Вековые резонансы в зонах действия тессеральных резонансов 1:5 – 1:11 и особенности орбитальной эволюции объектов, населяющих эти зоны
- Authors: Блинкова Е.В.1, Томилова И.В.1, Александрова А.Г.1, Бордовицына Т.В.1, Кучерявченко Н.А.1
-
Affiliations:
- Томский государственный университет
- Issue: Vol 59, No 1 (2025)
- Pages: 88-104
- Section: Articles
- URL: https://journals.rcsi.science/0320-930X/article/view/289453
- DOI: https://doi.org/10.31857/S0320930X25010079
- EDN: https://elibrary.ru/LPQCXP
- ID: 289453
Cite item
Abstract
Представлены данные о распределении вековых резонансов в областях действия тессеральных (орбитальных) резонансов 1:5, 1:7, 1:9, 1:10 и 1:11 со скоростью вращения Земли, а также анализ динамики объектов, движущихся в исследуемых областях. Показано, что вековые резонансы весьма плотно покрывают рассматриваемые области, что в совокупности с орбитальными резонансами может приводить к хаотизации движения объектов. На примере орбитальной эволюции объектов каталога NORAD, движущихся в исследуемой области, рассмотрен вопрос о возможности размещения новых спутниковых систем и утилизации отработавших объектов в данной области.
Full Text
ВВЕДЕНИЕ
В работах ряда авторов (Rosengren и др., 2015; Daquin и др., 2016; Томилова и др., 2018; 2019) показано, что совместное действие вековых и орбитальных резонансов способно оказывать заметное влияние на динамику околоземных объектов. Это влияние может приводить к изменению орбит объектов или к возникновению хаотичности их движения, делая невозможным долгосрочное прогнозирование орбит. Можно сказать, что резонансы формируют структуру околоземного космического пространства (ОКП), знание которой необходимо при подборе орбит новых космических аппаратов или для захоронения уже отработавших объектов.
Области орбитальных резонансов 1:3, 1:4, 1:6 и 1:8 со скоростью вращения Земли были подробно рассмотрены в работах (Томилова и др., 2019; 2021).
В работе (Блинкова, Бордовицына, 2022) были исследованы области орбитальных резонансов 1:5, 1:7, 1:9, 1:10 и 1:11 со скоростью вращения Земли. Было показано, что в зонах орбитальных резонансов 1:5, 1:7 и 1:9 хаотизация движения наблюдается по линии действия второй компоненты орбитального резонанса, а в зонах орбитальных резонансов 1:10 и 1:11 хаотизация движения не зависит от действия их компонент. Чтобы выявить причину этого явления, необходимо определить структуру вековых резонансов в этих областях, чему посвящена настоящая работа.
Цели данной работы можно сформулировать следующим образом:
- определение структуры вековых резонансов в областях действия орбитальных резонансов 1:5, 1:7, 1:9, 1:10 и 1:11 со скоростью вращения Земли;
- исследование орбитальной эволюции объектов, населяющих рассматриваемые области околоземного пространства;
- выявление закономерностей, которые могут влиять на размещение новых спутниковых систем и поиск орбит утилизации или паркинга для отработавших космических аппаратов.
Реализация поставленных целей, привела к решению перечисленных ниже задач:
- проведен численный эксперимент по моделированию динамики объектов, движущихся в области орбитальных резонансов 1:5, 1:7, 1:9, 1:10 и 1:11 со скоростью вращения Земли;
- построены карты распределения вековых апсидально-нодальных резонансов и полувековых резонансов, связанных со средним движением третьего тела;
- исследованы особенности динамической эволюции орбит некоторых объектов, населяющих рассматриваемые области, в том числе с использованием быстрой ляпуновской характеристики MEGNO (Cincotta и др., 2003);
- на примере анализа орбитальной эволюции объектов каталога NORAD, движущихся в рассматриваемой области, рассмотрен вопрос о возможности размещения новых спутниковых систем и утилизации отработавших объектов в данной области.
МЕТОДИКА ИССЛЕДОВАНИЯ
Численное моделирование движения всех объектов осуществляется на кластере “СКИФ Cyberia” НИ ТГУ с использованием программного комплекса “Численная модель движения систем ИСЗ” (Александрова и др., 2021б), в котором применяется новый коллокационный интегратор Lobbie (Авдюшев, 2020). В процессе моделирования учитываются возмущения от гармоник геопотенциала до 10-го порядка и степени, а также возмущения от Луны и Солнца. Совместно с уравнениями движения интегрируются уравнения для вычисления текущего и усредненного параметров MEGNO. Эволюция во времени усредненного параметра MEGNO показывает степень хаотизации движения объекта. Так, например, известно, что для квазипериодических (регулярных) орбит параметр MEGNO осциллирует около 2, а для устойчивых орбит типа гармонического осциллятора усредненное значение MEGNO равно нулю. Если значение усредненного параметра MEGNO больше 2 и растет линейно, то имеет место хаотизация движения, что не позволяет точно прогнозировать эволюцию элементов орбиты.
Исследование структуры вековых резонансов осуществляется по следующей схеме.
