Звездный ветер и эффективность плазменного радиоизлучения экзопланет
- Authors: Зайцев В.В.1, Шапошников В.Е.1,2, Ходаченко М.Л.3, Руменских М.С.4,5
-
Affiliations:
- Институт прикладной физики РАН
- НИУ Высшая школа экономики
- Институт космической исследований ААН
- Институт лазерной физики СО РАН
- Институт земного магнетизма, ионосферы и распространения радиоволн
- Issue: Vol 50, No 1 (2024)
- Pages: 100-109
- Section: Articles
- URL: https://journals.rcsi.science/0320-0108/article/view/266715
- DOI: https://doi.org/10.31857/S0320010824010084
- EDN: https://elibrary.ru/OQXNNG
- ID: 266715
Cite item
Full Text
Abstract
Представлены результаты исследования влияния звездной активности на эффективность плазменного механизма генерации радиоизлучения и на свойства этого излучения в атмосфере экзопланет со слабым магнитным полем. Плазменный механизм генерации может эффективно реализоваться в случае, когда ленгмюровская частота превышает гирочастоту электронов и электронный циклотронный мазер не эффективен. Этот механизм, существенно зависящий от параметров плазмы, предполагает генерацию плазменных (квазистатических) волн энергичными электронами с последующей конверсией их в электромагнитное излучение. Звездный ветер в зависимости от его интенсивности может в значительной степени модифицировать плазмосферу экзопланеты и менять ее параметры. На примере взаимодействия экзопланеты HD189733b со звездным ветром различной интенсивности центральной звезды показано, что реализация плазменного механизма возможна при любой интенсивности звездного ветра, меняются только требования к параметрам плазменного механизма. В частности, меняется величина плотности энергии плазменных волн, необходимая для генерации потока радиоизлучения, доступного для регистрации современными радиоастрономическими средствами, и меняется его частотный диапазон. Последнее позволит использовать регистрируемое радиоизлучение как индикатор активности материнской звезды.
Full Text
1. ВВЕДЕНИЕ
В настоящее время исследование экзопланет и экзопланетных систем является одним из важных направлений в астрофизике. Исследование экзопланет в видимом диапазоне частот затруднено высоким контрастом между светимостью звезды и планеты, а также их относительно небольшим угловым разделением. В радиодиапазоне ситуация иная, здесь контраст намного порядков ниже, и есть возможность отделить собственное излучение экзопланеты от излучения ее центральной звезды. (Зарка, 2007). Поэтому возникает вопрос, какими параметрами должна обладать атмосфера экзопланеты, чтобы ее радиоизлучение могло быть зарегистрировано современной радиоастрономической аппаратурой (см. в этой связи Гриссмайер и др., 2007а; Зарка, 2007; Жардин, Камерон, 2008; Николс, Милан, 2016; Буркхарт, Лоеб, 2017; Видотто, Донати, 2017; Вебер и др., 2017, 2018; Селхорст и др., 2020; Тернпенни и др., 2018, 2020; Наранг и др., 2021, 2023). Обычно при ответе на этот вопрос рассматривается механизм генерации радиоизлучения, основанный на неустойчивости на циклотронной частоте электронов в плазмосфере экзопланеты с достаточно сильным магнитным полем, когда циклотронная частота значительно превышает плазменную частоту (механизм электронного циклотронного мазера (Ву, Ли, 1979; Мелроуз и др., 1984). Однако существуют экзопланеты, даже обладающие собственным магнитным полем, для которых реализация электронного циклотронного мазера (ЭЦМ) в их плазмосфере невозможна. К ним относятся, например, горячие Юпитеры с массой порядка массы Юпитера и орбитами, близкими (меньше или порядка 0.5 а. е.) к центральной звезде. Дело в том, что такие экзопланеты обладают протяженной и плотной плазмосферой, обусловленной мощным рентгеновским и ультрафиолетовым излучением звезды, в которой плазменная частота превышает электронную гирочастоту (Вебер и др., 2017). На близких экзопланетах с сильным магнитным полем электронный циклотронный мазер (ЭЦМ) может быть реализован и эффективно генерировать радиоизлучение (т. е. уровень генерируемого радиоизлучения достаточен для регистрации его современными радиоастрономическими средствами) в сверхмассивных экзопланетах с массой, существенно большей массы Юпитера, например Tau Bootis b, у которой оцененная масса 5.84 масс Юпитера. У сверхмассивных экзопланет плотная плазменная оболочка оказывается прижатой к поверхности планеты вследствие сильного гравитационного поля (экзобаза располагается достаточно близко к поверхности экзопланеты), и существуют области плазмосферы с достаточно разреженной плазмой, где выполнено условие реализации электронного циклотронного мазера (Вебер и др., 2018). В то же время для экзопланет с массой порядка массы Юпитера этот механизм не реализуется в силу наличия у этих экзопланет протяженной и плотной плазменной оболочки, в которой плазменная частота превышает электронную гирочастоту (Вебер и др., 2017). Электронный циклотронный мазер не реализуется или не эффективен (в указанном выше смысле) на экзопланетах со слабым магнитным полем, таких как, например, HD209458b или HD189733b. Поэтому Вебером и др. (2017) был сделан вывод, что, в случае неэффективности или невозможности реализации ЭЦМ в плазмосфере экзопланеты, собственное интенсивное радиоизлучение экзопланеты отсутствует.
