Состояние изолированных популяций пеляди Coregonus peled горных озер Алтая по гистологическим показателям и элементному составу хрусталика глаза
- Авторы: Никифоров-Никишин А.Л.1, Никифоров-Никишин Д.Л.1, Кочетков Н.И.1
-
Учреждения:
- Московский государственный университет технологий и управления им. К.Г. Разумовского, факультет биотехнологий и рыбного хозяйства
- Выпуск: № 4 (2023)
- Страницы: 527-540
- Раздел: ИХТИОЛОГИЯ
- URL: https://journals.rcsi.science/0320-9652/article/view/134916
- DOI: https://doi.org/10.31857/S0320965223040186
- EDN: https://elibrary.ru/SBUOMR
- ID: 134916
Цитировать
Полный текст
Аннотация
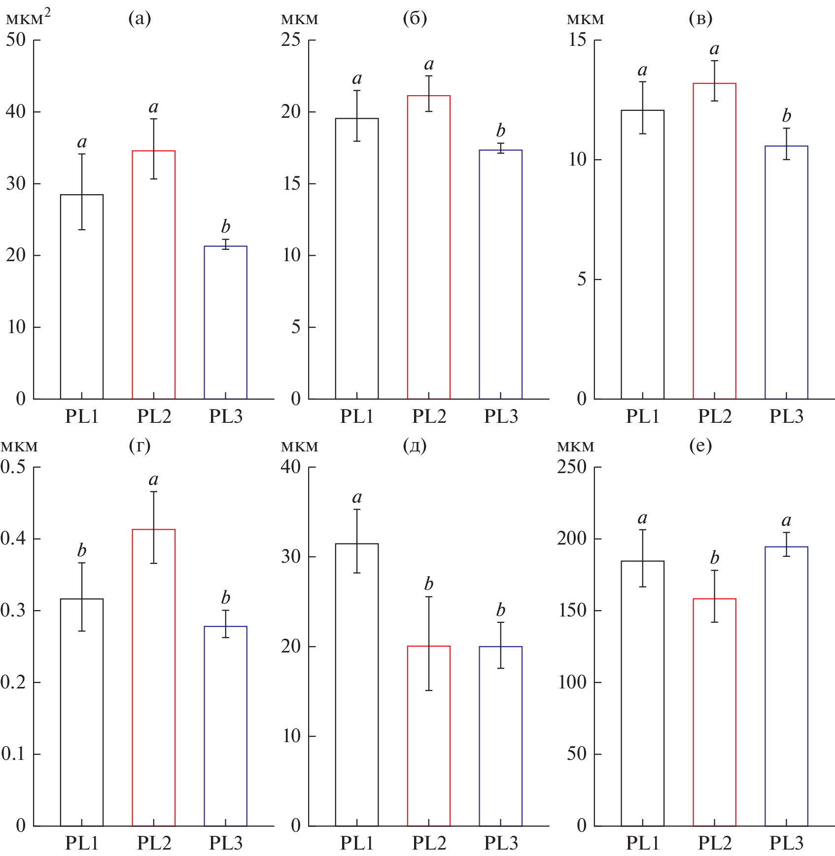
Рассмотрено состояние популяции аборигенного вида рыб в трех озерах горного Алтая. Анализ возраста и массы рыб показал, что в исследуемых водоемах в условиях олиготрофных горных озер популяции пеляди Coregonus peled Gmelin, 1788 демонстрировали различную динамику роста. Возрастной состав рыб различался в водоемах: так, в оз. Кеделю-Коль присутствовали особи четырех возрастных групп (от 1+ до 4+), а в оз. Киделю были только годовики. Гистологическое исследование печени и жабр рыб выявило отсутствие значительных аномалий паразитарной и токсикологической природ. Расчет гистопатологического индекса показал, что распространенность и выраженность патологических отклонений достоверно меньше (p < 0.05) в оз. Киделю. Изучение элементного состава хрусталиков пеляди позволило подтвердить отсутствие значительного уровня загрязнения исследуемых водоемов и высокое качество водной среды. Присутствие в отдельных образцах следовых количеств тяжелых металлов может быть связано с геоморфологическими особенностями региона, участвующими в формировании гидрохимического состава воды исследуемых озер. Полученные в исследовании данные свидетельствуют, что популяции пеляди в изолированных горных озерах Алтая по ряду признаков проявляют различную степень угнетения.
