Проявления аномальной диссипации в пылевой плазме в Солнечной системе: безатмосферные космические тела
- Authors: Попель С.И.1, Зеленый Л.М.1
-
Affiliations:
- Институт космических исследований РАН
- Issue: Vol 58, No 2 (2024)
- Pages: 222-240
- Section: Articles
- URL: https://journals.rcsi.science/0320-930X/article/view/262632
- DOI: https://doi.org/10.31857/S0320930X24020079
- EDN: https://elibrary.ru/NTYQHJ
- ID: 262632
Cite item
Full Text
Abstract
Одной из основных особенностей, отличающих пылевую плазму от обычной (не содержащей заряженных пылевых частиц) плазмы, является аномальная диссипация, связанная с процессом зарядки пылевых частиц, приводящая к новым физическим явлениям, эффектам и механизмам. Рассматривается процесс аномальной диссипации в контексте описания динамики пылевых частиц в пылевой плазме безатмосферных тел Солнечной системы. Представлено описание колебаний пылевой частицы над поверхностями Меркурия, Луны, спутников Марса Фобоса и Деймоса. Затухание этих колебаний определяется частотой зарядки пылевых частиц, характеризующей аномальную диссипацию. Обсуждается возможность использования подхода, учитывающего аномальную диссипацию, для описания плазменно-пылевых процессов в окрестности комет. Показано, что аномальная диссипация играет существенную роль для определения возможности применения модели левитирующих пылевых частиц при описании пылевой плазмы над поверхностями безатмосферных тел Солнечной системы. Приведены результаты численных расчетов, подтверждающие возможность применения данной модели для ряда безатмосферных космических тел.
Full Text
Проявления аномальной диссипации в пылевой плазме в Солнечной системе: безатмосферные космические тела 1
ВВЕДЕНИЕ
Трудно представить себе заполненную плазмой область Солнечной системы, свободную от пылевых частиц (Попель, 2015). Нано- и микромасштабные пылевые частицы обнаруживаются в межпланетном космическом пространстве, в плазме ионосфер и магнитосфер планет, в планетарных кольцах, в окрестностях космических тел, не имеющих собственной атмосферы, таких как Луна, Меркурий, астероиды, кометы и др. Пожалуй, имеется лишь одно исключение из этого правила – собственно Солнце и область в непосредственной близости от него, где из-за высоких температур пыль существовать не может. В результате взаимодействия пылевых частиц с электронами и ионами окружающей плазмы, а также под действием солнечного излучения они приобретают электрические заряды и становятся одной из важных составляющих плазмы, существенно влияющей на ее свойства и динамику.
В планетологии нано- и микроразмерные компоненты выступают в качестве основных элементов структуры космических тел, поэтому исследования природных нано- и микроразмерных пылевых объектов могут привести к расширению наших представлений о фундаментальных процессах геологии и планетообразования (Богатиков, 2003). Так, например, протопланетная пыль имеет размеры от 10 нм до 150 нм. Она относится к хондритам класса C1. Если провести дифференциацию углистых хондритов, получаются минералы, входящие в состав мантии Земли. Можно сделать вывод, что, по крайней мере, планеты земной группы Солнечной системы произошли из наномасштабных частиц, состав которых отвечает углистым хондритам. Имеются серьезные аргументы в пользу предположения, что Солнечная система в свое время сформировалась из плазмы, содержащей заряженные пылевые частицы (Альвен, Аррениус, 1979). Таким образом, изучение мелкодисперсных пылевых частиц и пылевой плазмы в Солнечной системе, ионосферах и магнитосферах планет может дать новую информацию о межзвездном веществе, механизмах планетообразования и т. д.
Процессы, происходящие в пылевой плазме, в настоящее время исследуются весьма интенсивно, на что, в частности, указывает количество книг (Bouchoule, 1999; Shukla, Mamun, 2002; Vladimirov и др., 2005; Tsytovich и др., 2008; Попель, 2012; Фортов и др., 2015) и обзоров (см., например, Цытович, 1997; Нефедов и др., 1997; Цытович, Винтер, 1998; Tsytovich, 1998; Фортов и др., 2004; Merlino, Goree, 2004; Vladimirov, Ostrikov, 2004; Fortov и др., 2005; Popel, Morfill, 2005; Ostrikov, 2005; Popel и др., 2011; 2018; Зеленый и др., 2020; 2024), опубликованных по этой теме. Основными особенностями, отличающими пылевую плазму от обычной (не содержащей заряженных пылевых частиц) плазмы, является возможность самоорганизации, приводящей к формированию макроскопических структур, таких как плазменно-пылевой кристалл, плазменно-пылевые облака, капли и т. д. (Цытович, 1997; Нефедов и др., 1997; Фортов и др., 2004; 2015; Tsytovich и др., 2008;) и, кроме того, возникновение аномальной диссипации (Tsytovich, Havnes, 1993), приводящей к новым физическим явлениям, эффектам и механизмам (Benkadda, Tsytovich, 1995; Popel и др., 1996; Tsytovich, 1998; Попель и др., 2001). В природных условиях формирование плазменно-пылевых кристаллов, как правило, невозможно, и основное внимание следует уделять аномальной диссипации, связанной с процессами зарядки пылевых частиц. Именно такого рода аномальная диссипация ответственна за образование нового вида ударных волн, которые важны в физике комет, атмосфере Земли во время активных экспериментов, при описании первичной Земли и т. д. (Popel, Gisko, 2006). Эффекты, связанные с процессами зарядки пылевых частиц, важны при описании модуляционной неустойчивости в пылевой плазме (Benkadda, Tsytovich, 1995) при рассмотрении слабозатухающих солитонов (Popel и др., 2003). Хорошо известно, что в пылевой плазме электроны и ионы поглощаются на поверхности пылевой частицы, поэтому, естественно, происходит обмен энергией пылевой компоненты с плазмой. Однако во всех перечисленных выше случаях, когда делаются утверждения об аномальной диссипации, связанной с процессами зарядки пылевых частиц, имеются проявления этого эффекта, характеризующие поведение пылевой плазмы. Схожая ситуация возникает в контексте описания динамики пылевых частиц в пылевой плазме в лунной экзосфере, когда аномальная диссипация, связанная с процессами зарядки пылевых частиц, может приводить к затуханию осцилляций при движении пылевой частицы над лунной поверхностью, о чем упоминалось в работах (Popel и др., 2022; Попель, Голубь, 2022; Попель, 2023). В настоящей работе аномальная диссипация обсуждается для случаев пылевой плазмы, присутствующей в окрестностях не только Луны, но и ряда безатмосферных тел Солнечной системы таких, как Меркурий, спутники Марса Фобос и Деймос, кометы.
Важность и своевременность данного исследования связана с тем фактом, что одной из ключевых проблем физики пылевой плазмы в настоящее время является ее исследование в Солнечной системе (Попель и др., 2023). Причем особенный интерес представляют те объекты Солнечной системы, которые изучаются или будут изучаться с помощью космических аппаратов. В миссии NASA LADEE (Lunar Atmosphere and Dust Environment Explorer – Исследователь лунной атмосферы и пылевой среды) (Horányi и др., 2014) лунная пыль изучалась посредством наблюдений с орбиты. В рамках лунной миссии КНР Chang’E-3 проводились измерения потока пыли у поверхности Луны (Li и др., 2019; Zhang и др., 2020). В России готовятся миссии Луна-26 и Луна-27 (Popel и др., 2018), в рамках которых будут исследоваться свойства пыли и пылевой плазмы соответственно на орбите и у поверхности Луны.
В 2018 г. к Меркурию был отправлен космический аппарат европейской миссии BepiColombo (Benkhoff и др., 2021), который должен долететь до планеты к 2025 г. Кроме того, обсуждается запуск в 2030-х гг. российского космического зонда Меркурий-П, который должен совершить мягкую посадку на поверхность планеты. Обе эти миссии будут исследовать запыленную экзосферу Меркурия.
Согласно наблюдениям космических аппаратов Viking (Thomas, 1979; Thomas, Veverka, 1980) и Mars Express (Zakharov и др., 2014), поверхности спутников Марса – Фобоса и Деймоса – покрыты пылью, которая состоит из несвязанных друг с другом небольших крупинок реголита, образовавшегося в результате метеороидной бомбардировки. Интерес к исследованию спутников Марса обусловлен, в частности, тем, что из-за слабого гравитационного поля спутники Марса оказываются более доступными для пилотируемых полетов, чем Марс. В России готовится миссия Бумеранг (Phobos-Grunt 2) к одному из спутников Марса.