- Изучается эволюция во времени резонансных (критических) аргументов, полученных из аргументов возмущающей функции для однократно и двукратно осредненной ограниченной задачи трех тел
, (1)
(2)
- Оценивается степень близости к нулю, полученных по формулам (1) и (2), резонансных соотношений
Здесь обозначения элементов орбит общепринятые, – целочисленные индексы, а формулы для вычисления рассматриваемых частот системы имеют вид
где – долгота восходящего узла, аргумент перигея, средняя аномалия орбиты спутника, а – соответствующие им частоты. Причем все элементы и частоты, обозначенные штрихом, относятся к третьему телу, а без штриха – к спутнику.
Вековые частоты в движении спутника определяются в процессе численного интегрирования уравнений движения (Александрова и др., 2020) с использованием формул Ньютона–Эйлера
(3)
где S, T, W – возмущающие ускорения, записанные в орбитальной системе координат и связанные с правыми частями уравнений движения известными соотношениями (Бордовицына, Авдюшев, 2016). Вековые частоты возмущающих тел также получаются численно из фонда координат больших планет DE421 с использованием производной от интерполяционного полинома Лагранжа 12-го порядка:
При малых значениях наклонения и эксцентриситета формулы (3) могут давать искаженные результаты. В этих случаях частоты определяются с помощью аналитических формул:
(4)
Здесь – экваториальный радиус Земли, – большая полуось, эксцентриситет наклонение орбиты и среднее движение спутника, – большая полуось, эксцентриситет и наклонение орбиты третьего тела, – отношение масс третьего тела и Земли – целочисленные индексы.
Аналитические формулы имеют особенности при эксцентриситетах, близких к 1, поэтому формулы (3) и (4) являются взаимозаменяемыми. Выбор формулы зависит от величины эксцентриситета.
Варьирование коэффициентов в формулах (1) и (2) позволяет получить все виды резонансных соотношений, возникающих в динамике спутника. Рассматриваемые нами в этой работе вековые апсидально-нодальные резонансы, связанные с движениями линий апсид и узлов спутника и третьего тела даны в табл. 1, а вековые резонансы, связанные со средним движением третьего тела приведены в табл. 2.
Таблица 1. Типы вековых апсидально-нодальных резонансов первого–четвертого порядков
№ | Тип резонансного соотношения | № | Тип резонансного соотношения | № | Тип резонансного соотношения |
1 | 8 | 15 | |||
2 | 9 | 16 | |||
3 | 10 | 17 | |||
4 | 11 | 18 | |||
5 | 12 | 19 | |||
6 | 13 | 20 | |||
7 | 14 |
Таблица 2. Типы вековых резонансов со скоростью движения третьего тела второго–пятого порядков
№ | Тип резонансного соотношения | № | Тип резонансного соотношения | № | Тип резонансного соотношения |
1 | 7 | 13 | |||
2 | 8 | 14 | |||
3 | 9 | 15 | |||
4 | 10 | 16 | |||
5 | 11 | ||||
6 | 12 |
Геометрический резонанс типа Лидова–Козаи (Лидов, 1961; Kozai, 1962) является частным случаем апсидально-нодальных резонансов и представляет собой вековой резонанс первого порядка.
Наличие или отсутствие векового резонанса оценивается (Мюррей, Дермотт, 2010) по поведению критических аргументов (1) и (2):
- если происходят либрационные изменения во времени, то резонанс является устойчивым;
- если либрация сменяется циркуляцией, или наоборот, то имеет место неустойчивый резонанс;
- если критический аргумент циркулирует, то резонанс отсутствует.
Кроме того, при исследовании динамики объектов, населяющих рассматриваемые области, нами учитывались результаты анализа орбитальных резонансов 1:5, 1:7, 1:9, 1:10 и 1:11 со скоростью вращения Земли, подробно исследованные в работе (Блинкова, Бордовицына, 2022).
В частности, при исследовании динамики конкретных объектов выявление орбитальных резонансов проводилось путем изучения поведения резонансных соотношений и соответствующих им критических аргументов. Резонансные соотношения для орбитального резонанса записывались следующим образом:
и соответствующие им критические аргументы
где – гринвичское звездное время, u и v – целые числа.
Эта методика, была предложена Allan (1967a; 1967b), уточнена Кузнецовым (Кузнецов и др., 2012) для резонанса 1:2 и обобщена в работах (Томилова и др., 2018; 2019; 2021).
Оценивание наличия или отсутствия резонанса проводилось по той же методике, что и для вековых резонансов.
ЧИСЛЕННЫЕ РЕЗУЛЬТАТЫ
Проведен эксперимент по выявлению вековых резонансов, находящихся в областях орбитальных резонансов 1:5, 1:7, 1:9, 1:10 и 1:11 со скоростью вращения Земли. Модельные объекты распределены равномерно по исследуемым областям с шагом 200 м по большой полуоси и 5° по наклонению. Орбиты модельных объектов близки к круговым, эксцентриситет равен 0.001. Диапазон по наклонению был выбран от 0° до 180°, а диапазон по большой полуоси соответствует области орбитального резонанса и представлен в табл. 3. Значения остальных угловых элементов орбиты были заданы равными 0°.
