Ударные кратеры на земле диаметром больше 200 км – численное моделирование
- Authors: Иванов Б.А.1
-
Affiliations:
- Институт динамики геосфер им. М.А. Садовского РАН
- Issue: Vol 58, No 5 (2024)
- Pages: 509-525
- Section: Articles
- URL: https://journals.rcsi.science/0320-930X/article/view/273480
- DOI: https://doi.org/10.31857/S0320930X24050017
- EDN: https://elibrary.ru/LTSBID
- ID: 273480
Cite item
Full Text
Abstract
Три самых больших ударных кратера, останки которых найдены на Земле к настоящему времени, имели сразу после образования диаметры около 200 км. Поиски следов ударных структур большего размера продолжаются. В данной работе приводятся результаты численного моделирования процесса образования земных ударных кратеров большего, чем уже найденные, размера. Показано, что предполагаемый геотермический градиент существенно влияет на начальную геометрию области ударного расплава, что может облегчить поиски останков глубоко эродированных древних ударных структур.
Keywords
Full Text
Введение
В последние десятилетия было установлено, что ударные структуры (кратеры, бассейны) являются важными составляющими ландшафта Луны и других планетных тел земного типа. Многие планетные тела зафиксировали очень древние удары, в то время как на крупнейших планетах земного типа, таких как Земля и Марс, следы древних ударов были стерты. На Венере стандартная модель скорости накопления числа кратеров дает наибольшее время накопления наблюдаемых кратеров от 0.5 до 1 млрд лет. Единственной планетой, где мы можем использовать геологию и геофизику для поиска древних кратеров, является Земля. Несмотря на подвижную литосферу и тектонику плит, на Земле найдены более 150 ударных структур (или их останков).
Особый интерес представляют три ударные структуры – Вредефорт, Садбери и Чиксулуб. Они часто называются “Большая тройка” – “The Big Three” или “Three of a Kind” (Grieve, Therriault, 2000). Исходный (“свежий”) диаметр всех трех структур оценивается величиной около 200 км. Две структуры очень древние (Вредефорт – около 2 мдрд лет, Садбери – около 1.85 млрд лет). Самая молодая структура – Чиксулуб возрастом 65 млн лет – перекрыта более молодыми осадочными отложениями. Структура Садбери подверглась сильной эрозии и тектонической деформации. Структура Вредефорт эродирована на глубину от 6 до 8 км, позволяя изучать ранее заглубленные уровни земной коры.
Проблема, обсуждаемая ниже, состоит в том, как выглядели бы земные ударные структуры, большие по размерам, чем “Большая тройка”. Частичный ответ может быть найден на Венере.
Оценка частоты ударов астероидов одного размера (“болидное отношение”) составляет примерно 0.7 от земного значения (см. обзор Werner, Ivanov, 2015). На Венере с оценкой глобального возраста поверхности менее 1 млрд лет наблюдаются 10 кратеров с диаметром более 100 км и один кратер диаметром боле 200 км (кратер Мид, D = 270 км, рис. 1). Шкала высот/глубин дана относительно самой глубокой измеренной точки вблизи центра кратера. Волнообразные участки местности вокруг кратера ограничивают точность определения глубины в пределах от 1 до 1.4 км. Более точные профили по первичным данным радиовысотомера в работе (Ivanov, Ford, 1993) дают примерно такую же картину (см. рис. 2 в работе (Иванов, 2005))
Рис. 1. Вверху – изображение самого большого из известных ударных кратера на Венере, названного Мид (Mead), диаметром D = 270 км. Внизу – профили высоты вдоль трех диаметров (пунктирная, точечная и сплошная кривые) через кратер Мид. Изображение и профили высот построены автором с помощью общедоступного программного обеспечения JMars (https://jmars.asu.edu) по данным полета к Венере КА Magellan (https://www.jpl.nasa.gov/missions/magellan/).
Рис. 2. Ударный кратер Рахманинов (D ~ 300 км) на Меркурии (вверху) и высотный профиль поверхности вдоль диаметра кратера (внизу). Внутренний кратер имеет глубину около 4.5 км. Изображение и профили высот построены автором с помощью общедоступного программного обеспечения JMars (https://jmars.asu.edu) по результатам полета к Меркурию КА Messenger (https://www.nasa.gov/mission_pages/messenger/main/index.html).
Следующие по убыванию размеров кратеры имеют диаметры ~180 км (Изабелла) и ~150 км (Мейтнер). Оценки времени накопления всех наблюдаемых венерианских кратеров находятся в интервалах: 1) менее 750 млн лет (McKinnon и др., 1997), 2) 200–600 млн лет (Strom и др., 1994) и 3) намного меньших значений, ~ 180 ± 70 млн лет (Bottke и др., 2016). Большой разброс этих значений объясняется, в основном, постоянным совершенствованием моделей эволюции орбит кратерообразующих малых тел и уточнением соотношения частоты падений на Луну, Землю и Венеру (Werner, Ivanov, 2015). Несмотря на указанные неопределенности, наличие на Венере 10 ударных кратеров с D > 100 км, образовавшихся за время от 200 до 600 млн лет (Schaber и др., 1992), должно соответствовать такому же количеству ударных кратеров, накопленных за период 1–2 млрд лет на земных континентах (учитывая, что их площадь составляет треть поверхности Земли). Заметим, что для кратеров диаметром более 100 км плотная атмосфера Венеры не может ни разрушить, ни затормозить ударник. Можно предположить, что скорость деградации кратеров на Земле должна быть больше из-за эрозии, осадконакопления и тектоники плит. Однако на Земле мы можем находить глубоко эродированные и погребенные астроблемы современными методами геологии и геофизики.
Некоторое представление о том, как выглядят сохранившиеся крупные ударные кратеры, можно получить по изображениям и топографии кратеров Меркурия и Марса (рис. 2, рис. 3). Однако примерно в три раза меньшая сила тяжести на этих планетах требует дополнительного обсуждения геометрии больших кратеров. Профиль кратера на Марсе (рис. 3) сильно изменен более молодыми геологическими процессами, включая образование более молодых кратеров, однако положение внутреннего кольца все еще заметно. Для иллюстрации того, каким мог быть начальный профиль кратера, на нижнем рисунке пунктиром показан профиль более молодого и лучше сохранившегося кратера Лио (Lyot, D ~ 200 км) глубиной ~4 км, сравнимой с глубиной кратера на Меркурии, показанного на рис. 2.
Рис. 3. Древний ударный кратер Шретер (Schröter, D ~ 300 км) на Марсе (вверху) и высотный профиль поверхности вдоль диаметра кратера (внизу, сплошная линия). Пунктиром показан профиль более молодого и лучше сохранившегося кратера Лио (Lyot, D ~ 200 км). Изображение и профили высот построены автором с помощью общедоступного программного обеспечения JMars (https://jmars.asu.edu) по результатам нескольких полетов КА NASA к Марсу (https://www.nasa.gov/mission_pages/mars/missions/index.html).
Зачастую поиск следов древних ударных событий включает поиск объемных отложений множественных выбросов из кратеров (Simonson, Glass, 2004; Johnson, Melosh, 2012; Johnson и др., 2016; Bottke, Norman, 2017; Schulz и др., 2017; Lowe, Byerly, 2018). Реже изучаются следы возможных отдельных ударных событий в “подозрительных” районах. Исследование одного из таких мест (Манитсок в Гренландии, англ. Maniitsoq) было предложено Garde и др. (2012). Несколько лет назад автор принял участие в обсуждении гипотезы Garde и провел небольшую серию численных расчетов (Garde и др., 2011). Уже без участия автора изучение гипотезы Garde продолжается (Trowbridge и др., 2017). Нам представляется, что и в более общем плане, независимо от проверки ударного происхождения структуры Манитсок, результаты моделирования крупных земных ударных структур представляют интерес для поиска еще ненайденных (если они вообще сохранились) древних ударных кратеров диаметром больше чем ~200 км у известной в настоящее время “Большой тройки” – Вредефорт, Садбери и Чиксулуб.
Численное моделирование
За последние годы опубликовано много работ по численному моделированию крупномасштабных ударов. В данной работе использован пакет программ, известный как SALEB, подробно описанный ранее (Ivanov и др., 1997; 2010; Ivanov, Melosh, 2003; Иванов, 2005). Подгонка модельных параметров для наилучшего воспроизведения ударных структур “Большой тройки” описана в работе (Иванов, 2005), где для верификации модели были использованы данные полевых и лабораторных наблюдений для кратера Вредефорт (Reimold, 1996; Gibson, Reimold, 1999; Lana и др., 2003a; 2003b). Выбор параметров для модели подтверждается недавними двумерными и трехмерными расчетами для кратера Чиксулуб (Riller и др., 2018). Модели термодинамических и прочностных свойств горных пород в описанных выше работах продолжают активно использоваться в численном моделировании крупных земных кратеров (Allen и др., 2022; Posiolova и др., 2022; Allibert и др., 2023; Huber и др., 2023).