Источником мелких частиц, заполняющих Солнечную систему, служат разрушающиеся ядра комет и столкновения тел в поясе астероидов (Mann и др., 2000). Исследования пылевых частиц вблизи кометы Галлея, а также частиц из микрократеров на Луне, потоков метеоров, межпланетных пылевых частиц, собранных космическими аппаратами, позволили получить (Divine и др., 1986) параметры, которые широко используются для исследования зарядки и динамики пылевых частиц в магнитосфере Земли и Солнечной системе (см., например, Grün и др., 2001). Впервые исследование частиц пыли кометного происхождения в земных условиях удалось провести в рамках миссии NASA Stardust (Звездная пыль), среди основных целей которой были сбор и доставка на Землю частиц из окрестностей ядра кометы 81P/Wild 2, что было успешно реализовано 15 января 2006 г., когда капсула с образцами кометного вещества вернулась на Землю (Brownlee, 2012).
В разделе “Уравнение затухающих …” представлено аналитическое описание динамики пылевой частицы над поверхностью безатмосферного космического тела и получено уравнение затухающих колебаний пылевой частицы, включающее слагаемое, характеризующее аномальную диссипацию в пылевой плазме. В разделах “Окололунная пылевая…”, “Пылевая плазма…”, “Фобос, Деймос…” и “Аномальная диссипация …” проводится анализ и рассматриваются проявления процессов аномальной диссипации в пылевой плазме в окрестностях соответственно Луны, Меркурия, спутников Марса и комет. В “Заключении” суммируются результаты, описанные в данной работе.
УРАВНЕНИЕ ЗАТУХАЮЩИХ КОЛЕБАНИЙ ПЫЛЕВОЙ ЧАСТИЦЫ
Для описания поведения заряженной пыли над поверхностью безатмосферного космического тела используем модель (Popel и др., 2023), являющуюся обобщением самосогласованной электростатической модели пылевой плазмы у Луны, представленной в (Попель и др., 2013) и получившей дальнейшее развитие в (Popel и др., 2022). Однако необходимо при этом учесть особенности космического тела, которые влияют на свойства плазменно-пылевой системы. Так, например, для случая Меркурия важное влияние оказывает существование у Меркурия магнитосферы, а также тот факт, что параметры солнечного ветра в окрестностях Меркурия различны в афелии и перигелии его орбиты. В случае спутников Марса такой особенностью является слабая гравитация, которая усиливает роль пыли на спутнике Марса, поскольку даже слабое возмущение может привести к формированию массивного пылевого облака над его поверхностью. Для кометы важным фактором, влияющим на движение пылевых частиц, является газодинамическое взаимодействие этих частиц с окружающим газом, истекающим из ядра кометы. Данным фактором удается пренебречь для микрометровых пылевых частиц на достаточно больших расстояниях кометы от Солнца, превышающих 3 а. е. Ниже при описании аномальной диссипации данный фактор не учитывается.
Практически для любого безатмосферного космического тела его поверхность заряжается под действием электромагнитного излучения Солнца, плазмы солнечного ветра. При взаимодействии с излучением породы космического тела испускают электроны благодаря фотоэффекту, что приводит к формированию над поверхностью слоя фотоэлектронов. Фотоэлектроны поставляются и пылевыми частицами, парящими над поверхностью безатмосферного космического тела (они тоже поглощают солнечный свет). Пылевые частицы, находящиеся на поверхности космического тела или в приповерхностном слое, не только испускают, но и поглощают фотоэлектроны, а также фотоны солнечного излучения, электроны и ионы солнечного ветра. Все эти процессы приводят к зарядке пылевых частиц, их взаимодействию с заряженной поверхностью безатмосферного космического тела, подъему и движению пыли. Таким образом, модель, описывающая пылевую плазму над освещенными солнечным светом участками поверхности космического тела, включает следующие уравнения:
(1)
(2)
где – радиус-вектор пылевой частицы, B – магнитное поле у поверхности безатмосферного космического тела, – заряд пылевой частицы, – масса пылевой частицы, – ее скорость, E – электрическое поле, – ускорение свободного падения вблизи поверхности безатмосферного космического тела, – скорость света; – ток фотоэлектронов, эмитируемых пылевой частицей вследствие взаимодействия солнечного излучения с ее поверхностью, – сумма всех микроскопических токов электронов и ионов на поверхность пылевой частицы. Выражения для токов, которые могут входить в правую часть выражения (2), имеют вид:
(3)
(4)
(5)
(6)
Здесь и – микроскопические токи электронов и ионов солнечного ветра на пылевую частицу, – ток фотоэлектронов, окружающих пылевую частицу, на нее, – размер пылевой частицы, – ее зарядовое число (), – элементарный заряд, – концентрация электронов (ионов) солнечного ветра, – температура электронов (ионов) солнечного ветра, – масса электрона (иона), , – тепловая скорость ионов солнечного ветра, – скорость солнечного ветра, – температура фотоэлектронов, – концентрация фотоэлектронов у поверхности космического тела в областях, где угол между местной нормалью и направлением на Солнце равен нулю, а – концентрация фотоэлектронов в зависимости от высоты над поверхностью космического тела. Выражения (3)–(6) справедливы для случая положительных зарядов пылевых частиц. Выражение (5) для тока не содержит множителя, содержащего характеристики спектров излучения, что оказывается возможным в ситуации, когда поверхности пылевых частиц и поверхность безатмосферного космического тела имеют одинаковую работу выхода фотоэлектронов . В этой ситуации указанный множитель удается выразить через значение .
При решении уравнений (1)–(2) необходимо учитывать следующее выражение для вертикальной компоненты электрического поля E, формируемого заряженной поверхностью безатмосферного космического тела в зависимости от высоты h над его поверхностью:
(7)
где – дебаевский радиус фотоэлектронов у поверхности безатмосферного космического тела. Выражение (7) получено в результате совместного решения кинетического уравнения для фотоэлектронов и уравнения Пуассона. Зависимость электрического поля от угла θ в выражении (7) обусловлена изменением числа фотонов, которые поглощаются единицей поверхности безатмосферного космического тела в зависимости от угла θ. Распределение электрического поля, аналогичное (7), получено в работах (Grard, Tunaley, 1971; Колесников, Мануйлов, 1982).
Аномальную диссипацию в пылевой плазме характеризует так называемая частота зарядки пылевых частиц, определяемая из соотношения:
(8)
где – равновесный заряд пылевой частицы, являющийся решением уравнения , . Фактически частота определяет время релаксации зарядов к равновесным значениям при малых отклонениях от равновесных значений.
С помощью уравнения (8) можно получить следующее соотношение:
(9)
Подставляя это соотношение в (1), получаем
(10)
Введем равновесное значение высоты , соответствующее уравнению qd0(a) E (h0) – md g0 = 0, а также отклонение высоты от этого значения . Рассмотрим малые значения и значения , удовлетворяющие следующим неравенствам:
(11)
Тогда имеем
(12)
Следствием соотношения (12) является:
(13)
Комбинируя (10) и (13), а также учитывая только линейные слагаемые по возмущениям δh, получаем следующее уравнение:
(14)
Используя выражение (7) для электрического поля , находим
(15)
где
(16)
– равновесное зарядовое число пылевой частицы.
Уравнение (15) является уравнением, описывающим затухающие колебания пылевой частицы. Его решение, удовлетворяющее условию , имеет вид:
(17)
где . Из (15) и (18) видно, что затухание колебаний пылевой частицы связано с процессами зарядки пылевых частиц.
ОКОЛОЛУННАЯ ПЫЛЕВАЯ ПЛАЗМА
Наблюдения лунной пыли имеют довольно давнюю историю. Во время космических миссий Surveyor и Apollo к Луне было замечено, что солнечный свет рассеивается в области терминатора, а это, в свою очередь, приводит к формированию лунных зорь и стримеров над лунной поверхностью (Rennilson, Criswell, 1974). Последующие наблюдения показали, что рассеяние света наиболее вероятно происходит на заряженных пылевых частицах, источником которых служит поверхность Луны (Zook, McCoy, 1991). На основе данных спускаемых космических аппаратов Surveyor был сделан вывод, что пылевые частицы с размерами около 5 мкм, могут парить над поверхностью Луны приблизительно в 10 см от поверхности.