Плазменный механизм не требует наличия сильного магнитного поля или достаточно разреженной плазмосферы для эффективной генерации радиоизлучения (Зайцев, Степанов, 1983). Этот механизм предполагает генерацию плазменных волн энергичными электронами в источнике с последующей конверсией их в электромагнитное излучение на плазменной частоте при рассеянии на частицах плазмы или на удвоенной плазменной частоте в результате комбинационного рассеяния (слияния плазменных волн). При определенных условиях, в случае, когда конверсия происходит на плазменной частоте, возникает мазер-эффект, проявляющийся в экспоненциальном росте интенсивности электромагнитного излучения с ростом энергии плазменных волн. Возможный частотный интервал радиоизлучения в этой модели определяется не величиной магнитного поля в источнике, а концентрацией и пространственным распределением плазмы в плазмосфере планеты. Эффективность плазменных механизмов была продемонстрирована в теории солнечного радиоизлучения, радиоизлучения Юпитера, Сатурна, звезд поздних спектральных классов, а также нейтронных звезд (Зайцев, Степанов, 1983, 2016; Железняков и др., 2012; Шапошников и др., 2021). Исследование плазменных механизмов радиоизлучения экзопланет позволит не только указать новые цели для поиска, но также продвинуться в исследование физических условий в плазмосфере экзопланет с относительно слабым магнитным полем. Поэтому представляется актуальным анализ возможности реализации плазменных механизмов генерации радиоизлучения в плазмосфере экзопланет. Зайцев, Шапошников (2022) на примере HD189733b показали, что на экзопланетах со слабым магнитным полем, когда плазменная частота превышает гирочастоту электронов, вместо электронного циклотронного мазера может эффективно реализоваться так называемый плазменный механизм радиоизлучения. В этой работе был определен частотный диапазон возможного радиоизлучения и требования на плотность энергии плазменных волн, при которой возникает достаточная для наблюдения современными средствами интенсивность радиоизлучения. При этом Зайцев, Шапошников (2022) использовали распределения температуры и концентрации плазмы в плазмосфере экзопланеты (Го, 2011), полученные без учета влияния звездного ветра на параметры плазмосферы. Последующие исследования (Руменских и др., 2022) показали, что звездный ветер в зависимости от параметров может в значительной степени модифицировать плазмосферу экзопланеты. В настоящей работе мы исследуем влияние звездной активности, выраженное через интенсивность звездного ветра, на свойства плазменного радиоизлучения экзопланеты HD189733b. Мы исследуем свойства радиоизлучения на плазменной частоте и на второй гармонике, частотные диапазоны радиоизлучения и требования на плотности энергии плазменных волн, необходимые для регистрации радиоизлучения современными радиоастрономическими средствами, в зависимости от интенсивности звездного ветра. В разделе 2 на основе работы (Руменских и др., 2022) обсуждаются изменения распределений концентрации плазмы и температуры в плазмосфере экзопланеты HD189733b в зависимости от интенсивности звездного ветра. В разделе 3 приведены основные уравнения, необходимые для анализа плазменного механизма радиоизлучения на частоте основного тона и на второй гармонике плазменной частоты. В разделе 4 приведены расчеты условий генерации, частотные спектры радиоизлучения и необходимые требования на плотность энергии плазменных волн в зависимости от параметров звездного ветра. Раздел 5 содержит обсуждение результатов и основные выводы.
2. ВЛИЯНИЕ ЗВЕЗДНОГО ВЕТРА НА ПАРАМЕТРЫ ПЛАЗМОСФЕРЫ HD189733B
Ниже приведены некоторые параметры экзопланеты HD189733b – расстояние до Земли RE–S ≈ 63 св. лет, радиус планеты Rp ≈ 1.14RJ и ее масса Mp ≈ 1.13MJ, близкие к соответствующим значениям RJ и MJ для Юпитера, а также оценки эффективной температуры, Teff ≈ 1200 K, и магнитного поля вблизи поверхности планеты, B ≈ 1.8 Гс (Гриссмайер и др., 2007б). Материнская звезда, вокруг которой обращается экзопланета на расстоянии три сотых астрономической единицы, является желтым карликом, расположенным в созвездии Лисички и имеющим размеры и температуру, близкие к соответствующим значениям для Солнца.
В работе (Руменских и др., 2022) была исследована самосогласованная многожидкостная гидродинамическая модель атмосферы горячего Юпитера HD189733b, полученная на основе анализа эволюции спектральных линий водорода и гелия при транзите экзопланеты через диск звезды и учитывающая влияние звездного ветра различной интенсивности на состояние атмосферы, что моделировало возможные варианты звездной активности и ее воздействия на плазмосферу экзопланеты. На рис. 1а, б приведены распределения концентрации плазмы n и температуры T для трехмерной модели взаимодействия экзопланеты HD189733b со звездным ветром при умеренном ветре (уносимая масса звезды 1011 г с–1, рис. 1а) и при интенсивном ветре (уносимая ветром масса звезды 2 × 1013 г с–1, рис. 1б).
