Hematological Parameters of the Australian Red-Clawed Crayfish Cherax quadricarinatus (Decapoda: Parastacidae) when Exposed to Air
- Авторлар: Skafar D.N.1,2,3, Strelkova O.V.1,2, Shumeyko D.V.4,3
-
Мекемелер:
- Kuban State University
- Azov-Black Sea Branch of the Russian Federal Research Institute of Fisheries and Oceanography
- Scientific-Productional Centre “Aquatechbiotope”
- International Taraz innovative institute named after Sh. Murtaza
- Шығарылым: № 5 (2023)
- Беттер: 715-724
- Бөлім: Articles
- URL: https://journals.rcsi.science/0320-9652/article/view/134939
- DOI: https://doi.org/10.31857/S0320965223050157
- EDN: https://elibrary.ru/FBDRLN
- ID: 134939
Дәйексөз келтіру
Толық мәтін
Аннотация
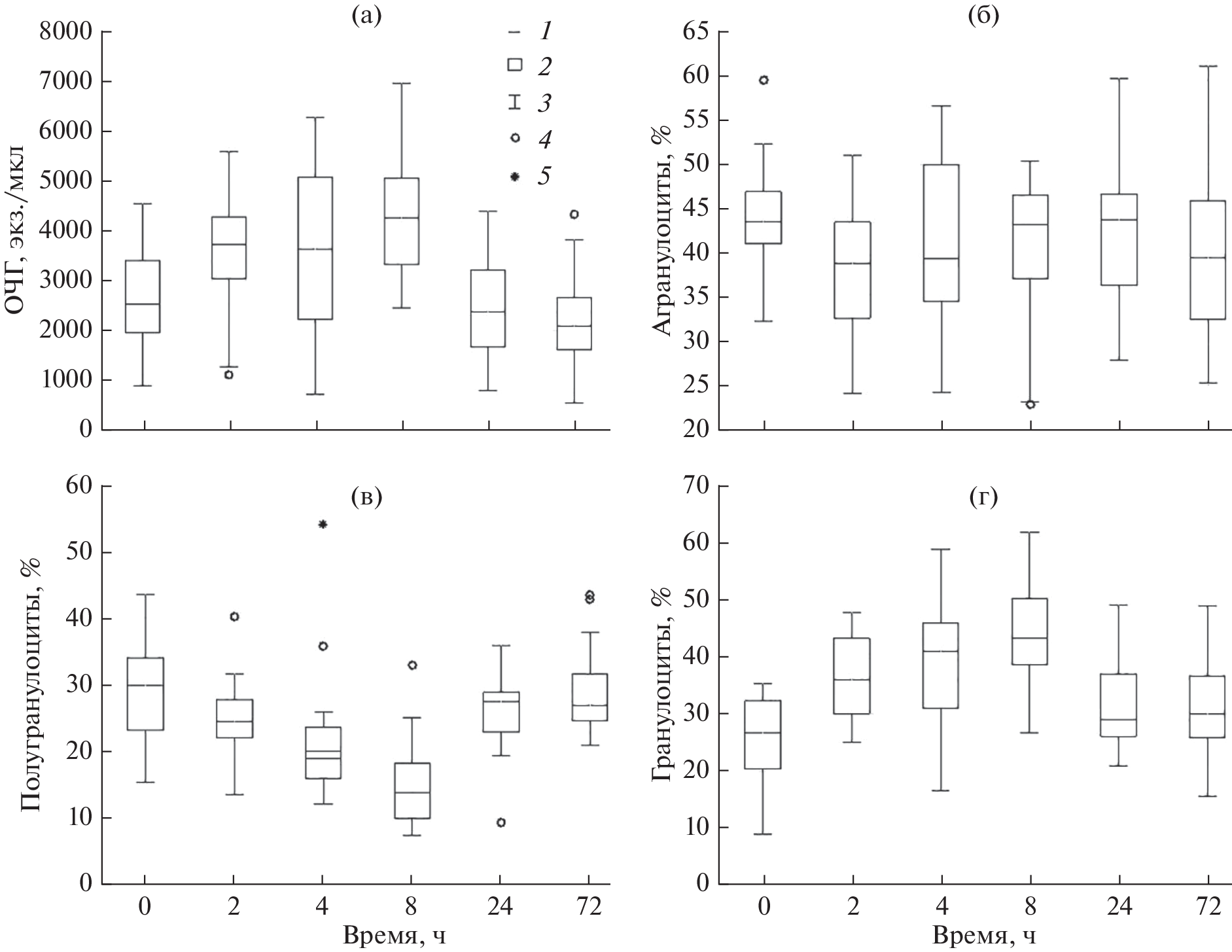
The effect of exposure on the hematological parameters of the red claw crayfish Cherax quadricarinatus Von Martens 1868 was studied. Hemolymph was taken immediately after extraction from the water after 2, 4, 8 hours of exposure on the shore and 24 and 72 hours after returning to the water. Determined total hemocyte counts (THC), hemogram, general protein and hemocyanin disease. The dynamics of the growth of hematological parameters in the temporal aspect was revealed: THC and the proportion of granulocytes increased to reveal the entire pattern of growth, the proportion of agranulocytes and the total content of protein and hemocyanin. After exposure on the shore, the color of the hemolymph changed from bluish with a grayish tint to cloudy gray-green (deviation from the norm). The data obtained indicate the development of compensatory factors and pathological properties in response to stress, the occurrence of symptoms in the air, which can be used in practice in assessing the state of the red claw cancer in the process of transport.