В настоящее время фактически считается общепринятым (Попель и др., 2013; Popel и др., 2018), что пыль над лунной поверхностью – составная часть плазменно-пылевой системы. При этом частицы микрометрового размера могут подниматься над поверхностью Луны за счет электростатических процессов только в области лунного терминатора. Над освещенной частью Луны вне терминатора поднимаются существенно более мелкие частицы с размерами порядка 100 нм.
В ситуации с Луной при вычислении νq следует учитывать как микроскопические токи электронов и ионов солнечного ветра на пылевую частицу Ie(qd) и Ii(qd), так и ток фотоэлектронов Ie, ph(qd), окружающих пылевую частицу, и ток фотоэлектронов Iph(qd), эмитируемых пылевой частицей вследствие взаимодействия солнечного излучения с ее поверхностью. Используя выражения (3)–(6), находим
(18)
где , , .
В проводимых ниже вычислениях используются значения эВ, эВ, см–3, км/с, характеризующие солнечный ветер на орбите Земли, а также величины и , рассчитанные (Попель и др., 2014) для условий приповерхностного слоя освещенной части Луны при солнечной активности, соответствующей солнечному максимуму: см–3, эВ. На рис. 1 представлены зависимости, характеризующие траекторию движения пылевой частицы радиуса мкм с переменным зарядом при θ = 87°, вычисленные на основе решения системы уравнений (1)–(2) (1a) и уравнения (15) (1б). Размер 0.105 мкм выбран в связи с тем, что этот размер близок к максимальному размеру пылевых частиц, которые могут подниматься над освещенной частью поверхности Луны за счет электростатических процессов в рассматриваемых условиях (так, например, частицы с размерами, большими или равными 0.106 мкм, в этих условиях уже не могут подниматься за счет электростатических процессов над поверхностью Луны). Именно поднимающиеся частицы с максимально возможными размерами важны с точки зрения будущих наблюдений на спускаемом аппарате миссии Луна-27.
Рис. 1. Зависимости высоты пылевой частицы радиуса a=0.105 мкм с переменным зарядом от времени, hd(t), характеризующие траекторию ее движения при θ = 87°: (а) –вычисленные на основе решения системы уравнений (1)–(2); (б) – вычисленные на основе решения уравнения (15).
Период колебаний высоты пылинки на рис. 1a составляет 26.8 с., тогда как на рис. 1б – 11.3 с. Видно, что упрощенный аналитический подход, приведенный здесь, позволяет качественно описать траекторию движения пылевой частицы. При этом в рамках указанного аналитического подхода удается наглядно продемонстрировать природу затухания осцилляций пылевой частицы, связанную с аномальной диссипацией в пылевой плазме, обусловленной процессами зарядки пылевых частиц.
Характерное время затухания колебаний пылевой частицы можно определить как время, начиная с которого все последующие колебания зависимости имеют максимальные значения высоты подъема пылевой частицы над поверхностью Луны, меньшие величины , определяемой из соотношения
(19)
где – максимум функции для первого колебания. На рис. 2 приведено сравнение зависимости от радиуса пылевой частицы времени td0 затухания колебаний пылевой частицы, вычисленного на основе решения системы уравнений (1)–(2), и величины 2 / νq, фактически соответствующей этому же времени, но в рамках уравнения (15). Из рисунка видно, что кривая 2 / νq (a) смещена влево относительно кривой td0 (a). Данный факт обусловлен тем, что предложенный аналитический подход справедлив лишь при достаточно больших значениях размера частиц a. Действительно, данный подход предполагает достаточно большие значения вариации зарядов пылевых частиц δqd0 (см. (11)). Заметные вариации зарядов частиц возможны лишь на не очень больших высотах, когда существенный вклад в правую часть уравнения (2) вносит слагаемое Ie, ph (qd), представляющее собой ток фотоэлектронов, окружающих пылевую частицу, на нее. На рис. 3 представлена зависимость от радиуса пылевой частицы отношения тока электронов солнечного ветра Ie (qd) к току Ie, ph (qd), вычисленному для равновесных зарядов пылевых частиц. Видно, что вклад тока фотоэлектронов существенен лишь при достаточно больших значениях a. С уменьшением размера пылевой частицы влияние фотоэлектронов от поверхности Луны уменьшается, и заряд пылинки определяется в основном током электронов солнечного ветра Ie (qd) и фототоком Iph (qd) электронов с пылевой частицы, обусловленным взаимодействием поверхности пылевой частицы с солнечным излучением. При этом заряд пылевой частицы при ее движении практически не меняется. В этом случае уравнение, являющееся следствием (1) и описывающее малые колебания пылевой частицы, имеет вид:
(20)
а само движение пылевой частицы представляет собой незатухающие осцилляции. Зависимость td0 (a), вычисленная на основе решения системы уравнений (1)–(2) и приведенная на рис. 2, указывает на то, что эффект затухания осцилляций пылевой частицы перестает сказываться при a < (0.06 – 0.07) мкм, что соответствует ситуации, когда ток фотоэлектронов от лунной поверхности становится меньше примерно одной десятой тока электронов солнечного ветра (см. рис. 3). Таким образом, с помощью уравнения (15) возможно качественное описание осцилляций пылевых частиц, имеющих достаточно крупные размеры (a ~ 0.1 мкм). Отметим, что в этой области размеров a величины td0 и 2 / νq достаточно близки. И именно частицы таких размеров подвержены осцилляциям, природа которых связана с аномальной диссипацией в пылевой плазме, обусловленной процессами зарядки пылевых частиц.
Рис. 2. Зависимости от радиуса a пылевой частицы времени td0 и величины 2 / νq.
Рис. 3. Зависимость от радиуса a пылевой частицы отношения тока электронов солнечного ветра Ie (qd) к току фотоэлектронов от поверхности Луны Ie, ph (qd), вычисленному для равновесных зарядов пылевых частиц.
Отметим, что приведенный подход в ряде случаев оказывается полезным для качественного описания свойств пылевой плазмы над лунной поверхностью. Так, например, проводятся дискуссии о возможности использования приближения левитирующих пылевых частиц для описания окололунной пылевой плазмы, т. е. частиц, для которых можно считать, что имеет место баланс между действующими на частицу электростатической и гравитационной силами (см., например, (Colwell и др., 2009; Mishra, Bhardwaj, 2019; Popel и др., 2022) или же проявления динамических эффектов (например, осцилляций) существенны. Поскольку здесь рассматривается формирование пылевой плазмы над освещенной частью Луны, приведенный здесь подход позволяет получить достаточно простое условие, при котором можно рассматривать пылевые частицы над Луной левитирующими:
(21)
где с. – половина синодического месяца, т. е. около 14 земных суток и 18 часов. Время характеризует продолжительность светлого времени суток на Луне. Условие (21) означает, что осцилляции частицы успевают затухнуть гораздо быстрее, чем закончится лунный день, т. е. можно рассматривать пылевую частицу левитирующей большую часть времени существования пылевой плазмы над освещенной частью Луны. В рассматриваемых условиях неравенство (21) выполнено для размеров частиц мкм, т. е. подавляющее число пылевых частиц над лунной поверхностью становятся левитирующими за время лунных суток. Согласно численным вычислениям с помощью более точной модели (1)–(2) количество таких частиц составляет около 83% (Popel и др., 2022).
ПЫЛЕВАЯ ПЛАЗМА У ПОВЕРХНОСТИ МЕРКУРИЯ
Как и Луна, Меркурий – космическое тело, характеризующееся довольно большими значениями силы тяжести. Это позволяет рассматривать пылевую плазму вблизи поверхности Меркурия по аналогии с ситуацией вблизи Луны (Popel и др., 2023). Подобно Луне, пылевая плазма над освещенной Солнцем поверхностью Меркурия состоит, в частности, из фотоэлектронов, электронов и ионов солнечного ветра, а также заряженных пылевых частиц. Однако существуют следующие качественные различия между плазменно-пылевыми системами Меркурия и Луны, связанные с тем, что Меркурий имеет магнитосферу, а его орбита характеризуется высокими значениями эксцентриситета. Рассмотрим аномальную диссипацию, связанную с процессами зарядки пылевых частиц в экзосфере Меркурия, по аналогии с ситуацией в окололунной пылевой плазме, но с учетом особенностей запыленной экзосферы Меркурия.