Рис 1. Распределения концентрации плазмы ne и температуры T для трехмерной модели взаимодействия экзопланеты HD189733b со звездным ветром материнской звезды при умеренной интенсивности ветра (а) (уносимая ветром масса звезды 1011 г с–1) и при интенсивном ветре (б) (уносимая ветром масса звезды 2 × 1013 г с–1).
Из рис. 1 следует, что при увеличении интенсивности потока звездного ветра имеет место существенное изменение структуры плазмосферы – резкое уменьшение концентрации плазмы приблизительно на два порядка, начиная с расстояния ≈1.5 радиусов от поверхности, переходящее в “плато” на больших расстояниях, и скачок температуры на два порядка также на расстоянии около ≈1.5 радиуса. Таким образом, учитывая тот факт (как это будет показано в разделах 3 и 4), что эффективность плазменного механизма существенно зависит от концентрации и температуры плазмы, активность звезды должна влиять на частотный диапазон и интенсивность плазменного излучения экзопланеты. Анализ данной проблемы является целью нашей работы.
3. ГЕНЕРАЦИЯ ПЛАЗМЕННЫХ ВОЛН В СЛАБО ЗАМАГНИЧЕННОЙ ПЛАЗМОСФЕРЕ HD189733B
На экзопланетах со слабым магнитным полем, когда электронная гирочастота ωc = eB/µec много меньше плазменной частоты (n – концентрация плазмы, B – магнитное поле, e и µe – заряд и масса электрона, c – скорость света) так, что выполняется условие ωc << ωL, может эффективно реализоваться плазменный механизм радиоизлучения, предполагающий генерацию плазменных волн энергичными электронами в источнике и их трансформацию в радиоизлучение на плазменной частоте или на удвоенной плазменной частоте.
При наличии в плазмосфере экзопланеты кроме основной (максвелловской) плазмы с концентрацией n и температурой T популяции энергичных электронов с концентрацией ns << n и температурой Ts >> T возбуждаются плазменные (ленгмюровские) волны с частотой
(1)
где – волновой вектор плазменных волн, νT – тепловая скорость электронов основной плазмы. При наличии конуса потерь в магнитном поле экзопланеты будем для определенности моделировать распределение энергичных электронов по скоростям функцией
(2)
где – продольная и поперечная компоненты вектора скорости энергичных электронов по отношению к направлению магнитного поля в области генерации плазменных волн, – постоянная Больцмана. Эта функция обеспечивает необходимую анизотропию, связанную с дефицитом электронов с малыми поперечными скоростями.
Инкремент конусной черенковской неустойчивости в этом случае имеет следующий вид (Зайцев, Степанов, 1975):
(3)
где – характерная скорость быстрых электронов. Согласно (3), инкремент отрицателен (γ < 0), т. е. система неустойчива относительно возмущений для плазменных волн с фазовыми скоростями vph:
(4)
распространяющихся под углами к магнитному полю (α – угол между векторами и . Инкремент неустойчивости достигает максимального значения:
(5)
для волн, распространяющихся почти ортогонально к магнитному полю, α ≈ π/2, с фазовыми скоростями vph ≈ 0,74vTs и волновыми числами Инкремент уменьшается в 3 раза при отклонении от оптимального значения до k1 ≈ 1.04ωL/vTs и k2 ≈ 2.5ωL/vTs, а также при отклонении на угол ±30° от α ≈ π/2. В случае конусной неустойчивости спектр плазменных волн обладает аксиальной симметрией по отношению к магнитному полю, поэтому для спектрального объема справедлива формула
(6)
где интегрирование производится по интервалу волновых векторов и интервалу углов между и магнитным полем взаимодействующих плазменных волн. В результате для спектрального объема (6) плазменных волн получаем оценку
(7)
В формуле (7) величина
(8)
зависит от характерной скорости энергичных электронов, генерирующих плазменные волны. Например, при vTs = c/3 и c/4 получаем соответственно ξ ≈ 3 × 102 и ξ ≈ 7 × 102. Если Wp – плотность энергии возбуждаемых плазменных волн, тогда средняя спектральная плотность энергии будет
(9)
В дальнейшем мы будем использовать эту формулу для спектральной плотности энергии плазменных волн и вышеуказанные значения для vTs и ξ при анализе возможности (эффективности) плазменного механизма генерировать радиоизлучение с интенсивностью, достаточной для его регистрации современными радиоастрономическими средствами. При этом будем считать, что средняя фазовая скорость плазменных волн ⟨vph⟩ ≈ vTs.
