Анализ параметров предкатаклизмических переменных с sdB-субкарликами. V1828 Aql
- Authors: Дёминова Н.Р.1, Шиманский В.В.2, Борисов Н.В.2, Габдеев М.М.2
-
Affiliations:
- Казанский федеральный университет
- Специальная астрофизическая обсерватория РАН
- Issue: Vol 50, No 4 (2024)
- Pages: 290-300
- Section: Articles
- URL: https://journals.rcsi.science/0320-0108/article/view/268798
- DOI: https://doi.org/10.31857/S0320010824040055
- EDN: https://elibrary.ru/NRLJPD
- ID: 268798
Cite item
Full Text
Abstract
Исследованы особенности формирования оптического излучения и уточнен набор параметров молодой предкатаклизмической переменной с sdB-субкарликом V1828 Aql. Набор спектров умеренного разрешения получен на телескопе БТА, а многополосные кривые блеска – на телескопе Цейсс-1000 Специальной астрофизической обсерватории РАН. Для вычисления оптического излучения системы использовался метод моделей звездных атмосфер с точным учетом гравитационного и лучистого взаимодействия компонент. Найдено, что несмотря на высокую температуру главной компоненты K, амплитуда фотометрических эффектов отражения, ограниченная малыми размерами вторичной компоненты, не превышает . Формирующиеся на облучаемой части поверхности холодной звезды эмиссии в линиях HI при сложении с абсорбционными линиями в спектре sdB-субкарлика ослабляют их на 10–12% и сдвигают на км/с в узком диапазоне фаз, прилегающих к моменту вторичного затмения. В итоге искажения наблюдаемых кривых лучевых скоростей под действием эффектов отражения оказываются много меньше ошибок измерений и не могут использоваться для определения отношения масс компонент из модельного анализа. Поэтому для определения набора параметров V1828 Aql мы применили предположение о близости массы главной компоненты к , ранее найденной для большой группы sdB-субкарликов. На основе модельного анализа наблюдаемых спектров и кривых блеска V1828 Aql получены оценки параметров атмосферы субкарлика и фундаментальные параметры обеих компонент. Найдено, что применение метода моделей атмосфер при анализе эффектов отражения уменьшает оценку радиуса холодной звезды на 20% по сравнению с расчетами в чернотельном приближении.
Full Text
1. ВВЕДЕНИЕ
Молодые предкатаклизмические переменные типа HW Vir в настоящее время являются одной из быстро растущих групп тесных двойных систем (ТДС) на поздних стадиях эволюции. Класс предкатаклизмических переменных (ПП) первоначально объединял разделенные системы, однократно прошедшие стадию общей оболочки. Основными критериями включения двойных звезд в этот класс являлись продолжительность орбитального периода, не более , и наличие горячего субкарлика или белого карлика в паре с маломассивной звездой Главной Последовательности (Риттер, 1986). Расширение списка известных ПП и увеличение информации о свойствах их физического состояния и наблюдаемого излучения позволили предложить внутреннюю классификацию на молодые системы типа BE UMa с sdO-субкарликами, типа HW Vir с sdB-субкарликами и старые объекты типа EG UMa с белыми карликами (Шиманский и др., 2003). Для большей части ПП характерно наличие заметных эффектов отражения, при которых часть поверхности холодной (вторичной) компоненты поглощает падающее на нее ультрафиолетовое излучение горячей звезды и переизлучает его в оптическом диапазоне.
Благодаря высокой светимости sdB-субкарликов и их происхождению из многочисленных звезд с массой (Хебер, 2016), населяющих все компоненты Галактики, условия обнаружения и наблюдения систем типа HW Vir оказываются наилучшими среди всех ПП. Однако яркость их вторичных компонент в сотни раз ниже, чем у главных, что делает их недоступными для обнаружения при оптических наблюдениях. Наличие мощного излучения sdB-субкарликов в мягком УФ-диапазоне приводит к формированию фотометрических эффектов отражения с синусоидальными изменениями блеска в шкале орбитального периода с амплитудой до (Хебер и др., 2004). Одновременно sdB-субкарлики почти не излучают в области лаймановского континуума, что препятствует формированию в атмосферах вторичных компонент горячих лаймановских хромосфер. Поэтому характерные для эффектов отражения эмиссии HI, HeI, HeII и других ионов в оптических спектрах ПП типа HW Vir очень слабы и не наблюдаются на фоне яркого континуума главных компонент (Вуд, Саффер, 1999). Интегральные спектры таких систем аналогичны спектрам одиночных субкарликов, а явление двойственности проявляется лишь в небольших доплеровских смещениях линий, обусловленных их орбитальным движением. В результате обнаружение молодых ПП типа HW Vir возможно только при проведении длительных (до пяти часов) и высокоточных фотометрических и спектроскопических наблюдений. Такие возможности появились с внедрением электронных методов регистрации излучения, что обусловило быстрый рост числа найденных объектов с 1 (HW Vir) в 1990 г. (Коол, Риттер, 1993) до 56 в 2015 г. (Риттер, Колб, 2015). Отметим, что эффективному поиску подобных систем способствовало проведение программ изучения sdB-субкарликов в толстом диске и гало Галактики (Лискер и др., 2005; Макстед и др., 2002; Эдельманн и др., 2005).
Отсутствие в наблюдениях ПП типа HW Vir информации о собственном излучении вторичной компоненты затрудняет нахождение их фундаментальных параметров. Комплексное исследование их спектров, кривых блеска и лучевых скоростей позволяет с хорошей точностью определить температуру и функцию масс субкарлика, относительные радиусы компонент в единицах большой полуоси и угол наклона орбиты. Однако отношение масс звезд удалось наблюдательно установить только для двух систем с наибольшими эффектами отражения. В частности, Рауч (Рауч, 2004) нашел, что в эшелле-спектрах высокого разрешения AA Dor, содержащей sdB-субкарлик с температурой K, линия поглощения Hβ имеет слабую эмиссионную компоненту, формируемую под действием эффектов отражения. Измерение ее доплеровских смещений с применением моделирования синтетического спектра позволило непосредственно получить набор лучевых скоростей холодной звезды. Шиманский и др. (2012) обнаружили искажения кривой лучевых скоростей sdB-субкарлика с температурой K в HS 2333+3927. При анализе изменений профилей линий в ее спектрах было показано, что они обусловлены эффектами отражения, а численное моделирование формы кривой лучевых скоростей позволило найти отношение масс компонент. Авторы (Шиманский и др., 2012) предположили, что для систем с температурой главных компонент K возможно определение отношения масс звезд из аналогичного модельного анализа кривых лучевых скоростей.