Параметры солнечного ветра в окрестностях Меркурия различны в афелии и перигелии его орбиты. В табл. 1 представлены характерные параметры солнечного ветра вблизи Меркурия, а именно: концентрация ne(i)S электронов (ионов) солнечного ветра, температура Te(i)S электронов (ионов) солнечного ветра, а также скорость солнечного ветра ui.
Таблица 1. Характерные параметры солнечного ветра в окрестностях Меркурия по данным космических аппаратов Helios 1 и Helios 2
Параметр | Афелий | Перигелий |
, см–3 | 40.0 | 63.2 |
, см–3 | 40.0 | 63.2 |
, эВ | 22.8 | 36.8 |
, эВ | 11.4 | 18.4 |
, км/с | 380 | 395 |
Примечание. (González-Esparza, 2001; Хабарова, 2022).
Характерные значения магнитного поля в магнитосфере Меркурия составляют (Hiremath, 2012) Гс. Эти данные позволяют провести оценку ларморовских радиусов электронов () и ионов () солнечного ветра в магнитосфере Меркурия. Находим rLeS ~ 0.1 км, rLiS ~ 10 км. Это означает, что если рассматривается пылевая плазма в точке, расположенной не очень близко к магнитным полюсам Меркурия, то частицы солнечного ветра не достигают его поверхности, и в этом случае не нужно учитывать солнечный ветер в расчетах при рассмотрении пылевой плазмы на небольших высотах над Меркурием. Таким образом, в ситуации, когда рассматриваются освещенные солнечным светом участки поверхности Меркурия в областях, не очень близких к его магнитным полюсам, при вычислении νq следует учитывать лишь ток фотоэлектронов Ie, ph(qd), окружающих пылевую частицу, а также ток фотоэлектронов Iph(qd), эмитируемых пылевой частицей вследствие взаимодействия солнечного излучения с ее поверхностью. Используя выражения (5)–(6), находим
(22)
Для описания пылевой плазмы в областях, расположенных вблизи магнитных полюсов, в дополнение к фототоку (5) и току фоновых фотоэлектронов (6) необходимо учитывать микроскопические токи электронов и ионов солнечного ветра на пылевую частицу. При этом значение частоты νq определяется выражением (18).
Приведенный в разделах “Уравнение затухающих …” и “Окололунная пылевая плазма …” подход оказывается полезным для качественного описания свойств пылевой плазмы над поверхностью Меркурия. Так, например, в его рамках удается ответить на вопрос о возможности использования приближения левитирующих пылевых частиц для описания пылевой плазмы, т. е. частиц, для которых можно считать, что имеет место баланс между действующими на частицу электростатической и гравитационной силами, или же обязательного учета динамических эффектов (например, осцилляций), связанных с движением пыли. Следует отметить, что рассмотрение пылевой плазмы вблизи поверхности Меркурия (Popel и др., 2023) осуществлялось в предположении левитирующих пылевых частиц над поверхностью Меркурия, но при этом детального обоснования возможности использования данного приближения в работе (Popel и др., 2023) приведено не было. При этом в качестве TM в неравенстве (21) используется величина, составляющая половину меркурианских суток, т. е. около 29.323 земных суток ( c).
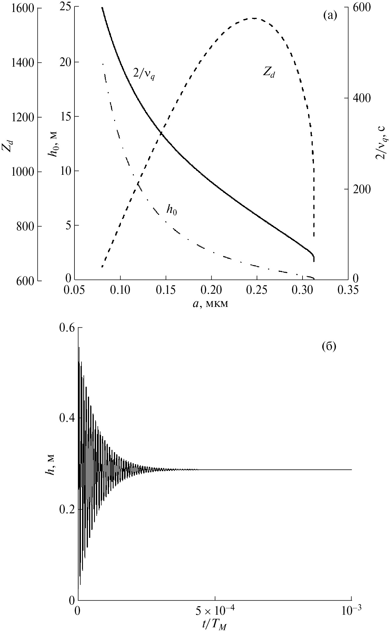
На рис. 4–7 приведены результаты вычислений, характеризующих возможность применения приближения левитирующих пылевых частиц для различных ситуаций на Меркурии. Верхние панели рисунков 4а–7а содержат зависимости зарядового числа Zd пылевой частицы, высоты h0, на которой частица, находящаяся под действием гравитационной и электростатической сил, находится в состоянии равновесия, а также характерного времени затухания осцилляций пылевой частицы 2 / νq от размера пылевой частицы a. Вычисления Zd и 2 / νq (a) на рис. 4–7 производились для параметров пылевой плазмы, соответствующих высоте h0. Расчеты, на основании которых сделаны рис. 4–7, осуществлялись для угла между местной нормалью и направлением на Солнце, составляющем θ = 87°, что возможно (см. Popel и др., 2023) как для ситуации, когда рассматривается пылевая плазма над освещенными солнечным светом участками поверхности Меркурия в областях, не очень близких к его магнитным полюсам, так и для ситуации участков поверхности Меркурия, расположенных вблизи магнитных полюсов. Соответственно, вычисления проводились для афелия (рис. 4 и 6) и перигелия (рис. 5 и 7) орбиты Меркурия, а также для участков на его поверхности, не очень близких к его магнитным полюсам (рис. 4 и 5), и для областей, расположенных вблизи магнитных полюсов (рис. 6 и 7). Кривые, представленные на рис. 4б–7б, характеризующие затухающие осцилляции пылевой частицы, построены для частиц с размерами, близкими к максимально возможным с точки зрения их подъема над поверхностью Меркурия (см. Popel и др., 2023). При вычислениях использовались параметры солнечного ветра, представленные в табл. 1, а также фотоэлектронов из табл. 2.
Рис. 4. Зависимости зарядового числа Zd пылевой частицы, высоты h0 ее равновесия над поверхностью Меркурия, времени 2 / νq (a): (а) – от размера пылевой частицы a; (б) – высоты h нахождения пылевой частицы радиуса a = 0.20 мкм от времени. Зависимости определялись для условий афелия и участка поверхности Меркурия, не очень близкого к его магнитным полюсам, при θ = 87°.
Рис. 5. Зависимости зарядового числа Zd пылевой частицы, высоты h0 ее равновесия над поверхностью Меркурия, времени 2 / νq (a): (а) – от размера пылевой частицы a; (б) – высоты h нахождения пылевой частицы радиуса a = 0.30 мкм от времени. Зависимости определялись для условий перигелия и участка поверхности Меркурия, не очень близкого к его магнитным полюсам, при θ = 87°.
Рис. 6. Зависимости зарядового числа Zd пылевой частицы, высоты h0 ее равновесия над поверхностью Меркурия, времени 2 / νq (a): (а) – от размера пылевой частицы a; (б) – высоты h нахождения пылевой частицы радиуса a = 0.18 мкм от времени. Зависимости определялись для условий афелия и участка поверхности Меркурия, расположенного вблизи магнитных полюсов, при θ = 87°.
Рис. 7. Зависимости зарядового числа Zd пылевой частицы, высоты h0 ее равновесия над поверхностью Меркурия, времени 2 / νq (a): (а) – от размера пылевой частицы a; (б) – высоты h нахождения пылевой частицы радиуса a = 0.30 мкм от времени. Зависимости определялись для условий перигелия и участка поверхности Меркурия, расположенного вблизи магнитных полюсов, при θ = 87°.
Таблица 2. Характерные параметры фотоэлектронов приповерхностного слоя освещенной части Меркурия в афелии и перигелии
Параметры | Афелий | Перигелий |
N0, см–3 | 5.29 × 103 | 2.71 × 104 |
Te, ph, эВ | 2.30 | 2.38 |
Примечание. (Popel и др., 2023).