Авторлар туралы
D. Skafar
Kuban State University; Azov-Black Sea Branch of the Russian Federal Research Institute of Fisheries and Oceanography; Scientific-Productional Centre “Aquatechbiotope”
Хат алмасуға жауапты Автор.
Email: skafden@mail.ru
Russia, Krasnodar; Russia, Rostov-on-Don; Russia, Krasnodar
O. Strelkova
Kuban State University; Azov-Black Sea Branch of the Russian Federal Research Institute of Fisheries and Oceanography
Email: skafden@mail.ru
Russia, Krasnodar; Russia, Rostov-on-Don
D. Shumeyko
International Taraz innovative institute named after Sh. Murtaza; Scientific-Productional Centre “Aquatechbiotope”
Email: skafden@mail.ru
Kazakhstan, Taraz; Russia, Krasnodar
Әдебиет тізімі
- Александрова E.H., Ковачева Н.П. 2010. Прижизненное определение физиологического статуса десятиногих ракообразных (Сrustacea: Decapoda) по гематологическим показателям // Успехи физиол. наук. Т. 41. № 2. С. 51.
- Кладченко Е.С., Андреева А.Ю., Кухарева Т.А. 2022. Влияние краткосрочной ранжированной гипоксии на функциональные и морфологические показатели гемоцитов Тихоокеанской устрицы Crassostrea gigas (Thunberg, 1793). Журн. эвол. биохим. физиол. Т. 58. № 1. С. 43.
- Ковачева Н.П., Александрова Е.Н. 2010. Гематологические показатели как индикаторы физиологического состояния декапод: камчатского краба Paralithodes camtschaticus и речных раков родов Astacus и Pontastacus. М.: ВНИРО.
- Лагуткина Л.Ю., Кузьмина Е.Г., Таранина А.А. и др. 2020. Фактологическое обеспечение практик повышения эффективности выращивания тропических пресноводных видов // Вест. Астрахан. гос. тех. ун-та. Сер.: Рыбн. хоз-во. № 2. С. 94. https://doi.org/10.24143/2073-5529-2020-2-94-105
- Мартынова М.Г., Быстрова О.М., Парфенов В.Н. 2008. Синтез нуклеиновых кислот и локализация предсердного натрийуретического пептида в гемоцитах речного рака // Цитология. Т. 50. № 3. С. 243.
- Пронина Г.И., Корягина Н.Ю. 2011. Влияние транспортного стресса на гематологические показатели речных раков // Зоотехния. Т. 4. С. 27.
