6. С. 87.
- Распопов И.М., Воронцов Ф.Ф., Слепухина Т.Д. и др. 1990. Роль волнения в формировании биоценозов бентоса больших озер. Ленинград: Наука.
- Распопов И.М., Андроникова И.Н., Слепухина Т.Д. и др. 1998. Прибрежно-водные экотоны больших озер. Санкт-Петербург: РТП ИК “Синтез”.
- Сидорова А.И. 2013. Структурно-функциональные характеристики популяции байкальского вселенца Gmelinoides fasciatus Stebbing (Crustacea: Amphipoda) на северной границе ареала (Онежское озеро): Автореф. дис. … канд. биол. наук. Петрозаводск.
- Смирнов А.Ф. 1964. Морфологическая и биологическая характеристика лудной и ямной палии Ладожского озера // Рыбное хозяйство Карелии. Петрозаводск: Карельское книжное издательство. Вып. 8. С. 130.
- Стальмакова Г.А. 1968. Зообентос Ладожского озера // Биологические ресурсы (зоология) Ладожского озера. Ленинград: Наука. С. 4.
- Степанова А.Б., Бабин А.В., Зуева Н.В. и др. 2016. Анализ антропогенного воздействия на водную систему Валаамского архипелага. Экосистемы Валаамского архипелага (Ладожское озеро) на рубеже 20 и 21 веков. Черты уникальности и современное состояние. Атлас. Санкт-Петербург: Рос. гос. гидрометеорол. ун-т. С. 32.
- Степанова А.Б., Воякина Е.Ю., Бабин А.В. и др. 2020. Результаты исследований прибрежной зоны Ладожского озера в районе Валаамского архипелага (1998–2019 гг.) // Гидрометеорология и экология. № 60. С. 325. https://doi.org/10.33933/2074-2762-2020-60-325-350
- Суслопарова О.Н., Мицкевич О.И., Огородникова В.А., Терешенкова Т.В. 2011. Сезонные и межгодовые изменения основных компонентов экосистемы (фито-, зоопланктон, макрозообентос) Южной Ладоги по результатам исследований в 2009–2010 гг. // Исследование экосистем крупных рыбопромысловых водоемов Северо-Запада России: Сб. науч. тр. Вып. 341. Санкт-Петербург: Нестор-История. С. 201.
- Суслопарова О.Н., Терешенкова Т.В., Огородникова В.А. и др. 2014. Изменения летних гидробиоценозов южной Ладоги по материалам многолетних исследований ГосНИОРХ // Рыбохозяйственные исследования на водных объектах Европейской части России: Сб. науч. работ, посвященный 100-летию ГосНИОРХ. Санкт-Петербург. С. 238.
- Сущеня Л.М., Семенченко В.П., Вежновец В.В. 1986. Биология и продукция реликтовых ракообразных. Минск: Наука и техника.
- Тихомирова Л.П. 1975. Питание ладожских сигов // Рыбохозяйственное изучение внутренних водоемов. № 16. С. 14.
- Тихомирова Л.П., Федорова Г.В. 1979. Рационы сигов Ладожского озера // Изв. ГосНИИ озер. и реч. рыб. хоз-ва. Ленинград: ГосНИОРХ. Т. 141. С. 152.
- Федорова Г.В. 1977. Биологическая характеристика и численность ладожского озерного сига. // Изв. ГосНИОРХ. Т. 125. С. 11.
- Федорова Г.В., Приймак Л.Я. 1987. Питание ладожского озерного сига Coregonus lavaretus baeri n. ladoga Pravdin // Сб. науч. тр. ГосНИОРХ. Вып. 266. С. 11.
- Barbashova M.A., Trifonova M.S., Kurashov E.A. 2021. Features of the Spatial Distribution of Invasive Amphipod Species in the Littoral of Lake Ladoga // Rus. J. Biol. Invasions. V. 12. P. 136. https://doi.org/10.1134/S207511172102003X
- Berezina N.A., Zhakova L.V., Zaporozhets N.V., Panov V.E. 2009. Key role of the amphipod Gmelinoides fasciatus in reed beds of Lake Ladoga // Boreal Environ. Res. V. 14. P. 404.
- Cai Y., Xu H., Vilmi A. et al. 2017. Relative roles of spatial processes, natural factors and anthropogenic stressors in structuring a lake macroinvertebrate metacommunity // Science of the Total Environment. P. 601. 1702. https://doi.org/10.1016/j.scitotenv.2017.05.264
- Grönholm L., Hakala I. 1990. Annual and diurnal vertical migrations and the food of Mysis relicta in Lake Pääjärvi, Southern Finland // Ann. zool. fenn. V. 27. P. 265.
- Hill C. 2006. Life cycle and spatial distribution of the amphipod Pallasea quadrispinosa in a lake in northern Sweden // Ecography. V. 89(4). P. 298. https://https://doi.org/10.1111/j.1600-0587.1988.tb00813.x
- Karnaukhov D.Y., Kaus A., Sartoris L. et al. 2016. Behavior of lake Baikal amphipods as a part of the night migratory complex in the Kluevka settlement region (south-eastern Baikal) // Crustaceana. V. 89(4). P. 419. https://doi.org/10.1163/15685403-00003530
- Lobanova A.S., Shustov Y.A., Alaytsev D.P. et al. 2017. The role of invasive amphipod Gmelinoides fasciatus (Stebbing) in the feeding of perch Perca fluviatilis L. in the littoral zone of Lake Onega // Rus. J. Biol. Invasions. V. 8(3). P. 261. https://doi.org/10.1134/S2075111717030092
- Lake Peipsi. Flora and Fauna. Zoobenthos. 2001. Tartu: Sulemees Publ. P. 82.
- O’Malley B.P., Dillon R.A., Paddock R.W. et al. 2018. An underwater video system to assess abundance and behavior of epibenthic Mysis // Limnol., Oceanogr.: Methods. V. 16(12). P. 868. https://doi.org/10.1002/lom3.10289
- Särkkä J., Meriläinen J.J., Hynynen J. 1990. The distribution of relict crustaceans in Finland: new observations and some problems and ideas concerning relicts // Ann. Zool. Fenn. V. 27. P. 221.
- Vitagliano G., Fano E.A., Marchetti E. et al. 1991. Importance of longevity, growth, and diapause in the evolution of Asellus aquaticus // Bolletino di zoologia. V. 3. P. 125.
- Zmudzinski L. 1990. Past and recent occurrence of Malacostraca glacial relicts in Polish lakes // Ann. zool. fenn. V. 27. P. 227.
Supplementary files