При изучении других объектов типа HW Vir используются дополнительные предположения о физическом состоянии компонент. Например, характеристики вторичных компонент могут быть близкими к средним значениям у аналогичных одиночных звезд ГП, что позволяет применять стандартные результаты расчетов их эволюции. Альтернативный подход предполагает применение эволюционных треков субкарликов на поздних стадиях эволюции для нахождения характеристик главных компонент. Модельный анализ оптических спектров группы молодых ТДС (Макстед и др., 2002) показал обоснованность этого предположения и установил близость массы их sdB-субкарликов к , совпадающей с оценкой массы у одиночных звезд (Хебер, 2016). Применение этого значения в исследованиях ПП типа HW Vir позволило к настоящему времени получить наборы параметров не менее 11 объектов. Однако дальнейшее изучение молодых ПП с sdB-субкарликами требует вначале проверить предложенную в (Шиманский и др., 2012) возможность определения масс компонент из анализа кривых лучевых скоростей с влиянием на них эффектов отражения. Если амплитуда таких эффектов окажется недостаточной для решения этой задачи, то можно ограничиться предположением о массе главной компоненты .
Затменная система V1828 Aql NSVS 14256825 обнаружена службой поиска переменных звезд северного полушария неба NSVS (Возняк и др., 2004) и позднее классифицирована как ТДС, содержащая горячий sdB-субкарлик с красным карликом и демонстрирующая фотометрический эффект отражения с амплитудой (Уилс и др., 2007). По итогам многолетних регистраций моментов затмений у объекта найдены систематические изменения орбитального периода, на основании которых (Берман и др., 2012) предположили наличие третьего тела. В дальнейшем (Алмейда и др., 2013) пересмотрели гипотезу (Берман и др., 2012), предложив модель V1828 Aql, состоящую из ТДС и двух планет-гигантов с массами до 12 и их резонансным орбитальным движением при отношении периодов 2 к 1.
В комплексном анализе кривых блеска в семи фильтрах от до и оптических спектров V1828 Aql, выполненном (Алмейда и др., 2012), определены параметры атмосфер ( K, K, , ) и фундаментальные параметры ( , , , ) компонент, а также большая полуось и угол наклона орбиты . Исследование лучевых скоростей sdB-субкарлика позволило (Алмейда и др., 2012) найти полуамплитуду скорости его орбитального движения км/с и гамма-скорость км/с. Отметим, что перечисленные параметры приняты начальными в рамках нашего исследования.
В целом V1828 Aql является хорошо изученным объектом с точки зрения анализа планетной системы и ее временной устойчивости. Однако единственное исследование физических характеристик компонент выполнено (Алмейда и др., 2012) с применением метода чернотельных расчетов кривых блеска, а полученный наблюдаемый спектр имел низкое отношение сигнал/шум, увеличивающее ошибки определения параметров атмосферы sdBсубкарлика. Кроме того, (Алмейда и др., 2012) не изучили возможное влияние эффектов отражения на профили линий и их изменения с фазой орбитального периода. Высокая температура главной компоненты К позволяет предположить, что такие эффекты могут быть достаточно сильными для их использования при определении параметров компонент.
Данная работа посвящена исследованию этой проблемы с применением методики моделирования облучаемых звездных атмосфер, а также уточнению физических параметров V1828 Aql. Раздел 2 содержит описание особенностей наблюдений системы и их первичной обработки. В разделе 3 представлен качественный анализ кривых блеска и спектров объекта, а в разделе 4 проанализированы его лучевые скорости. Раздел 5 посвящен численному моделированию оптического излучения ПП и определению полного набора ее характеристик.
2 НАБЛЮДЕНИЯ
2.1. Фотометрия
Фотометрические наблюдения V1828 Aql выполнены на телескопе Цейсс-1000 САО в ночь 13/14 сентября 2012 г. с применением штатного мультиполосного фотометра1, азотно-охлаждаемой ПЗС-матрицы EEV 42–40 ( пикселов) и набора светофильтров, реализующих систему Коузинса. Наблюдения проводились в удовлетворительных климатических условиях с размером звездных изображений около при наличии слабой облачности. В результате получено 168 ПЗС-изображений поля V1828 Aql с чередованием экспозиций равной продолжительности 60 с в полосах (далее ). Полная продолжительность наблюдений в каждой полосе составила около 4.7 ч, что обеспечило почти двукратное покрытие орбитального периода. Однако последующий анализ фотометрических данных показал, что усиление облачности ухудшило их точность в полосе в конце наблюдательного блока. Поэтому мы использовали в этой полосе 47 ПЗС-изображений с наименьшим уровнем искажений.
Первичная обработка реализована средствами пакета MAXIM DL2. Для контроля точности в поле V1828 Aql выбраны четыре звезды сравнения близкого спектрального класса с разным уровнем яркости. Последующее изучение вариаций их блеска показало, что ошибки дифференциальной фотометрии объекта составляют .
2.2. Спектроскопия
При спектроскопических наблюдениях V1828 Aql, проведенных в ночь 12/13 сентября 2013 г., использовался редуктор светосилы SCORPIO (Афанасьев и др., 2004) БТА САО в режиме спектроскопии с длинной щелью и ПЗС-приемник EEV 42-40 CCD ( пикселов). Применение гризмы VPHG1200g ( штрихов/мм) обеспечивало спектральное разрешение Å в диапазоне Å. В хороших климатических условиях с размером звездных изображений d= 1''.5 выполнены 22 последовательные экспозиции с одинаковой продолжительностью 300 с, охватывающие 80% орбитального периода. Итоговое среднее отношение сигнал/шум для большей части исследуемого спектрального диапазона составило . Для последующей калибровки длин волн и потоков излучения одновременно со спектрами V1828 Aql накоплены спектры Ar-Ne-He-лампы и стандарта BD 25.2465 из обзора (Бохлин, 1996). Сведения о спектроскопических наблюдениях системы представлены в табл. 1 и содержат гелиоцентрические юлианские даты HJD экспозиций, соответствующие фазы орбитального периода согласно эфемериде (Берман и др., 2012) и значения лучевых скоростей sdB-субкарлика, измеренных по линиям разных ионов, группам из трех линий HI и пяти линий водорода и гелия.