Таблица 3. Диапазоны рассмотренных областей по большой полуоси
Тип орбитального резонанса | Диапазон по большой полуоси, км | Тип орбитального резонанса | Диапазон по большой полуоси, км |
1:5 | 14400–14480 | 1:10 | 9040–9150 |
1:7 | 11500–11570 | 1:11 | 8475–8600 |
1:9 | 9700–9800 |
При построении областей распространенности резонансов учитывались не только острые резонансы, для которых значения проходят через нулевые значения, но также резонансы со смещенным центром колебаний, так называемые -резонансы. Причем число было получено из предварительного анализа амплитуд околорезонансных колебаний величин отдельно для резонансов, связанных с Луной и Солнцем. В результате в рассмотрение принимались резонансы, удовлетворяющие условиям:
. (5)
Оценка берется по модулю для резонансного аргумента, поскольку смешение центра может происходить как в положительную, так и в отрицательную сторону.
Структура вековых апсидально-нодальных резонансов, связанных с прецессией орбиты Луны, в области орбитального резонанса 1:5, представлена на рис. 1.
Рис. 1. Распределение вековых апсидально-нодальных резонансов, связанных с прецессией орбиты Луны в области орбитального резонанса 1:5 со скоростью вращения Земли: (а) – все устойчивые резонансы; (б) – все неустойчивые резонансы.
Из-за большого количества действующих резонансов, на рис. 1 представлено два графика распределения резонансов: устойчивых (рис. 1а) и неустойчивых (рис. 1б). Данные на рисунке показывают, что структура резонансов в этой области сложна и отличается большим количеством наложений, как устойчивых, так и неустойчивых резонансов. Кроме того, существуют области от 5° до 35° и от 145° до 175°, где резонансы вовсе отсутствуют.
Для большей наглядности, количество наложений апсидально-нодальных резонансов, связанных с прецессией орбиты Луны, представлено на рис. 2, из которого видно, что наибольшая концентрация резонансов имеет место для наклонений 70° и 110°.
Рис. 2. Количество наложений апсидально-нодальных резонансов, связанных с прецессией орбиты Луны, в области орбитального резонанса 1:5.
На рис. 3 представлена карта распределения вековых апсидально-нодальных резонансов, связанных с прецессией орбиты Солнца. Здесь также, как и в случае с распределением лунных апсидально-нодальных резонансов, имеется область их наибольшей концентрации. Она находится в диапазоне наклонений от 45° до 135°. В рассмотренной области действует и резонанс Лидова–Козаи. При наклонениях 65° и 115° он проявляет устойчивое действие, а при наклонениях 60° и 120° – неустойчивое.
Рис. 3. Распределение вековых апсидально-нодальных резонансов, связанных с прецессией орбиты Солнца в области орбитального резонанса 1:5 со скоростью вращения Земли.
Вековых резонансов, связанных со средним движением Луны в области орбитального резонанса 1:5, не обнаружено, а резонансы со средним движением Солнца представлены на рис. 4. Наибольшая концентрация вековых резонансов со средним движением Солнца расположена в области наклонений от 20° до 55° и от 125° до 160°. Здесь можно отметить зеркальную структуру относительно наклонения 90°. Например, при значении наклонения 30° во всем пространстве по большой полуоси действует устойчивый резонанс , а при обратном движении (i = 150°) действует резонанс . Так, у каждого резонанса, действующего на прямом движении, есть аналог резонанса, который действует при обратном движении.
Рис. 4. Распределение вековых резонансов, связанных со средним движением Солнца в области орбитального резонанса 1:5 со скоростью вращения Земли.
На рис. 5 представлено распределение вековых апсидально-нодальных резонансов, связанных с прецессией орбиты Луны, для области орбитального резонанса 1:7. Как и для орбитального резонанса 1:5, из-за большого количества резонансов, данные на рисунке разделены на устойчивые и неустойчивые резонансы.
Рис. 5. Распределение вековых апсидально-нодальных резонансов, связанных с прецессией орбиты Луны в области орбитального резонанса 1:7 со скоростью вращения Земли: (а) – все устойчивые резонансы; (б) – все неустойчивые резонансы.
Количество наложений резонансов представлено на рис. 6.
Рис. 6. Количество наложений апсидально-нодальных резонансов, связанных с прецессией орбиты Луны, в области орбитального резонанса 1:7.
Наиболее загруженной резонансами зоной является область при наклонениях 70° и 110°. В этой зоне действуют как устойчивые, так и неустойчивые резонансы. Кроме того, в области от 11540 км до 11570 км по большой полуоси, начинают проявляться точечные резонансы, которые не пронизывают всю рассмотренную область. Причем при наклонениях от 0° до 30° и от 150° до 180° появляются только устойчивые резонансы, а при наклонениях от 60° до 115° – в основном неустойчивые резонансы.
Картина распределения вековых апсидально-нодальных резонансов с прецессией орбиты Солнца представлена на рис. 7.
Рис. 7. Распределение вековых апсидально-нодальных резонансов, связанных с прецессией орбиты Солнца в области орбитального резонанса 1:7 со скоростью вращения Земли.
Все рассмотренное пространство по большой полуоси пронизывают только устойчивые резонансы , , и резонансы, которые являются их геометрическими аналогами. Резонанс Лидова–Козаи является устойчивым только при наклонении 115° и только при большой полуоси меньше 11530 км. Остальные резонансы являются либо неустойчивыми, либо проявляют свое действие точечно на некоторых участках.