Поскольку первоначальное моделирование подразумевало ударную структура в Гренландии, были использованы данные о современной толщине земной коры (Kumar и др., 2007), с поправками на возможную глубину эрозии на примере структур Садбери и Вредефорт. При современной толщине коры, ~35 км, изучались варианты с толщиной древней коры до 50 км. Недавние исследования Steffen и др. (2017) дают более детальные значения – в южной Гренландии граница Мохоровичича погружается от глубины ~30 км до >50 км при движении с запада на восток.
В дальнейшем при описании численного моделирования мы используем общепринятую в работах по данной тематике терминологию. Сложилась традиция (отчасти под влиянием обширной литературы по пробиванию брони снарядом) называть падающее высокоскоростное тело (астероид или ядро кометы) термином “ударник” (“projectile”), а верхние слои планет или астероидов, в которых и образуется ударный кратер – “мишенью” (“target”). При этом и ударник, и мишень могут иметь сложное строение – например, Земля как мишень может рассматриваться как многослойное тело, состоящее из сферических оболочек, воспроизводящих кору, мантию и ядро (см., например, Ivanov и др., 2010).
Термодинамические свойства материала мишени описывались, как и ранее, таблицами, рассчитанными по программе ANEOS (Thompson, Lauson, 1972) с входными параметрами для гранита (Pierazzo и др., 1997), базальта (Pierazzo и др., 2005), и дунита (Benz и др., 1989). Дунит моделировал материал мантии, гранит поверх базальта (или, для простоты, – однородный гранит) моделировали породы земной коры. Предполагаемые температуры плавления в прочностной модели (Collins и др., 2004) и их зависимость от окружающего давления были ранее описаны в работе (Ivanov и др., 2010).
В процессе постановки модельных задач было установлено, что в случае существенного влияния плавления на процесс формирования кратера необходимо уделить особое внимание модельной кривой плавления коры и мантии и применению модели акустической флюидизации, чему будет посвящен следующий раздел. Заканчивая общее описание модели, заметим, что в большей части модельных вариантов предполагается вертикальный удар сферического астероида (ударника) со скоростью U = 15 км/с. Для простоты, в большинстве вариантов ударник был сделан из того же вещества, что и верхний слой коры. Представляемый ряд модельных вариантов предполагает диаметры ударников в 2 и в 4 раза больших, чем “номинальный” ударник, образующий кратер Вредефорт – сфера диаметром от 12 до 14 км при скорости удара 15 км/с (Иванов, 2005). Эти модельные варианты, для краткости, обозначаются 2×V и 4×V.
Используемые модели и вариация модельных параметров
В большинстве прогонов мы используем параметры модели акустической флюидизации (АФ) в том виде, в каком они были предложены Ivanov и Turtle (2001) и Ivanov и Artemieva (2002) для описания временного снижения сухого трения в горных породах вокруг образующегося ударного кратера. В некоторых прогонах модели мы немного варьируем выбранные параметры, исследуя устойчивость модели к этим вариациям.
Наиболее сильное влияние имеет вид предполагаемой геотермы – насколько быстро температура породы увеличивается с глубиной T(z) и насколько близко температура T(z) приближается к температуре плавления Tm(z), которая также увеличивается с глубиной из-за повышенного литостатического давления. Для моделирования крупнейших земных ударных кратеров Ivanov (2005) использовал геотерму с линейным градиентом у поверхности от 13 до 15 К/км. Здесь мы будем называть ее “холодной” геотермой. Пытаясь воспроизвести большую относительно кратера зону плавления, соответствующую предположенной Garde и др. (2012) для гипотетической структуры Манитсок, мы изучили влияние возможных геотерм, проходящих на некоторой глубине близко к кривой плавления Tm(z). Эти несколько вариантов названы здесь “горячими” геотермами. Предполагаемый ход этих геотерм и кривых плавления показан на рис. 4. “Холодные” и “горячие” геотермы в случае Луны и их влияние на образование кратера обсуждались ранее в работе (Ivanov и др., 2010).
Рис. 4. Примеры геотерм с относительно низкими (1 – “холодный” случай) и относительно высокими (2 – “горячий” случай) предполагаемыми приповерхностными градиентами температуры; 3 – ликвидус и солидус для водонасыщенного гранита (Boettcher, Wyllie, 1968), “G” –экспериментальная точка из (Goetze, 1971); 4 – то же для сухого гранита, “L” – точки ликвидуса из (Dell’Angelo, Tullis, 1988), “W” – гранит из (Rutter, Neumann, 1995). Пунктирные линии 4 аппроксимируют данные для ликвидуса Tliq (K) = 1156 + 5.41 z (км) и солидуса гранита Tsol= 1020 + 5.41 z. Знаки “K” иллюстрируют температурный градиент в кольской сверхглубокой скважине (Popov и др., 1999). 5 и 6 – оценочное положение солидуса для верхней мантии (5 – фаялит, 6 – форстерит).
Здесь мы должны сделать несколько замечаний для будущего улучшения модели. Компьютерная модель должна описывать то, как плотность, сжимаемость, прочность/трение и температура плавления изменяются с глубиной. Температура плавления в такой модели имеет важное значение, так как ее величина определяет исчезновение трения вблизи точки плавления. До сих пор часто используется описание коры как единого слоя с единственной функцией Tm(p). Чтобы смоделировать кратерообразование, проникшее ниже коры, нам нужно предположить начальный температурный градиент и повышение температуры плавления с повышением литостатического давления.
Тепловой градиент в земной коре изменяется в широких пределах из-за разнообразия минерального состава пород земной коры (см., например, Miller и др., 2003; Hasterok и др., 2019). Бурение нескольких глубоких скважин глубиной до 10 км выявило отклонения от условий простой теплопроводности, объясняемые потоком жидкости на неожиданно глубоких горизонтах (Попов и др., 1998). В Кольской сверхглубокой скважине температурный градиент на глубинах 5–9 км оценивается в ~20 K/км (см. Попов и др., 1998, рис. 8.2 там). На глубинах z ~ 10 км температура пород достигает ~500 K в Кольской скважине (Kukkonen, Clauser, 1994; Popov и др., 1999) и ~550 K в скважине KTB (Kontinentale Tiefbohrprogramm der Bundesrepublik Deutschland, Clauser и др., 1997).
Furlong и Chapman (2013) рассматривают основные подходы к построению вертикальной минеральной и тепловой структуры земной коры. Температура на границе Мохо изменяется в зависимости от величины теплового потока, а кажущееся отсутствие расплавленной нижней коры требует изменения минерального состава породы с глубиной, поэтому наша простая “гранитная” кора не работает с типичной Tm(p) для “мокрого гранита” (Furlong, Chapman, 2013). Для районов с толстой корой (до 55 км, например, в Финляндии) геолого-геофизический анализ указывает на относительно холодную астеносферу с T ~ 700 K на глубине z ~ 55 км и T ~ 1400 K на глубине z~180 км (Kukkonen, 1998). Региональная вариация минеральной и тепловой структуры коры может иметь существенное значение (см, например, Schutt и др., 2018; Puziewicz и др., 2019) и будущие модели должны быть переформулированы с использованием более свежих геофизических данных (Cammarano, Guerri, 2017; Artemieva, Shulgin, 2019).
Профиль температуры мантии приблизительно моделируется как адиабата подходящего пиролитового состава, ограниченного скоростями упругих волн (Stixrude, Lithgow-Bertelloni, 2011). Тепловые градиенты в диапазоне от 0.5 до 1 К/км представляются хорошим выбором для начала моделирования.
Одним из недостатков моделей вещества, наиболее часто используемых в расчетах, является чрезмерное упрощение описания плавления породы. Чтобы правильно интерпретировать результаты, мы должны сделать некоторые замечания о возможных неточностях.
- Представляемые результаты моделирования были накоплены в течение последних 15 лет, когда уравнение состояния ANEOS, используемое для построения таблиц уравнения состояния, не включало явное описание плавления (см. обзор и способы улучшения модели в (Collins, Melosh, 2014)). Даже после недавних усовершенствований ANEOS по-прежнему описывает плавление в “металлическом” стиле: скачок энтропии при постоянной температуре при заданном давлении. Настоящее плавление мульти-минеральных пород является сложным динамическим процессом. Сложное поведение кривых солидуса и ликвидуса пород земной коры зависит от содержания воды на первых 50 км (p ~ 1.2 ГПа или ~12 кбар), и статическая температура солидуса может уменьшаться с глубиной (Katz и др., 2003). Минеральный состав вещества между солидусом и ликвидусом может меняться во времени – эксперименты по определению минерального состава частичного расплава могут длиться от 100 до 200 ч (см., например, Pichavant и др., 2019). При высоких ударных давлениях, когда горные породы должны расплавляться сразу за фронтом ударной волны, лабораторные эксперименты демонстрируют временный перегрев твердого тела (Luo, Ahrens, 2004), еще раз подчеркивая важность кинетических аспектов описания плавления горных пород и минералов. С помощью имеющихся моделей мы можем только приближенно моделировать плавление породы как равновесный процесс.