Таблица 1. Журнал спектроскопических наблюдений V1828 Aql
HJD | Hδ, | Hγ, | Hβ, | HI, | HeI, | HeII, | 5 линий, | |
2456548+ | км/с | км/с | км/с | км/с | км/с | км/с | км/с | |
0.24815 | 0.0016 | –9.7 | –0.8 | 5.3 | 0.0 | –3.5 | –1.3 | –1.3 |
0.25250 | 0.0411 | –34.8 | –27.5 | –4.0 | –4.4 | –16.9 | –21.8 | –21.7 |
0.25648 | 0.0772 | –32.8 | –34.5 | –39.0 | –46.9 | –47.9 | –35.9 | –37.3 |
0.26046 | 0.1132 | –46.7 | –51.7 | –64.7 | –56.9 | –57.6 | –55.7 | –55.7 |
0.26443 | 0.1492 | –50.9 | –51.7 | –61.7 | –53.6 | –57.6 | –55.4 | –55.4 |
0.26841 | 0.1853 | –64.7 | –65.5 | –70.9 | –60.3 | –47.2 | –67.8 | –67.1 |
0.27239 | 0.2213 | –57.4 | –62.1 | –75.3 | –40.2 | –67.2 | –65.6 | –65.9 |
0.27637 | 0.2574 | –73.0 | –76.1 | –80.2 | –43.7 | –60.7 | –76.8 | –76.3 |
0.28034 | 0.2934 | –44.3 | –51.8 | –55.3 | –36.9 | –24.9 | –52.2 | –51.0 |
0.28432 | 0.3294 | –40.2 | –41.4 | –45.7 | 9.8 | –75.1 | –42.4 | –44.2 |
0.28830 | 0.3655 | –54.2 | –61.9 | –61.5 | –40.1 | –51.1 | –59.3 | –59.2 |
0.29244 | 0.4029 | –29.4 | –30.6 | –39.9 | –23.5 | –32.3 | –33.2 | –34.0 |
0.30039 | 0.4750 | 8.8 | –14.4 | 6.7 | –33.5 | 7.2 | 9.1 | 9.0 |
0.30437 | 0.5111 | 40.1 | 38.9 | 25.2 | 10.1 | 25.5 | 33.5 | 33.5 |
0.30835 | 0.5471 | 40.2 | 31.5 | 25.3 | 0.0 | -12.5 | 31.7 | 30.6 |
0.31259 | 0.5855 | 59.3 | 48.8 | 36.9 | 9.7 | 44.7 | 47.7 | 47.4 |
0.31657 | 0.6216 | 65.9 | 55.4 | 49.4 | 3.9 | 48.1 | 55.7 | 55.3 |
0.32055 | 0.6576 | 62.1 | 62.1 | 53.6 | 18.3 | 54.6 | 58.7 | 58.6 |
0.32452 | 0.6936 | 73.6 | 69.6 | 58.4 | 53.6 | 44.5 | 67.1 | 65.9 |
0.32850 | 0.7297 | 58.5 | 62.1 | 46.1 | 50.3 | 60.7 | 54.8 | 54.8 |
Примечание. Представлены значения лучевых скоростей sdB-субкарлика, измеренных по разным линиям и их комбинациям. Средние ошибки определения представлены в тексте.
Первичная обработка спектроскопических наблюдений проводилась с применением стандартных процедур, реализованных на языке программирования IDL3. Последующая нормировка спектров V1828 Aql выполнена в пакете Origin 8.54. Предварительный анализ наблюдений показал отсутствие в них абсорбционных и эмиссионных деталей, обусловленных излучением вторичной компоненты. Поэтому при нормировке уровень континуума задавался из сравнения наблюдаемых спектров с теоретическим, рассчитанным программой STAR (Менжевицкий и др., 2014) для модели атмосферы sdB-субкарлика с параметрами K, , [M/H]= -1.0, [He/H]=-1.5 согласно данным (Алмейда и др., 2012). Итоговые нормированные спектры сглажены по пяти точкам методом бегущего среднего с сохранением начального разрешения.
3. КАЧЕСТВЕННЫЙ АНАЛИЗ ОПТИЧЕСКОГО ИЗЛУЧЕНИЯ
3.1. Кривые блеска
Переход от шкалы гелиоцентрических юлианских дат HJD к шкале фаз выполнен на основе эфемериды V1828 Aql:
HJD = 2454274.2086(±0.0001) + 0.11374165(±0.000000001) × E,
предложенной в работе (Берман и др., 2012). Полученные наблюдаемые кривые блеска в полосах , и показаны на рис. 1. Отметим, что использованная нами эфемерида не учитывает переменность орбитального периода, связанную с наличием в V1828 Aql двух или более массивных планет (Алмейда и др., 2012). К настоящему времени в литературе отсутствует эфемерида, обеспечивающая точность определения фазы на эпоху наших фотометрических наблюдений лучше . Поскольку уточнение эфемериды не входило в задачи данной работы, то вычисленные нами значения фаз содержали погрешности до , скорректированные вручную при сравнении наблюдаемых и модельных кривых блеска.
Рис. 1. Наблюдаемые (кружки) и модельные (линии) орбитальные кривые блеска V1828 Aql в полосах B, V, R).
В орбитальных кривых блеска V1828 Aql выделяются три участка переменности:
- Главное затмение обусловлено покрытием холодной звездой части поверхности sdB-субкарлика. Его амплитуда слабо понижается с ростом длины волны от до , что указывает на малый, но регистрируемый вклад вторичной компоненты в оптическое излучение системы.
- Внезатменные изменения блеска связаны с наличием горячего пятна на поверхности вторичной компоненты и переменностью условий его видимости. Их амплитуда возрастает в красном диапазоне от до , что характерно для систем типа HW Vir (Деминова и др., 2021, 2022).
- Вторичное затмение обусловлено частичным покрытием sdB-субкарликом горячего пятна на поверхности спутника. Его амплитуда меньше амплитуды внезатменных изменений блеска, что говорит о неполном покрытии горячего пятна даже в центре затмения при .
