Метод периодических главных компонент динамического спектра радиопульсаров и фарадеевское вращение девяти составляющих импульса PSR B0329+54
- Авторы: Кочаровский В.В.1, Вдовин В.В.1, Гаврилов А.С.1, Кочаровская Е.Р.1, Логвиненко С.В.2, Лоскутов Е.М.2, Малофеев В.М.1
-
Учреждения:
- Институт прикладной физики им. А.В. Гапонова-Грехова РАН
- Пущинская радиоастрономическая обсерватория Астрокосмического центра Физического института им. П.Н. Лебедева РАН
- Выпуск: Том 50, № 2 (2024)
- Страницы: 142-162
- Раздел: Статьи
- URL: https://journals.rcsi.science/0320-0108/article/view/266363
- DOI: https://doi.org/10.31857/S0320010824020029
- EDN: https://elibrary.ru/OJPHHA
- ID: 266363
Цитировать
Полный текст
Аннотация
Развит метод периодических главных компонент для сигналов с квазипериодическим динамическим спектром, свойственным радиопульсарам. Метод основан на анализе собственных векторов и значений матрицы частотно-временных корреляций сигнала, усредненной по многим периодам обращения пульсара. На примере наблюдений PSR В0329+54 радиотелескопом ПРАО АКЦ ФИАН вблизи частоты 111 МГц в полосе 2.5 МГц показано, что даже для коротких интервалов данных (несколько минут) развитый метод позволяет выделить до девяти составляющих импульса излучения пульсара, оценить степень корреляции между ними и для каждой составляющей найти период модуляции фарадеевского типа, а также ее относительную фазу и скорость частотно-временного чирпа, т.е. позволяет судить о структуре источника излучения.
Полный текст
ВВЕДЕНИЕ
*Осуществляемый на ряде крупных радиотелескопов (ЛОФАР, Аресибо, Эффелсберг, Грин Бэнк, Паркс, Пущино и др.) прием импульсов радиопульсаров в диапазоне почти от 30 МГц до 10 ГГц с использованием частотных каналов шириной от единиц кГц до сотен МГц при временном разрешении от десятков до долей микросекунды позволяет приступить к детальному исследованию спектрально-корреляционных особенностей динамических спектров (спектрограмм) последовательностей этих импульсов. До сих пор такие особенности систематически не изучались, в том числе вследствие слабой адаптации надлежащих математических методов и программных средств их реализации, как это ясно, скажем, из работ (Уолл, Дженкинс, 2012; Бялковский и др., 2018). Насколько нам известно, анализ спектрально-корреляционных характеристик динамического спектра пульсаров еще не обеспечил получение информации, пригодной для выяснения свойств источника их излучения.
Большее внимание уделялось временным корреляционным свойствам профиля и поляризации импульсов при их широкополосном наблюдении, без разделения на отдельные узкополосные частотные каналы (Ранкин и др., 2003; Митра и др., 2007; Хассал и др., 2012; Хассал и др., 2013; Ульянов и др., 2013; Или, 2018; Бринкман и др., 2019). На этом пути для разных пульсаров удавалось выделить микроструктуру импульсов на масштабах от единиц до сотен микросекунд. Так, еще в работе (Кардашев и др., 1978) для пульсара В0329+54 (J0332+5434) сообщалось об обнаружении на частотах вблизи 102.5 МГц микроструктуры с периодом появления около 340 мкс, а в работе (Кузьмин и др., 2003) был измерен характерный масштаб этой микроструктуры 6.1 ± 1 мкс. Такого рода корреляционный анализ дает определенную информацию о структуре профиля импульса, позволяя, например, выделить девять компонент излучения радиопульсара PSR B0329+54 на частотах в сотни МГц (Гангадхара, Гупта, 2001; Кейт и др., 2011; Хассал и др., 2012). Однако этот анализ требует очень длинных временных рядов наблюдений и не вскрывает важные особенности выявляемых нестационарных компонент, связанные с их динамическим спектром.
В настоящей работе необходимые метод и алгоритмы спектрально-временного корреляционного анализа развиты и применены к данным наблюдений радиопульсара PSR B0329+54 на Пущинской радиоастрономической обсерватории ПРАО АКЦ ФИАН вблизи частоты 111 МГц в полосе почти 2.5 МГц. Непосредственной целью работы является выяснение особенностей типа фарадеевской модуляции (Сулейманова и др., 1983, 1988; Сулейманова, 1989; Сулейманова, Пугачев, 1998; Или, 2018; Соби и др., 2021) разных корреляционных составляющих спектра его импульса. Последние, вообще говоря, отличаются от компонент профиля импульса и стали доступны благодаря разработанному методу периодических главных компонент динамического спектра частично поляризованного излучения. Этот метод в определенной мере позволяет также отделить собственные спектрально-динамические свойства радиоимпульса пульсара от модифицирующих его шумов измерительной аппаратуры и “случайных” эффектов распространения в межзвездной среде и ионосфере Земли. Как будет показано в отдельной работе, на основе полученных результатов можно охарактеризовать геометрию источника, магнитное поле и плазму в его окрестности, так или иначе детализируя механизм генерации выделенного импульса путем установления корреляций и систематических временных сдвигов между его различными составляющими или частями его динамического спектра.
Выделение физически значимых спектрально-корреляционных паттернов (главных компонент) в динамических спектрах импульсов радиопульсаров особенно важно в отсутствие обоснованного механизма генерации наблюдаемого частично поляризованного излучения и сколько-нибудь достоверной информации о плазме и турбулентности в магнитосфере нейтронной звезды, которые позволили бы конкретизировать модель формирования этих импульсов (Бескин, 2018; Мелроуз и др., 2021; Филиппов, Крамер, 2022). Актуальными представляются сравнительный анализ динамических спектров отдельных мощных импульсов и статистическое исследование найденных спектрально-корреляционных паттернов, полученных для серии однотипных импульсов как одного, так и различных радиопульсаров. Успешная демонстрация развитого в работе метода корреляционного анализа динамического спектра импульсного радиоизлучения с дальнейшим применением к данным различных радиотелескопов в разных диапазонах частот может оказаться весьма полезной для решения более чем полувековой проблемы происхождения наблюдаемого излучения пульсаров.
Конкретно для выявления корреляционных особенностей динамических спектров излучения пульсаров нами разработан и последовательно применен подход периодических частотно-временных эмпирических ортогональных функций (ЧВЭОФ), учитывающий повторяемость сигнала, пусть нерегулярную, с хорошо известным периодом (Типпет, Л′Эре, 2020; Мухин и др., 2021; Селезнев, Мухин, 2023; Кочаровская и др., 2018). Для демонстрации такого подхода использовались три короткие серии наблюдений эпох 2018–2021 гг. для радиопульсара PSR B0329+54 длительностью около 300 с каждая. Было определено положение всех найденных составляющих (до девяти) на среднем профиле радиоимпульса, и выяснены характеристики и спектральные свойства их модуляции фарадеевского типа, обычно объясняемой вращением плоскости линейной поляризации широкополосного излучения (ср. Рамачандран и др., 2004; Ноутсос и др., 2009; Ванг и др., 2011; Даи и др., 2015; Или и др., 2019; Соби и др., 2021). Часть этих составляющих не связана с особенностями профиля импульса на выбранной частоте наблюдений 111 МГц или сдвинута по спектру относительно известных компонент этого профиля на других частотах наблюдений. При анализе данных в полной мере учитывался джиттер импульсов (их дрожание от периода к периоду повторения), однако использовалось то упрощающее обстоятельство, что известные наблюдения всех компонент импульса для данного пульсара не выявили никакого их систематического дрейфа по отношению к среднему профилю импульса (у некоторых пульсаров такой дрейф известен (Бриксен, 2002; Ранкин, 2003; Хассал и др., 2013; Примак, 2022), и для его исследования применяемый метод требует адаптации).
