The Influence of Abiotic Factors on the Structural and Functional Characteristics of the Diatom Algae Cerataulina pelagica (Сleve) Hendey
- Authors: Stelmakh L.V.1
-
Affiliations:
- Kovalevsky Institute of Biology of the Southern Seas of Russian Academy of Sciences
- Issue: No 2 (2023)
- Pages: 174-184
- Section: ФИТОПЛАНКТОН, ФИТОБЕНТОС, ФИТОПЕРИФИТОН
- URL: https://journals.rcsi.science/0320-9652/article/view/134947
- DOI: https://doi.org/10.31857/S0320965223020237
- EDN: https://elibrary.ru/BUKTGK
- ID: 134947
Cite item
Full Text
Abstract
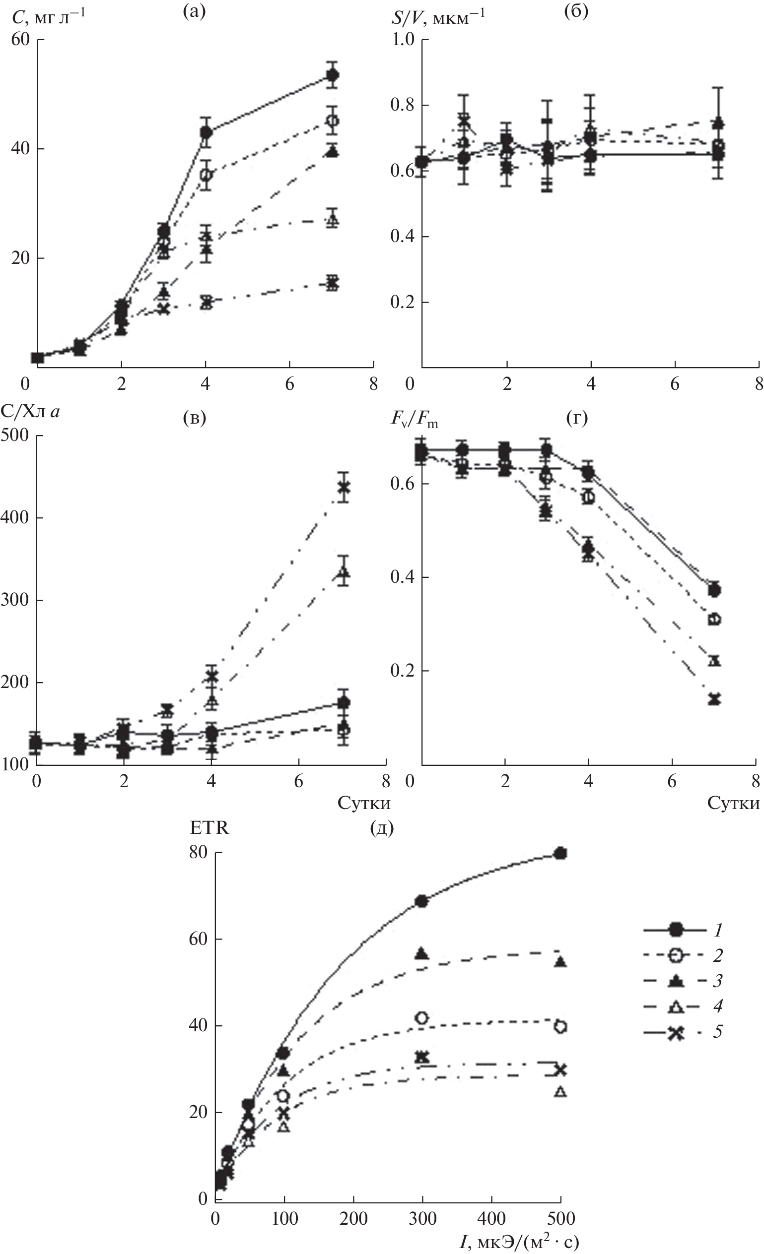
Using the electron microscopy method, the species identity of the diatom Cerataulina pelagica, isolated in pure culture from the coastal waters of the Black Sea in September 2021, was confirmed. The range of optimal temperature values for the development of this species was identified. The impact of light and biogenic substances on its main structural and functional characteristics has been studied. Acclimation of C. pelagica to various light intensities was carried out by changing the efficiency of photosystem II, the C/Chl a ratio, and the specific growth rate. The morphometric parameters of cells (volume, surface area, and specific surface area) changed slightly in the studied light range – 8.5–510 μE/(m2 · s). The transfer of C. pelagica cells, which have the maximum intracellular pool of nutrients, to seawater depleted in nutrients caused a rapid increase in the C/Chl a ratio, as well as a decrease in the efficiency of photosystem II, the relative rate of electron transport, and the specific growth rate. A high degree of toxicity with copper ion in low concentrations in relation to the studied species was shown.