Таким образом, кривые блеска V1828 Aql содержат 4–5 наблюдательных индикаторов, пригодных для определения физических параметров системы при моделировании изменений ее блеска. В общем случае ими являются температуры и радиусы компонент, а также угол наклона орбиты. Очевидная низкая надежность такого подхода вынуждает получить один или более параметров альтернативными методами, что будет выполнено нами при исследовании спектров.
3.2. Фазовые изменения в спектрах
На рис. 2 показан усредненный нормированный спектр V1828 Aql с отождествлением абсорбционных линий HI, HeI, HeII, CIII, NIII, MgII.
Рис. 2. Усредненный для фаз φ=0.00–0.15 нормированный спектр V1828 Aql (сплошная линия) и модельный спектр (штриховая линия) с отождествлением линий sdB-субкарлика.
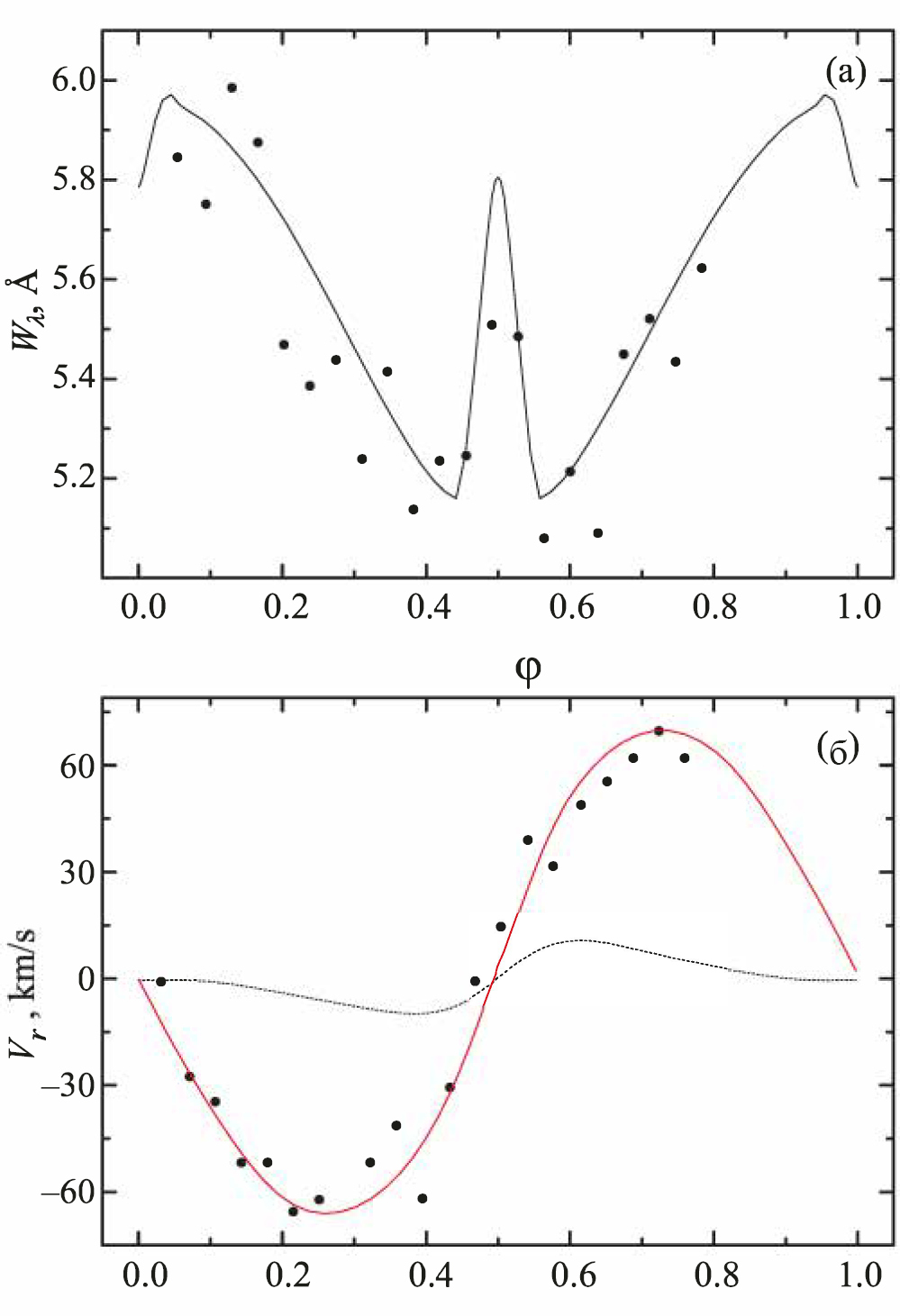
Наблюдаемые линии соответствуют только излучению sdB-субкарлика, что согласуется с предположением о его доминировании в оптическом излучении системы. Высокая интенсивность линий HeII λλ 4686, 5411 Å подтверждает оценку температуры звезды K (Алмейда и др., 2012). Она удовлетворяет условию K (Шиманский и др., 2012) для наличия значимых искажений в линиях HI и кривых лучевых скоростей sdB-субкарлика под действием эффектов отражения. Природа искажений обусловлена формированием эмиссий HI и HeI в излучении горячего пятна на поверхности холодной звезды. При их сложении с абсорбционными линиями в спектре главной компоненты последние испытывают частичное ослабление и сдвиг по длине волны, меняющиеся с фазой орбитального периода. Для проверки наличия таких эффектов мы провели измерение эквивалентных ширин линий HI в режиме с автоматическим контролем уровня локального континуума и построили кривые их изменений с фазой . Пример полученной зависимости для линии Hγ показан на рис. 3a совместно с модельной кривой, рассчитанной для найденных параметров системы (см. ниже). Очевидно, что максимальная амплитуда вариаций в спектрах V1828 Aql не превышает 12%, и их поведение с фазой имеет сложную структуру вследствие наличия главного и вторичного затмений. У молодой ПП HS 2333+3927 (Шиманский и др., 2012) амплитуда аналогичных вариаций достигает 21% при синусоидальной форме зависимости от . Таким образом, в спектрах V1828 Aql абсорбционные профили линий HI искажаются намного слабее, что хорошо коррелирует с меньшей амплитудой фотометрической переменности: у V1828 Aql и у HS 2333+3927 (Шиманский и др., 2012). Основной причиной ослабления эффектов отражения в линиях и континууме V1828 Aql является малый радиус ее вторичной компоненты (у HS 2333+3927 (Шиманский и др., 2012)), с избытком нивелирующий повышенное значение . Кроме того, амплитуда эффектов отражения снижается благодаря вторичному затмению, при котором закрывается часть горячего пятна на поверхности холодной звезды. Поэтому наблюдаемые искажения профилей абсорбционных линий и соответствующие искажения лучевых скоростей sdB-субкарлика могут оказаться недостаточными для проведения их модельного анализа, как это предложено в (Шиманский и др., 2012).