Период следования импульсов пульсара В0329+54 (равный p = 0.7145197 с, согласно австралийскому каталогу пульсаров ATNF Pulsar Catalogue (Манчестер и др., 2005; https://www.atnf.csiro.au/people/pulsar/psrcat/) был установлен непосредственно из данных приближенно как P ≈ 0.7145 с, мера дисперсии (равная DM = 26.7641 пк см–3, согласно тому же каталогу) — как DM ≈ 26.76 пк см–3 с относительной погрешностью порядка 0.02%, а средняя мера вращения (равная RM = –63.7 рад м–2, согласно тому же каталогу) — как |RM| ≈ 63.6 рад м–2 с относительной погрешностью порядка 1% (см. подробнее раздел 5).
Указанные характеристики радиоимпульса и некоторых его составляющих согласуются с известными из наблюдений на других частотах и представлены в разделе 4 после краткого изложения данных наблюдений и основ разработанного метода (раздел 2) и пояснения технической процедуры его применения (раздел 3). Существенной является реализованная возможность весьма точного определения всех этих характеристик на основе крайне непродолжительных наблюдений, составляющих около 450 периодов вращения пульсара, т.е. несколько минут. Новые результаты, дополняющие анализ наблюдений на других радиотелескопах, относятся к характеристикам и спектральным свойствам модуляции фарадеевского типа найденных составляющих импульса, а именно, к нахождению ее частотного периода (раздел 5), относительной фазы (раздел 6) и частотно-временного чирпа, т.е. выраженного смещения деталей динамического спектра составляющих на плоскости “частотавремя” (раздел 7). Обсуждение ряда открытых вопросов и общие выводы даны в заключительном разделе.
АНАЛИЗ КОРРЕЛЯЦИЙ В ДИНАМИЧЕСКОМ СПЕКТРЕ МЕТОДОМ ПЕРИОДИЧЕСКИХ ГЛАВНЫХ КОМПОНЕНТ
Антенна радиотелескопа БСА ПРАО АКЦ ФИАН растянута вдоль поверхности земли, имеет узкую диаграмму направленности шириной порядка одного градуса и принимает одну линейно поляризованную компоненту излучения (Шитов и др., 1988; Сулейманова, 1989; Малофеев и др., 2012, 2022; Тюльбашев и др., 2016). С учетом обращения Земли вокруг своей оси за день получается лишь одна серия импульсов пульсара PSR B0329+54 длительностью около 5 мин, содержащая около 450 периодов его вращения — кадров N = 1, ..., 450. С изменением времени τN от кадра к кадру обычно происходит значительное изменение изрезанного профиля интенсивности принимаемого широкополосного излучения (в полосе почти 2.5 МГц на несущей частоте около 111 МГц), регистрируемого каждую 0.2 мкс. Для каждого кадра N имеется богатая информация о динамическом спектре излучения, т.е. о спектрограмме — спектральной мощности импульса, записываемой примерно в 500 каналов по частоте с шагом около 4.88 кГц и с временным шагом δτ ≈ 0.20496 мс, отвечающим повороту пульсара на ≈0.1° (см. рис. 1 и следующий раздел). Наблюдаемые импульсы занимают по длительности около 1/6 части периода вращения пульсара P ≈ 0.7145 с, включая почти 600 отсчетов по времени.
В настоящей работе с использованием трех таких небольших по объему (450×500×600 точек) серий наблюдений 2018–2021 гг. продемонстрирована возможность получения информации о составляющих импульса PSR B0329+54 и характеристиках их модуляции фарадеевского типа на основе разработанного нами метода периодических главных компонент динамического спектра радиоизлучения. Без явного учета периодичности метод главных компонент широко применяется в математической статистике, прежде всего, в анализе временных рядов различных сигналов (см., например, Джоллифф, 1986; Уолл, Дженкинс, 2012; Мухин и др., 2015). Предоставляя возможность эффективного анализа корреляций, метод состоит в нахождении собственных векторов корреляционной матрицы ковариаций сигнала и его разложении по полученным эмпирическим ортогональным функциям, определяемым этими векторами.
Качественное изложение метода периодических главных компонент можно найти в работах (Типпет, Л′Эре, 2020; Мухин и др., 2021; Селезнев, Мухин, 2023), а соответствующие явные формулы — в работе (Кочаровская и др., 2018), посвященной пространственно-временной динамике поля в лазере: в приведенных там выражениях необходимо лишь заменить пространственную координату (в резонаторе лазера) на частоту рассматриваемых здесь спектральных гармоник импульса (в полосе приемника радиотелескопа), а время обхода резонатора светом — на период обращения пульсара. Не повторяя формул указанной статьи, подчеркнем основную особенность применяемого метода периодических главных компонент, обусловленную строгой периодичностью вращения пульсара и обеспечивающую эффективность нахождения и использования периодических ЧВЭОФ. Оказывается, что статистически значимые структура импульса и его спектрально-корреляционные свойства сводятся к суперпозиции небольшого числа, скажем, пары десятков этих ЧВЭОФ, как паттернов динамического спектра, если надлежащим образом составленную матрицу ковариаций сигнала усреднить по большому числу периодов обращения пульсара. При этом не только подавляются некогерентные шумы различного происхождения, но и нивелируются быстротечные флуктуации источника излучения в магнитосфере пульсара, хотя сохраняются и выявляются повторяющиеся от периода к периоду свойства излучения этого источника.
Оптимальным является включение в анализ динамического спектра всегда одной и той же части периода, а именно, ограниченного временного окна (кадра), содержащего значимую информацию об импульсе. Как было указано, для PSR B0329+54 длительность этого окна (кадра) составляет P/6 ≈ 0.12 с, т.е. содержит около 600 отсчетов в моменты tk = kδt, где k = –300, ..., 300, а каждый отсчет состоит из примерно 500 значений интенсивности сигнала S(vj, tk) в имеющихся спектральных каналах на частотах vj, где j = 1, ..., 500. Согласно алгоритму разработанного метода, располагая эти отсчеты последовательно, получаем вектор длиной 500×600, а строя транспонированный к нему вектор и перемножая матрично эти вектора после вычитания средних значений a0 = ⟨(Svj, tk)⟩, имеем матрицу ковариаций размером 300000×300000, которую и следует усреднить по всем включенным в наблюдения периодам N (всего 450 в отдельной серии или 1350 для трех серий вместе). Суперпозиция одинаково нормированных собственных векторов ai(vj, tk) (ЧВЭОФ) получающейся корреляционной матрицы размером 300 000 ×300 000 (умноженных на зависящие от времени кадра τN коэффициенты Yi (τN ), дополненная вычтенными ранее средними значениями a0(vj, tk) и символически записанная в виде
(1)
дает интересующий нас корреляционно-обусловленный динамический спектр. Величины собственных чисел yi этих векторов ai (i = 1,2,…,…) характеризуют их средний по времени относительный вес в данной суперпозиции главных компонент (Джоллифф, 1986). Во многих случаях, включая исследуемый ниже, число значимых векторов примерно равно корню квадратному из числа включенных в анализ периодов вращения пульсара (кадров), т.е. порядка 20 в нашем случае. Точный вес yi отдельных ЧВЭОФ в полной суперпозиции зависит от предварительной обработки данных; в проведенных расчетах, использующих представленную в следующем разделе процедуру подготовки данных, для указанных первых 20 ЧВЭОФ суммарный вес составлял около 30% от общего веса всех ненулевых компонент.