На рис. 8 представлены вековые резонансы со средним движением Луны. В области орбитального резонанса 1:7 они проявляются только при наклонениях от 0° до 20° и от 160° до 180° и для больших полуосей от 11510 км до 11535 км. Резонансы не пронизывают пространство, а действуют точечно.
Рис. 8. Распределение вековых резонансов, связанных со средним движением Луны в области орбитального резонанса 1:7 со скоростью вращения Земли.
Вековые резонансы со средним движением Солнца, наоборот, имеют пронизывающую структуру (рис. 9). По аналогии с областью орбитального резонанса 1:5, здесь вековые резонансы со средним движением Солнца имеют зеркальную структуру относительно наклонения 90° и у каждого резонанса из прямого движения есть свой аналог резонанса в обратном движении.
Рис. 9. Распределение вековых резонансов, связанных со средним движением Солнца в области орбитального резонанса 1:7 со скоростью вращения Земли.
Общей особенностью всех вековых резонансов в области орбитального резонанса 1:7 является наличие участков точечного влияния резонансов, начиная с больших полуосей выше 11540 км.
Карта распределения вековых апсидально-нодальных резонансов, связанных с прецессией орбиты Луны в области орбитального резонанса 1:9 со скоростью вращения Земли (рис. 10), показывает, что зона покрытия резонансов намного меньше, чем у двух предыдущих областей. Количество наложений резонансов сокращается, но возрастает количество точечно действующих резонансов, которые расположены в основном по наклонениям от 0° до 30° и от 150° до 180°.
Рис. 10. Распределение вековых апсидально-нодальных резонансов, связанных с прецессией орбиты Луны в области орбитального резонанса 1:9 со скоростью вращения Земли.
В области орбитального резонанса 1:9 действуют в основном точечные апсидально-нодальные резонансы с прецессией орбиты Солнца (рис. 11), которые распределены по наклонениям от 60° до 75° и от 105° до 120°, и в околоэкваториальных зонах с большими полуосями около 9725 км и 9775 км. Только резонансы имеют устойчивую пронизывающую структуру при наклонениях 0°, 90° и 180°, как и в остальных рассмотренных выше областях. Лунный резонанс является аналогом солнечных резонансов и имеет такую же зону покрытия.
Рис. 11. Распределение вековых апсидально-нодальных резонансов, связанных с прецессией орбиты Солнца в области орбитального резонанса 1:9 со скоростью вращения Земли.
Кроме того, в экваториальных зонах находится большое количество точечных вековых резонансов со средним движением Луны, но они уже распределены при больших полуосях около 9715 км, 9750 км и 9790 км (рис. 12).
Рис. 12. Распределение вековых резонансов, связанных со средним движением Луны в области орбитального резонанса 1:9 со скоростью вращения Земли.
Вековые резонансы, связанные со средним движением Солнца (рис. 13), имеют почти зеркальную структуру относительно наклонения 90°. Здесь резонанс имеет устойчивое влияние только при большой полуоси ниже, чем 9765 км, несмотря на то, что его аналог для обратного движения действует во всей области. Точечное влияние резонансов наблюдается в экваториальных зонах и при наклонениях 65° и 115°.
Рис. 13. Распределение вековых резонансов, связанных со средним движением Солнца в области орбитального резонанса 1:9 со скоростью вращения Земли.
В работе (Блинкова, Бордовицына, 2022) представлено распределение орбитальных резонансов 1:5, 1:7 и 1:9 со скоростью вращения Земли и показано, что область хаотизации движения объектов проходит по линии действия второй компоненты орбитального резонанса. Вызвано это, по всей видимости, многократным пересечением с вековыми резонансами различных типов, которые в большинстве своем пронизывают рассматриваемые области.
Карты распределения апсидально-нодальных вековых резонансов, связанных со средним движением Луны, для областей орбитальных резонансов 1:10 и 1:11 представлены на рис. 14. В области резонанса 1:10 (рис. 14а) практически все пронизывающие резонансы являются устойчивыми, кроме резонанса , который действует неустойчиво при наклонениях 60° и 120°. Наложений резонансов практически не прослеживается, кроме небольших точечных участков.
Рис. 14. Распределение вековых апсидально-нодальных резонансов, связанных с прецессией орбиты Луны в области орбитального резонанса со скоростью вращения Земли: (а) – 1:10; (б) – 1:11.
Данные, представленные для области орбитального резонанса 1:11 на рис. 14б показывают, что здесь действует только два резонанса, пронизывающих рассмотренную область. Это резонанс , который действует во всех рассмотренных выше областях, и резонанс Все остальные резонансы действуют точечно, в основном при наклонениях от 0° до 35° и от 140° до 180°. Для наклонения 65° и 115° точечно неустойчиво действует резонанс
На карте распределения вековых апсидально-нодальных резонансов, связанных с прецессией орбиты Солнца (рис. 15), показано, что пронизывают рассмотренные области только резонансы при наклонениях 0°, 90° и 180°, остальные резонансы действуют точечно.
Рис. 15. Распределение вековых апсидально-нодальных резонансов, связанных с прецессией орбиты Солнца в области орбитального резонанса со скоростью вращения Земли: (а) – 1:10; (б) – 1:11.