В модели, используемой здесь, предполагается гладкая кривая плавления для каждого материала, Tm(p), c монотонным увеличением температуры плавления с давлением (Collins и др., 2004). В отсутствие более совершенных моделей мы используем то же значение Tm(p) для оценки уменьшения прочности пород по мере приближения материала к солидусу (Ohnaka, 1995). При моделировании ударных событий крупного масштаба, когда исходная температура увеличивается с глубиной, а конечное положение частицы после ударного сжатия может быть расположено на достаточной глубине (с повышенной температурой плавления), наши простые модели могут дать только качественную иллюстрацию плавления коры и мантии в реальной Земле.
- Механическое моделирование всей земной коры должно включать в себя в перспективе широкий спектр параметров, приближающих описание к сложному поведению пород земной коры. Влажный гранит имеет температуры ликвидуса и солидуса, снижающиеся с повышением давления и содержания воды – на глубине от 40 до 50 км может происходить плавление при температурах ~900 К (Goetze, 1971; Rutter, Neumann, 1995). Обезвоживание глубоких слоев земной коры повысит температуру плавления. По этим причинам термодинамически согласованное уравнение состояния для гранита, пригодное для компьютерного моделирования кратерообразования, еще не создано. Модельные варианты в данной работе использовали упрощенное описание плавления породы с помощью одной кривой Симона для “гранита ANEOS”. Температура плавления при низком давлении варьировалась в диапазоне от ~1000 К (сухой ликвидус для гранита Вестерли) до ~2000 K (сухое плавление кварца). На рис. 4 показаны “горячие” и “холодные” модельные тепловые профили, в данной работе различаемые по максимальному приближению теплового профиля T(z) к предполагаемой кривой плавления Tm(z) на глубинах 20–80 км.
Аналогичная упрощенная модель мантии использует “дунит” ANEOS из работы (Benz и др., 1989) с параметрами для форстерита. С точки зрения моделирования мы можем использовать конгруэнтную кривую плавления форстерита Tm = 2171× (p/2.44+1)1/11.4, предложенную в работе (Presnall, Walter, 1993) для давлений ниже ~14 ГПа (это соотношение записано в стиле программы SALE (см. Collins и др., 2004) температура измерена в К, давление – в ГПа).
Другой конечный состав оливина, фаялит, конгруэнтно плавится до ~6 ГПа (глубина ~200 км). Опубликованные ранее экспериментальные данные могут быть интерполированы (Akimoto и др., 1967) уравнением Симона Tm = 1478× (p/4.1+1)1/4.8.
Промежуточные по содержанию Mg/Fe оливины плавятся не конгруэнтно, что не учитывается в нашей простой модели. Кроме того, модельные перидотиты имеют большую разницу температур солидуса и ликвидуса (Jennings, Holland, 2015). У нас пока нет простого подхода к моделированию плавления и механических свойств многокомпонентных горных пород вблизи кривой плавления. Для предварительного поиска возможных эффектов мы варьируем температуру расплава при нулевом давлении для модельного материала “мантии” в интервале от ~1500 K до 2000 K с зависимостью от давления Tm(p) в соответствии с экспериментальными данными, приведенными выше.
В представляемых здесь результатах моделирования температура плавления используется в основном для описания термического размягчения породы вблизи солидуса. По этой причине количество расплава в нашей модели дает только качественные оценки возможных ударных воздействий на континентальные области с различным тепловым градиентом, различным содержанием воды в реальных ударных расплавах и малоизученного для широкого круга горных пород уменьшениях внутреннего трения вблизи точки плавления.
Размер переходного кратера и законы подобия
Для контроля размеров расчетного переходного кратера мы используем стандартный подход безразмерных p-параметров (Schmidt, Housen, 1987), где масштаб удара задается параметром
π2 = (1.61gDpr)/U2. (1)
Здесь g – ускорение силы тяжести, Dpr – диаметр сферического ударника (или диаметр сферы равного объема для несферических ударников; D-projectile), а U – скорость удара. Соответствующие безразмерные параметры представляют диаметр Dtc, глубину dtc, и объем Vtc переходного кратера:
πDtc= Dtc(ρ/m)1/3, πdtc= = dtc(ρ/m)1/3 и πVtc= Vtc(ρ/m), (2)
где m – масса ударника и ρ – эффективная плотность материала мишени.
Заметим, что в более полной теории подобия вводятся дополнительные безразмерные параметры для описания отношения плотностей ударника и мишени и прочностных параметров материала (Holsapple, Schmidt, 1979; Schmidt, Housen, 1987; Prieur и др., 2017). В большинстве наших расчетов ударник состоял из ANEOS-гранита с начальной плотностью 2.7 г/см3.
Важно прокомментировать используемые параметры переходного кратера. Хотя размеры переходного кратера легко извлечь из параметров расчетных ячеек (например, проследив положение границы по частично заполненным ячейкам), надо принимать во внимание, что нужные нам радиус, глубина и объем переходного кратера могут достигаться в различные моменты времени. В данной работе в начальную эйлерову сетку в центре каждой ячейки помещалась безмассовая частица-маркер, движение которой через расчетную сетку определялось по вектору скорости, интерполированной по значениям скоростей в четырех узлах прямоугольной сетки, образующей ячейку, в которой находится маркер в данный момент времени.
До некоторой степени последовательность достижения различных параметров переходной полости зависит от масштаба ударного события. В модельных вариантах данной работы (переходный кратер диаметром от ~80 до ~200 км) сначала достигается максимальная глубина переходного кратера (через 20–25 с после удара). Небольшая проблема с определением максимальной глубины состоит в договоренности о том, считать ли дном кратера положение маркера с начальной нулевой глубиной или измерять немного меньшую глубину под поверхностью самой глубокой ячейки с материалом деформированного ударника. В данной работе мы, как правило, измеряем глубину до первой ячейки на оси симметрии, содержащей конденсированный материал. При использованной здесь скорости удара U =15 км/с сильного испарения для использованных материалов не происходит.
В момент времени достижения переходным кратером максимального объема (от 60 до 80 с после удара) радиус кратера продолжает расти. Во многих работах величина радиуса переходного кратера, используемая в соотношении (2), фиксируется в момент прохождения максимума зависимости объема от времени. Радиус переходного кратера определяется по вертикальной скорости движения материала на краю кратера на уровне доударной поверхности – мы записываем радиус переходного кратера в момент, когда вертикальная компонента скорости меняет знак с направленной вверх (“выброс”) на направленную вниз (“проседание”). Это значение близко к величине радиуса переходного кратера, определяемого в момент достижения максимума объема кратера ниже исходной поверхности. В наших модельных вариантах смена знака вертикальной скорости обычно наблюдается чуть раньше, чем объем достигает максимума, но в вариантах с наибольшим ударником (например, “4 × Вредефорт”, 4 × V), максимум объема достигался на ~30 с раньше (60 с после удара против 90 с для смены знака вертикальной скорости). В течение этих 30 с радиус переходного кратера возрастал с 94 до 114 км. Следовательно, расхождение в значениях радиуса (диаметра) переходного кратера может составлять 10–15% только из-за различного определения этой величины.
Описание подобия кратеров в p-формулировке, согласно уравнениям (1) и (2), оказывается удобным только в упрощенных случаях (однородная мишень, малая прочность вещества, постоянный коэффициент трения и т.д.), когда безразмерные параметры переходного кратера (2) могут быть аппроксимированы простыми степенными зависимостями от масштабного параметра π2 (1) в широком диапазоне его значений. Недавно в набор характерных параметров были добавлены однородная пористость материала и однородная прочность вещества (Wunnemann и др., 2006; Elbeshausen и др., 2009; Poelchau и др., 2013; Prieur и др., 2017). В реальной крупномасштабной задаче эти параметры изменяются по глубине, ставя под сомнение простые степенные π-соотношения. К счастью, для больших земных кратеров переменная по глубине пористость слабо влияет на подобие кратеров (Collins, 2014).