Из верхних панелей рисунков 4а–7а видно, что для наиболее крупных (a > 100 нм) пылевых частиц, которые могут подняться над поверхностью Меркурия за счет электростатических процессов, характерное время затухания осцилляций пылевой частицы 2 / νq (a) значительно меньше времени TM ≈ 3 × 106 с, характеризущего продолжительность светового дня на Меркурии. Нижние панели рисунков 4б-7б демонстрируют, что затухание осцилляций пылевой частицы происходит за время, существенно меньшее TM, т.е. пылевые частицы в течение почти всего времени их присутствия над поверхностью Меркурия можно рассматривать как левитирующие. Таким образом, при θ = 87° возможно использовать приближение левитирующих пылевых частиц для описания пылевой плазмы. При меньших значениях угла θ величины 2 / νq (a) – еще меньше, чем при θ = 87°. Так, например, при θ = 77° значения 2 / νq (a) ≤ 3 × 104 с (при a > 100 нм) для ситуации участка поверхности Меркурия, не очень близкого к его магнитным полюсам, и 2 / νq (a) ≤ 103 с (при a > 100 нм) для ситуации, когда исследуемый участок поверхности находится вблизи магнитного полюса. Следовательно, и для углов θ, меньших 87°, использование приближения левитирующих пылевых частиц для описания пылевой плазмы также возможно.
ФОБОС, ДЕЙМОС, АСТЕРОИДЫ
Поверхности спутников Марса – Фобоса и Деймоса – заряжаются под действием электромагнитного излучения Солнца и плазмы солнечного ветра (Голубь, Попель, 2021а; 2021б). При взаимодействии с солнечным излучением поверхности Фобоса и Деймоса испускают электроны вследствие фотоэффекта, что приводит к формированию над поверхностью каждого из спутников Марса слоя фотоэлектронов. К появлению фотоэлектронов приводит также их испускание пылевыми частицами, присутствующими над поверхностями Фобоса и Деймоса, вследствие взаимодействия последних с электромагнитным излучением Солнца. Пылевые частицы, находящиеся на поверхности спутника Марса или в приповерхностном слое, поглощают фотоэлектроны, фотоны солнечного излучения, электроны и ионы солнечного ветра. Все эти процессы приводят к зарядке пылевых частиц, их взаимодействию с заряженной поверхностью спутника Марса, подъему и движению пыли. Влияние магнитных полей на пылевую плазму у Фобоса и Деймоса несущественно. Расчеты в рамках системы уравнений (1)–(2) позволяют, в частности, определить траектории и параметры движения пылевых частиц над поверхностями спутников Марса Фобоса и Деймоса.
На рис. 8 приведены параметры, характеризующие движение над Фобосом пылевой частицы радиуса a = 1.445 мкм с изменяющимся согласно уравнению (2) зарядом qd = Zd e для значения угла θ между местной нормалью и направлением на Солнце, равного 87°. Видно существенное затухание колебаний вокруг устойчивого положения hd0 = 236 см, ud0 = 0, Zd0 = 2864. Здесь hd – высота подъема пылевой частицы, ud – ее скорость. Период колебаний – 314 с. На рис. 9 приведены те же, что и на рис. 8 параметры, но полученные в предположении постоянного значения зарядового числа Zd = Zd0 = 2864. Виден незатухающий характер колебаний вокруг устойчивого положения. Таким образом, имеется связь между затуханием колебаний пылевой частицы над поверхностью Фобоса и вариациями его заряда, что согласуется с представлениями об аномальной диссипации, природа которой вытекает из процессов, связанных с вариацией зарядов пылевых частиц.
Рис. 8. Осцилляции параметров, характеризующих траекторию движения пылевой частицы радиуса a = 1.445 мкм с изменяющимся зарядом над поверхностью Фобоса при θ = 87°: высота подъема hd, скорость ud, зарядовое число Zd.
Рис. 9. То же, что на рис. 8, но для пылевой частицы радиуса a = 1.445 мкм с постоянным зарядом.
На рис. 10 приведены параметры, характеризующие движение над поверхностью Деймоса пылевой частицы радиуса a = 1.768 мкм с изменяющимся согласно уравнению (2) зарядом qd = Zd e для значения угла θ между местной нормалью и направлением на Солнце, равного 87°. Видно существенное затухание колебаний вокруг устойчивого положения hd0 = 217 см, ud0 = 0, Zd0 = 3440. Период колебаний – 670 с. На рис. 11 приведены осцилляции параметров тех же, что и на рис. 10, но полученные в предположении постоянного значения зарядового числа Zd = Zd0 = 3440. Виден незатухающий характер колебаний вокруг устойчивого положения. Таким образом, как и в случае с Фобосом, имеется связь между затуханием колебаний пылевой частицы над поверхностью Деймоса и вариациями ее заряда, что согласуется с представлениями об аномальной диссипации, природа которой вытекает из процессов, связанных с вариацией зарядов пылевых частиц.
Рис. 10. Осцилляции параметров, характеризующих траекторию движения пылевой частицы радиуса a = 1.768 мкм с изменяющимся зарядом над поверхностью Деймоса при θ = 87°: высота подъема hd, скорость ud, зарядовое число Zd.
Рис. 11. То же, что и на рис. 10, но для пылевой частицы радиуса a = 1.768 мкм с постоянным зарядом.
Характерное время td0 затухания колебаний пылевой частицы можно определить как время, начиная с которого все последующие колебания зависимости hd(t) имеют максимальные значения высоты подъема пылевой частицы над поверхностью спутника Марса, меньшие величины h*, определяемой из соотношения (19). Зависимость характерного времени td0 затухания колебаний пылевой частицы от ее радиуса приведена на рис. 12. Отметим, что лишь для весьма небольшой части размеров пылевых частиц td0 < 13777 с (времени светлого времени суток при вращении Фобоса вокруг Марса). Таким образом, для большинства пылевых частиц (как показывают расчеты, ~94.3 %), поднимающихся над поверхностью Фобоса из-за электростатических процессов, время затухания их колебаний оказывается большим продолжительности светлого времени суток.
Рис. 12. Зависимость характерного времени td0 затухания колебаний пылевой частицы от ее радиуса при θ = 87° для Фобоса.
Для Деймоса ситуация схожая. На рис. 13 приведена зависимость характерного времени td0 затухания колебаний пылевой частицы от ее радиуса для Деймоса. Лишь для весьма небольшой доли размеров пылевых частиц td0 < 55000 с (времени светлого времени суток при вращении Деймоса вокруг Марса). Это означает, что для большинства (~83 %) пылевых частиц, поднимающихся над поверхностью Деймоса из-за фотоэлектрических и электростатических процессов, время затухания их колебаний оказывается большим продолжительности светлого времени суток. Таким образом, нестационарность плазменно-пылевой системы над освещенной частью поверхности спутника Марса проявляется практически в течение всей продолжительности дня как на Фобосе, так и на Деймосе.
Рис. 13. Зависимость характерного времени td0 затухания колебаний пылевой частицы от ее радиуса при θ = 87° для Деймоса.
Таким образом, формирование плазменно-пылевой системы в приповерхностном слое над спутником Марса (Фобосом или Деймосом) над его освещенной частью имеет нестационарный характер практически на всем протяжении светлого времени суток. Процессы вариации зарядов пылевых частиц, приводящие к затуханию их колебаний над поверхностью спутника и обусловленные аномальной диссипацией, оказываются слишком медленными по сравнению с протяженностью дня на каждом из спутников Марса.
Что касается астероидов, описание, представленное здесь для Фобоса и Деймоса, применимо и к ним. Однако, поскольку каждый астероид индивидуален, обладает свойственными именно для него геометрией, гравитационным полем и периодом вращения, выводы о характере формирования плазменно-пылевой системы у его поверхности следует формулировать для каждого конкретного случая.
АНОМАЛЬНАЯ ДИССИПАЦИЯ И КОМЕТНАЯ ПЫЛЬ
Как уже отмечалось, аномальная диссипация, связанная с процессами зарядки пылевых частиц, приводит к важной роли ударных волн. Факт существования пылевых ионно-звуковых ударно-волновых структур, связанных с аномальной диссипацией, был подтвержден как теоретически, так и экспериментально (Popel и др., 1996; Попель и др., 2001; Лосева и др., 2020). В настоящее время известно (Popel, Gisko, 2006), что в процессе формирования головной ударной волны при взаимодействии солнечного ветра с пылевой комой кометы важными оказываются ударно-волновые явления, связанные с процессом зарядки пылевых частиц.