Отметим, что можно построить аналогичную матрицу ковариаций значений в разных кадрах (окнах), усредненную как по частоте, так и по времени внутри окна. Это будет матрица размером 450×450 с собственными векторами, элементы которых равны введенным выше коэффициентам разложения Yi(τN) (i = 1,2,…,…), а ее нетривиальные собственные значения будут совпадать с ненулевыми собственными значениями yi указанной выше большой матрицы ковариаций (остальные собственные значения последней равны нулю; в отличие от yi, значения Yi(τN) могут быть отрицательными). Для каждого ненулевого i -го собственного значения двух матриц имеем два соответствующих собственных вектора Yi(τN) и , указанное выше произведение которых при надлежащей нормировке описывает вклад i -й ЧВЭОФ в динамический спектр радиоимпульса, варьирующийся от кадра к кадру.
ОБРАБОТКА ДАННЫХ НАБЛЮДЕНИЙ И ЧИСЛЕННАЯ РЕАЛИЗАЦИИ МЕТОДА
Перед изложением полученных результатов укажем важные детали реализации разработанного метода, обусловленные характером имеющихся наблюдений.
Во-первых, для надлежащего учета огромного разброса значений спектральной интенсивности сигнала динамического спектра как функции частоты v и времени t в каждом кадре в качестве данных наблюдений удобно использовать логарифм исходной величины: s = ln(S+C). Здесь постоянная C находится эмпирически из условия получения наибольшего числа наиболее четких ЧВЭОФ и для имеющихся данных наблюдений примерно равна 1% от их среднего значения по частоте и профилю импульса: C ≈ 0.01a0 = 0.01⟨S(vj,tk)⟩. Такой выбор, с одной стороны, исключает нежелательный вклад отрицательных, но больших по абсолютной величине значений логарифма при случайной регистрации шума радиотелескопа на очень низком уровне, а с другой стороны, позволяет выделить и исследовать весьма слабые составляющие импульса пульсара. Принимая это, в приведенном выше разложении сигнала по ЧВЭОФ и всюду ниже (кроме рис. 4) будем подразумевать сделанной замену S(vj,tk) ➝ s(vj,tk), в частности, считать a0 = ⟨s(vj,tk)⟩.
Во-вторых, особое внимание следует уделять согласованию строго периодического, благодаря вращению пульсара с периодом P ≈ 0.7145 с, деления ряда данных наблюдений метками начала кадров τN, где разность τN - τN-1 = P, с величиной дискретного шага отсчетов по времени, получившейся равной δτ ≈ 0.20496 мкс, при заданном числе (около 600) таких отсчетов на каждом периоде (кадре). Это согласование сделано в каждой серии наблюдений 08.07.2018, 03.09.2019, 03.04.2021 для всех кадров, т.е. временных окон N = 1 ,..., 450, путем линейной аппроксимации положений максимумов основной компоненты импульса для тех нескольких процентов окон, в которых эти максимумы выделены наиболее четко. В результате в каждом из 3×450 окон начало отсчета дискретных точек по времени tk выбрано согласно ожидаемому усредненному положению максимума излучения, который фактически определяет положение центра наиболее мощной (III-й, см. ниже) составляющей импульса. Согласование временной сетки и центров кадров удалось сделать с точностью 0.002% при длине данных порядка 300 с, что для каждого окна соответствует возможному смещению его центра относительно указанного максимума излучения на величину ≲3 мс (по-видимому, эта величина задается естественным джиттером импульсов, а не погрешностью измерений). Важно, что проведенная процедура и нижеследующие выводы не требуют точного знания периода пульсара P, а указанный шаг отсчетов по времени δτ находится из согласования с величиной периода P ≈ 0.7145 с в пределах погрешности такта считываания данных с приемника радиотелескопа.
В-третьих, уточненный шаг временной сетки помог правильно скомпенсировать дисперсионное запаздывание в динамических спектрах наблюдений. С использованием фактических данных s(v,t) на основе критерия отсутствия искажений типа запаздывания в получаемых ЧВЭОФ удалось найти среднюю по динамическому спектру меру дисперсии DM = 26.76 пк см–3, которая с точностью 0.07% совпала с известной для PSR B0329+54 величиной, определенной из наблюдений гораздо большей длительности (Манчестер и др., 2005; https://www.atnf.csiro.au/people/pulsar/psrcat/). Забегая вперед, следует отметить, что при увеличении массива данных о динамическом спектре в достаточно широком диапазоне частот на более длительном промежутке времени развитый метод периодических главных компонент, эффективно подавляющий не связанные с импульсом шумы при нахождении указанных ЧВЭОФ, может позволить найти отличие частотной зависимости временной задержки радиоимпульса в плазме от закона обратного квадрата частоты, как это ожидается при наличии магнитного поля на значительном участке распространения сигнала в плазме (Филлипс, Вольщан, 1992; Бриксен и др., 2002; Хассал и др., 2012; Доннер и др., 2019; Кулкарни, 2020). Заметим также, что на этапах определения меры дисперсии DM и согласованного нахождения величин P и δτ, а также для уменьшения роли шума оказалось полезным размывать исходные данные при помощи гауссова фильтра с размером ядра по пикселям частоты и времени около 5×5 (или даже больше при поиске центров отдельных кадров).
Рис. 1. Развертка с шагом 10δτ ≈ 2.0496 мс, отвечающим повороту пульсара на ≈ 1°, профиля интенсивности излучения PSR B0329+54 (усл. ед.), принимаемого в диапазоне 109.6–112 МГц, для серии последовательных кадров N = 1, ..., 450 импульса пульсара после компенсации дисперсионного запаздывания с использованием найденной меры дисперсии = 26.76 пк/см³.
Рис. 2. Первая, наиболее весомая ЧВЭОФ в разложении динамического спектра PSR B0329+54 методом периодических главных компонент: (a) — относительный вклад Y₁ (τN) на последовательности кадров (оборотов пульсара) N = 1, ..., 450; (b) — частотно-временная форма с признаками модуляции фарадеевского типа.
В-четвертых, для определенности результаты анализа наблюдаемых динамических спектров приведены ниже при указанной обработке всех трех серий наблюдений как одного массива данных (на рис. 1, 2а и 3а одна серия фигурирует лишь для наглядности). При этом из-за принятой процедуры отбраковки кадров по превышению уровня сигнала над уровнем шумов вклад более зашумленной серии 03.09.2019 в статистические распределения (гистограммы) был заметно ниже вкладов двух других серий 08.07.2018 и 03.04.2021. Обработка трех серий по отдельности дает качественно те же результаты для большинства характеристик полного динамического спектра и каждой из обнаруженных (до девяти) составляющих импульса PSR B0329+54 (правда, немного осложняется чуть бóльшим уровнем шума, особенно мешающего в серии 03.09.2019). Исключение отмечено лишь для нетипичных “двугорбых” гистограмм некоторых параметров модуляции излучения, где относительные веса “горбов” заметно отличались в разных сериях наблюдений для двух-трех составляющих, наиболее близких к самой интенсивной составляющей III, если учитывались кадры с близкими уровнями полезного сигнала и шума. Примером служит изображенное на рис. 8 в разделе 5 “двугорбое” распределение периода модуляции фарадеевского типа для составляющей IV, в которой левый, меньший “горб” в основном набирается из данных серии 03.09.2019 (хотя выборка достоверных кадров еще недостаточно велика для статистически обоснованных суждений). С учетом сказанного можно считать, что все три серии наблюдений 2018–2021 гг. относятся к одному (а не разным — нормальному и аномальному, ср. Бялковский и др., 2018; Бринкман и др., 2019; Сулейманова, 1989) режиму излучения PSR B0329+54, изменение параметров которого за три года оказалось незначительным, не проявившимся в исследованных наблюдениях.