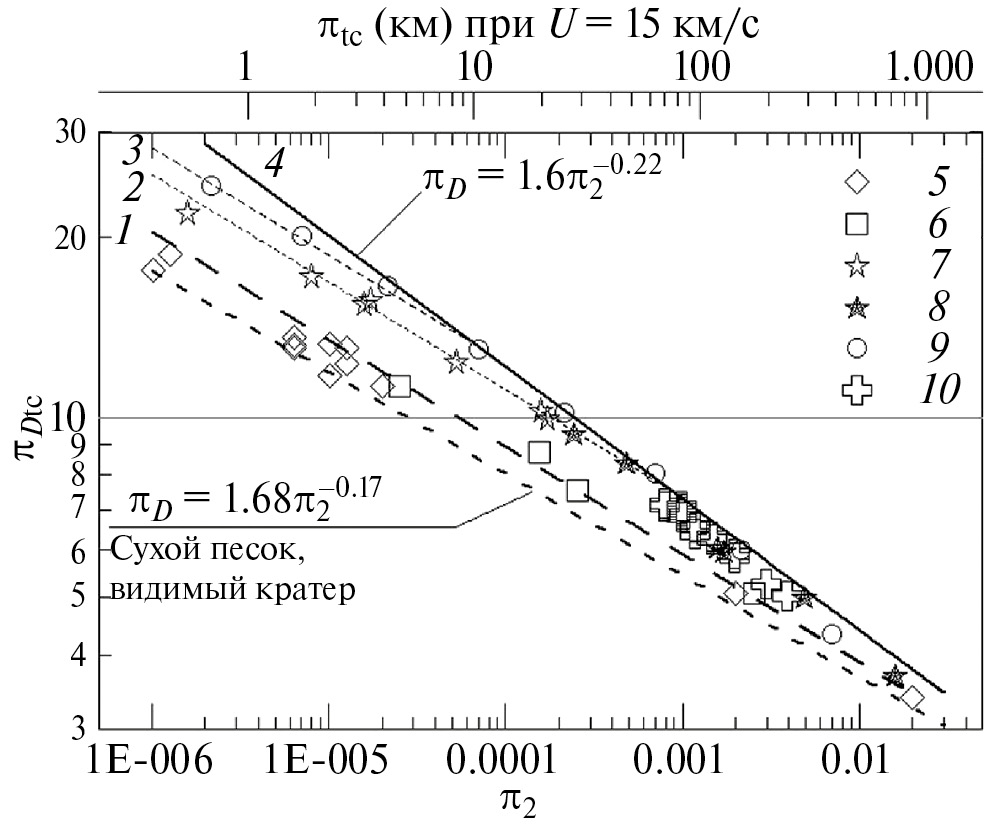
Любое дальнейшее усложнение задачи (многослойность мишени, тепловое разупрочнение горных пород и т.п.) приводит к усложнению законов подобия. Ivanov и Kamyshenkov (2012) представили ряд вариантов численного моделирования в широком интервале скорости удара, от 5 до 30 км/с. Если определить “эффективность” механического воздействия на мишень как безразмерную глубину или диаметр переходного кратера – уравнения (2) – при постоянном значении параметра π2 – уравнение (1), то можно сказать, что удары с низкой скоростью менее эффективны, чем удары с U ≥ 15 км/с, что, скорее всего, связано с нелинейными эффектами прочности/трения от температуры. В целом, эффективность высокоскоростных ударов стремится к пределу закона подобия для мишени без пористости, прочности и внутреннего трения при больших π2 (рис. 5 и рис. 6).
Рис. 5. Безразмерный диаметр переходного кратера pDtc (уравнение (2)) зависимости от безразмерной величины ударника p2 (уравнение (1)). На верхней горизонтальной оси для наглядности показан диаметр ударника (км) для земной силы тяжести и скорости удара U = 15 км/с. Экспериментальная зависимость для сухого песка (нижний пунктир) взята из работы (Schmidt, Housen, 1987). Аппроксимация расчетных данных для низкоскоростных ударов (U = 5 км/с) показана длинными штрихами (1). Закон подобия для мишени без пористости показан сплошной кривой 4. Приближение расчетных точек к линии 4 при высоких скоростях удара показано линиями 2 (скорость удара U = 20 км/с) и 3 (U = 30 км/с). Расчетные точки 5–9 взяты из результатов моделирования для однородных мишеней с сухим трением и тепловым разупрочнением (Ivanov, Kamyshenkov, 2012). Расчеты с коэффициентом трения 0.6 для U = 5 км/с: 5 – сферический ударник; 6 – эллиптический ударник с толщиной в половину горизонтального диаметра; 7 – трение 0.6, мишень ANEOS-кварцит (Melosh, 2007), U = 20 км/с; 8 – трение 0.6, мишень – CaO (лайм), U = 20 км/с; 9 – то же, что и 8, но для U = 30 км/с; 10 – настоящая работа.
Рис. 6. Расчетные точки для глубины переходного кратера в однородной мишени с сухим трением (Ivanov, Kamyshenkov, 2012) в сравнении с результатами данной работы. Использованы те же значки, что и на рис. 5. 1 – обобщенная зависимость от масштаба глубины переходного кратера в однородной мишени без прочности (Schmidt, Housen, 1987). 2 – расчетная зависимость для низкоскоростных ударов в мишень с сухим трением (Ivanov, Kamyshenkov, 2012). 3 – обобщенная экспериментальная зависимость глубины кратеров в сухом песке (Schmidt, Housen, 1987).
В данной работе модель рассматривает слоистую мишень (кора поверх мантии), где наличие более плотного нижнего слоя может повысить “эффективную” плотность мишени при проникновении переходного кратера в более плотную мантию. После этого предупреждения мы приводим график модельного безразмерного диаметра переходного кратера на рис. 5. Зависимости для безразмерной глубины переходного кратера показаны на рис. 6 в сравнении с данными из работы (Ivanov, Kamyshenkov, 2012).
Рис. 5 и рис. 6 показывают, что для ударов с низкой скоростью (U = 5 км/с) зависимости переходных глубин и диаметров модельных кратеров от масштаба на графиках в двойном логарифмическом масштабе имеют вид примерно параллельных прямых с интерполяцией экспериментальных данных для сухого песка (Schmidt, 1987; Schmidt, Housen, 1987). Модельные кратеры немного шире и глубже, чем лабораторные кратеры в песке, так как численная модель не учитывает пористость материала мишени. Поправочный коэффициент эффективности по диаметру кратера для пористого сухого песка составляет около 0.8 – модельный ударный переходный кратер при низкой скорости удара примерно на 20% больше, чем экспериментальные кратеры в пористом сухом песке.
Законы подобия для среды без пористости (см. рис. 5 для диаметра и рис. 6 для глубины кратера) в свое время были предложены как экстраполяция экспериментальных данных для водонасыщенного песка, представленных в работе (Schmidt, Housen, 1987). Экспериментальные законы подобия для сухого песка (рис. 5 и рис. 6) в течение многих лет часто упоминались как типичные законы подобия для пористых мишеней – в отличие от соотношений на основе данных для влажного песка, широко цитируемых как закон подобия для непористых пород при крупномасштабных ударах, где влияние прочности начинает быть гораздо меньше влияния силы тяжести. Детальное численное моделирование в последние годы позволило более точно охарактеризовать эти законы подобия. Например, Nowka и др. (2010) показали, как уменьшение пористости при постоянном сухом трении плавно повышает эффективность кратерообразования, сохраняя тот же “наклон” кривой в двойных логарифмических координатах pD–p2. В то же время для нулевой пористости увеличение сухого трения в мишени снижает эффективность кратерообразования, уменьшая степень при a в типичном степенном законе подобия pD ~ p2–a от 0.22 (малая прочность ≈ “гидродинамическая” мишень) до ~0.17 (ранее – показатель степени для сухого песка, теперь – показатель степени для мишени с сухим трением) (см. короткое обсуждение в работе (Werner, Ivanov, 2015)).
В описанных выше терминах наши расчеты дополняют ранее опубликованные данные (Ivanov, Kamyshenkov, 2012) и иллюстрируют (рис. 5 и рис. 6) плавный переход, по мере роста масштабного параметра p2, от режима “сухого трения” к режиму “сплошного материала” (“гидродинамическое подобие”). В то же время следует отметить, что для материалов с нелинейными механическими свойствами (термическое разупрочнение, переменные предел пластичности и коэффициент трения и т.п.) простого закона подобия с одним показателем степени недостаточно для оценки эффективности кратерообразования. Например, данные для глубины высокоскоростных переходных кратеров (рис. 6) образуют почти “плоскую” зависимость pdtc–p2 в интервале величин p2 от ~2×10–5 до ~2×10–3, в отличие от низкоскоростных ударов. Безусловно, закон подобия для мишеней с “реальными” моделями механической прочности должен включать более сложную зависимость от скорости удара по сравнению с простыми степенными соотношениями с параметром a, равным 0.17 или 0.22.