Карты распределения вековых резонансов, связанных со средним движением Луны (рис. 16) показывают, что действуют эти резонансы только точечно и, в основном, в экваториальных зонах.
Рис. 16. Распределение вековых резонансов, связанных со средним движением Луны в области орбитального резонанса со скоростью вращения Земли: (а) – 1:10; (б) – 1:11.
Вековые резонансы со средним движением Солнца (рис. 17) тоже в большинстве своем проявляются на точечных участках, с наибольшей концентрацией в экваториальных зонах. В области орбитального резонанса 1:10 действуют и некоторые резонансы, которые пронизывают структуру рассмотренного пространства. Для области орбитального резонанса 1:11, пронизывающие структуры вековых резонансов расположены ниже отметки большой полуоси 8580 км.
Рис. 17. Распределение вековых резонансов, связанных со средним движением Солнца в области орбитального резонанса со скоростью вращения Земли: (а) – 1:10; (б) – 1:11.
В работе (Блинкова, Бордовицына, 2022) показано, что орбитальные резонансы 1:10 и 1:11 не влияют на хаотизацию движения. Связано это, по-видимому, с тем, что в этих зонах вековые резонансы, в большинстве своем, проявляются как точечные, и нет многократных пересечений с компонентами орбитальных резонансов, в отличие от областей орбитальных резонансов 1:5, 1:7 и 1:9 со скоростью вращения Земли.
АНАЛИЗ ЭВОЛЮЦИИ ОБЪЕКТОВ, НАСЕЛЯЮЩИХ РАССМАТРИВАЕМЫЕ ОБЛАСТИ
Исследуем особенности динамики объектов, расположенных в рассмотренных резонансных областях, на примере модельных объектов. Эволюция резонансных характеристик приведена в работе на интервале времени 20 лет. Рассматриваемые объекты находятся на довольно низких орбитах и совершают за сутки от 5 до 11 оборотов, поэтому данный интервал достаточен для демонстрации поведения резонансных характеристик. Кроме того, на этом интервале графическое представление характеристик более наглядно, чем на интервале 100 лет, используемом для представления эволюции элементов орбиты объектов. В то же время эволюционная картина на большом интервале времени более информативна, поэтому для анализа эволюции, также из соображений наглядности, использован интервал 100 лет.
Первый объект (i = 115°, a = 14426 км) подвержен устойчивому влиянию второй компоненты мультиплета орбитального резонанса 1:5 и неустойчивому влиянию третьей компоненты мультиплета резонанса 1:5. Его динамика представлена на рис. 18. Кроме того, на данный объект действуют три устойчивых апсидально-нодальных -резонанса с прецессией орбиты Луны и резонанс Лидова–Козаи. Резонансы имеют смещенные центры колебаний резонансного аргумента и удовлетворяют условию (5). Параметр MEGNO растет линейно, что говорит о неустойчивости движения.
Рис. 18. Особенности динамики модельного объекта, движущегося в области орбитального резонанса 1:5: (а) – эволюция элементов орбиты объекта; (б) – резонансные характеристики (в) – резонансные характеристики (г) – резонансные характеристики , (д) – резонансные характеристики (е) – резонансные характеристики
Приведем пример объекта (рис. 19), который имеет такое же наклонение как у объекта на рис. 18, но расположен выше орбитального резонанса (i = 115°, a = 14459 км). Этот объект подвержен идентичному набору вековых -резонансов, но параметр MEGNO остается меньше 2. Данный пример показывает, что вывод, сделанный в работе (Александрова и др., 2021а), что наложение устойчивых вековых резонансов не приводит к хаотизации движения объекта.
Рис. 19. Особенности динамики модельного объекта, движущегося в области орбитального резонанса 1:5, но не подверженного его действию: (а) – эволюция элементов орбиты объекта; (б) – резонансные характеристики , (в) – резонансные характеристики (г) – резонансные характеристики
На рис. 20 приведен пример орбитальной эволюции объекта со следующими значениями наклонения орбиты и большой полуоси: i = 60°, a = 11513 км. Объект подвержен устойчивому влиянию второй компоненты мультиплета орбитального резонанса 1:7 со скоростью вращения Земли и двум неустойчивым апсидально-нодальным резонансам и Как и у объекта на рис. 18, параметр MEGNO растет из-за наложения резонансов различных типов.
Рис. 20. Особенности динамики модельного объекта с параметрами, движущегося в области орбитального резонанса 1:7: (а) – эволюция элементов орбиты объекта; (б) – резонансные характеристики (в) – резонансные характеристики (г) – резонансные характеристики
Следующие два примера (рис. 21 и 22) взяты с одинаковыми наклонениями 90°, но разными большими полуосями а = 11517 км и а = 11553 км соответственно. В обоих случаях действуют вековые апсидально-нодальные резонансы , , что характерно для выбранного наклонения. В первом случае добавляется влияние первой, второй и четвертой компонент мультиплета орбитального резонанса 1:7, во втором случае орбитальные резонансы отсутствуют. Пример на рис. 22 еще раз подтверждает тот вывод, что совместное действие устойчивых вековых резонансов не приводит к возникновению хаотичности движения. Что касается эволюции орбиты объекта на рис. 21, то здесь нельзя однозначно сказать, что хаотичность возникает за счет наложения устойчивой и неустойчивой компонент орбитального резонанса, тем более что первые 20 лет первая и четвертые компоненты мультиплета орбитального резонанса устойчивы, но параметр MEGNO в это время имел тенденцию роста. Это говорит о том, что значительный вклад в рост хаотичности движения вносит наложение резонансов различных типов, которое, как указывал Чириков (1977), является главным источником хаотичности.