Рис. 3. Третья ЧВЭОФ в разложении динамического спектра PSR B0329+54: (a) — относительный вклад Y₃ (τN) (треугольники, черная ломаная) в сравнении с вкладом Y₁ (τN) первой ЧВЭОФ (кружки, серая ломаная) на последовательности кадров N = 1, ..., 450; (b) — частотно-временная форма с признаками модуляции фарадеевского типа, включающая в основном “верхнюю” составляющую импульса V при временах около 26 мс и отчасти “нижние” составляющие I и VI при временах около –33 мс и –10 мс, а также следы “центральной” составляющей III при t ≈ 0.
Компьютерная реализация метода основана на стандартных библиотеках языка программирования Python и обеспечивает предварительную обработку данных, валидацию коэффициента дисперсии и временной шкалы, эффективный расчет ЧВЭОФ для данных в десятки Гб. Эта методика применима для работы с данными в десятки раз большими по объему, однако при анализе наблюдений других пульсаров может потребоваться “ручная” настройка ряда блоков программы. Отдельно отметим, что численная реализация не требует явного вычисления матрицы ковариаций размером порядка 300000×300000 , поскольку алгоритмическая реализация метода главных компонент допускает последовательное нахождение ЧВЭОФ, начиная с наиболее весомых, интересующих нас прежде всего. Выбор точного числа значимых ЧВЭОФ в методе главных компонент обычно неоднозначен и во многом определяется эмпирически. В нашем случае адекватность очистки сигнала от шума в отдельных окнах (кадрах) обычно требует учета около 15 ЧВЭОФ (см. рис. 4 ниже), что хорошо согласуется с известным правилом Кайзера (Кайзер, 1960). Наилучшая видимость в кадре отдельных составляющих импульса достигалась при учете около 20 первых ЧВЭОФ.
Рис. 4. Аппроксимация интенсивности импульса PSR B0329+54 (усл. ед.), просуммированной по 500 каналам в полосе шириной почти 2.5 МГц на несущей частоте 111 МГц, для N-го временного окна (кадра) длительностью 50 мс с шагом δτ ≈ 2.0496 мс, отвечающим повороту пульсара на ≈ 1°: (a) — исходные данные ⟨∑ⱼS(vⱼ,tₖ)⟩ (после первичной обработки согласно разделу 3, но без перехода к логарифму s = ln(S + C) ); (с) — усредненный по частоте и всем сериям наблюдений профиль импульса ⟨∑ⱼS(vⱼ,tₖ)⟩; (б)–(е) — модификация этого профиля путем дополнительного включения ряда первых ЧВЭОФ с наибольшими весами — одной, двух, трех и четырнадцати соответственно.
Количество значимых ЧВЭОФ и их частотно-временная форма по существу не менялись при различной предварительной обработке данных, в том числе при удалении более зашумленных кадров с сохранением только около 100 штук или, наоборот, при объединении всех трех серий в одной обработке с доведением числа кадров до 1000. Впрочем, получаемые распределения (гистограммы) различных параметров тех или иных составляющих импульса количественно зависят от характера обработки данных и отношения уровня полезного сигнала к шуму, используемого для отбора кадров, включаемых в исследуемое статистическое распределение. Соответствующая оптимизация с целью получения качественно надежных и наиболее точных результатов достигалась нами эмпирически; ее описание выходит за рамки настоящей работы.
Для иллюстрации подобного расчета на рис. 2 приведены относительный вес Y1(τN) в каждом кадре и независящая от кадра форма a1(vj,tk) первой ЧВЭОФ, входящей в указанное в конце раздела 2 разложение со средним весом y1, сравнимым с общим весом всех остальных 19 значимых ЧВЭОФ. Отметим, что на данном и последующих рисунках шкала оттенков серого является логарифмической. Как будет показано в следующем разделе, первая ЧВЭОФ отвечает III-й, наиболее интенсивной составляющей импульса, почти на два порядка превышая уровень шума, и затмевает ближайшие к ней составляющие, выделение и определение характеристик которых требует привлечения следующих ЧВЭОФ. Для полноты картины приведем относительные веса первых 14 ЧВЭОФ, нормированные на вес первой из них и полученные при указанной обработке данных путем сглаживания динамического спектра гауссовым фильтром размером 5×5 пикселей: yi/y1= 1, 0.28, 0.11, 0.09, 0.05, 0.04, 0.04, 0.035, 0.027, 0.024, 0.021, 0.017, 0.016, 0.016.
ВЫЯВЛЕНИЕ ДЕВЯТИ СОСТАВЛЯЮЩИХ ИМПУЛЬСА PSR B0329+54
Составляющие импульса, которые условно можно назвать корреляционными, определялись путем последовательного сравнительного анализа 15 построенных функций a0, ..., a14 на плоскости “частота–время” (v,t). Привлечение высших ЧВЭОФ не только не приводило к сколько-нибудь надежному выделению новых составляющих, но и не усиливало достоверность наличия прежних. В итоге корреляционный анализ динамического спектра позволил указать девять составляющих импульса PSR B0329+54 со следующим расположением их центров на усредненном профиле:
- – условный номер m составляющей импульса I, VI, VII, II, VIII, III, IV, IX, V;
- – относительное расположение (в градусах) -17,-5,-3.3,-2.5,-1.8,0.0,1.2,2.5,13;
- – относительное расположение (в мс) -33,-10,-6.6,-5,-3.5,0.0,2.5,5,26.
Угловое расстояние между крайними лепестками диаграммы направленности радиоизлучения данного пульсара составляет ~30° и примерно соответствует измеренному на других частотах (см., например, Гангадхара, Гупта, 2001; Хассал и др., 2012). Как и ожидалось, согласно сравнительному анализу многочастотных наблюдений профиля импульса PSR B0329+54 (Хассал и др., 2012), около частоты 111 МГц вполне изолированными являются только четыре компоненты этого профиля, отвечающие четырем найденным нами составляющим импульса, обозначенным выше как I, III, V, VI. Важно не смешивать обозначения компонент профиля импульса в указанных работах и обозначения вышеуказанных составляющих динамического спектра импульса. Заметим, что выделение последних, в отличие от первых, было бы возможно, даже если уровень некогерентных шумов, не связанных с импульсом, был сравним или превышал уровень сигнала, в том числе шумоподобного, но периодического по природе и содержащего выраженные корреляционные детали динамического спектра.
Самая интенсивная составляющая III, видимая на рис. 2б, так или иначе присутствует на всех исследованных ЧВЭОФ. Остальные составляющие хорошо заметны всего на нескольких ЧВЭОФ, а составляющие IV и VIII (наиболее близкие к III-й) — только на двух-трех ЧВЭОФ. Подтверждение достоверности последних, как и надежное установление свойств составляющих II, VII, IX (включая разделение тесно примыкающих друг к другу соседей VII, II, VIII), которые также в значительной мере затмеваются “центральной” составляющей III, требует выборочного сложения части включающих их ЧВЭОФ или анализа суперпозиции всех значимых 15–20 ЧВЭОФ. Последнее особенно ценно для тех немногих кадров, на которых наиболее слабо представлена эта III-я составляющая, а следовательно, и определяемые ею первые две ЧВЭОФ a1, a2. Подчеркнем, что идентификация отдельной составляющей в импульсе не обязательно требует одновременного присутствия в той же его части какого-либо локального экстремума или особенности, поскольку корреляционные детали динамического спектра излучения могут и не проявляться на профиле его интенсивности.
