Cardiac Activity of Pontastacus leptodactylus Esch. (Decapoda) under Prolonged Exposure to High Salinity: on the Possibility of Using Freshwater Crayfish in Testing of Brackish Waters
- Authors: Sladkova S.V.1,2,3, Kuznetsova T.V.1, Lyubimtsev V.A.1, Kholodkevich S.V.1,3
-
Affiliations:
- St. Petersburg Federal Research Center of the Russian Academy of Sciences, Scientific Research Centre for Ecological Safety of the Russian Academy of Sciences
- Saint Petersburg State University
- Papanin Institute for Biology of Inland Waters, Russian Academy of Sciences
- Issue: No 5 (2023)
- Pages: 708-714
- Section: Articles
- URL: https://journals.rcsi.science/0320-9652/article/view/134933
- DOI: https://doi.org/10.31857/S0320965223050169
- EDN: https://elibrary.ru/CJKVUQ
- ID: 134933
Cite item
Full Text
Abstract
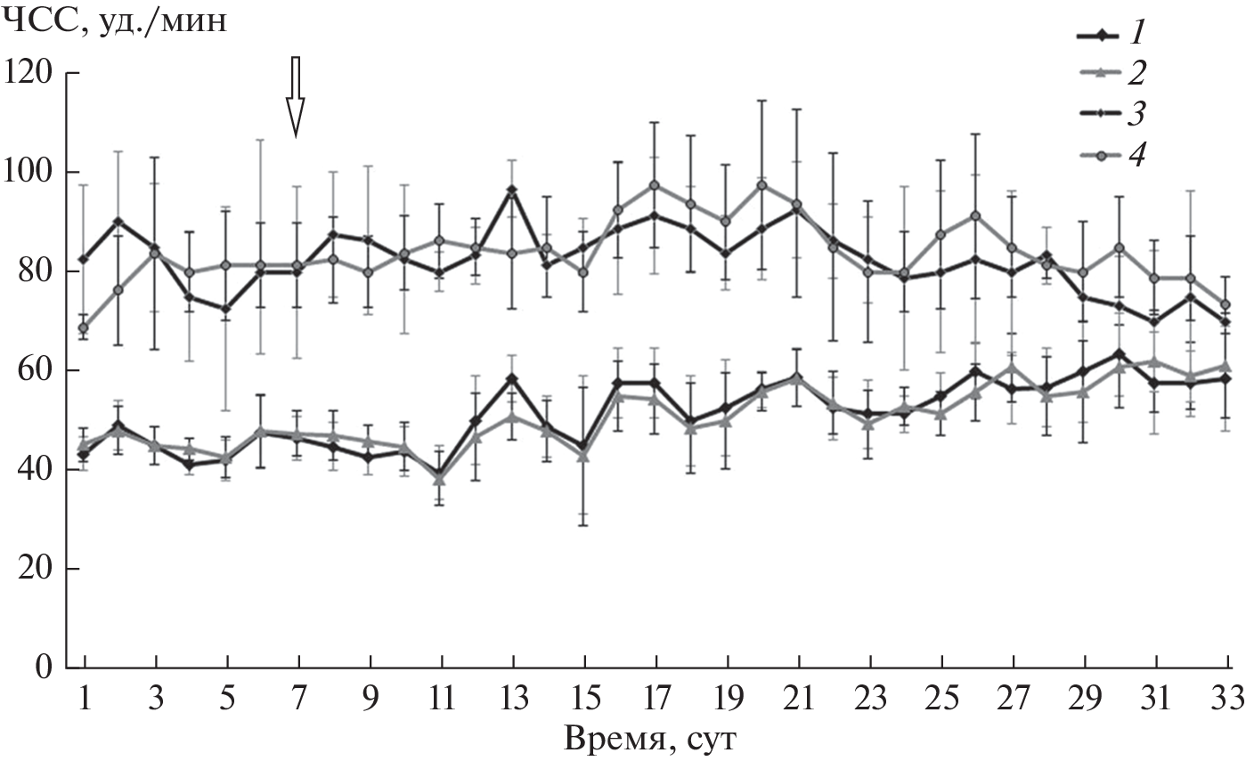
In this study, we analyzed the characteristics of the cardiac activity of crayfish during long-term keeping of animals in an environment with high salinity (6.5‰) in order to find out the fundamental possibility of using them as bioindicators in bioelectronic systems for monitoring the quality of marine coastal waters under high anthropogenic load. Similar salinity values were noted for many bays of the Baltic Sea sub-regions, for example, the Tallinn and Bothnian bays, which are characterized by intense anthropogenic load. It was found that an increase in water salinity from 0 to 6.5‰ caused an initial short-term increase in heart rate (HR) by 30%. It has been shown that crayfish can not only successfully survive for 1 month in high salinity water, but also change the characteristics of cardiac activity to a small extent. Some features were revealed in crayfish in water with altered salinity. During exposure to saline solution, crayfish showed a clear diurnal rhythm of cardiac activity. The rhythmicity of the heart rate disappeared a few days before the molt in both fresh and salt water. The study made it possible to draw a conclusion about the possibility of using freshwater crayfish in bioelectronic systems for continuous monitoring of the functional state of representatives of the local biota and for identifying the biological effects of pollutants in both fresh and brackish water.
About the authors
S. V. Sladkova
St. Petersburg Federal Research Center of the Russian Academy of Sciences, Scientific Research Centre for Ecological Safetyof the Russian Academy of Sciences; Saint Petersburg State University; Papanin Institute for Biology of Inland Waters, Russian Academy of Sciences
Author for correspondence.