Рис. 21. Особенности динамики модельного объекта с параметрами, движущегося в области орбитального резонанса 1:7: (а) – эволюция элементов объекта; (б) – резонансные характеристики (в) – резонансные характеристики (г) – резонансные характеристики (д) – резонансные характеристики (е) – резонансные характеристики
Рис. 22. Особенности динамики модельного объекта с параметрами, движущегося в области орбитального резонанса 1:7 со скоростью вращения Земли, но не подверженного его действию: (а) – эволюция элементов объекта; (б) – резонансные характеристики (в) – резонансные характеристики
Выводы, сделанные для областей орбитальных резонансов 1:5 и 1:7 со скоростью вращения Земли, справедливы и для других зон орбитальных резонансов, расположенных ниже, поэтому примеры динамической эволюции объектов из этих областей здесь не приводятся.
Стоит отметить, что для более высоких орбит хаотичность может возникать и в отсутствии действия орбитального резонанса при совместном действии устойчивых и неустойчивых вековых резонансов наблюдается рост хаотичности движения (Александрова и др., 2021а).
Кроме того, действие вековых резонансов в рассматриваемой части ОКП не приводит к возрастанию эксцентриситетов орбит, в то время как для более высоких орбит этот фактор проявляется весьма отчетливо. Причем, чем больше начальный эксцентриситет орбиты, тем более стремительно происходит его возрастание (Бордовицына, Томилова, 2014).
В связи с этим был проведен эксперимент по выявлению подобной зависимости в рассматриваемой области ОКП. Для этого эксперимента был взят объект, приведенный на рис. 21, находящийся под действием орбитального резонанса 1:7 со скоростью вращения Земли и нескольких нодальных резонансов, и промоделировано движение трех объектов с аналогичными значениями орбитальных элементов, за исключением эксцентриситета. Были выбраны следующие значения эксцентриситета: 0.2, 0.3 и 0.4. Кроме того, при моделировании высокоэллиптичных объектов учитывалась атмосфера. Особенно сильно влияние атмосферы проявляется у объекта с e = 0.4.
Исследование резонансной динамики этих объектов показало, что на них действует тот же набор резонансов, что и на исходный объект, приведенный на рис. 21.
Из рис. 23 видно, что увеличение начального эксцентриситета не приводит к его росту в процессе эволюции и лишь незначительно увеличивает диапазон его изменения во времени, однако вызывает существенное увеличение скорости хаотизации движения.
Рис. 23. Влияние начального эксцентриситета на долговременную орбитальную эволюцию.
ДИНАМИКА РЕАЛЬНЫХ ОБЪЕКТОВ РАССМАТРИВАЕМОЙ ЗОНЫ ОКП И ВОЗМОЖНОСТИ ЕЕ ИСПОЛЬЗОВАНИЯ ДЛЯ РАЗМЕЩЕНИЯ НОВЫХ И УТИЛИЗАЦИИ ОТРАБОТАВШИХ ОБЪЕКТОВ
Как показано в выпусках ежеквартальных новостей по космическому мусору (https://orbitaldebris.jsc.nasa.gov/quarterly-news/), публикуемых NASA, число объектов в рассматриваемой области ОКП в последние годы неуклонно растет. Такое стремительное увеличение популяции космических объектов в низкоорбитальном сегменте ОКП представляет собой серьезную угрозу для действующих спутников и может вскоре привести к переполнению этой орбитальной области и большим рискам столкновения
Ниже мы рассмотрим орбитальную эволюцию на столетнем интервале времени реальных объектов из каталога NORAD, движущихся в рассматриваемой области ОКП.
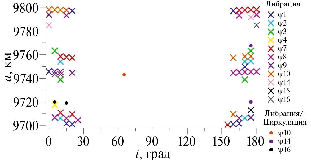
На рис. 24 цветными кружками показано начальное положение объектов из каталога NORAD. Распределение значений эксцентриситетов по цвету дано в легенде справа от рисунка. Кроме того, на рис. 24 выделены области действия орбитальных резонансов со скоростью вращения Земли. Помимо орбитальных резонансов, как было показано выше, в данной области действуют различные вековые и полувековые резонансы.
Рис. 24. Объекты из каталога NORAD.
Всего по данной области в каталоге NORAD есть информация о 264 объектах. Из них 24 объекта расположены в области орбитального резонанса 1:5 со скоростью вращения Земли, но не подвержены его влиянию. Причем 22 из них – это спутники связи группировки O3b, расположенные на почти круговых орбитах в экваториальной области с наклонением, близким к 0○. В области орбитального резонанса 1:7 со скоростью вращения Земли расположены два объекта, но они также не подвержены его влиянию. И три объекта движутся по эллиптичным орбитам в области резонанса 1:6 со скоростью вращения Земли их время жизни не более 10 лет.