Рис. 3. (а) – Наблюдаемая (точки) и модельная (линия) фазовые зависимости эквивалентной ширины линии Hγ (б) – Наблюдаемая (точки) и модельная (сплошная линия) фазовые зависимости лучевых скоростей линии Hγ. Штриховой линией показаны изменения поправок ∆Vr за учет эффектов отражения.
4. ИЗМЕРЕНИЕ И АНАЛИЗ ЛУЧЕВЫХ СКОРОСТЕЙ
Доминирование оптического излучения главной компоненты позволяет нам измерить лучевые скорости ее орбитального движения методом автоматической многополосной кросс-корреляции спектров. В качестве стандартного принимался усредненный наблюдаемый спектр в диапазоне фаз или модельный спектр sdB-субкарлика для параметров его атмосферы K, , [He/H]=-1.23. При нахождении значений использовались линии Hδ, Hγ, Hβ, бленда HeIMgII λλ 4471, 4481 Å и линия HeII 4686 Å, анализируемые по отдельности и совместно. В процессе измерений из спектров V1828 Aql вырезались интервалы шириной Å для линий HI и Å для остальных линий с центрами, соответствующими их лабораторным длинам волн. Статистическое ожидание средней ошибки одного измерения () с учетом разрешения спектров ( Å) и отношения сигнал/шум () составило км/с для линий HI и до км/с для линий гелия. Применение метода кросс-корреляции в многополосном режиме с одновременным учетом сдвигов всех линий позволило повысить точность единичного измерения до км/с. В результате измерений были получены наборы лучевых скоростей, представленные в табл. 1 для всех вариантов и на рис. 4 для Hβ и комбинации из пяти линий.
Рис 4. Наблюдаемые значения лучевых скоростей V1828 Aql (точки) по линиям Hβ (a) и пяти линиям (б) с их аппроксимациями в рамках модели кругового движения (линии).
Наличие у V1828 Aql эллиптической орбиты является крайне маловероятным вследствие мощного приливного взаимодействия компонент в системах с . Поэтому наборы измеренных аппроксимированы в рамках модели кругового движения с получением значений их полуамплитуд и γ-скоростей, представленных в табл. 2. Очевидно, что величины для всех линий HI совпадают в пределах км/с и меньше ошибок их определения. Оценки и по линиям HeI и HeII существенно отличаются от данных по линиям HI, что обусловлено низкой интенсивностью линий гелия по сравнению с уровнем шумов. Однако небольшая полуширина линий HeI и HeII позволяет дополнительно повысить на 10–12% точность измерения лучевых скоростей sdB-субкарлика при их включении в совместный кросс-корреляционный анализ спектров.
Таблица 2. Параметры аппроксимирующих кривых лучевых скоростей
Параметр | Hδ | Hγ | Hβ | HI | HeI | HeII | 5 линий |
, км/с | 4.6±1.7 | 3.5±1.7 | 2.1±1.8 | 1.5±1.5 | -6.0±4.9 | -2.4±2.7 | 1.2±1.4 |
, км/с | 67.3±2.2 | 67.8±2.2 | 66.8±2.5 | 67.2±1.9 | 48.7±5.7 | 57.9±3.9 | 67.0±1.8 |
Под действием эффектов отражения лучевые скорости линий HI должны содержать искажения, приводящие к изменениям полуамплитуд лучевых скоростей. Моделирование эффектов отражения в работе (Шиманский и др., 2012) показало, что в рассматриваемом наборе линий HI наибольшую поправку получает Hβ, а наименьшую – Hδ. Близость полученных значений этих линий подтверждает высказанное предположение о слабом влиянии эффектов отражения на измеряемые лучевые скорости sdB-субкарлика в V1828 Aql. Поэтому при ее исследовании мы считали это влияние несущественным и для вычисления функции масс использовали и , измеренные совместно по всем линиям.
После определения параметров системы мы выполнили моделирование ее интегральных спектров в разных фазах орбитального периода с учетом орбитального движения и синхронного вращения компонент. По этим спектрам методом кросс-корреляции были измерены поправки лучевых скоростей в разных линиях, формируемые под действием эффектов отражения. Пример изменений такой поправки с фазой показан на рис. 3b для линии Hγ. Максимальные значения км/с достигаются в узком интервале фаз относительно центра вторичного затмения и уменьшаются до км/с к фазам . В результате полуамплитуды для разных линий HI получают поправки не более км/с, что находится на уровне ошибок их определения. Следовательно, искажения кривых лучевых скоростей в молодых ПП типа HW Vir с фотометрическими эффектами отражения до недостаточны для определения отношения масс компонент при модельном анализе. Поэтому мы сделали вывод, что для нахождения параметров таких систем необходимо привлечение предположения о близости массы sdB-субкарликов к (Хебер, 2016), которое будет использовано нами в исследованиях подобных объектов. Отметим, что при определении характеристик V1828 Aql (Алмейда и др., 2012) получили более низкое значение из условия равенства спектроскопической и динамической оценок главной компоненты. Ниже мы покажем, насколько принятая нами величина противоречит этому условию с учетом ошибок определения спектроскопическим методом.
Итоговая амплитуда км/с вычислена по оценкам лучевых скоростей при одновременном анализе пяти линий. С учетом орбитального периода функция масс вторичной компоненты оказывается равной .