В неоднородной плазмосфере экзопланеты ленгмюровская частота ωL(l) зависит от координат, поэтому плазменная волна на частоте ωp может усиливаться только на ограниченном пространственном масштабе Lp:
(10)
где – характерный масштаб неоднородности плазмы в области генерации плазменных волн. В предположении получим характерный масштаб усиления плазменной волны, Lp ≈ (1/3)Ln, где kmax приблизительно соответствует минимальной фазовой скорости плазменных волн vph ≈ 3vT, при которой становится существенным затухание Ландау.
Заметим также, что необходимым условием генерации ленгмюровских волн в плазмосфере экзопланеты является превышение инкремента неустойчивости над эффективной частотой столкновений электронов с ионами, γ > vei ≈ 50n/T 3/2. Это условие зависит от распределений концентрации плазмы и температуры в атмосфере планеты, которые, в свою очередь, могут изменяться при изменении активности материнской звезды (интенсивности потока звездного ветра). На рис. 2 представлена область неустойчивости плазменных волн и соответствующее минимальное значение концентрации энергичных электронов, необходимое для генерации плазменных волн, в зависимости от плазменной частоты (от расстояния в плазмосфере планеты) при умеренной интенсивности ветра (рис. 2а) и при интенсивном ветре (рис. 2б).
Рис 2. Изменение области неустойчивости/устойчивости плазменных волн (сплошная линия) и возможной частоты генерируемого радиоизлучения (штриховые линии) с высотой в плазмосфере экзопланеты при умеренном (а) и при интенсивном ветре (б).
В обычных условиях регистрация радиоизлучения радиоастрономическими средствами, расположенными на Земле, возможна на частотах выше плазменной частоты в ионосферном максимуме, fcut ≥ 8 МГц. Это условие ограничивает положение плазменного источника, от которого можно зарегистрировать радиоизлучения на плазменной частоте, областью, близкой к поверхности планеты, R ≤ 10Rp при умеренном ветре (рис. 2а), и областями R ≤ 3Rp и R ≥ 25Rp при интенсивном ветре (рис. 2б). Ситуация кардинально меняется при генерации радиоизлучения на удвоенной плазменной частоте при большой интенсивности звездного ветра (рис. 2б). В этом случае генерация излучения выше частоты fcut возможна во всей плазмосфере.
4. КОНВЕРСИЯ ПЛАЗМЕННЫХ ВОЛН В ЭЛЕКТРОМАГНИТНЫЕ В ПЛАЗМОСФЕРЕ HD189733B
Рассеяние плазменных волн с частотой ωp и волновым вектором на ионах фоновой плазмы с конверсией в электромагнитные волны
(11)
где ωt и – соответственно частота и волновой вектор электромагнитной волны, vTi – тепловая скорость ионов равновесной плазмы, приводит к радиоизлучению на частоте, близкой к плазменной частоте электронов (рэлеевское рассеяние). Нелинейное слияние плазменных волн (комбинационное рассеяние) генерирует радиоизлучение на удвоенной плазменной частоте
(12)
Частота электромагнитной волны ωt связана с волновым вектором соотношением
(13)
В этом разделе мы будем исследовать вклад указанных процессов в электромагнитное излучение в предположении достаточно слабого магнитного поля в плазмосфере экзопланеты, когда электронная гирочастота много меньше плазменной частоты (ω << ωL).
Уравнение переноса для яркостной температуры Tb радиоизлучения имеет вид
(14)
где a – излучательная способность, описывающая спонтанное излучение на плазменной или на удвоенной плазменной частоте, µN – коэффициент излучения (поглощения), обусловленный нелинейными процессами (индуцированным рассеянием, слиянием плазменных волн или распадом электромагнитного излучения на две плазменные волны), коэффициент столкновительного поглощения µc в области генерации излучения и вне ее имеет вид (Гинзбург, 1967)
(15)
В (15) – групповая скорость электромагнитных волн. Решение этого уравнения имеет вид
(16)
где – определяет величину столкновительного поглощения вдоль траектории распространения радиоизлучения, в области генерации и за ее пределами , – определяет величину усиления (ослабления) радиоизлучения вдоль траектории распространения в области генерации за счет нелинейных процессов. Яркостная температура связана с потоком радиоизлучения F на расстоянии Rso от источника соотношением (Железняков, 1997)
(17)
где Ss – площадь источника на линии наблюдения, Rso – расстояние от источника до наблюдателя.
4.1. Мазер эффект при рэлеевском рассеянии
В случае, когда коэффициент индуцированного рассеяния µN = µsc отрицателен и достаточно велик по модулю, |µsc| > µcin, сумма µsc + µin в уравнении (14) становится отрицательной. В результате происходит экспоненциальный рост интенсивности электромагнитного излучения, т. е. реализуется мазер-эффект при рассеянии. Эффективность мазерного усиления электромагнитных волн зависит от оптической толщины источника
(18)
которая при рэлеевском рассеянии и соответствующих плотностях энергии плазменных волн может достигать достаточно больших значений и обеспечивать значительные потоки радиоизлучения, выходящего из источника. В (18) Lp – размер области усиления электромагнитной волны фиксированной частоты, определяемый формулой (10).