Коллапс переходного кратера
Полная временная последовательность процесса образования кратера была описана ранее (см., например, Иванов, 2005). Для кратера Вредефорт наиболее подходящий модельный набор параметров при вертикальном ударе включает астероид диаметром 14 км при скорости удара 15 км/с. Из точки удара распространяется ударная волна, и переходный кратер начинает расти в материале мишени, механически поврежденном ударной волной. Для модельного кратера Вредефорт примерно через 30 с после удара переходный кратер достигает максимальной глубины и начинает обрушаться в поле тяжести. Центральная часть околократерного течения показана на рис. 7, где расплавленный материал показан красным цветом лагранжевых трассеров, нагретых выше 1700 К. В показанном на рис. 7 варианте использован ударник диаметром 14 км, вертикально падающий на мишень со скоростью 15 км/с. Область расчета покрыта эйлеровой сеткой с размером ячеек 0.7 × 0.7 км. В каждую ячейку с материалом изначально помещен лагранжев трассер, который “записывает” давление, плотность и температуру в ячейке. Визуализация деформации мишени сделана с помощью черных точек для каждого десятого ряда и каждой десятой колонки изначального положения трассеров. Трассеры, “записавшие” температуру 1700 К и выше, показаны как красные точки и примерно показывают геометрию зоны расплава (температура выше солидуса). Цепочка синих трассеров состоит из трассеров, которые в конечной геометрии образуют будущую поверхность эрозии на глубине 8 км ниже начального уровня поверхности. В данном варианте используется трехслойная модель мишени – верхняя кора (темно-серый тон), нижняя кора (более светлый тон) и мантия (более темный тон глубже 50 км).
Рис. 7. Деформация и перемещение материала в центральной части модельного кратера масштаба кратера Вредерфорт. Значения расстояний по осям приведены в км. Время после удара указано над каждым рисунком.
Рис. 7 иллюстрирует, что переходный кратер для удара такого масштаба (глубина и диаметр около 30–40 км) достаточно велик для того, чтобы породы земной коры двигались обратно к центру во время гравитационного коллапса и выталкивали вверх большую часть ударного расплава, первоначально “размазанную” по дну переходного кратера. Во время коллапса будущий горизонт после ударной эрозии достигает конечного положения примерно через 180 с после удара, а последующее движение сосредоточено в обрушающемся центральном поднятии (см. исследования обрушения центрального подъема в работах Morgan и др., 2016; Baker и др., 2016).
Используя тот же набор модельных параметров, что и в описанной выше модели образования кратера Вредефорт, мы увеличили размер ударника в 2 и 4 раза (соответственные модели названы 2 × V и 4 × V), соответственно увеличив размер вычислительной ячейки при постоянном разрешении 20 CPPR (20 ячеек на диаметр ударника). Здесь возникает новая проблема для моделирования – можно ли предполагать, что модель временного уменьшения сухого трения из-за акустической флюидизации (АФ-модель, Melosh, Ivanov, 1999) действует для глубинных мантийных пород так же, как и для кристаллических пород коры? В более общей формулировке – применим ли наш опыт моделирования для воспроизведения временного уменьшения сухого трения вокруг образующегося ударного кратера для глубоких мантийных пород при более высоком давлении и температуре? Не имея однозначного ответа на этот вопрос, мы начали с двух версий моделей – с применением и без применения AF-модели для мантийных пород.
Результаты моделирования по вариантам 2 × V и 4 × V представлены на рис. 8–10. Моделирование с удвоенным по диаметру ударником (2 × V, рис. 8) показывает отсутствие ударного расплава в мантии. Использование АФ-модели для мантии влияет на геометрию поднятия мантии, но не влияет на главный результат удвоения размеров ударника – появление глубокой, заполненной расплавом горловины в центре кратера.
Рис. 8. Конечное (~18 мин. после удара) поперечное сечение модельного кратера для удвоенного (относительно ударника кратера Вредефорт) в диаметре ударника (модель V × 2, Dpr = 28 км, U = 15 км/с), рассчитанное без использования АФ-модели (модели акустической флюидизации) в мантии (а) и с использованием этой модели (б). Розовым цветом отмечено положение ударного расплава. Другие вариации цвета отражают различный уровень поврежденности горных пород (Collins и др., 2004). Расстояния по горизонтали и вертикали в км.
Следующее удвоение размера ударника до 56 км (4 × V) при той же скорости удара и той же структуре мишени приводит к ударному плавлению мантии и увеличению объема “озера” расплава в центре кратера (рис. 9). Здесь влияние включения/выключения эффектов AF в веществе мантии еще менее заметно, чем в варианте 2 × V, – повышенные литостатическое давление и температура приводят к пластическому поведению мантийного вещества даже без дополнительного уменьшения сухого трения, связанного с акустической флюидизацией.
Рис. 9. Конечное (~18 мин после удара) поперечное сечение модельного кратера для учетверенного (относительно ударника кратера Вредефорт) диаметра ударника (обозначенного 4 × V, Dpr = 57 км, U = 15 км/с), рассчитанное без использования модели акустической флюидизации для материала мантии (а) и с использованием этой модели (б). Другие вариации цвета отражают различный уровень поврежденности горных пород (Collins и др., 2004). Расстояния по горизонтали и вертикали в км.
Отметим, что в течение расчетных ~1000 с движение вещества в расплавленной зоне еще не прекращается – можно наблюдать медленное гравитационное разделение расплавленного материала коры меньшей плотности и более плотного расплава вещества мантии. Для этого масштаба ударного события окончательная геометрия зоны плавления установится после длительного теплового охлаждения с возможной дифференциацией новых горных пород, кристаллизующихся из ударного расплава.
На рис. 10 сравниваются профили модельных кратеров для вариантов модели, показанных на рис. 8 и рис. 9. На рис. 10 интервал меток на вертикальной оси равен размеру расчетной ячейки, чтобы подчеркнуть приблизительный характер полученных профилей. Профиль финального кратера покрывается всего лишь 5–8 расчетными ячейками по вертикали, что ведет к низкому пространственному разрешению относительно “точной” формы кратера. В рамках имеющихся ограничений по пространственному разрешению мы можем только констатировать, что смоделированные кратеры имеют плоское дно (волнистость размером в ±1 ячейку), глубину от 2 до 3 км и кратерный вал, приподнятый на 2.5–3 км над уровнем исходной поверхности мишени. В целом полученная в модели геометрия кратеров не противоречит имеющейся информации о крупных ударных структурах на Луне, Венере, Марсе и Меркурии (рис. 1–3). Для Венеры (и, возможно, для других планетных тел) наблюдаемый современный рельеф может отличаться от модельной геометрии сразу после удара из-за медленных процессов, таких как вязкая релаксация (Karimi, Dombard, 2017).
Рис. 10. Профили модельных кратеров для вариантов 2 × V (а) и 4 × V (б) с большим увеличением по вертикали, чтобы показать относительно малую глубину (~1.5 и ~3 км соответственно) финальных кратеров с видимыми диаметрами ~300 и ~500 км. Малые деления на вертикальной оси соответствуют размерам расчетных ячеек ∆x = 0.7 км (вариант 2 × V) и ∆x = 1.4 км (вариант 4 × V). Профили на панелях (а) и (б) соответствуют расчетам с использованием модели акустической флюидизации в мантии (1) и без ее использования (2).
Структура мишени под кратерами
Считается, что на геологически активной Земле можно было бы найти крупные эродированные структуры (Plado и др., 1999). Поэтому основной интерес представляет выявление изначально глубоких ударных структур, которые могут быть вскрыты при эрозии. Уровень эрозии для двух крупнейших ударных структур (Вредефорт и Садбери) оценивается в 6–8 км в течение ~2 млрд лет после их образования (Иванов, 2005). На современном эрозионном срезе мы видим в основном ударно-измененные породы, поднятые с начальных глубин порядка 1/10 D и остатки первоначального бассейна ударного расплава (сильно деформированного постударной тектоникой). Для исследуемых ударов масштаба 2 × V и 4 × V мы получаем некоторое представление о возможном положении ударного расплава, так как в этих случаях смоделированное положение ударного расплава указывает на большую глубину ванны расплава.
Объем расплава. В представленном моделировании мы оценили объем ударного расплава как суммарный объем расчетных ячеек с конечной температурой выше солидуса материала мишени. Часть расплавленных частиц выбрасывается за пределы расчетной сетки, некоторые небольшие порции горячего материала численно “разбавляются” более холодным материалом во время вычислительной адвекции – см. дискуссию (Ivanov и др., 2010). По этой причине полученные численные оценки являются приблизительными. Можно сравнить смоделированные и “измеренные” объемы ударного расплава, как это показано на рис. 11, выполненном на основе рис. 5 из работы (Werner, Ivanov, 2015). Здесь аналитическая оценка суммарного объема ударного расплава при ударах в кристаллическую мишень сопоставлена с геологическими оценками (Cintala, Grieve, 1998) для хорошо изученных земных ударных структур. Объемы ударного расплава, рассчитанные для предполагаемых земных кратеров с D > 200 км, представляются естественным продолжением предложенного ранее тренда Vmelt(D) ≈ (0.0007 ÷ 0.0014) × D3.3 (объем – в км3, диаметр – в км), где неопределенность в численном коэффициенте отражает возможность выброса части расплава за пределы центральной области (Werner, Ivanov, 2015).