5. МОДЕЛИРОВАНИЕ ОПТИЧЕСКОГО ИЗЛУЧЕНИЯ И ОПРЕДЕЛЕНИЕ ПАРАМЕТРОВ
5.1. Моделирование спектров
Расчеты теоретических кривых блеска и спектров проводились в рамках единой методики моделирования оптического излучения систем типа HW Vir, разработанной в (Шиманский и др., 2012) и модифицированной при исследовании аналогичных систем Lan 30 (Деминова и др., 2021) и SDSS J162256 (Деминова и др., 2022). Методика реализована в программном комплексе SPECTR (Шиманский и др., 2003) и предусматривает использование моделей облучаемых звездных атмосфер, структура которых определяется нахождением баланса функций нагрева и охлаждения газа по методу Сахибуллина и Шиманского (Иванова и др., 2002). В качестве необлученных принимаются сеточные модели атмосфер (Кастелли, Куруц, 2003) для вторичной компоненты и рассчитанные в (Митрофанова и др., 2014) с помощью комплекса ATLAS12 (Куруц, 2005) модели атмосфер sdB-субкарликов – для главной компоненты. Интерполяция сеточных моделей на заданные значения параметров атмосфер выполнялась в соответствии с процедурой, описанной в (Сулейманов, 1996). Химический состав атмосферы холодной звезды считается солнечным, согласно данным (Андерс, Гревес, 1989), а содержания наиболее важных элементов в атмосфере sdB-субкарлика находятся совместно с ее параметрами при анализе наблюдаемого спектра. Для его максимально корректного моделирования нами учитывались не-ЛТР отклонения в атмосфере главной компоненты, рассчитываемые для атомов HI, HeI, HeII, CIII, MgII с применением комплекса NONLTE3 (Сахибуллин, 1983) по методике, разработанной в (Шиманский и др., 2008). Полученные не-ЛТР населенности атомов передавались в виде мензеловских коэффициентов в комплекс SPECTR (Шиманский и др., 2003) для вычисления спектра sdB-субкарлика.
Влияние эффектов отражения на профили абсорбционных линий в спектре V1828 Aql может привести к ошибкам параметров атмосферы sdB-субкарлика при анализе наблюдений с заметным вкладом излучения горячего пятна. Поэтому мы использовали усредненный спектр в интервале фаз , когда эффекты отражения практически отсутствуют. Определение параметров атмосферы (эффективной температуры , поверхностной силы тяжести и содержания гелия относительно солнечного [He/H]) проводилось путем оптимального согласования модельного и наблюдаемого спектров в диапазонах, включающих линии Hδ, Hγ, Hβ, HeI 4471 Å, HeII 4686 Å. Критерием согласования являлось достижение минимума величиной среднеквадратичного уклонения двух спектров . Процедура поиска минимума состояла из трех этапов и носила итерационный характер. На первом этапе при постоянном значении рассчитывалась сетка модельных спектров с варьированием и [He/H], для каждого из которых вычислялось значение для суммы диапазонов с линиями HeI 4471 Å и HeII 4686 Å. В построенном распределении от и [He/H] находилось положение глобального минимума. На втором этапе сетка модельных спектров получалась с фиксированными по итогам первого этапа значениями и [He/H] и варьированием , а величина рассчитывалась в диапазонах с линиями HI. Положение минимума в распределении позволяло найти новую оценку и вернуться к первому этапу. Описанный процесс уточнения параметров принят вследствие высокой чувствительности линий гелия к вариациям и низкой – к изменениям , в то время как линии HI имеют обратные показатели чувствительности. После достижения сходимости по трем параметрам мы провели уточнение химического состава атмосферы sdB-субкарлика. Сетки модельных спектров рассчитывались с фиксированными параметрами атмосферы и варьированием относительных содержаний [X/H] наиболее важных элементов: C, N, O, Ne, Mg, Si, Fe, а значения вычислялись по полному диапазону Å. Положение минимума в зависимости от [X/H] позволяло найти содержание исследуемого элемента. После завершения третьего этапа был повторно проведен процесс уточнения параметров атмосферы звезды на первом и втором этапах.
На рис. 5 представлено итоговое распределение от и с указанием положения глобального минимума, соответствующего значениям K, , [He/H] = . Кроме того, найдены оценки содержаний следующих элементов: [C/H] = , [N/H] = , [O/H] = , [Ne/H] = , [Mg/H] = , [Si/H] , [Fe/H] . Они указывают на пониженную металличность атмосферы главной компоненты со значимым дефицитом гелия и существенными аномалиями содержаний других элементов, что характерно для sdB-субкарликов на пост-горизонтальной ветви (Хебер, 2016).
Рис. 5. Зависимость среднеквадратичных уклонений наблюдаемого и модельного спектров σsp от параметров атмосферы sdB-субкарлика и log g1 . Крестом отмечено положение глобального минимума.
Итоговое согласование наблюдаемого и модельного спектров представлено на рис. 2. Полученные нами оценки параметров атмосферы в пределах ошибок определения совпадают с результатами анализа Алмейда и др. (Алмейда и др., 2012): K, , [He/H] = . Поэтому значение эффективной температуры sdB-субкарлика можно считать найденным с ошибкой не более K, что достаточно для его применения при последующем анализе кривых блеска V1828 Aql.
5.2. Моделирование кривых блеска
Модельный анализ наблюдаемых кривых блеска проводился по методике, аналогичной использованной при изучении молодой ПП SDSS J162256 (Деминова и др., 2022). Предварительная оценка массы холодной звезды вычислялась из полученного значения функции масс , заданной массы sdB-субкарлика и предположения о близости угла наклона орбиты к . В дальнейшем величина была незначительно исправлена по результатам анализа кривых блеска. Параметры атмосферы sdBс-убкарлика фиксировались по итогам исследования его спектров, а температура холодной звезды устанавливалась равной K. Как показано ниже, масса вторичной компоненты V1828 Aql заведомо не превышает и соответствует параметрам атмосферы K, , для которых в сетках (Кастелли, Куруц, 2003) отсутствуют модели атмосфер. Поэтому мы выбрали наименьшее доступное значение K и наибольшее доступное значение , предварительно проверив предположение о ничтожно слабом влиянии этих параметров на кривые блеска системы ().