В астрофизической плазме при рассеянии на ионах (11) ширина спектра плазменных волн, как правило, больше ширины ядра интегрального уравнения, описывающего индуцированную конверсию. В этом случае рассеяние плазменных волн в электромагнитные носит дифференциальный характер, когда в каждом акте рассеяния частота рассеянной плазменной волны изменяется на величину В этом приближении коэффициенты спонтанного a и индуцированного рассеяния µN в уравнении (14) имеют вид (Цытович, 1977)
(19)
(20)
где mi – масса иона, Wk – спектральная плотность плазменных волн. В (19) и (20) спектр Wk предполагается изотропным, и связанным с плотностью энергии плазменных волн Wp соотношением
Перейдем в уравнении (14) от интегрирования по пространственной координате l вдоль распространения излучения к интегрированию по волновому вектору плазменных волн от kmin до kmax. Принимая во внимание, что = const, получаем следующую связь между dl и dk:
(21)
В результате для оптической толщины индуцированной конверсии плазменных волн в электромагнитные получим
(22)
где – средняя фазовая скорость плазменных волн, w = Wp/nkT – отношение плотности энергии плазменных волн к плотности тепловой энергии плазмы. Отрицательная величина tsc означает возможность экспоненциальной зависимости яркостной температуры электромагнитного излучения от плотности энергии плазменных волн. Оптическая толщина поглощения электромагнитной волны за счет кулоновских столкновений в области неустойчивости плазменных волн равна
(23)
Как было отмечено выше, мазерное усиление электромагнитного излучения в области генерации плазменных волн возникает, когда индуцированная конверсия плазменных волн в электромагнитные превышает столкновительное поглощение электромагнитных волн на масштабе усиления плазменной волны Lp. Это накладывает ограничение на плотность энергии плазменных волн, которая должна превышать определенный порог. Из требования получаем
(24)
Из рис. 3 следует, что условие (24) выполняется уже при небольших плотностях плазменных волн, которые на несколько порядков ниже, чем плотность плазмы, необходимая для генерации потока радиоизлучения в 1 Ян на уровне Земли (см. ниже).
Рис 3. Область реализации мазерного усиления электромагнитных волн и изменение частоты радиоизлучения в зависимости от высоты источника в плазмосфере экзопланеты при умеренной интенсивности ветра (а) и при интенсивном ветре (б). Сплошные линии соответствуют граничным значениям плотности плазменных волн с фазовыми скоростями, равными ⟨vph⟩ ≈ c/3 (нижняя линия) и ⟨vph⟩ ≈ c/4 (верхняя линия).
В случае реализации мазер-эффекта, и , яркостная температура излучения, выходящего из атмосферы планеты, определяется формулой
(25)
где – оптическая толщина столкновительного поглощения на пути от источника до наблюдателя, в которую основной вклад дают поглощение в ионосфере экзопланеты вне области генерации плазменных волн и поглощение в плазме звездного ветра. Из (17), (22) и (25) получаем следующее выражение для потока электромагнитного излучения, наблюдаемого на Земле:
(26)
где – частота электромагнитной волны, Rso – расстояние от экзопланеты до Земли.
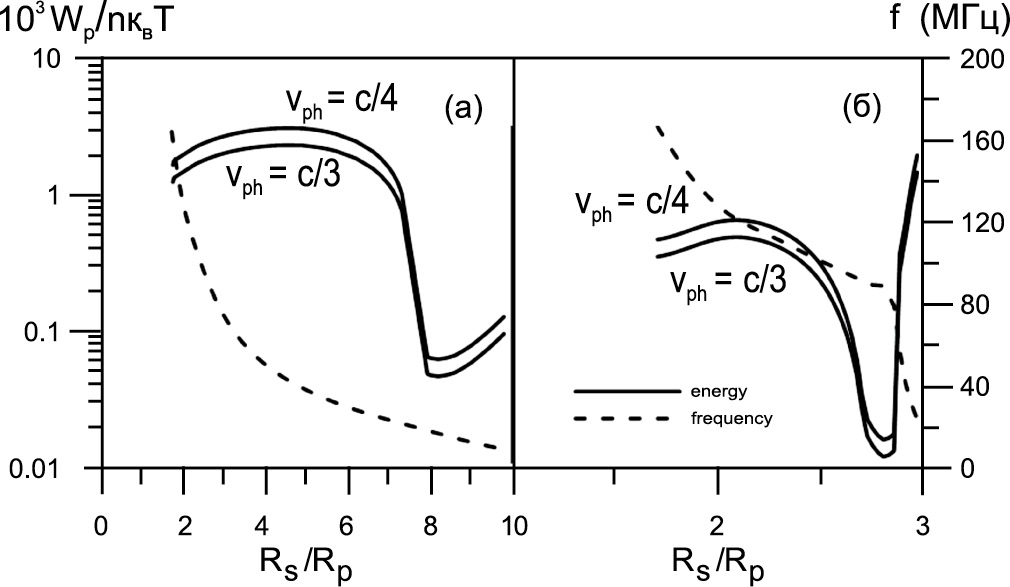
Из рис. 4 следует, что в зависимости от интенсивности звездного ветра требования к плотности энергии плазменных волн существенно меняются. При сильном ветре необходимая плотность приблизительно на порядок ниже, чем при умеренном, что связано с уменьшением протяженности плотной части плазмосферы экзопланеты. На рис. 4б приведена необходимая плотность плазменных волн только в ближайшей к экзопланете области генерации (R ≤ 3Rp). Оценки показывают, что в более далекой (R ≥ 25Rp) области возможной генерации радиоизлучения с частотой выше fcut необходимая относительная плотность энергии существенно выше, Последнее связано в первую очередь с низкой плотностью равновесной плазмы на периферии плазмосферы экзопланеты.