Ключевые слова
Об авторах
А. Л. Никифоров-Никишин
Московский государственный университет технологий и управления им. К.Г. Разумовского,факультет биотехнологий и рыбного хозяйства
Email: 9150699@mail.ru
Россия, Москва
Д. Л. Никифоров-Никишин
Московский государственный университет технологий и управления им. К.Г. Разумовского,факультет биотехнологий и рыбного хозяйства
Email: 9150699@mail.ru
Россия, Москва
Н. И. Кочетков
Московский государственный университет технологий и управления им. К.Г. Разумовского,факультет биотехнологий и рыбного хозяйства
Автор, ответственный за переписку.
Email: 9150699@mail.ru
Россия, Москва
Список литературы
- Алекин О.А. 1970. Основы гидрохимии. Л.: Гидрометеоиздат.
- Вершинин В.К., Зимин А.Г., Коновалова О.С. 1981. Особенности биологии пеляди Coregonus peled (Gmelin), вселенной в озера Горного Алтая // Исследования планктона, бентоса и рыб Сибири. Томск: Изд-во Томск. гос. ун-та. С. 66.
- Вершинин В.К., Гундризер А.Н., Зимин А.Г. 1979. Биология муксуна и пеляди, интродуцированных в озера Горного Алтая // Биологические ресурсы Алтайского края и пути их рационального использования. Барнаул: Тез. докл. к конф. Алтайское кн. изд-во. С. 121.
- Голубцов А.С., Малков Н.П. 2007. Очерк ихтиофауны Республики Алтай: систематическое разнообразие, распространение и охрана. М.: Тов-во науч. изданий КМК.
- Гундризер А.Н. 1967. Состояние рыболовства и возможности рыбоводноакклиматизационных работ в Горном Алтае // Вопросы сельскохозяйственного рыбоводства и гидробиологии Западной Сибири. Барнаул: Тез. докл. к конф. Алтайское кн. изд-во. С. 90.
- Журавлев В.Б., Ломакин С.Л. 2013. История акклиматизации и современный состав ихтиофауны сиговых рыб Каракудюрских озер Улаганского района Республики Алтай // Алтайский зоол. журн. № 7. С. 3.
- Исаков П.В., Селюков А.Г. 2010. Сиговые рыбы в экосистеме Обской губы. Тюмень: Тюмен. гос. ун-т. EDN TJQGVN.
- Конунова А.Н., Малков Н.П. 2010. Ихтиофауна водоемов Улаганского плато (Восточный Алтай) // Биоразнообразие, проблемы экологии Горного Алтая и сопредельных регионов: настоящее, прошлое, будущее: Матер. Второй междунар. конф. 20–24 сентября. С. 52.
- Матковский А.К. 2022. Рост муксуна Coregonus muksun в различных условиях водности р. Обь // Биология внутр. вод. № 3. С. 278. https://doi.org/10.31857/S0320965222030147
- Попов П.А. 2013. О характере распределения рыб на территории Горного Алтая // Вестн. Томск. гос. ун-та. Биология. № 2 (22). С. 141.
- Правдин И.Ф. 1966. Руководство по изучению рыб. Москва: Пищ. пром-сть.
- Руководство по изучению питания рыб в естественных условиях. 1961. М.: Изд-во АН СССР.
- Семенова В.А. 1969. Ресурсы поверхностных вод СССР: Гидрологическая изученность. Т. 15. Вып. 1. Ч. 1. Л.: Гидрометеоиздат.
- Справочник по гидрохимии. 1989. Л.: Гидрометеоиздат.
- Шестаков А.В. 2021. Размерно-возрастная структура и рост сиговых рыб (Coregonidae) арктического оз. Иони (Восточная Чукотка) // Биология внутр. вод. № 2. С. 171.https://doi.org/10.31857/S0320965221010125
- Agamy E. 2012. Histopathological liver alterations in juvenile rabbit fish (Siganus canaliculatus) exposed to light Arabian crude oil, dispersed oil and dispersant // Ecotoxicol. Environ. Saf. V. 75. P. 171. https://doi.org/10.1016/j.ecoenv.2011.09.010
- Antunes A.M., Rocha T. L., Pires F. S. 2017. Gender-specific histopathological response in guppies Poecilia reticulata exposed to glyphosate or its metabolite aminomethylphosphonic acid // J. Appl. Toxicol. V. 37. № 9. P. 1098. https://doi.org/10.1002/jat.3461
- Bernet D., Schmidt H., Meier W. 1999. Histopathology in fish: proposal for a protocol to assess aquatic pollution // J. Fish Dis. V. 22. № 1. P. 25. https://doi.org/10.1046/j.1365-2761.1999.00134.x
- Bezmaternykh D.M., Vdovina O.N. 2020. Altitudinal zonality and natural zoning as factors of bottom invertebrate communities formation in lakes of Western Siberia and Russian Altai // Limnol. Freshw. Biol. P. 908. https://doi.org/10.31951/2658-3518-2020-A-4-908
- Cerqueira C.C.C., Fernandes M.N. 2002. Gill tissue recovery after copper exposure and blood parameter responses in the tropical fish Prochilodus scrofa // Ecotoxicol. Environ. Saf. V. 52. № 2. P. 83.