- Скафарь Д.Н., Шумейко Д.В. 2022. Гемоциты австралийского красноклешневого рака (Cherax quadricarinatus): морфология и гемограмма // Журн. эвол. биохим. и физиол. Т. 58. № 6. С. 507. https://doi.org/10.31857/S0044452922060109
- Battison A., Cawthorn R., Horney B. 2003. Classifcation of Homarus americanus hemocytes and the use of diferential hemocyte counts in lobsters infected with Aerococcus viridans var. homari (Gafemia) // J. Invertebr. Pathol. V. 84. P. 177. https://doi.org/10.1016/j.jip.2003.11.005
- Beatty S., Ramsay A., Pinder A., Morgan D. 2019. Reservoirs act as footholds for an invasive freshwater crayfish // Pacific Conservation Biol. V. 26. https://doi.org/10.1071/PC19012
- Bernardi C., Baggiani L., Tirloni E. et al. 2015. Hemolymph parameters as physiological biomarkers in American lobster (Homarus americanus) for monitoring the effects of two commercial maintenance methods // Fish. Res. V. 161. P. 280. https://doi.org/10.1016/j.fishres.2014.08.013
- Chang E.S. 2005. Stressed-out lobsters: crustacean hyperglycemic hormone and stress proteins // Integ. Comp. Biol. V. 45. № 1. P. 43. https://doi.org/10.1093/icb/45.1.43
- Cheng W., Liu C., Kuo C. 2003. Effects of dissolved oxygen on hemolymph parameters of freshwater giant prawn Macrobrachium rosenbergii (de Man) // Aquaculture. V. 220. P. 843. https://doi.org/10.1016/S0044-8486(02)00534-3
- Claussen D.L., Hopper R.A., Sanker A.M. 2000. The Effects of Temperature, Body Size, and Hydration State on the Terrestrial Locomotion of the Crayfish Orconectes Rusticus // J. Crustacean Biol. V. 20. № 2. P. 218. https://doi.org/10.1163/20021975-99990033
- Coughran J., Leckie S. 2007. Invasion of a New South Wales stream by the Tropical Crayfish, Cherax quadricarinatus (von Martens) // Royal Zoological Society of New South Wales. https://doi.org/10.7882/FS.2007.007
- Dong Z., Mao S., Chen Y. et al. 2019. Effects of air-exposure stress on the survival rate and physiology of the swimming crab Portunus trituberculatus // Aquaculture. V. 500. P. 429. https://doi.org/10.1016/j.aquaculture.2018.10
- Fotedar S., Tsvetnenko E., Evans L. 2001. Effect of air exposure on the immune system of the rock lobster Panulirus cygnus // Mar. Freshwater Res. V. 52. № 8. P. 1351. https://doi.org/10.1071/MF01098
- Grote J.R. 1981. The effect of load on locomotion in crayfish // J. Exp. Biol. V. 92. № 1. P. 277. https://doi.org/10.1242/jeb.92.1.277
- Hall M.R., van Ham E.H. 1998. The effects of different types of stress on blood glucose in the giant tiger prawn, Penaeus monodon // J. World Aquacult. Soc. V. 29. № 3. P. 290. https://doi.org/10.1111/j.1749-7345.1998.tb00649.x
- Huner J.V., Lindqvist O.V. 1995. Physiological adaptations of freshwater crayfishes that permit successful aquacultural enterprises // Integr. Comp. Biol. V. 35. P. 12. https://doi.org/10.1093/icb/35.1.12
- Jackson D.C., Wang T., Koldkjaer P., Taylor E.W. 2001. Lactate sequestration in the carapace of the crayfish Austropotamobius pallipes during exposure in air // J. Exp. Biol. V. 204. № 5. P. 941. https://doi.org/10.1242/jeb.204.5.941
- Jones C.M. 1990. The Biology and Aquaculture Potential of the Tropical Freshwater Crayfish, Cherax quadricarinatus. Report No. QI90028. Department of Primary Industries, Queensland, Brisbane, Australia. P. 109.
- Jussila, J., Paganini M., Mansfield S., Evans L.H. 1999a. On physiological responses, plasma glucose, total hemocyte counts and dehydration, of marron Cherax tenuimanus (Smith) to handling and transportation under simulated conditions // Freshwater Crayfish. V. 12. P. 154.
- Jussila, J., Jago J., Tsvetnenko E., Evans L.H. 1999b. Effects of handling or injury disturbance on total hemocyte counts in western rock lobster (Panulirus cygnus George) // International Symposium on Lobster Health Management, 19–21 September, 1999. Australia, Adelaide. P. 52.