Рис. 11. Оценка объемов ударного расплава в известных земных метеоритных кратерах из работы (Cintala, Grieve, 1998): 1 – наблюдения, 2 – максимальные оценки, 3 – модельные результаты настоящей работы. Сплошная и пунктирная линии трендов описаны в тексте.
“Горячий шток”. Сравнивая модельные удары с базовым масштабом 1 × V (1×Vredefort – рис. 7) и удары с двукратно и четырехкратно увеличенным диаметром возможных ударников (2 × V – рис. 8; и 4 × V – рис. 9), отметим основной наблюдаемый эффект: в более крупных кратерах обрушение с подъемом дна переходного кратера не выталкивает вверх ударный расплав, создавая неглубокий бассейн расплава, окружающий центральную горку в хорошо сохранившихся кратерах, таких как Болтышский кратер, Украина (Valter и др., 1982; Grieve и др., 1987). Вместо этого ударный расплав “зажимается” породами коллапсирующего переходного кратера, образуя относительно узкую вертикальную область расплавленного материала – “горячий шток”.
Идея “горячего штока”, или вертикальной горловины, заполненной расплавом, в центре коллапсировавшего переходного кратера, была предложена Senft и Stewart (2011) для кратеров на ледяных телах. Наша модель воспроизводит аналогичный механизм для каменных тел. Когда объем ударно расплавленных пород становится сопоставимым с объемом переходного кратера, движение пород при коллапсе кратера “захватывает” ударный расплав вблизи вертикальной центральной оси – поднятие дна кратера не успевает вытолкнуть весь расплав на поверхность центральной горки, что происходит в моделях образования кратеров диаметром <200 км. Формирование центрального бассейна ударного расплава уверенно наблюдается при моделировании лунных и марсианских ударных бассейнов (Ivanov и др., 2010; Potter и др., 2012).
Из множества параметров геометрии “горячего штока”, наблюдаемых при моделировании, мы выбрали самый простой параметр – диаметр “горячего штока” на предполагаемом уровне эрозии на 20 км ниже уровня поверхности в момент удара (таблица). Крупнейшие кратеры на Венере, Марсе и Меркурии демонстрируют ограниченный интервал современных глубин в диапазоне 2–3 км. Следовательно, можно предположить, что вязкая релаксация исходного кратера не изменит кардинально положение “горячего штока”.
Таблица. Модельные параметры ударов: эквивалентный диаметр сферического ударника Dpr (D-projectile), тип теплового градиента – “холодный” (cold) или “горячий” (hot) – и основные конечные параметры моделируемой ударной структуры
Расчетный вариант | Dpr1, км | Тепловой градиент | Dr2, км | Da3 , км | W204, км | dtс5, км | Dtc6, км |
G3 | 32.2 | cold | 360 | 310 | 40 | 60 | 150 |
G4 | 32.2 | hot | 420 | 340 | 87 | 62 | 148 |
G5 | 28.2 | hot | 360 | 280 | 57 | 132 | |
G6 | 24.2 | cold | 340 | 250 | 30 | 45 | 117 |
G7 | 16.1 | hot | 220 | 180 | 25 | 34 | 85 |
G8 | 12.1 | hot | 180 | 110 | 25 | 64 |
Примечания:
1) эквивалентный диаметр сферического ударника;
2) диаметр расчетного кратера по гребню вала;
3) диаметр расчетного кратера на уровне исходной поверхности;
4) W20 – диаметр центрального тела ударного расплава в центральном штоке на глубине 20 км под уровнем исходной поверхности мишени;
5) глубина переходного кратера (transient cavity depth);
6) диаметр переходного кратера (transient cavity diameter).
Заключение
Данная работа была начата много лет назад в дискуссии с Адамом Гарде, который предполагал ударное происхождение структуры Манитсок в Гренландии (Garde и др., 2011; 2012). Недавние исследования (Yakymchuk и др., 2021) свидетельствуют против ударного происхождения этой структуры. Однако вопрос о возможности обнаружения земных ударных структур диаметром более 200 км и возрастом более 2 млрд лет остается открытым. Проведенное численное моделирование предсказывает долгоживущее “озеро” ударного расплава в центральной части достаточно большого кратера – частично об этом свидетельствуют геологические структуры в эродированном кратере Садбери, Канада (Grieve, Therriault, 2000). Независимое численное моделирование образования земного ударного кратера диаметром около 300 км (Trowbridge и др., 2017) в целом подтверждает результаты данной работы. Кроме того, результаты моделирования соответствуют геологии больших ударных кратеров, наблюдаемых на Венере, Меркурии и Марсе с космических аппаратов. Однако необходимы дополнительные исследования для оценки возможности сохранности останков земных ударных кратеров большого размера и возрастом более 2 млрд лет с учетом эрозии и земной тектоники.
Работа выполнена в рамках государственного задания Министерства науки и высшего образования РФ (тема № 122032900178-7).
About the authors
Б. А. Иванов
Институт динамики геосфер им. М.А. Садовского РАН
Author for correspondence.
Email: boris_a_ivanov@mail.ru
Russian Federation, Москва
References
- Иванов Б.А. Моделирование крупнейших земных метеоритных кратеров // Астрон. вестн. 2005. Т. 39. С. 1–31. (Ivanov B.A. Numerical modeling of the largest terrestrial meteorite craters // Sol. Syst. Res. 2005. V. 39. P. 381–409.)
- Попов Ю.А., Певзнер С.Л., Пименов В.П., Ромушкевич Р.А. Певзнер С.Л. Геотермические характеристики разреза СГ-3 // Кольская сверхглубокая. Научные результаты и опыт исследований / Ред. Лаверов Н.П., Орлов В.П. М.: МФ ТЕХНОНЕФТЕГАЗ, 1998. С. 176–190.
- Akimoto S.-i., Komada E., Kushiro I. Effect of pressure on the melting of olivine and spinel polymorph of Fe2SiO4 // J. Geophys. Res.1967. V. 72. №2. P. 679–686. https://doi.org/10.1029/JZ072i002p00679.
- Allen N.H., Nakajima M., Wünnemann K., Helhoski S., Trail D. A revision of the formation conditions of the Vredefort crate // J. Geophys. Res.: Planets. 2022. V. 127. № 8. id. e2022JE007186.
- Allibert L., Landeau M., Röhlen R., Maller A., Nakajima M., Wünnemann K. Planetary impacts: scaling of crater depth from subsonic to supersonic conditions // J. Geophys. Res.: Planets. 2023. V. 128. № 8. id. e2023JE007823.
- Artemieva I.M., Shulgin A. Making and altering the crust: A global perspective on crustal structure and evolution // Earth and Planet. Sci. Lett. 2019. V. 512. P. 8–16.
- Baker D.M.H., Head J.W., Collins G.S., Potter R.W.K. The formation of peak-ring basins: Working hypotheses and path forward in using observations to constrain models of impact-basin formation // Icarus. 2016. V. 273. P. 146–163.
- Benz W., Cameron A.G.W., Melosh H.J. The origin of the Moon and the single-impact hypothesis III // Icarus. 1989. V. 81. № 1. P. 113–131.
- Boettcher A.L., Wyllie P.J. Melting of granite with excess water to 30 kilobars pressure // J. Geol. 1968. V. 76. № 2. P. 235–244.
- Bottke W.F., Norman M.D. The late heavy bombardment // Ann.l Rev. Earth and Planet. Sci. 2017. V. 45. P. 619–647.
- Bottke W.F., Vokrouhlicky D., Ghent B., Mazrouei S., Robbins S., Marchi S. On asteroid impacts, crater scaling laws, and a proposed younger surface age for Venus // Lunar and Planet. Sci. Conf. 47. 2016. Abs. № 2036.
- Cammarano F., Guerri M. Global thermal models of the lithosphere // Geophys. J. Internat. 2017. V. 210. № 1. P. 56–72.
- Cintala M.J., Grieve R.A.F. Scaling impact-melt and crater dimensions: Implications for the lunar cratering record // Meteorit. and Planet. Sci. 1998. V. 33. P. 889–912.
- Clauser C., Giese P., Huenges E., Kohl T., Lehmann H., Rybach L., Šafanda J., Wilhelm H., Windloff K., Zoth G. The thermal regime of the crystalline continental crust: Implications from the KTB // J. Geophys. Res.: Solid Earth. 1997. V. 102. № B8. P. 18417–18441.