Далее для демонстрации технической загруженности области была промоделирована орбитальная эволюция всех реальных объектов рассматриваемой зоны на столетнем интервале времени. Изменение положения объектов, попадающих в рассматриваемую область, в плоскости “большая полуось – наклонение” показано на рис. 25а цветными крестиками (цвет крестика соответствует значению эксцентриситета из легенды). Здесь следует отметить, что у объектов, расположенных на эллиптичных орбитах, с течением времени наблюдается уменьшение большой полуоси и эксцентриситета орбиты. Это происходит из-за того, что перигей этих объектов изначально находится в области действия атмосферы, что подтверждается данными на рис. 25б. В то же время орбиты объектов с почти круговым движением практически не меняются.
Рис. 25. Орбитальная эволюция всей совокупности объектов, представленных на рис. 24: (а) – в плоскости “большая полуось – наклонение”; (б) – в плоскости “перигейное расстояние – наклонение” на столетнем интервале времени.
Для того чтобы в полной мере оценить техническую загруженность рассматриваемой области помимо объектов, расположенных в этой зоне (рис. 24, 25), необходимо учитывать объекты, орбиты которых пересекают эту зону. На рис. 26 показано изменение большой полуоси на столетнем интервале времени для всей совокупности каталогизированных объектов и тех, которые изначально находились в этой зоне, так и объектов, пересекающих ее в процессе эволюции за счет эллиптичности своей орбиты. Из рис. 26 видно, что объекты, расположенные на высокоэллиптичных орбитах, с большими полуосями, превосходящими 16000 км, активно проникают в рассматриваемую область. Следовательно, при размещении новых спутниковых систем следует учитывать и этот фактор.
Рис. 26. Орбитальная эволюция всей совокупности объектов из каталога NORAD, пересекающих в процессе эволюции на столетнем интервале времени рассматриваемую область: (а) – в плоскости “большая полуось – наклонение”; (б) – в плоскости “перигейное расстояние – наклонение”.
В целом, внеатмосферные объекты рассматриваемой области ОКП демонстрируют орбитальную эволюцию без значительных изменений элементов орбиты даже на приполярных высокоэллиптичных орбитах (рис. 23), не касающихся атмосферы в перигее. Поэтому после окончания срока службы космические аппараты следует спускать на более низкие орбиты для их утилизации. Как фактор самоочистки можно использовать в нижней части данной области ОКП орбиты с эксцентриситетом больше 0.3. Для иных объектов стоит выбирать орбиты паркинга, избегая области, в которых функционируют спутниковые системы, а также вне зон действия орбитальных резонансов, поскольку совместное влияние вековых и орбитальных резонансов (Томилова и др., 2018; 2019; 2021) приводит к хаотизации движения, что усложняет процесс прогнозирования движения на длительных интервалах времени.
ЗАКЛЮЧЕНИЕ
Содержание основных результатов, представленных в работе, состоит в следующем.
Выявленные вековые резонансы обильно пронизывают области орбитальных резонансов 1:5, 1:7 и 1:9 со скоростью вращения Земли. Из-за многократного наложения вековых резонансов и второй компоненты орбитального резонанса происходит хаотизация движения объектов. В то же время в областях орбитальных резонансов 1:10 и 1:11 такая хаотизация не наблюдается из-за редкого пересечения вековых и орбитальных резонансов, поскольку вековые резонансы менее плотно покрывают рассмотренные области и проявляются в основном точечно.
Для размещения новых спутниковых систем и при выборе орбит паркинга для отработавших космических аппаратов следует избегать областей действия орбитальных резонансов и областей с наложением резонансов различных типов, учитывая при этом зоны функционирования действующих спутников.
Исследование выполнено с использованием суперкомпьютера “СКИФ Cyberia” Томского государственного университета.
Исследование выполнено за счет гранта Российского научного фонда № 19-72-10022, https://rscf.ru/project/19-72-10022/
About the authors
Е. В. Блинкова
Томский государственный университет
Author for correspondence.
Email: zbizk322@mail.ru
Russian Federation, Томск
И. В. Томилова
Томский государственный университет
Email: irisha_tom@mail.ru
Russian Federation, Томск
А. Г. Александрова
Томский государственный университет
Email: aleksandrovaannag@mail.ru
Russian Federation, Томск
Т. В. Бордовицына
Томский государственный университет
Email: bordovitsyna@mail.ru
Russian Federation, Томск
Н. А. Кучерявченко
Томский государственный университет
Email: wallguet@gmail.com
Russian Federation, Томск
References
- Авдюшев В.А. Новый коллокационный интегратор для решения задач динамики. I. Теоретические основы // Изв. вузов. Физика. 2020. Т. 63. №. 11. С. 131–140.
- Александрова А.Г., Бордовицына Т.В., Попандопуло Н.А., Томилова И.В. Новый подход к вычислению вековых частот в динамике околоземных объектов на орбитах с большими эксцентриситетами // Изв. вузов. Физика. 2020. Т. 63. № 1. С. 57–62.