- Costa P.M., Diniz M.S., Caeiro S. et al. 2009. Histological biomarkers in liver and gills of juvenile Solea senegalensis exposed to contaminated estuarine sediments: a weighted indices approach // Aquat. Toxicol. V. 92. №3. P. 202. https://doi.org/10.1006/eesa.2002.2164
- Fanta E., Rios F. S.A., Romão S. et al. 2003. Histopathology of the fish Corydoras paleatus contaminated with sublethal levels of organophosphorus in water and food // Ecotoxicol. Environ. Saf. V. 54. № 2. P. 119. https://doi.org/10.1016/S0147-6513(02)00044-1
- Fu D., Bridle A., Leef M. et al. 2017. Hepatic expression of metal-related genes and gill histology in sand flathead (Platycephalus bassensis) from a metal contaminated estuary // Mar. Environ. Res. V. 131. P. 80. https://doi.org/10.1016/j.marenvres.2017.09.014
- Gashkina N.A., Moiseenko T. I., Shuman L.A. et al. 2022. Biological responses of whitefish (Coregonus lavaretus L.) to reduced toxic impact: Metal accumulation, haematological, immunological, and histopathological alterations // Ecotoxicol. Environ. Saf. V. 239. P. 113659. https://doi.org/10.1016/j.ecoenv.2022.113659
- Golubtsov A.S., Berendzen P.B., Annett C.A. 1999. Morpholohical variation and taxonomic status of the Altai osman Oreoleuciscus from the upper reaches of the Ob River system // J. Fish Biol. V. 54. P. 879. https://doi.org/10.1111/j.1095-8649.1999.tb02039.x
- Hayden B., Harrod C., Kahilainen K.K. 2013. The effects of winter ice cover on the trophic ecology of whitefish (Coregonus lavaretus L.) in subarctic lakes // Ecol. Freshw. Fish. V. 22. № 2. P. 192. https://doi.org/10.1111/eff.12014
- Kahilainen K., Lehtonen H., Könönen K. 2003. Consequence of habitat segregation to growth rate of two sparsely rakered whitefish (Coregonus lavaretus (L.)) forms in a subarctic lake // Ecol. Freshw. Fish. V. 12. № 4. P. 275. https://doi.org/10.1046/j.1600-0633.2003.00029.x
- Konz I., Fernández B., Fernández M. L. et al. 2014. Quantitative bioimaging of trace elements in the human lens by LA-ICP-MS // Anal. and Bioanal. Chem. V. 406. № 9. P. 2343. https://doi.org/10.1007/s00216-014-7617-y
- Koroleva I.M., Kashulin N.A. 2016. Histopathological cha-racteristics of coregonus fishes under the impact of metal industry // Contemp. Problems Ecol. V. 9. № 2. P. 210. https://doi.org/10.1134/S1995425516020049
- Marigomez I., Soto M., Cancio I. et al. 2006. Cell and tissue biomarkers in mussel, and histopathology in hake and anchovy from Bay of Biscay after the Prestige oil spill (Monitoring Campaign 2003) // Mar. Pollution Bulletin. V. 53. № 5–7. P. 287. https://doi.org/10.1016/j.marpolbul.2005.09.026
- Marty G.D., Hoffmann A., Okihiro M.S. et al. 2003. Retrospective analysis: bile hydrocarbons and histopathology of demersal rockfish in Prince William Sound, Alaska, after the Exxon Valdez oil spill // Mar. Environ. Res. V. 56. № 5. P. 569. https://doi.org/10.1016/S0141-1136(03)00043-6
- Mikaelian I., de Lafontaine Y., Ménard C. et al. 1998. Neoplastic and nonneoplastic hepatic changes in lake whitefish (Coregonus clupeaformis) from the St. Lawrence River, Quebec, Canada // Environ. Health Perspect. V. 106. № 4. P. 179. https://doi.org/10.1289/ehp.98106179
- Myers M.S., Johnson L.L., Hom T. et al. 1998. Toxicopathic hepatic lesions in subadult English sole (pleuronectes vetuls) from Puget Sound, Washington, USA: relationships with other biomarkers of contaminant exposure // Mar. Environ. Res. T. 45. № 1. P. 47. https://doi.org/10.1016/S0141-1136(97)00021-4