Рис 4. Относительная (по отношению к энергии равновесной плазмы) плотность энергии плазменных волн, необходимая для генерации на Земле потока радиоизлучения в 1 Ян, и его частота в зависимости от высоты источника в плазмосфере при умеренной интенсивности ветра (а) и при интенсивном ветре (б). Верхняя сплошная линия соответствуют плазменным волнам с фазовыми скоростями, равными ⟨vph⟩ ≈ c/3, а нижняя линия – ⟨vph⟩ ≈ c/4.
4.2. Радиоизлучение на удвоенной плазменной частоте
Как было отмечено выше, в результате комбинационного рассеяния плазменных волн (12) генерируется электромагнитное излучение на удвоенной плазменной частоте с волновым вектором (12). Если плазменные волны возбуждаются энергичными электронами со скоростями vTs << c, тогда kt << k, и комбинационное рассеяние происходит на встречных волнах В случае изотропного спектра плазменных волн коэффициенты, входящие в уравнение переноса (14), имеют вид (Железняков, 1997)
(27)
где acp – коэффициент спонтанного рассеяния во вторую гармонику, коэффициент µdc характеризуют поглощение излучения на второй гармонике за счет процесса распада электромагнитной волны второй гармоники на две плазменные волны.
Решение уравнения переноса (14), где коэффициенты a = acp и µN = µdc, в случае оптически толстого источника, имеет вид
(28)
В дальнейшем, для оценок потока радиоизлучения на второй гармонике плазменной частоты от экзопланеты, мы пренебрежем столкновительным поглощением в области генерации. Оценки показывают, что при плотности энергии плазменных волн (реализация больших величин вряд ли возможна) это оправдано на удалении R ≥ 10Rp в случае умеренной интенсивности звездного ветра и на удалении R ≥ 5Rp в случае сильного ветра.
На рис. 5а приведены потоки радиоизлучения на уровне Земли на удвоенной плазменной частоте при плотности энергии плазменных волн Wp = 10–3nkBT для различных скоростей энергичных электронов в случае плазмосферы, взаимодействующей со звездным ветром умеренной (рис. 5а) и большой интенсивности (рис. 5б). При этом предполагалось, что площадь источника радиоизлучения в плазмосфере на расстоянии R, соответствующем плазменной частоте ωL ≈ wt/2, равна максимальной S = 2πR2.
Рис 5. Изменение потока радиоизлучения на уровне Земли в зависимости от высоты источника в случае генерации на удвоенной плазменной частоте при плотности энергии плазменных волн Wp = 10–3nkBT умеренном (а) и интенсивном (б) звездном ветре.
Из рис. 5а следует, что в случае умеренного звездного ветра доступный для наблюдения на Земле поток радиоизлучения резко возрастает, от нескольких миллиянских на частоте ≈30 МГц до нескольких янских на частоте ≈8 МГц. Рисунок 5б показывает, как изменяется частотный спектр радиоизлучения второй гармоники при интенсивном звездном ветре. В этом случае поток радиоизлучения на Земле при аналогичных условиях оказывается значительно меньше, что обусловлено изменением распределения плотности в плазмосфере. Кроме того, рис. 5 иллюстрирует заметное увеличение потока радиоизлучения при возрастании скорости энергичных электронов.
Необходимая плотность энергии плазменных волн для получения на уровне Земли потока радиоизлучения в 1 Ян и частота принимаемого радиоизлучения в зависимости от удаления источника от поверхности экзопланеты в случае умеренного звездного ветра приведены на рис. 6а и в случае сильного ветра – на рис. 6б.
Рис 6. Изменение в зависимости от высоты источника плотности энергии плазменных волн, необходимой для получения на уровне Земли потока радиоизлучения в 1 Ян (сплошная линия), при генерации на удвоенной плазменной частоте и частота принимаемого излучения (штриховая линия) в случае умеренного (а) и интенсивного (б) звездного ветра.
Из рис. 6а следует, что достаточно низкие Wp = 10–3nkBT плотности энергии плазменных волн, необходимые для формирования потоков радиоизлучения, доступных для наблюдения современными радиоастрономическими средствами, соответствуют диапазону частот ft ≤ 20 МГц. Увеличение интенсивности звездного ветра (рис. 6б) приводит к смещению частотного спектра в область более высоких частот, 10–30 МГц, и к возрастанию примерно на порядок величины необходимой плотности энергии плазменных волн.