- Kerby J.L., Riley SP.D., Kats L.B., Wilson P. 2005. Barriers and flow as limiting factors in the spread of an invasive crayfish (Procambarus clarkii) in Southern California streams // Biol. Conserv. V. 126. P. 402. https://doi.org/10.1016/j.biocon.2005.06.020
- Kouba A., Tíkal J., Císar P. et al 2016. The significance of droughts for hyporheic dwellers: evidence from freshwater crayfish // Sci. Rep. V. 6. № 26569. https://doi.org/10.1038/srep26569
- Leland J.C., Coughran J., Furse J.M. 2012. Further translocation of the Redclaw, Cherax quadricarinatus (Decapoda: Parastacidae), to Lake Ainsworth in northeastern New South Wales, Australia // Crustacean Res. Special Number V. 7. P. 1. https://doi.org/10.18353/crustacea.Special2012.7_1
- Lemmers P., Kroon Rvd., Kleef HHv. et al. 2022. Limiting burrowing activity and overland dispersal of the invasive alien red swamp crayfish Procambarus clarkii by sophisticated design of watercourses // Ecol. Engineering. V. 185. № 106787. https://doi.org/10.1016/j.ecoleng.2022.106787
- Li F., Zheng Z., Li H. et al. 2021. Crayfish hemocytes develop along the granular cell lineage // Sci. Rep. V. 11. № 1. P. 13099. https://doi.org/10.1038/s41598-021-92473-9
- Lorenzon S., Giulianini P.G., Martinis M., Ferrero E.A. 2007. Stress effect of different temperatures and air exposure during transport on physiological profiles in the American lobster Homarus americanus // Comp. Biochem. Physiol. Part A.: Mol. Int. Physiol. V. 147. № 1. P. 94. https://doi.org/10.1016/j.cbpa.2006.11.028
- Lorenzon S., Giulianini P.G., Libralato S. et al. 2008. Stress effect of two different transport systems on the physiological profiles of the crab Cancer pagurus // Aquaculture. V. 278. P. 156. https://doi.org/10.1016/j.aquaculture.2008.03.011
- Lu Y.-P., Zhang X.-X., Zheng P.-H. et al. 2021. Effects of air exposure on survival, histological structure, non-specific immunity and gene expression of red claw crayfish (Cherax quadricarinatus) // Aquacul. Rep. V. 21. P. 100 898. https://doi.org/10.1016/j.aqrep.2021.100898
- Malev O., Šrut M., Maguire I. et al. 2010. Genotoxic, physiological and immunological effects caused by temperature increase, air exposure or food deprivation in freshwater crayfish Astacus leptodactylus // Comp. Biochem. Physiol. Part C: Toxicol. and Pharmacol. V. 152. № 4. P. 433. https://doi.org/10.1016/j.cbpc.2010.07.006
- Morris S., Callaghan J. 1998. The emersion response of the Australian Yabby Cherax destructor to environmental hypoxia and the respiratory and metabolic responses to consequent air-breathing // J. Comp. Physiol. Part B: Biochem. Syst. Environ. Physiol. V. 168. № 5. P. 389. https://doi.org/10.1007/s003600050158
- Morris S., Oliver S. 1999. Circulatory, respiratory and metabolic response to emersion and low temperature of Jasus edwardsii: simulation studies of shipping methods // Comp. Biochem. Physiol. Part A: Mol. Int. Physiol. V. 122. № 3. P. 299. https://doi.org/10.1016/S1095-6433(99)00003-3
- Nickerson K.W., Van Holde K.E. 1971. A comparison of molluscan and arthropod hemocyanin. I. Circular dichroism and absorption spectra // Comp. Biochem. Phys. B. V. 39. P. 855. https://doi.org/10.1016/0305-0491(71)90109-X
- Paterson B.D., Spanoghe P.T. 1997. Stress indicators in marine decapod crustaceans, with particular reference to the grading of western rock lobsters (Panulirus cygnus) during commercial handling // Mar. Fresh. Res. V. 48. № 8. P. 829. https://doi.org/10.1071/MF97137
- Paterson B.D., Spanogle P.T., Davidson G.W. et al. 2005. Prediction survival of western rock lobster Panuluris cygnus, using discriminant analysis of hemolymph parameters taken immediately following simulated handling treatments // New Zealand J. Mar. Freshwater Res. V. 39. № 5. P. 1129. https://doi.org/10.1080/00288330.2005.9517380
- Pond C.M. 1975. The role of the “walking legs” in aquatic and terrestrial locomotion of the crayfish Austropotamobius pallipes (Lereboullet) // J. Exp Biol. V. 62. № 2. P. 447. https://doi.org/10.1242/jeb.62.2.447
- Powell A., Cowing D.M., Eriksson S.P., Johnson M.L. 2017. Stress response according to transport protocol in Norway lobster, Nephrops norvegicus // Crustacean Res. V. 46. P. 17. https://doi.org/10.18353/crustacea.46.0_17
- Puky M. 2014. Invasive Crayfish on Land: Orconectes limosus (Rafinesque, 1817) (Decapoda: Cambaridae) Crossed a Terrestrial Barrier to Move from a Side Arm into the Danube River at Szeremle, Hungary // Acta Zoologica Bulgarica. V. 7. P. 143.