Вблизи Земли, т. е. на расстоянии около 1 а. е., кометы обычно состоят из трех частей: видимого гигантского хвоста, невидимого ядра маленького размера (по сравнению с хвостом), а также атмосферы, окружающей ядро и называемой комой кометы. Кома и хвост образуются как следствие истечения вещества из ядра кометы. В ядре ледяные слои из замороженных газов чередуются с пылевыми слоями. По мере прогревания солнечным излучением образуемые в результате возгонки газы истекают наружу, увлекая за собой облака пыли. В результате ядро кометы является источником газопылевого потока, вытекающего навстречу солнечному ветру. Пыль из ядра и комы кометы отбрасывается назад силой светового давления Солнца.
Соотношение пыль/газ, характеризующее отношение масс тугоплавких и летучих компонент в ядре, полученное из наблюдений ком различных комет, находится в диапазоне от 0.1 до 1 (Rickman, 1998). Распределение пыли по размерам представляет собой степенную функцию размера частицы с показателем, близким к –4 (Grün, Jessberger, 1990). На примере кометы Галлея было показано (Mazets и др., 1987; Vaisberg и др., 1987), что минимальный размер частиц в указанном распределении порядка 10 нм. Концентрация пылевых частиц микронных размеров в коме кометы (в предположении десятипроцентного содержания пыли в ней) у поверхности ядра может достигать значений 1011 см–3 (Losseva и др., 2002).
Ключевым вопросом исследования взаимодействия солнечного ветра с комой кометы является описание формирования головной ударной волны в результате этого взаимодействия. Из-за процессов фотоионизации газ, окружающий ядро кометы, частично ионизируется на расстоянии нескольких километров от ядра кометы. Взаимодействие протонов солнечного ветра и ионов кометы оказывается сильнее взаимодействий заряженных частиц и нейтралов, содержащихся в плазме комы кометы. Этот факт позволяет часто трактовать головную ударную волну как разновидность ионно-звуковой ударной волны. Присутствие заряженной пыли приводит к еще одному важному виду взаимодействия – взаимодействию протонов солнечного ветра с заряженными нано- и микромасштабными частицами в коме кометы. Процесс зарядки пылевых частиц описывается уравнением типа (2), где важную роль играет фототок электронов. Характерный заряд, который приобретают частицы с размером a порядка 1 мкм на расстоянии порядка 1 а. е. от Солнца, составляет 103 – 104 e. На рис. 14 приведено отношение силы трения между протонами солнечного ветра и пылевыми частицами () к силе трения между протонами солнечного ветра и ионами комы кометы () в зависимости от расстояния до ядра кометы (r) для различных концентраций микромасштабной (a ~ 1 мкм) пыли у ядра кометы (Popel, Gisko, 2006).
Рис. 14. Зависимости отношения от r. Линии I и II соответствуют концентрациям микромасштабной пыли у ядра кометы 103 см–3 и 1011 см–3. Значения концентраций на левой (правой) вертикальной оси соответствуют кривой I (II).
В результате гидродинамического взаимодействия ионов комы кометы и заряженной пыли с протонами солнечного ветра формируется головная ударная волна, фронт которой находится на расстоянии R ~ 104 км для характерных параметров солнечного ветра, спектра солнечного излучения в окрестности Земли и кометы с радиусом ядра порядка 1 км (Popel, Gisko, 2006). Оказывается, что для указанных параметров при достаточно плотной пылевой коме (с концентрацией пыли у поверхности ядра кометы, превосходящей 106 см–3) головная ударная волна связана с аномальной диссипацией, обусловленной зарядкой пылевых частиц, а ширина Δξ ее фронта удовлетворяет соотношению Δξ ~ cS / νq, свойственному для пылевых ионно-звуковых ударных волн (Попель и др., 2001). Здесь cS – скорость ионного звука. На рис. 15 приведены профили такого типа ударных волн, полученные (Popel, Gisko, 2006) для r ~ 104 км.
Рис. 15. Профили концентрации ионов солнечного ветра niSW и электростатического потенциала φ в головной ударной волне. Пространственная переменная r выражена в единицах электронного дебаевского радиуса λDe.
Плазменно-пылевые процессы, связанные с аномальной диссипацией, могут также проявляться для комет, находящихся достаточно далеко от Солнца. Если расстояние от кометы до Солнца превышает 3 а. е., то для ряда комет, например, характеризуемых параметрами ядра, близкими к параметрам ядра кометы Галлея, пылевая плазма в окрестности их ядер формируется за счет электростатических взаимодействий, т. е. аналогично формированию пылевой плазмы вблизи других безатмосферных тел (таких, например, как Луна, Меркурий, спутники Марса). В этом случае пылевая плазма над освещенной Солнцем поверхностью кометы состоит, в частности, из фотоэлектронов, электронов и ионов солнечного ветра, а также заряженных пылевых частиц. При этом динамика пылевых частиц определяется конкуренцией электростатической и гравитационной сил. Если же комета находится на более близких расстояниях от Солнца, то динамику пылевых частиц определяет газовый поток от ядра кометы. На рис. 16 для кометы с ядром, имеющим параметры (размер, плотность) ядра кометы Галлея, и находящейся на расстоянии 3 а. е. от Солнца, приведены зависимости зарядового числа пылевой частицы Zd, ее размера a, напряженности электрического поля над поверхностью кометы E, а также отношения электростатической силы FE к силе Ffg со стороны газового потока, действующих на пылевую частицу, в зависимости от высоты h над поверхностью кометы.
Рис. 16. Зависимости зарядового числа пылевой частицы Zd, ее размера a, напряженности электрического поля над поверхностью кометы E, а также отношения электростатической силы FE к силе Ffg со стороны газового потока, действующих на пылевую частицу, в зависимости от высоты h над поверхностью кометы, полученные при θ = 87° (а), 77o (б) и 0o (в) в рамках стационарной модели.
Роль аномальной диссипации проявляется при этом быстрым затуханием осцилляций заряженных пылевых частиц при их движении над поверхностью кометы за время порядка 2 / νq ~ 100 с., которое, как правило, существенно меньше характерного времени вращения ядра кометы ~ 10 ч (см. Knight и др., 2023). Таким образом, оказывается возможным использование стационарной модели пылевой плазмы, позволяющей провести расчеты, результаты которых приведены на рис. 16.
ЗАКЛЮЧЕНИЕ
Итак, аномальная диссипация, связанная с процессами зарядки пылевых частиц, является важным аспектом, который следует учитывать при рассмотрении проблем пылевой плазмы в самых разных ситуациях. В Солнечной системе аномальная диссипация может определять характер процессов в пылевой плазме в окрестностях Луны, Меркурия, спутников Марса – Фобоса и Деймоса, комет и других безатмосферных космических объектов. Так, например, отличительной особенностью траектории движения пылевых частиц в пылевой плазме над поверхностью безатмосферного космического тела является наличие осцилляций, затухающих за счет изменения зарядов пылевых частиц, что согласуется с представлениями об аномальной диссипации в пылевой плазме. Для Луны процессы, вызывающие изменение заряда пылевых частиц, происходят слишком быстро по сравнению с продолжительностью лунного дня. В результате у большинства (~ 83 %) пылевых частиц над лунной поверхностью, освещаемой Солнцем, осцилляции успевают затухнуть, и эти пылевые частицы могут рассматриваться как левитирующие. Лишь очень мелкие частицы в течение лунных суток не переходят в режим левитации, и при изучении этих частиц следует учитывать эффекты, связанные с нестационарностью плазменно-пылевой системы.
Аномальная диссипация играет существенную роль в обосновании использования модели левитирующих пылевых частиц при описании пылевой плазмы над Меркурием. На основе численных расчетов показано, что, как правило, для описания пылевой экзосферы Меркурия над участками его поверхности, освещенными солнечным излучением, можно использовать приближение левитирующих пылевых частиц.