- Phrompanya P., Panase P., Saenphet S. et al. 2021. Histopathology and oxidative stress responses of Nile tilapia Oreochromis niloticus exposed to temperature shocks // Fish. Sci. V. 87. № 4. P. 491. https://doi.org/10.1007/s12562-021-01511-y
- Puzanov A.V., Bezmaternykh D.M., Kirillov V.V. et al. 2020. Ecosystem features and environmental problems of lake Teletskoye (Republic of Altai) // Limnol. Freshw. Biol. P. 624. https://doi.org/10.31951/2658-3518-2020-A-4-624
- Reis A.B., Sant’Ana D.D. M.G., Azevedo, J.F.D. et al. 2009. The influence of the aquatic environment in tanks sequetially interconnected with PVC pipes on the gill epithelium and lamellas of tilapia (Oreochromis niloticus) // Pesquisa Veterinaria Brasileira. V. 29. P. 303. https://doi.org/10.1590/S0100-736X2009000400005
- Sales C.F., Silva R.F., Amaral M.G. et al. 2017. Comparative histology in the liver and spleen of three species of freshwater teleost // Neotropical Ichthyol. V. 15. https://doi.org/10.1590/1982-0224-20160041
- Selyukov A.G. 2012. Morphofunctional transformations in fishes of the middle and lower Ob’basin under increasing anthropogenic influence // J. Ichthyol. V. 52. № 8. P. 547. https://doi.org/10.1134/S0032945212040108
- Shuman L.A., Selyukov A.G., Nekrasov I.S. et al. 2019. Histopathology and changes of reproductive parameters in peled, Coregonus peled, from the Lower Ob Basin // Russ. J. Ecol. V. 50. № 4. P. 372. https://doi.org/10.1134/S1067413619040143
- Simakov I., Nikiforov-Nikishin A., Nikiforov-Nikishin D. et al. 2021. Amphibian and fish eye lens used as biomarker of remote and chronic environmental contamination // Ecologica Montenegrina. V. 45. P. 72. https://doi.org/10.37828/em.2021.45.11
- Sutorikhin I.A., Samoylova S.Y., Kolomeitsev A.A. et al. 2020. Hydrometeorological conditions and water regime of the lake Krasilovskoye (Altai krai) in 2013–2017 // Environmental Dynamics and Global Climate Change. V. 11. № 1. P. 49. https://doi.org/10.17816/edgcc34019
- Suvarna K.S., Layton C., Bancroft J.D. 2018. Bancroft’s theory and practice of histological techniques E-Book. Amsterdam: Elsevier.
- Thoolen B., Maronpot R.R., Harada T. et al. 2010. Proliferative and nonproliferative lesions of the rat and mouse hepatobiliary system // Toxicol. Pathol. V. 38. № 7. Suppl. P. 5S. https://doi.org/10.1177/0192623310386499
- Van der Oost R., Beyer J., Vermeulen N.P.E. 2003. Fish bioaccumulation and biomarkers in environmental risk assessment: a review // Environ. Toxicol. Pharmacol. V. 13. № 2. P. 57. https://doi.org/10.1016/S1382-6689(02)00126-6
- Wolf J.C., Baumgartner W.A., Blazer V.S. et al. 2015. Nonlesions, misdiagnoses, missed diagnoses, and other interpretive challenges in fish histopathology studies: a guide for investigators, authors, reviewers, and readers // Toxicol. Pathol. V. 43. № 3. P. 297. https://doi.org/10.1177/0192623314540229
- Wolf J.C., Wolfe M.J. 2005. A brief overview of nonneoplastic hepatic toxicity in fish // Toxicol. Pathol. V. 33. № 1. P. 75. https://doi.org/10.1080/01926230590890187
- Wood C.M., Eom J. 2021. The osmorespiratory compromise in the fish gill // Com. Biochem. Physiol. Part A. V. 254. P. 110895. https://doi.org/10.1016/j.cbpa.2021.110895
- Yermolaeva N.I., Fetter G.V. 2020. The modern state of zooplankton in Altai high mountain lakes // Limnol. Freshw. Biol. P. 760. https://doi.org/10.31951/2658-3518-2020-A-4-760
- Young M.J., Larwood V., Clause J.K. et al. 2022. Eye lenses reveal ontogenetic trophic and habitat shifts in an imperiled fish, Clear Lake hitch (Lavinia exilicauda chi) // Can. J. Fish and Aquat. Sci. V. 79. № 1. P. 21. https://doi.org/10.1139/cjfas-2020-0318
Дополнительные файлы