Анализ указанных вопросов будет представлен в отдельной работе. Тем не менее качественное различие свойств модуляции фарадеевского типа для найденных девяти составляющих (см. следующие разделы) не оставляет сомнений в том, что они обусловлены реальными особенностями источника радиоизлучения, а не являются артефактами развитого метода периодических главных компонент и, в частности, присущей ему ортогональности ЧВЭОФ на плоскости (v,t) как собственных векторов матрицы ковариаций принимаемого дискретного динамического спектра сигнала.
Составляющие импульса I, V, VI, далеко отстоящие от III-й, хорошо представлены на нескольких ЧВЭОФ, начиная с третьего , изображенного на рис. 3b, где доминирует “верхняя”, V-я составляющая. Она хорошо согласуется с локальным максимумом интенсивности импульса на тех кадрах, где, как показано на рис. 3a, ее уровень выше, чем уровень III-й составляющей. Аналогичная ситуация имеет место и для ЧВЭОФ a6, где доминируют I-я составляющая, тогда как VI-я составляющая достаточно четко проявляется уже на ЧВЭОФ a3, а также a6, a8 и a11.
Пример указанного сложения как части ЧВЭОФ от a1 до a3, так и всех значимых ЧВЭОФ 1–14, дан на рис. 4 для специально выбранного кадра N с умеренной интенсивностью на месте расположения “центральной”, III-й составляющей импульса (см. рис. 4a; именно поэтому амплитуда графика на рис. 4б на треть выше, чем для остальных рис. 4б–е). Для простоты проведено суммирование по всем спектральным каналам приемника и используется исходная спектральная мощность сигнала S без дополнительного логарифмирования. Как видим, при последовательном добавлении к среднему уровню зашумленного сигнала (график 4б) очищенных от шумов 1-й, 2-й и 3-й ЧВЭОФ происходит подчеркивание наиболее часто регистрируемых и сильных компонент, отвечающих составляющим I, III, V, VI. Однако при добавлении к трем первым ЧВЭОФ 1–3, имеющим вес 23.9%, еще 11 следующих ЧВЭОФ, общий вес которых составляет всего 6.6%, профиль импульса существенно деформируется (особенно в правом плече, см. рис. 4е) и неплохо аппроксимирует исходную запись рис. 4a с практически отсутствующим максимумом на месте расположения составляющей V и расщепленной вершиной, формируемой близлежащими к III составляющими импульса. Подобный анализ вклада различных составляющих в профиль импульса для разных кадров оказывается еще более информативным при использовании развернутого динамического спектра (без суммирования по частотам) в ходе добавления в суперпозицию ЧВЭОФ членов со все бо́льшими номерами или только преимущественно тех ЧВЭОФ, в которых проявляется исследуемая составляющая m, как это делается в следующих разделах 5–7.
Рис. 5. Вторая (a) a₂, четвертая (б) a₄ и пятая (в) a₅ ЧВЭОФ в разложении динамического спектра PSR B0329+54, демонстрирующие асимметрию и слабую корреляционную связь основных составляющих импульса: “центральной” III-й при t ≈ 0 (с ее тонкой структурой) и “удаленных” V-й и I-й (отвечающих временам t около 26 мс и –33 мс соответственно), различающихся глубиной “фарадеевской” модуляции.
Отметим, что ЧВЭОФ 2 и 4 (рис. 5a,б) описывают наиболее значимые (грубые) соответственно асимметричные и симметричные черты центральной части динамического спектра, обусловленные не только несимметричным профилем и/или джиттером последовательности импульсов составляющей III, но и вкладом более слабых примыкающих к ней составляющих. Отделить этот вклад и выделить последние более явно можно только с использованием следующих ЧВЭОФ. Для этого недостаточно 5-й ЧВЭОФ (рис. 5в), которая лишь указывает на плавную спектральную неоднородность III-й и примыкающих к ней составляющих, т.е. на зависимость их амплитуд от частоты (конечно, во многом эта зависимость привносится и неоднородной по спектру чувствительностью радиотелескопа). Кстати, сравнение ЧВЭОФ a5 с двумя ЧВЭОФ a4, a3 (рис. 5 и 3) показывает, что наиболее отдаленные составляющие I и V слабо коррелируют друг с другом, хотя каждая из них обладает заметной корреляцией с составляющей III (а та, в свою очередь, имеет корреляционную связь с близлежащими составляющими, что демонстрируют следующие по номеру ЧВЭОФ).
Рис. 6. Одиннадцатая (a) а₁₁ и двенадцатая (в) а₁₂ ЧВЭОФ в разложении динамического спектра PSR B0329+54, подтверждающие асимметрию временного профиля либо джиттер импульсной последовательности наряду со слабой взаимной корреляцией наиболее “удаленных” составляющих импульса — V-й и I-й (отвечающих временам около 26 мс и –33 мс соответственно), обе с похожими признаками модуляции фарадеевского типа.
Сказанное ясно из совместного анализа ЧВЭОФ 11 и 12 (рис. 6), на которых уже проявляется тонкая структура центральной части динамического спектра, обусловленная слабыми, трудно различимыми составляющими II, IV, VII, VIII, IX (положения их центров на профиле импульса находятся из функций a4, a8– a12), а также сопровождающей их более сильной составляющей импульса VI. В отношении наиболее отдаленных составляющих I и V две данные ЧВЭОФ демонстрируют асимметрию их профилей и/или джиттер импульсных последовательностей (аналогично рис. 5 для составляющей III) и снова свидетельствуют об отсутствии их взаимной корреляции. Согласно рис. 5в и 6б, следует обратить внимание на то обстоятельство, что степень линейной поляризации самой “нижней” составляющей I является весьма небольшой, возможно, порядка 10%, поскольку ее модуляция фарадеевского типа на ЧВЭОФ a5 (но не на a12) слабо выражена, тогда как эта модуляция для остальных составляющих на всех значимых для них ЧВЭОФ является глубокой, что означает высокую степень линейной поляризации больше или порядка 50%. К сожалению, в используемых данных наблюдений отсутствует полноценная регистрация параметров Стокса, так что у нас нет возможности продемонстрировать эффективность развитого метода периодических главных компонент для количественной оценки всех поляризационных характеристик составляющих импульса PSR B0329+54.