Формирование плазменно-пылевой системы в приповерхностном слое над освещенной частью Фобоса или Деймоса носит нестационарный характер в течение почти всего дневного времени. Изменения зарядов пылевых частиц, приводящие к затуханию их колебаний над поверхностью Фобоса или Деймоса, слишком медленные по сравнению с сутками на соответствующем марсианском спутнике. В ситуации с Фобосом и Деймосом можно оценить лишь основные характерные параметры плазменно-пылевой системы (характерные концентрации пылевых частиц и фотоэлектронов, характерные заряды и высоты подъема пылевых частиц и т. д.). Для получения более определенных данных о параметрах плазменно-пылевой системы вблизи Фобоса или Деймоса необходимо иметь дополнительную информацию о свойствах почвы на спутнике Марса, таких как работа выхода и квантовый выход почвы. Получение этих данных возможно в ходе будущих космических миссий.
При рассмотрении комет известны, по крайней мере, два проявления аномальной диссипации. Это, во-первых, формирование головной ударной волны при взаимодействии солнечного ветра с пылевой комой кометы. Головную ударную волну иногда можно трактовать как разновидность пылевой ионно-звуковой ударной волны (Popel, Gisko, 2006). Для типичных размеров ядра кометы (~ 1 км) и относительно плотной пылевой комы (с концентрацией пылевых частиц в ней, превосходящей 106 см–3) при формировании головной ударной волны важную роль играет аномальная диссипация, обусловленная зарядкой пылевых частиц. Такая головная ударная волна, по-видимому, имеет природу, которая аналогична природе пылевых ионно-звуковых ударных волн (Popel и др., 1996; Попель и др., 2001; Лосева и др., 2020). Во-вторых, для кометы, характеризуемой параметрами ядра, близкими к параметрам ядра кометы Галлея, пылевая плазма в окрестности ядра кометы формируется за счет электростатических взаимодействий, т. е. аналогично формированию пылевой плазмы вблизи других безатмосферных тел (таких, например, как Луна, Меркурий, спутники Марса), если расстояние от кометы до Солнца не меньше ~ 3 а. е. Роль аномальной диссипации проявляется при этом быстрым затуханием осцилляций заряженных пылевых частиц при их движении над поверхностью кометы и возможностью использования стационарной модели пылевой плазмы в окрестностях ядра кометы. Если же комета находится на расстояниях от Солнца, более близких, чем ~ 3 а. е., то динамику пылевых частиц определяет газовый поток от ядра кометы.
Данная работа была частично поддержана в рамках Программы 10 “Экспериментальная лабораторная астрофизика и геофизика” НЦФМ (разделы, посвященные Луне, Меркурию, спутникам Марса), а также грантом Фонда развития теоретической физики и математики “БАЗИС” (раздел, посвященный кометам).
1 Доклад “Manifestations of anomalous dissipation in dusty plasmas of our Solar system: celestial bodies without atmosphere” сделан на The Fourteenth Moscow Solar System Symposium (14M-S3), Space Research Institute (IKI), Moscow, Russia, October 09–13, 2023.
About the authors
С. И. Попель
Институт космических исследований РАН
Author for correspondence.
Email: popel@iki.rssi.ru
Russian Federation, Москва
Л. М. Зеленый
Институт космических исследований РАН
Email: popel@iki.rssi.ru
Russian Federation, Москва
References
- Альвен Х., Аррениус Г. Эволюция Солнечной системы. М.: Мир, 1979. 512 с.
- Богатиков О.А. Неорганические наночастицы в природе // Вестн. РАН. 2003. Т. 73. № 5. С. 426–428.
- Голубь А.П., Попель С.И. Нестационарные процессы при формировании пылевой плазмы у поверхности Фобоса // Письма в ЖЭТФ. 2021а. Т. 113. № 7. С. 440–445.
- Голубь А.П., Попель С.И. Нестационарные процессы при формировании пылевой плазмы у поверхности спутника Марса – Деймоса // Физика плазмы. 2021б. Т. 47. № 8. С. 741–747.
- Зеленый Л.М., Попель С.И., Захаров А.В. Пылевая плазма на Луне. Проблемы моделирования и измерений // Физика плазмы. 2020. Т. 46. № 5. С. 441–455.
- Зеленый Л.М., Захаров А.В., Попель С.И., Кузнецов И.А., Розенфельд Е.В. Физические процессы формирования и особенности плазменно-пылевой экзосферы Луны // УФН. 2024. Т. 194. № 6. С. 569–599.
- Колесников Е.К., Мануйлов А.С. Расчет напряженности электростатического поля над поверхностью Луны, покрытой монослоем водорода // Астрон. журн. 1982. Т. 59. № 5. С. 996–998.
- Лосева Т.В., Попель С.И., Голубь А.П. Пылевые ионно-звуковые ударные волны в лабораторной, ионосферной и астрофизической плазме // Физика плазмы. 2020. Т. 46. № 11. С. 1007–1025.
- Нефедов А.П., Петров О.Ф., Фортов В.Е. Кристаллические структуры в плазме с сильным взаимодействием макрочастиц // УФН. 1997. Т. 167. № 11. С. 1215–1226.
- Попель С.И., Голубь А.П., Лосева Т.В. Пылевые ионно-звуковые ударно-волновые структуры: теория и лабораторные эксперименты // Письма в ЖЭТФ. 2001. Т. 74. № 7. С. 396–401.
- Попель С.И. Лекции по физике пылевой плазмы. М.: МФТИ, 2012. 160 с.
- Попель С.И., Копнин С.И., Голубь А.П., Дольников Г.Г., Захаров А.В., Зеленый Л.М., Извекова Ю.Н. Пылевая плазма у поверхности Луны // Астрон. вестн. 2013. Т. 47. № 6. С. 455–466. (Popel S.I., Kopnin S.I., Golub' A.P., Dol'nikov G.G., Zakharov A.V., Zelenyi L.M., Izvekova Yu.N. Dusty plasma at the surface of the Moon // Sol. Syst. Res. 2013. V. 47. № 6. P. 419–429).
- Попель С.И., Голубь А.П., Извекова Ю.Н., Афонин В.В., Дольников Г.Г., Захаров А.В., Зеленый Л.М., Лисин Е.А., Петров О.Ф. К вопросу о распределениях фотоэлектронов над освещенной частью Луны // Письма в ЖЭТФ. 2014. Т. 99. № 3. С. 131–137.
- Попель С.И. Пыль и пылевая плазма в Солнечной системе // Природа. 2015. № 9. С. 48–56.
- Попель С.И., Голубь А.П. К вопросу об аномальной диссипации в плазме запыленной экзосферы Луны // Письма в ЖЭТФ. 2022. Т. 115. № 10. С. 629–635.
- Попель С.И. Проявления аномальной диссипации в плазменно-пылевых системах // Физика плазмы. 2023. Т. 49. № 1. С. 48–56.
- Попель С.И., Зеленый Л.М., Захаров А.В. Пылевая плазма в Солнечной системе: безатмосферные космические тела // Физика плазмы. 2023. Т. 49. № 8. С. 813–820.
- Фортов В.Е., Храпак А.Г., Храпак С.А., Молотков В.И., Петров О.Ф. Пылевая плазма // УФН. 2004. Т. 174. № 5. С. 495–544.
- Фортов В.Е., Батурин Ю.М., Морфилл Г.О., Петров О.Ф. Плазменный кристалл, Космические эксперименты. М.: Физматлит, 2015. 272 с.
- Хабарова О.В. Частное сообщение (2022).
- Цытович В.Н. Плазменно-пылевые кристаллы, капли и облака // УФН. 1997. Т. 167. № 1. С. 57.
- Цытович В.Н., Винтер Дж. Пыль в установках управляемого термоядерного синтеза // УФН. 1998. Т. 168. № 8. С. 899–907.
- Benkadda S., Tsytovich V.N. Modulational instability in dusty plasmas // Phys. Plasmas. 1995. V. 2. № 8. P. 2970–2974.
- Benkhoff J., Murakami G., Baumjohann W., Besse S., Bunce E., Casale M., Cremosese G., Glassmeier K.-H., Hayakawa H., Heyner D., and 21 co-authors. BepiColombo – mission overview and science goals // Space Sci. Rev. 2021. V. 217. № 8. P. 90.
- Bouchoule A. (ed.) Dusty plasmas: physics, chemistry and technological impacts in plasma processing. New York: John Wiley and Sons Inc., 1999. 408 p.
- Brownlee D.E. The Stardust comet mission: Studying sediments from the Solar System's frozen attic // Elements. 2012. V. 8. № 5. P. 327–328.