Email: sladkova_sv1@mail.ru
Russia, St.-Petersburg; Russia, Saint Petersburg; Russia, Nekouzskii raion, Yaroslavl oblast, Borok
T. V. Kuznetsova
St. Petersburg Federal Research Center of the Russian Academy of Sciences, Scientific Research Centre for Ecological Safetyof the Russian Academy of Sciences
Email: sladkova_sv1@mail.ru
Russia, St.-Petersburg
V. A. Lyubimtsev
St. Petersburg Federal Research Center of the Russian Academy of Sciences, Scientific Research Centre for Ecological Safetyof the Russian Academy of Sciences
Email: sladkova_sv1@mail.ru
Russia, St.-Petersburg
S. V. Kholodkevich
St. Petersburg Federal Research Center of the Russian Academy of Sciences, Scientific Research Centre for Ecological Safetyof the Russian Academy of Sciences; Papanin Institute for Biology of Inland Waters, Russian Academy of Sciences
Email: sladkova_sv1@mail.ru
Russia, St.-Petersburg; Russia, Nekouzskii raion, Yaroslavl oblast, Borok
References
- Барышев И.А., Сидорова А.И., Георгиев А.П., Калинкина Н.М. 2021. Биомасса популяции, продукция за вегетационный период и биоресурсное значение инвазивного Gmelinoides fasciatus (Crustacea: amphipoda) в Онежском озере // Биология внутр. вод. № 4. С. 423.https://doi.org/10.31857/S0320965221040057
- Попова О.С., Смуров А.О. 2009. Paramecia nephridiatum – удобный объект биотестирования воды Балтийского моря // Х Международный экологический форум “День Балтийского моря”. Сборник тезисов. СПб.: ООО “Макси-Принт”. С. 196.
- Сладкова С.В., Холодкевич С.В., Сафронова Д.В., Борисов Р.Р. 2017. Кардиоактивность раков Cherax quadricarinatus (von Martens 1868) в различных физиологических состояниях // Принципы экологии. Т. 3. С. 40. https://doi.org/10.15393/ j1.art.2017.6442
- Черкашина Н.Я. 1972. Питание длиннопалого и толстопалого раков в туркменских водах Каспия // Труды ВНИРО. Т. 90. С. 55.
- Хлебович В.В. 2012. Экология особи (очерки фенотипических адаптаций животных). СПб.: Зоол. ин-т РАН.
- Beatty S., Morgan D., Gill H. 2005. Role of life history strategy in the colonisation of Western Australian aquatic systems by the introduced crayfish Cherax destructor Clark, 1936 // Hydrobiologia. V. 549(1). P. 219.
- Cherkashina N.Y. 1975. Distribution and biology of genus Astacus (Crustacea, Decapoda, Astacidae) in the Turkmen waters of Caspian Sea // Freshwater Crayfish. V. 2. P. 553.
- Cruz M.J., Rebelo R. 2007. Colonization of freshwater habitats by an introduced crayfish in Southwest Iberian Peninsula // Hydrobiologia. V. 575(1). P. 191.
- Holdich D.M., Harlioglu M.M., Firkins I. 1997. Salinity adaptations of crayfish in British waters with particular reference to Austropotamobius pallipes, Astacus leptodactylus и Pacifastacus leniusculus // Estuarine, Coastal and Shelf Science. V. 44. P. 147.
- Holdich D.M. 2002. Biology of Freshwater Crayfish. Oxford: Blackwell Science.
- Kholodkevich S.V., Kuznetsova T.V., Sladkova S.V. et al. 2021. Industrial Operation of the Biological Early Warning System BioArgus for Water Quality Control Using Crayfish as a Biosensor // Water Science and Sustainability. Sustainable Development Goals Series. Cham: Springer. P. 127. https://doi.org/10.1007/978-3-030-57488-8_10
- Köksal G. 1988. Astacus leptodactylus in Europe // Freshwater Crayfish: Biology, Management and Exploitation. London: Chapman. P. 365.
- Kozák P., Kuklina I. 2016. Crayfish as tools of water quality monitoring // Freshwater Crayfish: A Global Overview. Boca Raton: CRS Press. P. 275.
- Kuznetsova T.V., Sladkova S.V., Kholodkevich S.V. 2010. Evaluation of functional state of crayfish Pontastacus leptodactylus in normal and toxic environment by characteristics of their cardiac activity and hemolymph biochemical parameters // J. Evol. Biochem. Physiol. V. 46(3). P. 241.
- McMahon B.R. 1986. The adaptable crayfish: mechanisms and physiological adaptation // Freshwater Crayfish. V. 6. P. 59.
- Rida R., Zein-Eddine R., Kreydiyyeh S. et al. Influence of salinity on survival, growth, hemolymph osmolality, gill sodium potassium ATPase activity, and sodium potassium chloride co-transporter expression in the redclaw crayfish Cherax quadricarinatus // J. World Aquac. Soc. 2021. V. 52. P. 466.
- Safronova D., Lyubimtsev V., Kholodkevich S. 2018. The possibility of usage a bioelectronic system based on the control of changes in the cardioactivity of freshwater crayfish for detection of cases of instantaneous pollution of brackish waters in the eastern part of the Gulf of Finland. International Scientific Forum “Gulf of Finland – natural dynamics and anthropogenic impact” Abstracts, Russia. St. Petersburg, October 17–18, 2018 (VSEGEI). P. 97.
- Styrishave B., Bojsen B.H., Witthofft H., Andersen O. 2007. Diurnal variations in physiology and behaviour of the noble crayfish Astacus astacus and the signal crayfish Pacifastacus leniusculus // Mar. Freshwater Behav. Physiol. V. 40. № 1. P. 63.
- Yildiz H.Y., Köksal G., Karasu Benli A.C. 2004. Physiological response of the crayfish, Astacus leptodactylus to saline water // Crustaceana. V. 77. № 10. P. 1271.
Supplementary files