“ФАРАДЕЕВСКОЕ” ВРАЩЕНИЕ: ОТЛИЧИЯ ДЛЯ РАЗНЫХ СОСТАВЛЯЮЩИХ
Согласно широко распространенным представлениям (Сулейманова и др., 1983, 1988; Сулейманова, 1989; Сулейманова, Пугачев, 1998; Или, 2019; Соби, 2021), присутствующая на динамическом спектре и его ЧВЭОФ частотно-периодическая модуляция линейно поляризованной компоненты излучения пульсара с периодом vm (в Гц) обусловлена фарадеевским вращением угла ψ (в рад) плоскости поляризации в магнитоактивной плазме на пути к радиотелескопу по закону ψ = λ²RM, где λ = c/v — длина радиоволны (в м), c — скорость света в вакууме. Величина фигурирующей здесь меры вращения RM (в рад/м2) однозначно связана с эффективным периодом фарадеевской модуляции vm: |RM| /(2c²vm), где v0 ≈110.8 МГц — несущая (центральная) частота приемника. Для каждой составляющей импульса m = I, |....,| IX осцилляции интенсивности s(vj) в сечении динамического спектра вдоль оси частоты v в момент времени tm, отвечающий локальному максимуму ее динамического спектра, можно аппроксимировать законом фарадеевской модуляции (отвечающим известному закону вращения плоскости поляризации)
(2)
Здесь sm, vm и ɸm — амплитуда, эффективный частотный период и фаза этой модуляции, cm — постоянная величина, эти велечины выбираются из условия наименьшей среднеквадратичной невязки с данными. В среднем по всем составляющим (при определяющем вкладе III-й) и по всем сериям наблюдений период фарадеевской модуляции составил почти 77 спектральных каналов приемника, каждый с полосой 4.88 кГц, что соответствует величине ⟨vm⟩ ≈ 0.373 МГц (результаты отдельных серий совпали с точностью около 1%). Отсюда находится средняя мера вращения PSR B0329+54 ⟨|RM|⟩ ≈ 63.6 рад/м и соответствующий фарадеевский угол (при λ = λ0 ≈ 2.7 м), согласующиеся с известными наблюдениями (Манчестер и др., 2005; https://www.atnf.csiro.au/people/pulsar/psrcat/).
Рис. 7. Десятая a10 ЧВЭОФ в разложении динамического спектра PSR B0329+54: (a) — частотно-временная форма в области IX-й составющей импульса, сосредоточенной на временах t около 5 мс (ниже ряд темных пятен отвечает IV-й составляющей при t ≈ 2.5 мс); (б) — аппроксимация “фарадеевской” модуляции (усл. ед.) для одного из кадров динамического спектра с хорошо выраженной IX-й составляющей на уровне tIX = 5 мс гармоническим колебанием с частотным периодом tIX = 0.38 МГц, равным ширине почти 78 спектральных каналов приемника, каждый с полосой 4.88 кГц.
Тем не менее для некоторых отдельных составляющих импульса эквивалентная мера вращения и эффективный период “фарадеевской” модуляции оказались заметно различающимися. Так, с использованием 10-й ЧВЭОФ, согласно рис. 7, для IX-й составляющей в момент времени tIX = 5 мс частотный период находится как vIX = 0.383 МГц, т.е. равен ширине 78.5 спектральных каналов приемника. Это значение получается как непосредственно из аппроксимации IX-й составляющей 10-й ЧВЭОФ (рис. 7a), так и из более точной статистической обработки отдельных кадров динамического спектра с хорошо выраженной IX-й составляющей (рис. 7б). Заметим, что здесь и ниже говорится именно об эквивалентной (!) мере вращения и эффективном периоде “фарадеевской” модуляции (что подчеркивается кавычками), поскольку их физическая интерпретация для отдельных составляющих импульса может не исчерпываться классическим эффектом Фарадея вращения плоскости поляризации квазимонохроматического излучения в однородной магнитоактивной плазме (ср., например, Рамачандран и др., 2004; Ноутсос и др., 2009; Ванг и др., 2011; Даи и др., 2015; Или и др., 2019; Соби и др., 2021).
Результаты статистической обработки многих десятков кадров по каждой из составляющих m = I, ..., IX показаны на рис. 8 и обеспечивают лучшую точность, чем явная аппроксимация этих составляющих на нескольких содержащих их ЧВЭОФ. Каждая точка в указанных распределениях измерений эффективного периода “фарадеевской” модуляции получена для одного кадра трех серий наблюдений, содержащих около 1350 кадров, из которых выбраны имеющие максимум динамического спектра для данной составляющей при t = tm, заметно превышающий уровень шумов. При этом для каждого кадра с исследуемой m -й составляющей не только исключались шумы путем использования лишь около 20 значимых ЧВЭОФ в разложении сигнала методом периодических главных компонент, но убирались и близко расположенные (мешающие) другие составляющие путем исключения соответствующих им ЧВЭОФ, на которых исследуемая составляющая практически не представлена. Для отдельных составляющих относительная точность определения их “фарадеевского” периода, т.е. отношение стандартного отклонения к среднему значению периода, оказалась порядка нескольких процентов и отличается в 2–3 раза для разных составляющих.
Рис. 8. Распределение частотного периода “фарадеевской” модуляции vₘ для девяти составляющих импульса (номер m дан по оси ординат). Каждая точка — результат измерения периода для одного кадра трех серий наблюдений, содержащих около 1350 кадров, из которых выбраны имеющие максимум динамического спектра для данной составляющей при t = tₘ, заметно превышающий уровень шумов. Треугольник и проходящая через него тонкая линия отвечают положению медианы и квартилю от 25% до 75%; ромб и толстая линия — среднему значению и стандартному отклонению соответственно.
Самое высокое значение частотного периода “фарадеевской” модуляции vVI = 0.385 МГц, примерно равное ширине 79 спектральных каналов приемника, получается для VI-й составляющей. Относительно высокая средняя величина этого периода оказывается и у I-й составляющей, хотя для нее разброс измеренных значений велик из-за слабого уровня сигнала, не обеспечивающего надежные измерения. Разброс измеряемых значений периода фарадеевской модуляции велик и у IV-й составляющей, что, как отмечалось, во многом обусловлено отличием результатов серии наблюдений 03.09.2019 от результатов двух остальных серий, для которых данный период в среднем почти на 5% выше, чем для указанной 03.09.2019. Различие серий наблюдений для основной III-й составляющей импульса выражено слабо, однако разброс измеренных эффективных периодов ее “фарадеевской” модуляции весьма велик (при среднем значении ⟨vIII⟩ около 0.373 МГц), что в условиях наличия большого уровня сигнала, обеспечивающего хорошую точность расчета порядка 1%, по-видимому, отражает физические особенности механизма генерации данной составляющей.