- Cohen R.E. First-Principles Predictions of Elasticity and Phase Transitions in High Pressure SiO2 and Geophysical Implications // High-Pressure Research: Application to Earth and Planetary Sciences / Eds: Syono Y., Manghnani M.H. Tolyo/Washington DC: Terra Sci. Publ./Am. Geophys. Union, 1992. P. 425–431.
- Collins G.S. Numerical simulations of impact crater formation with dilatancy // J. Geophys. Res.: Planets. 2014. V. 119. P. 2600–2619.
- Collins G.S., Melosh H.J. Improvements to ANEOS for multiple phase transitions // Lunar Planet. Sci. Conf. 45. Woodland, TX. 2014. Abs. № 2664.
- Collins G.S., Melosh H.J., Ivanov B.A. Modeling damage and deformation in impact simulations // Meteorit. and Planet. Sci. V. 34 Supplement. 2004. V. 39(2). P. 217–231.
- Dell’Angelo L.N., Tullis J. Experimental deformation of partially melted granitic aggregates // J. Metamorph. Geol. 1988. V. 6. № 4. P. 495–515.
- Elbeshausen D., Wünnemann K., Collins G.S. Scaling of oblique impacts in frictional targets: Implications for crater size and formation mechanisms // Icarus. 2009. V. 204. P. 716–731.
- Furlong K.P., Chapman D.S. Heat flow, heat generation, and the thermal state of the lithosphere //Ann. Rev. Earth and Planet. Sci. 2013. V. 41. № 1. P. 385–410.
- Garde A.A., Ivanov B.A., McDonald I. Beyond Vredefort, Sudbury and Chicxulub //Meteorit. and Planet. Sci. Suppl. 2011. V. 74. Abs. № 5249.
- Garde A.A., McDonald I., Dyck B., Keulen N. Searching for giant, ancient impact structures on Earth: The Mesoarchaean Maniitsoq structure, West Greenland // Earth and Planet. Sci. Lett. 2012. V. 337. P. 197–210.
- Gibson R.L, Reimold W.U. The significance of the Vredefort Dome for the thermal and structural evolution of the Witwatersrand Basin, South Africa // Mineral. Pertol. 1999. V. 66. P. 5–23.
- Goetze C. High temperature rhelogy of Westerly granite // J. Geophys, Res. 1971. V. 76. № 5. P. 1223–1230.
- Grieve R., Therriault A. Vredefort, Sudbury, Chicxulub: Three of a kind? //Ann. Rev. Earth and Planet. Sci. 2000. V. 28. P. 305–338.
- Grieve R.A.F., Reny G., Gurov E.P., Ryabenko V.A. The melt rocks of the Boltysh impact crater, Ukraine, USSR // Contrib. Mineral. Petrol. 1987. V. 96. № 1. P. 56–62.
- Hasterok D., Gard M., Cox G., Hand M. A 4 Ga record of granitic heat production: Implications for geodynamic evolution and crustal composition of the early Earth // Precambr. Res. 2019. V. 331. id. 105375.
- Holland T., Powell R. Calculation of phase relations involving haplogranitic melts using an internally consistent thermodynamic dataset // J. Petrol. 2001. V. 42. № 4. P. 673–683.
- Holsapple K.A., Schmidt R.M. A material-strength model for apparent crater volume // Proc. Lunar and Planet. Sci. Conf. 10th. N.Y.: Pergamon Press, 1979. P. 2757–2777.
- Huber M.S., Kovaleva E., Rae A.S.P., Tisato N., Gulick S.P.S. Can Archean impact structures be discovered? A case study from Earth’s largest, most deeply eroded impact structure // J. Geophys. Res.: Planets. 2023. V. 128. № 8. id. e2022JE007721.
- Ivanov B.A., Artemieva N.A. Numerical modeling of the formation of large impact craters // Catastrophic Events and Mass Extinctions: Impact and Beyond, Geological Society of America. Spec. Pap. 356 / Eds: Koeberl C., MacLeod K.G. Boulder, Colorado: GSA, 2002. P. 619–630.
- Ivanov B.A., Deniem D., Neukum G. Implementation of dynamic strength models into 2D hydrocodes: Applications for atmospheric breakup and impact cratering. I // J. Impact Eng.1997. V. 20. № 1–5. P. 411–430.
- Ivanov B.A., Ford P.G. The depths of the largest impact craters on Venus (abstract) // Lunar and Planet. Sci. Conf. 24. 1993. P. 689–690.
- Ivanov B.A., Kamyshenkov D. Impact cratering: Scaling law and thermal softening // Lunar and Planet. Sci. Conf. 43. 2012. Abs. № 1407.
- Ivanov B.A., Melosh H.J. Impacts do not initiate volcanic eruptions: Eruptions close to the crater // Geology. 2003. V. 31. № 10. P. 869–872.
- Ivanov B.A., Melosh H.J., Pierazzo E. Basin-forming impacts: Reconnaissance modeling // GSA Special Papers 465 / Eds: Gibson R.L., Reimold W.U. Boulder, Colorado, USA: Geolog. Soc. Am. 2010. P. 29–49.
- Ivanov B.A., Turtle E.P. Modeling impact crater collapse: Acoustic fluidization implemented into a hydrocode // Lunar and Planet. Sci. Conf. 32. 2001. Abs. № 1284.
- Jennings E.S., Holland T.J.B. A simple thermodynamic model for melting of peridotite in the system NCFMASOCr // J. Petrol. 2015. V. 56. № 5. P. 869–892.
- Johnson B.C., Collins G.S., Minton D.A., Bowling T.J., Simonson B.M., Zuber M.T. Spherule layers, crater scaling laws, and the population of ancient terrestrial impactors // Icarus. 2016. V. 271. P. 350–359.
- Johnson B.C., Melosh H.J. Impact spherules as a record of an ancient heavy bombardment of Earth // Nature. 2012. V. 485. № 7396. P. 75–77.
- Karimi S., Dombard A.J. Studying lower crustal flow beneath Mead basin: Implications for the thermal history and rheology of Venus // Icarus. 2017. V. 282. P. 34–39.
- Katz R.F., Spiegelman M., Langmuir C.H. A new parameterization of hydrous mantle melting // Geochem., Geophys. Geosyst. 2003. V. 4. № 9. P. 1–19.
- Kukkonen I.T. Temperature and heat flow density in a thick cratonic lithosphere: The SVEKA transect, central Fennoscandian Shield // J. Geodyn. 1998. V. 26. № 1. P. 111–136.
- Kukkonen I.T., Clauser C. Simulation of heat transfer at the Kola deep-hole site: Implications for advection, heat refraction and palaeoclimatic effects // Geophys. J. Internat. 1994. V. 116. № 2. P. 409–420.
- Kumar P., Kind R., Priestley K., Dahl-Jensen T. Crustal structure of Iceland and Greenland from receiver function studies // J. Geophys. Res.: Solid Earth. 2007. V. 112. № B3. P. 1–19.
- Kurosawa K., Genda H. Effects of friction and plastic deformation in shock-comminuted damaged rocks on impact heating // Geophys. Res. Lett. 2018. V. 45. № 2. P. 620–626.
- Lana C., Gibson R.L., Kisters A.F.M., Reimold W.U. Archean crustal structure of the Kaapvaal craton, South Africa – evidence from the Vredefort dome // Earth and Planet. Sci. Lett. // 2003a. V. 206. № 1–2. P. 133–144.
- Lana C., Gibson R.L., Reimold W.U. Impact tectonics in the core of the Vredefort dome, South Africa: Implications for central uplift formation in very large impact structures // Meteorit. and Planet. Sci. 2003b. V. 38. P. 1093–1107.
- Lowe D.R., Byerly G.R. The terrestrial record of late heavy bombardment // New Astron. Rev. 2018. V. 81. P. 39–61.
- Luo S.-N., Ahrens T.J. Shock-induced superheating and melting curves of geophysically important minerals // Phys. Earth and Planet. Inter. 2004. V. 143–144. P. 369–386.
- McKinnon W.B., Zahnle K.J., Ivanov B.A., Melosh H.J. Cratering on Venus: Models and observations // Venus II. / Eds: Bougher S.W., Hunten D.M., Phillips R.J. Tucson, Arizona: Univ. Arizona Press, 1997. P. 969–1014.
- Melosh H.J. A hydrocode equation of state for SiO2 // Meteor. and Planet. Sci. 2007. V. 42. № 12. P. 2079–2098.
- Melosh H.J., Ivanov B.A. Impact crater collapse // Ann. Rev. Earth and Planet. Sci. 1999. V. 27. P. 385–415.
- Melosh H.J., Ivanov B.A. Slow impacts on strong targets bring on the heat // Geophys. Res. Lett. 2018. V. 45. № 6. P. 2597–2599.