About the authors
L. V. Stelmakh
Kovalevsky Institute of Biology of the Southern Seas of Russian Academy of Sciences
Author for correspondence.
Email: lustelm@mail.ru
Russia, Sevastopol
References
- Бергер В.Я., Митяев М.В., Сухотин А.А. 2016. Опыт использования метода мокрого сжигания для определения концентрации взвешенных органических веществ в морской воде // Океанология. Т. 56. № 2. С. 328. https://doi.org/10.7868/S0030157416020015
- Брянцева Ю.В., Лях А.М., Сергеева А.В. 2005. Расчет объемов и площадей поверхности одноклеточных водорослей Черного моря. Севастополь. (Препринт, Ин-т биол. южных морей).
- Кораблина И.В., Барабашин Т.О., Геворкян Ж.В. и др. 2021. Динамика распределения тяжелых металлов в водной толще северо-восточной части Черного моря после 2000 г. // Тр. ВНИРО. Т. 183. С. 96. https://doi.org/10.36038/2307-3497-2021-183-96-112
- Стельмах Л.В., Губанов В.И., Бабич И.И. 2004. Сезонные изменения скорости роста и лимитирование фитопланктона питательными веществами в прибрежных водах Черного моря в районе Севастополя // Мор. экол. журн. Т. 3. № 4. С. 55.
- Стельмах Л.В. 2022. Особенности структурных и функциональных характеристик диатомовой водоросли Pseudosolenia calcar-avis // Биология внутр. вод. № 3. С. 300. https://doi.org/10.31857/S0320965222030184
- Финенко З.З., Стельмах Л.В., Мансурова И.М. и др. 2017. Сезонная динамика структурных и функциональных показателей фитопланктонного сообщества в Cевастопольской бухте // Системы контроля окружающей среды. Вып. 29. С. 73. https://doi.org/10.33075/2220-5861-2017-3-73-82
- Шоман Н.Ю. 2015. Динамика внутриклеточного содержания углерода, азота и хлорофилла a в условиях накопительного роста диатомовой водоросли Phaeodactylum tricornutum (Bohlin, 1897) при разной интенсивности света // Биология моря. Т. 41. № 5. С. 324. https://elibrary.ru/item.asp?id=24862972
- Ajani P.A., Davies C.H., Eriksen R.S. et al. 2020. Global Warming Impacts Micro-Phytoplankton at a Long-Term Pacific Ocean Coastal Station // Front. Mar. Sci. V. 7: 576011. https://doi.org/10.3389/fmars.2020.576011
- Akimov A.I., Solomonova E.S. 2019. Characteristics of growth and fluorescence of certain types of algae during acclimation to different temperatures under culture conditions // Oceanology. V. 59. Iss. 3. P. 316. https://doi.org/10.1134/S0001437019030019
- Cruz S., Serôdio J. 2008. Relationship of rapid light curves of variable fluorescence to photoacclimation and non-photochemical quenching in a benthic diatom // Aquat. Bot. V. 88. P. 256.
- Edwards K.F., Klausmeier C.A., Litchman E. 2011. Evidence for a three-way trade-off between nitrogen and phosphorus competitive abilities and cell size in phytoplankton // Ecology. V. 92. P. 2085. https://doi.org/10.1890/11-0395.1
- Guillard R.R.L., Ryther J.H. 1962. Studies of marine planktonic diatoms. I. Cyclotella nana Hustedt and Detonula confervacea Cleve // Can. J. Microbiol. V. 8. P. 229.
- Hernández-Becerril D.U. 2020. Morphology of two species of the marine planktonic diatom genus Cerataulina H. Peragallo ex Schütt (Bacillariophyta) from the Tropical Mexican Pacific, including a new record for the area // Bol. Inst. Oceanogr. V. 59(01). P. 9.