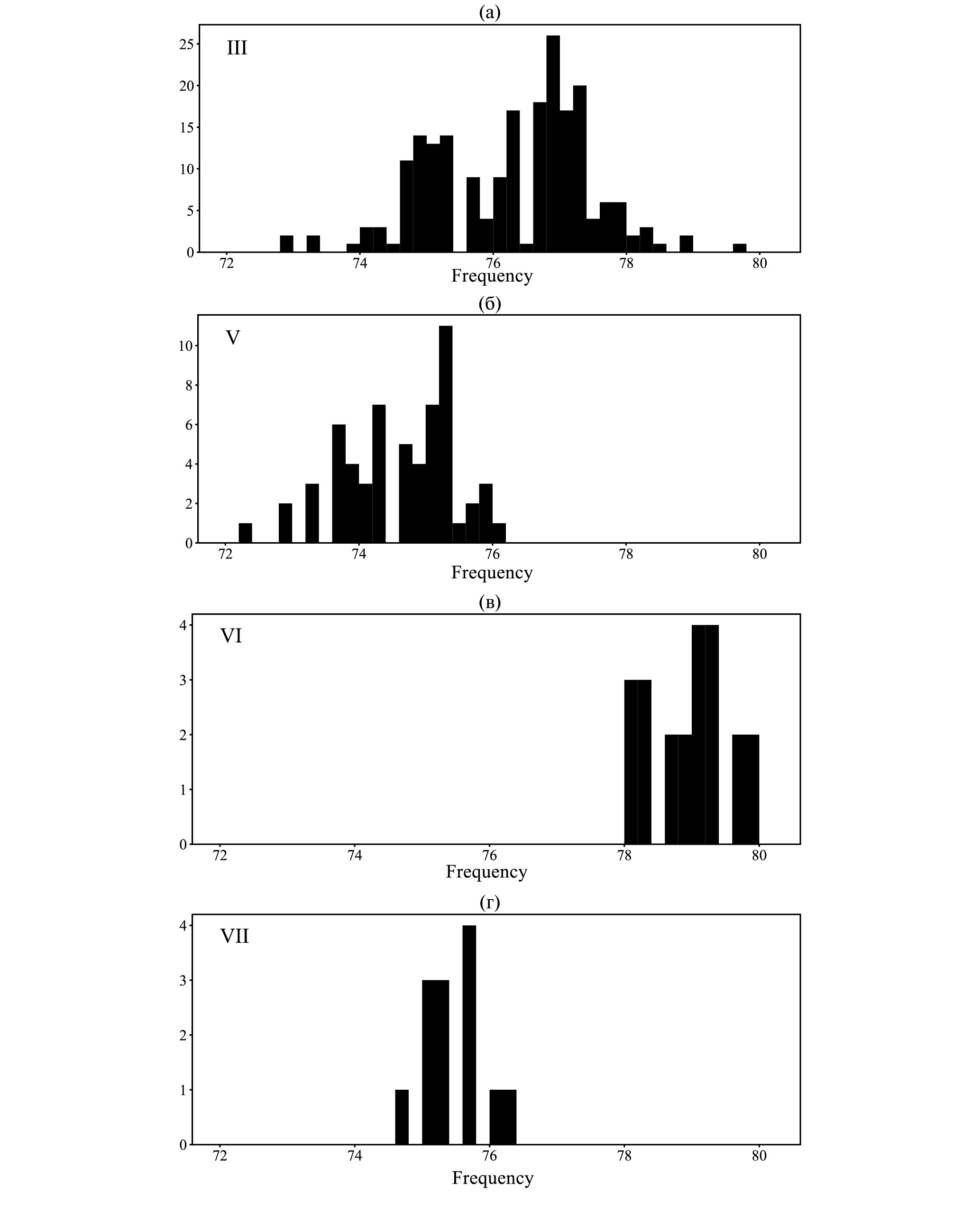
Самое низкое значение периода “фарадеевской” модуляции ⟨vV⟩ ≈ 0.365 МГц, примерно равное ширине 75 спектральных каналов приемника, имеет V-я составляющая, далеко отстоящая от основной III-й. Почти такие же низкие значения среднего периода около 0.37 МГц имеют и составляющие II, VII, VIII, близкие друг к другу. Следует обратить внимание на то обстоятельство, что для всех указанных четырех составляющих стандартное отклонение проведенных измерений, как ясно из рис. 8, существенно меньше отличия их периода “фарадеевской” модуляции от такого, значительно бóльшего периода у составляющих VI и IX, для которых стандартное отклонение измерений тоже невелико. Обнаруженные отличия рассчитанных эффективных периодов в 3–6% должны учитываться при построении модели источника излучения PSR B0329+54. Желательно, конечно, и повышение точности подобных измерений путем использования большего массива наблюдательных данных. Представленные результаты проиллюстрированы гистограммами соответствующих измерений частотного периода “фарадеевской” модуляции для составляющих III, V, VI, VII на рис. 9, где по вертикальной оси легко проследить количество использованных кадров наблюдений с учетом конечного шага гистограмм по частоте, равного десятой части ширины полосы частотного канала приемника, т.е. 488 Гц.
ОТНОСИТЕЛЬНЫЕ ФАЗЫ ЧАСТОТНОЙ “ФАРАДЕЕВСКОЙ” МОДУЛЯЦИИ СОСТАВЛЯЮЩИХ ИМПУЛЬСА
Введенные в начале предыдущего раздела фазы φm частотной модуляции фарадеевского типа каждой из составляющих импульса распределены практически случайно на интервале [0.2π] как для отдельных, так и для вместе взятых серий наблюдений из 1350 кадров (при этом частотно-зависимые распределения фазы угла “фарадеевского” вращения плоскости поляризации ψ по кадрам в выделенные моменты времени t ≈ tm максимумов отдельных составляющих могут быть и неслучайными). Однако оказывается, что в каждом кадре значение фазы доминирующей III-й составляющей во многом предопределяет значения фаз остальных составляющих, т.е. относительный сдвиг фаз Δφm =φIII - φm между III-й и m-й составляющими является далеко не случайным (причем Δφm > 0 при tm < 0). Этот наблюдательный факт также должен учитываться при построении модели источника излучения PSR B0329+54.
Рис. 9. Гистограммы частотного периода “фарадеевской” модуляции vm для четырех составляющих импульса m (указаны в углу графиков (a)–(г)) согласно соответствующим распределениям рис. 8. Частота по оси абсцисс дана в единицах количества частотных каналов приемника, каждый с полосой 4.88 кГц.
Не останавливаясь подробно на этом вопросе, ограничимся иллюстрацией сделанного утверждения для составляющих IV, V, VI, VIII (приводя разности фаз к интервалу [0.2π], в частности, путем добавления к отрицательным значениям Δφm надлежащего целого числа величин 2π). Для них на рис. 10 представлены гистограммы измерений указанной фазы частотной “фарадеевской” модуляции в отдельных составляющих импульса относительно этой фазы в III-й составляющей, полученные с использованием десятков кадров наилучшего качества при сохранении всех значимых для них ЧВЭОФ подобно тому, как это сделано в предыдущем разделе при анализе периода “фарадеевской” модуляции. Как видим, для составляющих IV и VIII, находящихся справа и слева от центральной III-й (т.е. выше и ниже ее по шкале времени на рис. 6a) и являющихся ближайшими к ней согласно началу раздела 4, фаза заметно отстает и опережает фазу III-й составляющей в среднем на величины – Δφm порядка –0.2π и 0.3π соответственно. Для составляющих V и VI, тоже находящихся справа и слева от центральной III-й, но значительно удаленных от нее, фаза гораздо сильнее отстает и опережает фазу III-й составляющей в среднем примерно на величины –1.6 π (а скорее, –3.6 π, см. следующий раздел) и 1.5 π соответственно.
Вместе с тем не показанные на гистограммах распределения относительной фазы для II-й и VII-й составляющих похожи на указанные распределения для VIII-й, но с другим средним опережением – Δφm около 0.4π и 0.45π соответственно. Распределения относительной фазы для I-й и IX-й напоминают распределения для VI-й и IV-й с другими средними опережением 3.3π (впрочем, возможно и 1.3π) и запаздыванием –0.35π соответственно (хотя оба оказываются более размытыми, особенно для I-й составляющей, вероятно, из-за более слабого уровня сигнала и низкой степени линейной поляризации). Схожесть величин Δφm =φIII - φm для близких соседей II, VII, VIII, а также других соседей I, VI и IV, IX является вполне естественной.
Рис. 10. Гистограммы относительной фазы “фарадеевской” модуляции для четырех составляющих импульса m (указаны в углу графиков (a)–(г)), ∆ϕm = ϕIII - ϕm, рассчитанной вычитанием из фазы фарадеевского вращения третьей составляющей III и приведением к интервалу [0,2π ] путем добавления надлежащего числа величин ±2π.
Подчеркнем, что измерения фаз проведены в тех отдельных кадрах, для которых максимум динамического спектра данной составляющей при t = tm заметно превышает уровень шума. Получаемые распределения разностей фаз зависят от выбранного порога разности между уровнями сигнала и шума, а именно, все сильнее размываются при понижении этого порога. Поэтому сделанные выше утверждения относятся лишь к достаточно сильным сигналам и применительно к модели источника могут дать ограничения, по-видимому, только для весьма локализованных областей генерации соответствующих составляющих импульса в магнитосфере пульсара.