ЗАКЛЮЧЕНИЕ
Как показало проведенное в данной работе исследование, плазменный механизм генерации радиоизлучения экзопланеты HD189772b может быть реализован в плазмосфере планеты при любой интенсивности звездного ветра от материнской звезды. Однако эффективность плазменного механизма, условия генерации излучения и возможный частотный интервал радиоизлучения, доступного для регистрации на Земле, меняются в зависимости от интенсивности ветра. Это связано с кардинальными изменениями в структуре плазмосферы и существенной зависимостью плазменного механизма от параметров плазмы. В частности, при увеличении уносимой ветром массы звезды с 1011 г с–1 (умеренный звездный ветер) до 2 × 1013 г с–1 (интенсивный звездный ветер) область с плотной плазмой (≥108 г с–1) оказывается сосредоточенной вблизи экзопланеты на расстоянии ≤2.5Rp, за пределами которой происходит резкое уменьшение концентрации плазмы приблизительно на два порядка с формированием “плато”. Эти изменения, в свою очередь, отражаются на эффективности плазменного механизма. Так, при интенсивном звездном ветре плотность энергии плазменных волн, необходимая для генерации одного и того же по величине потока радиоизлучения на первой гармонике приблизительно на порядок ниже, чем при умеренном. В то время как при генерации на удвоенной плазменной частоте требуемая плотность плазменных волн ниже при умеренном ветре. Последнее обусловлено заметным уменьшением частоты кулоновских столкновений за пределами области генерации и уменьшением поглощения радиоизлучения в плазмосфере экзопланеты. Что касается частотного интервала радиоизлучения, доступного для регистрации на Земле современными радиоастрономическими средствами, то с ростом интенсивности звездного ветра при наиболее благоприятных условиях по плотности энергии плазменных волн, Wp ≤ 10–3nkBT , этот интервал смещается в область более высоких частот. Для рассматриваемых в работе значений интенсивности звездного ветра 1011 г с–1 и 2×1013 г с–1 частотный интервал радиоизлучения смещается примерно с 8–20 МГц до 20–100 МГц.
Радиоизлучение, которое можно наблюдать на частотах выше частоты отсечки в земной ионосфере fcut ≈ 8 МГц, формируется в различных областях плазмосферы планеты разными механизмами конверсии (рис. 7). При одинаковых требованиях к энергии плазменных волн конверсия за счет рассеяния на тепловых частицах преобладает в источниках, располагающихся вблизи экзопланеты, на расстоянии от поверхности R ≈ (4–10)Rp в зависимости от интенсивности звездного ветра. В источниках, располагающихся за этой границей, конверсия происходит за счет комбинационного рассеяния.
Рис 7. Относительная плотность энергии плазменных волн, необходимая для получения на уровне Земли потока радиоизлучения в 1 Ян в диапазоне частот выше частоты отсечки fcut ≈ 8 МГц при рэлеевском (сплошная линия) и комбинационном (штриховая линия) рассеянии в случае умеренного (а) и интенсивного (б) звездного ветра.
В данной работе мы рассмотрели только один аспект влияния звездного ветра на плазменный механизм генерации радиоизлучения, доступного для наблюдения, обусловленный перестройкой плазмосферы экзопланеты при изменении интенсивности звездного ветра. В то же время эффективность плазменного механизма также зависит и от энергии ускоренных частиц, возбуждающих плазменные волны. Источником энергии ускоренных частиц может служить звездный ветер, и вариация его интенсивности приведет к вариациям потока генерируемого этими частицами радиоизлучения. Такие вариации можно наблюдать, например, у радиоизлучения Юпитера. Его радиоизлучение в километровом и гектометровом диапазонах демонстрирует корреляцию с солнечным ветром. Однако в декаметровом диапазоне ситуация не такая однозначная. В этом диапазоне существуют две компоненты радиоизлучения. Одна из которых коррелирует с солнечным ветром, но другая, так называемое Ио-связанное излучение, коррелирует с положением спутника Ио на его орбите, а не с солнечным ветром. В последнем случае ускорение излучающих частиц обусловлено взаимодействием спутника Ио с магнитным полем планеты. Аналогичная корреляция наблюдается и с другими спутниками Юпитера, например, с Европой. По аналогии между системами Юпитер-его спутники и системой звезда-экзопланета можно ожидать, что аналогичные механизмы ускорения реализуются и в плазмосфере экзопланеты. Решение задачи об источнике энергии для излучающих частиц требует специального рассмотрения, которое находится за рамками данной работы. Здесь мы только рассмотрели, как меняются наши оценки при изменении энергии излучающих частиц, не анализируя причины этого изменения.
В целом наш анализ показывает, что плазменный механизм генерации способен обеспечить генерацию доступного для регистрации на Земле радиоизлучения экзопланеты при достаточно мягких ограничениях на параметры плазмосферы при любой интенсивности звездного ветра. Изменение силы звездного ветра может проявляться в смещении частотного спектра регистрируемого радиоизлучения, что позволит использовать его как индикатор активности материнской звезды.