Таким образом, моделирование проводилось с варьированием радиусов вторичной и главной компонент и угла наклона орбиты до наилучшего согласования наблюдаемых и модельных кривых блеска. Выполнение этого условия определялось достижением минимумов среднеквадратичными уклонениями и в фильтрах и с визуальным контролем отсутствия трендов в зависимостях разностей блеска от фазы орбитального периода. Наличие шумов в фотометрических данных исключало возможность одновременного достижения минимумов в трех полосах. Поэтому при выборе итогового решения наибольший вес имели результаты в полосах и , а данные в полосе считались контрольными. При согласовании модельных и наблюдаемых кривых блеска учитывалось, что на амплитуду эффектов отражения кроме температуры в основном влияет радиус , а на форму, глубину и отношение глубин затмений – радиусы и совместно с углом . Поэтому предварительная оценка получена из моделирования внезатменных изменений блеска, а оценки и – из моделирования профилей затмений. Последующее уточнение этих оценок выполнено с применением численных критериев, как описано выше. Значения ошибок параметров заданы условием роста ошибки модели на 50% относительно ее минимального значения. Величина , определяемая разницей среднеквадратичных уклонений и ошибок фотометрических наблюдений для каждой фотометрической полосы в точке глобального минимума, составила в разных фильтрах. На рис. 6 представлены двумерные зависимости среднеквадратичных уклонений и от значений и с указанием точек глобального минимума. Итоговый набор параметров V1828 Aql, полученных при анализе кривых блеска, обобщен в табл. 3, а сравнение модельных и наблюдаемых кривых блеска во всех полосах показано на рис. 1.
Рис 6. Зависимости среднеквадратичных уклонений σR (a) и σV (б) наблюдаемых и модельных кривых блеска от угла наклона орбиты i и радиуса sdB-субкарлика R1/R⊙. Крестами отмечены положения глобальных минимумов.
Таблица 3. Фундаментальные параметры V1828 Aql
Параметр | Главная компонента | Вторичная компонента |
(K) | 41200±800 | |
| 0.47±0.01 | 0.105±0.005 | |
| 0.188±0.012 | 0.136±0.006 | |
| 5.76±0.15 | 5.23±0.06 | |
, км/с | 67.0±2.7 | |
, км/с | 1.2±2.1 | |
| 0.802±0.002 | ||
| 83.4±0.3 | ||
Представленные значения радиуса и массы главной компоненты соответствуют динамической оценке поверхностной силы тяжести , что на dex меньше , полученной при анализе спектров. Различие представляется значимым и не может объясняться неверным выбором массы sdB-субкарлика, так как спектроскопическая величина требует ее повышения до , несовместимой с классификацией звезды. Мы считаем, что причиной различия значений являются ошибки анализа спектра. Добавим, что из остальных параметров V1828 Aql лишь оценка радиуса существенно отличается от найденной в (Алмейда и др., 2012) . Несоответствие двух значений , вероятно, обусловлено качественно разными подходами к учету эффектов отражения с применением моделей облучаемых атмосфер в нашей работе и чернотельного приближения в работе (Алмейда и др., 2012). Однако сравнение результатов использования этих методов для молодой ПП SDSS J162256 (Деминова и др., 2022) не выявило таких различий. Можно предположить, что применение метода моделей атмосфер оказывается важным для систем с наиболее горячими sdB-субкарликами, излучающими в далеком ультрафиолетовом диапазоне спектра. В таких ТДС поле внешнего и собственного излучения в области горячего пятна на поверхности вторичной компоненты становится сильно неравновесным и плохо описывается чернотельным приближением.
6. ЗАКЛЮЧЕНИЕ
Основной задачей нашей работы являлась проверка высказанной в (Шиманский и др., 2012) гипотезы о возможности определения масс компонент молодых ПП типа HW Vir из анализа искажений их лучевых скоростей, формируемых под действием эффектов отражения. Условием для выполнения подобного анализа считалось наличие в системе sdB-субкарлика с температурой не ниже Teff = 35 000 K, имеющего заметную долю излучения в диапазоне лаймановского континуума. При падении этого излучения на поверхность спутника оно поглощается в самых верхних слоях его атмосферы, приводя к появлению хромосферы, температура в которой (Te = 25 000 K) значимо превосходит температуру на глубине формирования оптического континуума (Te ≈ 12 000 K). В результате оптический спектр горячего пятна на поверхности холодной звезды содержит мощные эмиссии линий HI, искажающие и сдвигающие наблюдаемые абсорбционные профили линий в излучении главной компоненты.
Однако исследование спектров V1828 Aql, содержащей sdB-субкарлик с температурой Teff = 40 000 K, показало, что влияние эффектов отражения на кривые его лучевых скоростей много слабее, чем ожидалось. Основной причиной ослабления является малый радиус холодной звезды, играющей при действии эффектов отражения роль своеобразного зеркала. Несмотря на появление эмиссионных линий HI на поверхности горячего пятна, его малые размеры не позволяют существенно исказить абсорбции в наблюдаемом спектре sdB-субкарлика. Аналогичное уменьшение эффектов отражения наблюдается в кривых блеска системы, где амплитуда внезатменной переменности не превышает . Дополнительным фактором уменьшения этих эффектов становятся вторичные затмения с закрытием центра горячего пятна с максимальным излучаемым потоком.
В результате мы пришли к выводу о недостаточности условия , определяющего формирование существенных искажений в линиях HI. Одновременно вторичная компонента должна превышать в размерах sdB-субкарлик и быть сравнимой с большой полуосью системы. Наличие у объекта затмений, вероятно, не является критическим препятствием для анализа искажений при условии, что амплитуда внезатменных колебаний блеска ТДС превышает . Более того, модельное исследование лучевых скоростей sdB-субкарлика в затменных системах может дать дополнительную информацию о скорости и синхронности его вращения (Алмейда и др., 2012, Ли и др., 2017).
Анализ каталога Риттера и Колба (Риттер, Колб, 2015) показывает, что среди известных ПП с sdB-субкарликами сформулированным нами критерия прямого определения масс соответствует не более четырех объектов, а для остальных систем эта задача остается нерешаемой. Несколько близких ПП наблюдались фотометрическими методами в инфракрасном диапазоне, что позволило выделить излучение и оценить параметры их холодных компонент (Вос и др., 2012). Однако при получении параметров большой, статистически значимой выборки систем типа HW Vir мы считаем возможным использовать предположение о близости массы их главных компонент к (Хебер, 2016).
ФИНАНСИРОВАНИЕ
Часть наблюдательных данных получена на уникальной научной установке Большой телескоп альт-азимутальный САО РАН. Работа по обработке наблюдательных данных и моделированию звездных спектров выполнена в рамках гранта Министерства науки и высшего образования Российской Федерации 075-15-2022-262 (13.МНПМУ.21.0003).
1 http://www.sao.ru/Doc-k8/Telescopes/small/CCD/
2 http://diffractionlimited.com/product/maxim-dl/
3 http://www.ittvis.com/idl
4 https://www.originlab.com/
About the authors
Н. Р. Дёминова
Казанский федеральный университет
Author for correspondence.