- Kvíderová J., Lukavský J. 2003. The cultivation of Phaeodactylum tricornutum in crossed gradients of temperature and light // Algol. Stud. V. 110(1). P. 67. https://doi.org/10.1127/1864-1318/2003/0110-0067
- MacIntyre H.L., Kana T.M., Anning T. et al. 2002. Photoacclimation of photosynthesis irradiance response curves and photosynthetic pigments in microalgae and cyanobacteria // J. Phycol. V. 38. P. 17.
- Mann D.G. 1999. The species concept in diatoms // Phycologia. V. 38. Iss. 6. P. 437. https://doi.org/10.2216/i0031-8884-38-6-437.1
- Marañón E., Cermeño P., Lopez-Sandoval D.C. et al. 2013. Unimodal size scaling of phytoplankton growth and the size dependence of nutrient uptake and use // Ecol. Lett. V. 16. P. 371. https://doi.org/10.1111/ele.12052
- Mikaelyan A.S., Kubryakov A.A., Silkin V.A. et al. 2018. Regional climate and patterns of phytoplankton annual succession in the open waters of the Black Sea // Deep Sea Res. Pt. I. V. 142. P. 44. https://doi.org/10.1016/j.dsr.2018.08.00
- Moncheva S., Gotsis-Skretas O., Pagou K. et al. 2001. Phytoplankton Blooms in Black Sea and Mediterranean Coastal Ecosystems Subjected to Anthropogenic Eutrophication: Similarities and Differences // Estuarine, Coastal and Shelf Science. V. 53. P. 281. https://doi.org/10.1006/ecss.2001.0767
- Moreno-Garrido I., Lubián L.M., Soares A.M.V.M. 2000. Influence of Cellular Density on Determination of EC50 in Microalgal Growth Inhibition Tests // Ecotoxicol. Environ. Saf. V. 47. P. 112116. https://doi.org/10.1006/eesa.2000.1953
- Protocols for the Joint Global Ocean Flux Study (JGOFS) Core Measurements. JGOFS Report Nr. 19, vi+170 pp. Reprint of the IOC Manuals and Guides No. 29. UNESCO. 1994. https://hdl.handle.net/11329/220
- Raven J.A. 1987. The role of vacuoles // New Phytologist. V. 106. Iss. 3. P. 357.
- Schreiber V., Dersch J., Puzik K. et al. 2017. The Central Vacuole of the Diatom Phaeodactylum tricornutum: Identification of New Vacuolar Membrane Proteins and of a Functional Di-leucine-based Targeting Motif // Protist. V. 168. Iss. 3. P. 271. https://doi.org/10.1016/j.protis.2017.03.001
- Sherr E.B., Sherr B.F. 2007. Heterotrophic dinoflagellates: a significant component of microzooplankton biomass and major grazers of diatoms in the sea // Mar. Ecol. Prog. Ser. V. 352. P. 187. https://doi.org/10.3354/meps07161
- Smetacek V. 1999. Diatoms and the ocean carbon cycle // Protist. V. 150. Iss. 1. P. 25. https://doi.org/10.1016/S1434-4610(99)70006-4
- Sommer U., Charalampous E., Genitsaris S. et al. 2017. Costs, benefits and taxonomic distribution of phytoplankton body size // J. Plankton Res. V. 39. P. 494. https://doi.org/10.1093/plankt/fbw071
- Stelmakh L.V., Georgieva E.Yu. 2014. Microzooplankton: The Trophic Role and Involvement in the Phytoplankton Loss and Bloom-Formation in the Black Sea // Turkish J. Fish. Aquat. Sci. V. 14. P. 955. https://doi.org/10.4194/1303-2712-v14_4_15
- Stelmakh L., Kovrigina N. 2021. Phytoplankton Growth Rate and Microzooplankton Grazing under Conditions of Climatic Changes and Anthropogenic Pollution in the Coastal Waters of the Black Sea (Sevastopol Region) // Water. V. 13. Iss. 22. Article № 3230. 13 p. https://doi.org/10.3390/w13223230
- Tomas C.R. 1997. Identifying Marine Diatoms and Dinoflagellates. New York: Acad. Press.
Supplementary files