Исследование выполнено при финансовой поддержке Российского научного фонда (грант 23-22-00014).
About the authors
В. В. Зайцев
Институт прикладной физики РАН
Email: sh130@ipfran.ru
Russian Federation, Нижний Новгород
В. Е. Шапошников
Институт прикладной физики РАН; НИУ Высшая школа экономики
Author for correspondence.
Email: sh130@ipfran.ru
Нижегородский филиал
Russian Federation, Нижний Новгород; Нижний НовгородМ. Л. Ходаченко
Институт космической исследований ААН
Email: sh130@ipfran.ru
Austria, Грац
М. С. Руменских
Институт лазерной физики СО РАН; Институт земного магнетизма, ионосферы и распространения радиоволн
Email: sh130@ipfran.ru
Russian Federation, Новосибирск; Троицк
References
- Буркхарт, Лоеб (B. Burkhart and A. Loeb), Astrophys. J. 849, L10 (2017).
- Вебер и др. (C. Weber, H. Lammer, I.F. Shaikhislamov, J.M. Chadney, M.L. Khodachenko, J.-M. Grießmeier, H.O. Rucker, C. Vocks, et al.), MNRAS 469, 3505 (2017).
- Вебер и др. (C. Weber, N.V. Erkaev, V.A. Ivanov, P. Odert, J.-M. Grießmeier, L. Fossati, H. Lammer, and H.O. Rucker), MNRAS 480, 3680 (2018).
- Видотто, Донати (A.A. Vidotto and J. Donati), Astron. Astrophys. 602, A39 (2017).
- Ву, Ли (C.S. Wu and L.C. Lee), Astrophys. J. 230, 621 (1979).
- Гинзбург В.Л., Распространение электромагнитных волн в плазме (М.: Наука, 1967).
- Го (J.H. Guo), Astrophys. J. 733, id. 98 (2011).
- Гриссмайер и др. (J.-M. Grießmeier, S. Preussec, M. Khodachenkod, et al.), Planet. Space Sci. 55, 618 (2007а).
- Гриссмайер и др. (J.-M. Grießmeier, P. Zarka, and H. Spreeuw), Astron. Astrophys. 475, 359 (2007б).
- Жардин, Камерон (M. Jardine and A.C. Cameron), Astron. Astrophys. 490, 843 (2008).
- Железняков В.В., Излучение в астрофизической плазме (М.: Янус К, 1997).
- Железняков В.В., Зайцев В.В., Злотник Е.Я., Письма в Астрон. журн. 38, 660 (2012) [V.V. Zeleznyakov et al., Astron. Lett. 38, 589 (2012)].
- Зайцев, Степанов (V.V. Zaitsev and A.V. Stepanov), Astron. Astrophys. 45, 135 (1975).
- Зайцев, Степанов (V.V. Zaitsev and A.V. Stepanov), Solar Phys., 88, 297 (1983).
- Зайцев В.В., Степанов А.В., Изв. ВУЗов Радиофизика 59, 966 (2016).
- Зайцев, Шапошников (V.V. Zaitsev and V.E Shaposhnikov), MNRAS 513, 4082 (2022).
- Зарка (P. Zarka), Planet. Space Sci. 55, 598 (2007).
- Мелроуз и др. (D.B. Melrose, G.A. Dulk, and R.G. Hewitt), J. Geophys. Res. 89, 897 (1984).
- Наранг и др. (M. Narang, P. Manoj, C.H. Ishwara Chandra, J. Lazio, Th. Henning, M. Tamura, B, Mathew, N. Ujwal, and P. Mandal), MNRAS 500, 4818 (2021).
- Наранг и др. (M. Narang, A.V. Oza, K. Hakim, P. Manoj, R.K. Banyal, and D.P. Thorngren), MNRAS 165, id. 1 (2023).
- Николс, Милан (J.D. Nichols and S.E. Milan), MNRAS 461, 2353 (2016).
- Руменских и др. (M.S. Rumenskikh, I.F. Shaikhislamov, M.L. Khodachenko, H. Lammer, I.B. Miroshnichenko, A.G. Berezutsky, and L. Fossati), Astrophys. J. 927, id. 238 (2022).
- Селхорст и др. (C. Selhorst, C.L. Barbosa, P.J.A. Simões, A.A. Vidotto, and A. Valio), Astrophys. J. 895, id. 62 (2020).
- Тернпенни и др. (S. Turnpenney, J.D. Nichols, G.A. Wynn, and M.R. Burleigh), Astrophys. J. 854, id. 72 (2018).
- Тернпенни и др. (S. Turnpenney, J.D. Nichols, G.A. Wynn, and X. Jia), MNRAS 494, 5044 (2020).
- Цытович В.Н., Теория турбулентной плазмы (М.: Атомиздат, 1971).
- Шапошников и др. (V.E. Shaposhnikov, G.V. Litvinenko, V.V. Zaitsev, V.V. Zakharenko, and A.A. Konovalenko), Astron. Astrophys. 645, A31 (2021).
Supplementary files