- Miller C.F., McDowell S.M., Mapes R.W. Hot and cold granites? Implications of zircon saturation temperatures and preservation of inheritance // Geology. 2003. V. 31. № 6. P. 529–532.
- Morgan J.V., Gulick S.P.S., Bralower T., Chenot E., Christeson G., Claeys P., Cockell C., Collins G.S., Coolen M.J.L., Ferrière L., and 28 co-authors. The formation of peak rings in large impact craters // Science. 2016. V. 354. № 6314. P. 878–882.
- Nowka D., Wunnemann K., Collins G.S., Elbeshausen D. Scaling of impact crater formation on planetary surfaces // Eur. Planet. Sci. Congress. 2010. Abs. № 87. https://meetingorganizer.copernicus.org/EPSC2010/EPSC2010-87.pdf.
- Ohnaka M. A shear failure strength law of rock in the brittle-plastic transition regime // Geophys. Res. Lett. 1995. V. 22. № 1. P. 25–28.
- Plado J., Pesonen L. J., Puura V., Dressler B. O., Sharpton V. L. Effect of erosion on gravity and magnetic signatures of complex impact structures: Geophysical modeling and applications // Large meteorite impacts and planetary evolution; II. 1999. P. 229-239. Geological Society of America, Boulder, Colorado.
- Pichavant M., Weber C., Villaros A. Effect of anorthite on granite phase relations: Experimental data and models // Compt. Rend. Geosci. 2019. V. 351. № 8. P. 540–550.
- Pierazzo E., Artemieva N.A., Ivanov B.A. Starting conditions for hydrothermal systems underneath Martian craters: Hydrocode modeling // Spec. Paper 384: Large Meteorite Impacts III. 2005. P. 443–457.
- Pierazzo E., Vickery A.M., Melosh H.J. A reevaluation of impact melt production // Icarus. 1997. V. 127. P. 408–423.
- Poelchau M.H., Kenkmann T., Thoma K., Hoerth T., Dufresne A., SchńFer F. The MEMIN research unit: Scaling impact cratering experiments in porous sandstones // Meteorit. and Planet. Sci. 2013. V. 48. № 1. P. 8–22. https://doi.org/10.1111/maps.12016.
- Popov Y.A., Pevzner S.L., Pimenov V.P., Romushkevich R.A. New geothermal data from the Kola superdeep well SG-3 //Tectonophysics. 1999. V. 306. № 3. P. 345–366.
- Posiolova L.V., Lognonné P., Banerdt W.B., Clinton J., Collins G.S., Kawamura T., Ceylan S., Daubar I.J., Fernando B., Froment M., and 42 co-authors. Largest recent impact craters on Mars: Orbital imaging and surface seismic co-investigation // Science. 2022. V. 378. № 6618. P. 412–417.
- Potter R.W.K., Collins G.S., Kiefer W.S., McGovern P.J., Kring D.A. Constraining the size of the South Pole-Aitken basin impact // Icarus. 2012. V. 220. P. 730–743.
- Presnall D.C., Walter M.J. Melting of forsterite, Mg2SiO4, from 9.7 to 16.5 Gpa // J. Geophys, Res.: Solid Earth. 1993. V. 98. № B11. P. 19777–19783.
- Prieur N.C., Rolf T., Luther R., Wünnemann K., Xiao Z., Werner S.C. The effect of target properties on transient crater scaling for simple craters // J. Geophys. Res.: Planets. 2017. V. 122. P. 1704–1726.
- Puziewicz J., Czechowski L., Grad M., Majorowicz J., Pietranik A., Šafanda J. Crustal lithology vs. thermal state and Moho heat flow across the NE part of the European Variscan orogen: A case study from SW Poland // Int. J. Earth Sci. 2019. V. 108. № 2. P. 673–692.
- Reimold W.U., Gibson R.L. Geology and evolution of the Vredefort impact structure, South Africa // J. African Earth Sci.1996. V. 23. № 2. P. 125–162.
- Riller U., Poelchau M.H., Rae A.S.P., Schulte F.M., Collins G.S., Melosh H.J., Grieve R.A.F., Morgan J.V., Gulick S.P.S., Lofi J., Diaw A., McCall N., Kring D.A. IODP–ICDP Expedition 364 Science Party. Rock fluidization during peak-ring formation of large impact structures // Nature. 2018. V. 562. № 7728. P. 511–518.
- Rutter E.H., Neumann D.H.K. Experimental deformation of partially molten Westerly granite under fluid-absent conditions, with implications for the extraction of granitic magmas // J. Geophys. Res.: Solid Earth. 1995. V. 100. № B8. P. 15697–15715.
- Schaber G.G., Strom R.G., Moore H.J., Soderblom L.A., Kirk R.L., Chadwick D.J., Dawson D.D., Gaddis L.R., Boyce J.M., Russell J. Geology and distribution of impact craters on Venus: What are they telling us? // J. Geophys. Res.: Planets. 1992. V. 97. № E8. P. 13257–13301.
- Schmidt R.M. Preliminary scaling results for crater rim-crest diameter // Lunar and Planet. Sci. Conf. 18th. 1987. P. 878–879. https://articles.adsabs.harvard.edu/pdf/1987LPI....18..878S
- Schmidt R.M., Housen K.R. Some recent advances in the scaling of impact and explosion cratering // Int. J. Impact Eng. 1987. V. 5. № 1–4. P. 543–560.
- Schulz T., Koeberl C., Luguet A., van Acken D., Mohr-Westheide T., Ozdemir S., Reimold W.U. New constraints on the Paleoarchean meteorite bombardment of the Earth - Geochemistry and Re-Os isotope signatures of spherule layers in the BARB5 ICDP drill core from the Barberton Greenstone Belt, South Africa // Geochim. et Cosmochim. Acta. 2017. V. 211. P. 322–340.
- Schutt D.L., Lowry A.R., Buehler J.S. Moho temperature and mobility of lower crust in the western United States // Geology. 2018. V. 46. № 3. P. 219–222.
- Senft L.E., Stewart S.T. Modeling the morphological diversity of impact craters on icy satellites // Icarus. 2011. V. 214. № 1. P. 67–81.
- Simonson B.M., Glass B.B. Spherule layers records of ancient impacts // Ann. Rev. Earth and Planet. Sci. 2004. V. 32. P. 329–361.
- Steffen R., Strykowski G., Lund B. High-resolution Moho model for Greenland from EIGEN-6C4 gravity data // Tectonophys. 2017. V. 706–707. P. 206–220.
- Stixrude L., Lithgow-Bertelloni C. Thermodynamics of mantle minerals. II. Phase equilibria // Geophys. J. Int. 2011. V. 184. № 3. P. 1180–1213.
- Strom R.G., Schaber G.G., Dawsow D.D. The global resurfacing of Venus // J. Geophys. Res. 1994. V. 99. № E5. P. 10899–10926.
- Thompson S.L., Lauson H.S. Improvements in the Chart-D radiation hydrodynamic code. III: Revised analytical equation of state. Albuquerque, NM: Sandia Laboratories, 1972. SC-RR-71 0714. 119 p.
- Trowbridge A.J., Garde A.A., Melosh H.J., Andronicos C.L. iSALE numerical modeling of the Maniitsoq structure, West Greenland: A crustal-scale column of mechanical mixing reaching the Moho // Lunar and Planet. Sci. Conf. 48. 2017. Abs. № 2305. https://www.hou.usra.edu/meetings/lpsc2017/pdf/2305.pdf
- Valter A.A., Dobryansky Y.P., Lasarenko E.E., Tarasyuk V.K. Shock metamorphism of quartz and estimation of masses motion in the bases of Boltysh and Ilyinets astroblemes of the Ukranian Shield // Lunar and Planet. Sci. Conf. 13. 1982. Houston, TX. 819-820. https://articles.adsabs.harvard.edu/pdf/1982LPI....13..819V
- Werner S.C., Ivanov B.A. Exogenic dynamics, cratering, and surface ages (chapter 10.10) // Treatise on Geophysics (Second Edition) / Ed. Schubert G. Oxford: Elsevier, 2015. P. 327–365.
- Wunnemann K., Collins G.S., Melosh H.J. A strain-based porosity model for use in hydrocode simulations of impacts and implications for transient crater growth in porous targets // Icarus. 2006. V. 180. № 2. P. 514–527.
- Yakymchuk C., Kirkland C.L., Cavosie A.J., Szilas K., Hollis J., Gardiner N.J., Waterton P., Steenfelt A., Martin L. Stirred not shaken; critical evaluation of a proposed Archean meteorite impact in West Greenland // Earth and Planet. Sci. Lett. 2021. V. 557. id. 116730. (9 p.).
Supplementary files