- Colwell J.E., Robertson S.R., Horányi M., Wang X., Poppe A., Wheeler P. Lunar dust levitation // J. Aerospace Eng. 2009. V. 22. P. 2–9.
- Divine N., Fechtig H., Gombosi T.I., Hanner M.S., Keller H., Larson S., Mendis D., Newburn R., Reinhard R., Sekanina Z., Yeomans D. The comet Halley dust and gas environment // Space Sci. Rev. 1986. V. 43. № 1. P. 1–104.
- Fortov V.E., Ivlev A.V., Khrapak S.A., Khrapak A.G., Morfill G.E. Complex (dusty) plasmas: Current status, open issues, perspectives // Phys. Reports. 2005. V. 421. № 1–2. P. 1–103.
- González-Esparza A. Interplanetary shocks and solar wind structure approaching solar maximum: Helios, IMP-8 and Voyager observations // Space Sci. Rev. 2001. V. 97. P. 197–200.
- Grard R.J.L., Tunaley J.K.E. Photoelectron sheath near a planetary probe in interplanetary space // J. Geophys. Res. 1971. V. 76. P. 2498–2505.
- Grün E., Jessberger E. Dust, Physics and Chemistry of Comets. Berlin: Springer, 1990. P. 113–176.
- Grün E., Gustafson B.A.S., Dermott S., Fechtig H. (eds). Interplanetary Dust. Berlin-Heidelberg-New York: Springer-Verlag, 2001. 834 p.
- Hiremath K.M. Magnetic field structure of Mercury // Planet. and Space Sci. 2012. V. 63–64. P. 8–14.
- Horányi M., Sternovsky Z., Lankton M., Dumont C., Gagnard S., Gathright D., Grün E., Hansen D., James D., Kempf S., and 4 co-authors. The lunar dust experiment (LDEX) onboard the lunar atmosphere and dust environment explorer (LADEE) mission // Space Sci. Rev. 2014. V. 185. № 1–4. P. 93–113.
- Knight M.M., Kokotanekova R., Samarasinha N.H. Physical and Surface Properties of Comet Nuclei from Remote Observations // arXiv:2304.09309 [astro-ph.EP]. 2023. https://doi.org/10.48550/arXiv.2304.09309
- Li D., Wang Y., Zhang H., Zhuang J., Wang X., Wang Y., Yang S., Sun Z., Wang X., Chen L., and 13 co-authors. In-situ measurements of lunar dust at the Chang'E-3 landing site in the northern Mare Imbrium // J. Geophys. Res.: Planets. 2019. V. 124. № 8. P. 2168–2177.
- Losseva T.V., Golub' A.P., Kosarev I.B., Popel S.I., Nemtchinov I.V. Physical and Gasdynamical Processes Caused by Cometary Impacts onto the Sun // Proc. Conf. Asteroids, Comets, Meteors – ACM2002, European Space Agency, 2002. P. 873–876.
- Mann I., Krivov A., Kimura H. Dust cloud near the Sun // Icarus. 2000. V. 146. № 2. P. 568–582.
- Mazets E.P., Sagdeev R.Z., Aptekar R.L., Golenetskii S.V., Guryan Y.A., Dyatchkov A.V., Ilyinskii V.N., Panov V.N., Petrov G.G., Savvin A.V., and 5 co-authors. Dust in comet P/Halley from Vega observations // Astron. and Astrophys. 1987. V. 187. P. 699–706.
- Merlino R.L., Goree J.A. Dusty plasmas in the laboratory, industry, and space // Phys. Today. 2004. V. 57. № 7. P. 32–39.
- Mishra S.K., Bhardwaj A. Photoelectron sheath on lunar sunlit regolith and dust levitation // Astrophys. J. 2019. V. 884. № 1. P. 5.
- Ostrikov K. Reactive plasmas as a versatile nanofabrication tool // Rev. Mod. Phys. 2005. V. 77. № 2. P. 489–511.
- Popel S.I., Yu M.Y., Tsytovich V.N. Shock waves in plasmas containing variable-charge impurities // Phys. Plasmas. 1996. V. 3. № 12. P. 4313–4315.
- Popel S.I., Golub' A.P., Losseva T.V., Ivlev A.V., Khrapak S.A., Morfill G. Weakly-dissipative dust-ion-acoustic solitons // Phys. Rev. E. 2003. V. 67. № 5. id. 056402.
- Popel S.I., Morfill G.E. Nonlinear wave structures in complex plasmas: Theory and experiments // Ukr. J. Phys. 2005. V. 50. № 2. P. 161–170.
- Popel S.I., Gisko A.A. Charged dust and shock phenomena in the Solar System // Nonlin. Proc. in Geophys. 2006. V. 13. P. 223–229.
- Popel S.I., Kopnin S.I., Yu M.Y., Ma J.X., Huang F. The effect of microscopic charged particulates in space weather // J. Phys. D: Applied Phys. 2011. V. 44. id. 174036.
- Popel S.I., Golub' A.P., Zelenyi L.M., Dubinskii A. Yu. Lunar dust and dusty plasmas: Recent developments, advances, and unsolved problems // Planet. and Space Sci. 2018. V. 156. P. 71–84.
- Popel S.I., Golub' A.P., Kassem A.I., Zelenyi L.M. Dust dynamics in the lunar dusty plasmas: Effects of magnetic fields and dust charge variations // Phys. Plasmas. 2022. V. 29. № 1. id. 013701.
- Popel S.I., Golub' A.P., Zelenyi L.M. Dusty plasmas above the sunlit surface of Mercury // Phys. Plasmas. 2023. V. 30. № 4. id. 043701.
- Rennilson J.J., Criswell D.R. Surveyor observations of lunar horizon-glow // The Moon. 1974. V. 10. P. 121–142.
- Rickman H. Composition and physical properties of comets // Solar System Ices / Eds: Schmitt B., de Bergh C., Festou M. Dordrecht: Kluwer, 1998. P. 395–417.
- Shukla P.K., Mamun A.A. Introduction to dusty plasmas physics. Bristol: IOP Publishing, 2002. 265 p.
- Thomas P. Surface features of Phobos and Deimos // Icarus. 1979. V. 40. P. 223–243.
- Thomas P., Veverka J. Downslope movement of material on Deimos // Icarus. 1980. V. 42. P. 234–250.
- Tsytovich V.N., Havnes O. Charging processes, dispersion properties and anomalous transport in dusty plasmas // Comm. Plasma Phys. Contr. Fusion. 1993. V. 15. P. 267–290.
- Tsytovich V.N. One-dimensional self-organised structures in dusty plasmas // Austral. J. Phys. 1998. V. 51. № 5. P. 763–834.
- Tsytovich V.N., Morfill G.E., Vladimirov S.V., Thomas H. Elementary physics of complex plasmas. Berlin: Springer-Verlag, 2008. 370 p.
- Vaisberg O.L., Smirnov V., Omelchenko A., Gorn L., Iovlev M. Spatial and mass distribution of low-mass dust particles (m < 10–10 g) in comet P/Halley's coma // Astron. and Astrophys. 1987. V. 187. P. 753–760.
- Vladimirov S.V., Ostrikov K. Dynamic self-organization phenomena in complex ionized gas systems: New paradigms and technological aspects // Phys. Rep. 2004. V. 393. № 3–6. P. 175–380.
- Vladimirov S.V., Ostrikov K., Samarian A.A. Physics andapplications of complex plasmas. London: Imperial College Press, 2005. 500 p.
- Zakharov A., Horányi M., Lee P., Witasse O., Cipriani F. Dust at the Martian moons and in the circummartian space // Planet. and Space Sci. 2014. V. 102. P. 171–175.
- Zhang H.Y., Wang Y., Chen L.P., Zhang H., Li C.H., Zhuang J.H., Li D.T., Wang Y.J., Yang S.S., Li X.Y., Wang W.D. In-situ lunar dust deposition amount induced by lander landing in Chang’E-3 mission // Sci. China Tech. Sci. 2020. V. 63. P. 520–527.
- Zook H., McCoy J. Large scale lunar horizon glow and a high-altitude lunar dust exosphere // Geophys. Res. Lett. 1991. V. 18. № 11. P. 2117–2120.
Supplementary files


