- Qing Li., He B., Chen Y. et al. 2022. Factors Inducing the Crayfish Procambarus clarkii Invasion and Loss of Diversity in Caohai Wetland // Inland Water Biol. V. 15. P. 446. https://doi.org/10.1134/S199508292204040X
- Ramalho R.O., Anastácio P.M. 2015. Factors inducing overland movement of invasive crayfish (Procambarus clarkii) in a ricefield habitat // Hydrobiologia. V. 746. P. 135. https://doi.org/10.1007/s10750-014-2052-9
- Sequeira T., Tavares D., Arala-Chaves M. 1996. Evidence for circulating hemocyte proliferation in the shrimp Penaeus japonicas // Develop. Comp. Immunol. V. 20. № 2. P. 97. https://doi.org/10.1016/0145-305x(96)00001-8
- Söderhäll I., Bangyeekhun E., Mayo S., Söderhäll K. 2003. Hemocyte production and maturation in an invertebrate animal; proliferation and gene expression in hematopoietic stem cells of Pacifastacus leniusculus // Develop. Comp. Immunol. V. 27. № 8. P. 661. https://doi.org/10.1016/s0145-305x(03)00039-9
- Souty-Grosset C., Anastácio P.M., Aquiloni L. et al. 2016. The red swamp crayfish Procambarus clarkii in Europe: impacts on aquatic ecosystems and human well-being // Limnologica. V. 58 P. 78. https://doi.org/10.1016/j.limno.2016.03.003
- Speed S.R., Baldwin J., Wong R.J., Wells R.M.G. 2001. Metabolic characteristics of muscles in the spiny lobster, Jasus edwardsii, and responses to emersion during simulated live transport // Comp. Biochem. Physiol. Part B: Biochem. Mol. Biol. V. 128. № 3. P. 435. https://doi.org/10.1016/S1096-4959(00)00340-7
- Sukhachev A.N., Dyachkov I.S., Romanyuk D.S. et al. 2013. Morphological analysis of hemocytes of ascidian Halocynthia aurantium // Cell Tiss. Biol. (Tsitologiya). V. 55. № 12. P. 901.
- Taylor H.H., Paterson B.D., Wong R.J., Wells R.M.G. 1997. Physiology and live transport of lobsters: report from a workshop // Mar. Fresh. Res. V. 48. № 8. P. 817. https://doi.org/10.1071/MF97197
- Webster S.G. 1996. Measurement of crustacean hyperglycaemic hormone levels in the edible crab Cancer pagurus during emersion stress // J. Exp Biol. V. 199. № 7. P. 1579. https://doi.org/10.1242/jeb.199.7.1579
- Wu M., Chen N., Huang C.X. et al. 2017. Effect of low temperature on globin expression, respiratory metabolic enzyme activities, and gill structure of Litopenaeus vannamei // Biochem. Moscow. V. 82. P. 844. https://doi.org/10.1134/S0006297917070100
- Zhang Z.F., Shao M., Kang K.H. 2006. Classifcation of haematopoietic cells and haemocytes in Chinese prawn Fenneropenaeus chinensis // Fish Shellfish Immunol. V. 21. P. 159. https://doi.org/10.1016/j.fsi.2005.11.003
- Zheng Z., Li F., Li H. et al. 2021. Rapid regulation of hemocyte homeostasis in crayfish and its manipulation by viral infection // Fish and Shellfish Immunol. Reports. № 2. P. 100 035 https://doi.org/10.1016/j.fsirep.2021.100035