Email: nellyrd@mail.ru
Russian Federation, Казань
В. В. Шиманский
Специальная астрофизическая обсерватория РАН
Email: nellyrd@mail.ru
Russian Federation, Нижний Архыз
Н. В. Борисов
Специальная астрофизическая обсерватория РАН
Email: nellyrd@mail.ru
Russian Federation, Нижний Архыз
М. М. Габдеев
Специальная астрофизическая обсерватория РАН
Email: nellyrd@mail.ru
Russian Federation, Нижний Архыз
References
- Алмейда и др. (A. Almeida, F. Jablonski, and C.V. Rodrigues), Astrophys. J. 766, A.11 (2013).
- Алмейда и др. (A. Almeida, F. Jablonski, J. Tello and C.V. Rodrigues), MNRAS 423, 478 (2012).
- Андерс, Гревес (E. Anders and N. Grevesse), Geochimica et Cosmochimica Acta 53, 197 (1989).
- Афанасьев и др. (Афанасьев В.Л., Гажур Э.Б., Желенков С.Р., Моисеев А.В.), Бюлл. Спец. астроф. обсер. 58, 90 (2005) [(V.L. Afanas’ev, E.B. Gazhur, S.R. Zhelenkov, A.V. Moiseev), Bull. SAO, 58, 90 (2004).
- Берман и др. (K. Beuermann, P. Breitenstein, B. Debski et al.), Astron. Astrophys. 540, 48 (2012).
- Бохлин (R.C. Bohlin), Astron. J. 111, 1743 (1996).
- Возняк и др. (P.R. Wozniak, W.T. Vestrand, C.W. Akerlof et al.), Astron. J. 127, 2436 (2004).
- Вос и др. (J. Vos, R.H. Ostensen, P. Degroote et al.), Astron. Astrophys. 548, A6 (2012).
- Вуд, Саффер (J.H. Wood, R. Saffer), Mon. Not. Roy. Astron. Soc. 305, 820 (1999).
- Деминова и др. (Деминова Н.Р., Шиманский В.В., Борисов Н.В., Габдеев М.М.), Письма в Астрон. журн. 47, 342 (2021) [N.R. Deminova, V.V. Shimanskii, N.V. Borisov, M.M. Gabdeev, Astron. Lett. 47, 307 (2021)].
- Деминова и др. (Деминова Н.Р., Шиманский В.В., Борисов Н.В., Иртуганов Э.Н.), Астроф. бюлл. 77, 461 (2022) [N.R. Deminova, V.V.Shimansky, N.V. Borisov, E.N. Irtuganov, Astrophys. Bull. 77, 415 (2022)].
- Иванова и др. (Иванова Д.В., Сахибуллин Н.А., Шиманский В.В.), Астрон. журн. 79, 433 (2002) [D.V.Ivanova, N.A. Sakhibullin, V.V. Shimanskii, Astron. Rep. 46, 390 (2002)].
- Кастелли, Куруц (F. Castelli and R.L. Kurucz), Proc. IAU Symp. 210: Modeling of Stellar Atmospheres (Ed. N. Piskunov et al., Kluwer, Dordrecht, 2003), p. A20.
- Коол, Риттер (M. De Kool, H. Ritter), Astron. Astrophys. 267, 397 (1993).
- Куруц (R.L. Kurucz), Memorie della Societa Astronomica Italiana Suppl. 8, 14 (2005).
- Ли и др. (J.W. Lee, J-H. Youn, K. Hong, W. Han), Astrophys. J. 839, A.39 (2017).
- Лискер и др. (T. Lisker, U. Heber, R. Napiwotzki et al.), Astron. Astrophys. 430, 223 (2005).
- Макстед и др. (P.F.L. Maxted, T.R. Marsh, U. Heber et al.), MNRAS 333, 231 (2002).
- Менжевицкий и др. (Менжевицкий В.С., Шиманская Н.Н., Шиманский В.В., Кудрявцев Д.О.), Астрофиз. бюлл. 69, 180 (2014) [V.S. Menzhevitski, N.N. Shimanskaya, V.V. Shimansky, D.O. Kudryavtsev, Astrophys. Bull. 69, 169 (2014)].
- Митрофанова и др. (A.A. Mitrofanova, N.V. Borisov, V.V. Shimansky), Astrophys. Bull. 69, 82 (2014).
- Рауч (T. Rauch), Rev. Mex. Astron. Astrophys. 20, 246 (2004).
- Риттер, Колб (H. Ritter, U. Kolb), Acta Polytechnica CTU Proc. 2, 21 (2015).
- Риттер (H. Ritter), Astron. Astrophys. 169, 139 (1986).
- Сахибуллин Н.А. (N.A. Sakhibullin), Kazanskaia Gorodskaia Astronomicheskaia Observatoriia, Trudy 48, 9 (1983)].
- Сулейманов В.Ф. (V.F. Suleimanov), Astron. Lett. 22, 92 (1996).
- Уилс и др. (P. Wils, G. Di Scala, S.A. Otero), IAU Inform. Bull. Var. Stars, 5800, 1 (2007).
- Хебер (U. Heber), Publ. Astron. Soc. Pacific 128, 082001 (2016).
- Хебер и др. (U. Heber, H. Drechsel, R. Ostensen et al.), Astron. Astrophys. 420, 251 (2004).
- Шиманский и др. (Шиманский В.В., Борисов Н.В., Шиманская Н.Н.), Астрон. журн. 80, 830 (2003) [V.V. Shimansky, N.V. Borisov, N.N. Shimanskaya, Astron. Rep. 47, 763 (2003)].
- Шиманский и др. (Шиманский В.В., Борисов Н.В., Позднякова С.А. и др.), Письма в Астрон. журн. 34, 465 (2008) [V.V. Shimansky, N.V. Borisov, S.A. Pozdnyakova et al., Astron. Rep. 52, 558 (2008)
- Шиманский и др. (V.V. Shimanskii, D.G. Yakin, N.V. Borisov, I.F. Bikmaev), Astron. Rep. 56, 867 (2012).
- Эдельманн и др. (H. Edelmann, U. Heber, M. Altmann), Astron. Astrophys. 442, 1023 (2005).
Supplementary files