- Александрова А.Г., Блинкова Е.В., Бордовицына Т.В., Попандопуло Н.А., Томилова И.В. Вековые резонансы в динамике объектов, движущихся в областях LEO–MEO околоземного орбитального пространства // Астрон. вестн. 2021а. Т. 55. № 3. С. 272–287 (Aleksandrova A.G., Blinkova E.V., Bordovitsyna T.V., Popandopulo N.A., Tomilova I.V. Secular resonances in the dynamics of objects moving in LEO–MEO regions of near-earth orbital space // Sol. Syst. Res. 2021. V. 55. № 3. P. 266–281). https://doi.org/10.1134/S0038094621030011
- Александрова А.Г., Авдюшев В.А., Попандопуло Н.А., Бордовицына Т.В. Численное моделирование движения околоземных объектов в среде параллельных вычислений // Изв. вузов. Физика. 2021б. Т. 64. № 8. С. 168–175.
- Блинкова Е.В., Бордовицына Т.В. Исследование динамики области орбитальных резонансов высоких порядков // Вестн. ТГУ. Матем. и Механ. 2022. № 79. С. 58–68.
- Бордовицына Т.В., Авдюшев В.А. Теория движения искусственных спутников Земли. Аналитические и численные методы: учебн. пособие. 2-е изд., испр. и доп. Томск: Издательский Дом Томского государственного университета, 2016. 254 с.
- Бордовицына Т.В., Томилова И.В. Вековые резонансы в динамической эволюции околоземных космических объектов на вытянутых орбитах // Изв. вузов. Физика. 2014. № 4. С. 84–91.
- Кузнецов Э.Д., Захарова П.Е., Гламазда Д.В., Шагабутдинов А.И., Кудрявцев С.О. О влиянии светового давления на орбитальную эволюцию объектов, движущихся в окрестности резонансов низких порядков // Астрон. вестн. 2012. Т. 46. № 6. С. 480–488. (Kuznetsov E.D., Zakharova P.E., Glamazda D.V., Shagabutdinov A.I., Kudryavtsev S.O. Light pressure effect on the orbital evolution of objects moving in the neighborhood of low-order resonances // Sol. Syst. Res. 2012. V. 46. № 6. P. 442–449.) https://doi.org/10.1134/S0038094612050073
- Лидов М.Л. Эволюция искусственных спутников планет под действием гравитационных возмущений от внешнего тела // Искусственные спутники Земли. 1961. Т. 8. С. 5–45.
- Мюррей К., Дермотт С. Динамика Солнечной системы. М.: Физматлит, 2010. 588 с.
- Томилова И.В., Бордовицына Т.В., Красавин Д.С. Динамическая структура орбитального пространства ГЛОНАСС и GPS. Проблема утилизации отработавших объектов // Астрон. вестн. 2018. Т. 52. № 5. С. 463–478. (Tomilova I.V., Bordovitsyna T.V., Krasavin D.S. Dynamic structure of the GLONASS and GPS orbital space: Problem of disposal of retired objects // Sol. Syst. Res. 2018. V. 52. № 5. P. 450–465.)
- Томилова И.В., Блинкова Е.В., Бордовицына Т.В. Особенности динамики объектов, движущихся в окрестности резонанса 1:3 с вращением Земли // Астрон. вестн. 2019. Т. 53. № 5. С. 323–338. (Tomilova I.V., Blinkova E.V., Bordovitsyna T.V. Features of the dynamics of objects moving in the neighborhood of the 1:3 resonance with the Earth’s rotation // Sol. Syst. Res. 2019. V. 53. № 5. P. 1–15.)
- Томилова И.В., Блинкова Е.В., Бордовицына Т.В. Особенности динамики объектов, движущихся в зонах орбитальных резонансов 1:4, 1:6 и 1:8 с вращением Земли // Астрон. вестн. 2021. Т. 55. № 5. С. 427–443. (Tomilova I.V., Blinkova E.V., Bordovitsyna T.V. Features of the dynamics of objects moving in the zones of orbital resonances 1:4, 1:6, and 1:8 with the Earth’s rotation // Sol. Syst. Res. 2021. V. 55. № 5. P. 427–443.) https://doi.org/10.1134/S0038094621040092
- Чириков Б.В. Нелинейный резонанс. Учебное пособие. Новосибирск: НГУ, 1977. 82 c.
- Allan R.R. Resonance effects due to the longitude dependence of the gravitational field of a rotating primary // Planet. and Space Sci. 1967a. V. 15. P. 53–76.
- Allan R.R. Satellites resonance with the longitude dependent gravity. II. Effects involving the eccentricity // Planet. and Space Sci. 1967b. V. 15. P. 1829–1845.
- Cincotta P.M., Giordano C.M., Simó C. Phase space structure of multi-dimensional systems by means of the mean exponential growth factor of nearby orbits // Physica. D. 2003. V. 182. P. 151–178.
- Daquin J., Rosengren A.J., Alessi E.M., Deleflie F., Valsecchi G.B., Rossi A. The dynamical structure of the MEO region: long-term stability, chaos, and transport // Celest. Mech. and Dyn. Astron. 2016. V. 124 (4). P. 335–366.
- Kozai Y. Secular perturbations of asteroids with high inclination and eccentricity // Astron. J. 1962. V. 67. P. 591–598.
- Rosengren A.J., Alessi E.M., Rossi A., Valsecchi G.B. Chaos in navigation satellite orbits caused by the perturbed motion // Mon. Notic. Roy. Astron. Soc. 2015. V. 449. Is. 4. P. 3522–3526.
Supplementary files




