ЧИРП (ДРЕЙФ) ЭЛЕМЕНТОВ ДИНАМИЧЕСКОГО СПЕКТРА ДЕВЯТИ СОСТАВЛЯЮЩИХ ИМПУЛЬСА
Важной особенностью динамических спектров большинства ЧВЭОФ является частотно-временной чирп (дрейф) уровней одинаковой интенсивности сигнала, включая максимумы и минимумы его величины, для всех составляющих импульса. Так, в области основной, III-й составляющей подобный чирп хорошо виден на рис. 2 и рис. 5. Аналогичный общий наклон элементов динамического спектра прослеживается и при переходе от одной составляющей к другой на различных ЧВЭОФ и на отдельных кадрах динамического спектра импульса радиоизлучения PSR B0329+54.
Для заданной несущей частоты сигнала v0 наличие сдвига фаз Δφm =φIII - φm между m -й и III-й составляющими можно интерпретировать как сдвиг частоты сигнала на величину Δφm vm/2π за время tm - tIII = tm, если в первом приближении описания модуляции (2) считать частотный период vm одинаковым для всех составляющих m. Тогда можно ввести эквивалентную скорость частотного сдвига, т.е. чирп g = Δφm vm/(2πtm). Для PSR B0329+54 он по порядку величины равен 10–25 МГц/с и не сильно различается для разных составляющих импульса, оказываясь близким к локальной скорости смещения максимума или минимума сигнала на плоскости “частота–время” (v,t). Статистический анализ чирпа для многих десятков кадров с хорошо выраженными различными составляющими нетрудно провести на основе результатов измерений разностей фаз, представленных в предыдущем разделе.
Рис. 11. Гистограммы частотного чирпа “фарадеевской” модуляции для четырех составляющих импульса m (указаны в углу графиков (a)–(г)), рассчитанного по формуле g = ∆ϕmνm / (2π | tm |) и примерно равного локаль- ной скорости смещения максимума или минимума сигнала на плоскости частота–время (ν,t). На гистограмме (б) серым и черным оттенками показаны два возможных распределения чирпа, в расчете которых для каждого кадра использованы два физически оправданных значения разности фаз – ∆ϕV, отличающихся на 2 π.
На рис. 11 для иллюстрации показаны соответствующие гистограммы чирпа тех же составляющих импульса, для которых на рис. 10 были даны относительные фазы частотной “фарадеевской” модуляции. Для IV-й и VIII-й составляющих, являющихся ближайшими соседями центральной III-й составляющей, разброс величин чирпа является большим из-за малых отстроек по времени |tm - tIII|, как и для не показанной на рис. 11 составляющей IX. Величины чирпов II-й и VII-й составляющих, следующих за VIII-й и тоже не показанных на рис. 11, имеют более узкие распределения, в основном сосредоточенные в области 10–15 МГц/с. Для VI-й составляющей с большей отстройкой | tVI – |tm - tIII| ≈ 10 мс значения чирпа для различных кадров отличаются несильно и довольно велики, даже немного превышая 25 МГц/с.
Наконец, для V-й составляющей, имеющей еще бóльшую временную отстройку tV – tIII ≈ 26 мс, однозначное определение чирпа для отдельных кадров оказывается невозможным и, согласно рис. 11б, допустимы два разных статистических распределения со средними значениями немного выше 10 МГц/с и немного выше 25 МГц/с, получающимися при использовании двух физически оправданных величин 1.6π и 3.6π средней разности фаз ΔφV= φIII - φV, которые отличаются на 2π. Вместе с тем для I-й составляющей, несмотря на значительную отстройку |tI – |tm - tIII| ≈ 33 мс, приемлемым представляется лишь вполне определенное распределение чирпа со средним значением около 20 МГц/с, отвечающим величине – ΔφI = 3.3π, и не очень большим разбросом в области 15–25 МГц/с для лучших по качеству сигнала кадров; для указанной в разделе 6 альтернативной средней величины относительной фазы – ΔφI = 1.3π получающееся среднее значение чирпа немного меньше 8 МГц/с и хуже согласуется со значениями чирпа для других составляющих импульса.
ЗАКЛЮЧЕНИЕ И ОБСУЖДЕНИЕ
Таким образом, на основе анализа частотно-временных запаздывающих корреляций радиоизлучения пульсара PSR B0329+54 вблизи частоты 111 МГц в полосе 2.5 МГц разработанным методом периодических главных компонент с использованием данных всего нескольких минут наблюдений удается выделить до девяти составляющих его импульса, установить корреляционную связь между ними и для каждой составляющей с высокой точностью порядка нескольких процентов определить эффективный частотный период “фарадеевской” модуляции и эквивалентную меру вращения, а также найти ее фазу относительно фазы наиболее сильной составляющей импульса и скорость частотно-временного чирпа элементов динамического спектра излучения.
Применение развитого метода к анализу данных наблюдений различных пульсаров открывает возможность судить о пространственной структуре источника поляризованного радиоизлучения и структуре окружающей его магнитосферы вращающейся нейтронной звезды, используя недоступную ранее информацию о миллисекундной динамике коррелирующих друг с другом спектральных составляющих этого излучения. Подобные исследования и разработка физической модели источника излучения для надлежащей интерпретации полученных результатов представляются многообещающими и будут проведены в дальнейших работах.
Необходимо отметить ряд открытых вопросов, относящихся собственно к радиопульсару PSR B0329+54. Во-первых, начатая обработка данных радиотелескопа ПРАО АКЦ ФИАН методом периодических главных компонент еще не позволяет корректно указать точность представленных результатов и надежно оценить степень независимости некоторых из обнаруженных составляющих импульса, особенно наиболее близко расположенных друг к другу II, VII, VIII. Во-вторых, пока неясно, зависят ли различия и сами величины измеренных параметров этих составляющих, включая эквивалентную меру “фарадеевского” вращения, относительную фазу и чирп элементов динамического спектра (как внутренний, так и между составляющими), от интенсивности принимаемого сигнала и от степени зашумленности той или иной выборки окон в последовательности импульсов пульсара. В-третьих, предстоит понять, в какой мере обнаруженные закономерности и измеренные параметры составляющих импульса укладываются в существующие модели источника радиоизлучения и позволяют детализировать его характеристики. В-четвертых, поскольку радиопульсар может функционировать по крайней мере в двух режимах излучения (Сулейманова, 1989; Бялковский и др., 2018; Бринкман и др., 2019), каждый из которых может эволюционировать со временем, было бы интересно выяснить, отражается ли и как именно чередование и изменение режимов излучения на измеряемых спектрально-корреляционных свойствах регистрируемых последовательностей импульсов.
Для ответа на поставленные и другие вопросы предполагается продолжить наблюдения PSR B0329+54 на радиотелескопе ПРАО АКЦ ФИАН, привлечь данные наблюдений на других радиотелескопах, провести анализ полученной расширенной базы данных разработанным методом периодических главных компонент и применить полученные результаты для качественного теоретического развития модели источника излучения данного пульсара и численного моделирования основных физических явлений, обуславливающих особенности генерации и распространения его излучения.
ФИНАНСИРОВАНИЕ
Работа основана на наблюдательных данных, полученных на радиотелескопе ПРАО АКЦ ФИАН. Исследование выполнено за счет гранта Российского научного фонда № 23-62-10043, https://rscf.ru/project/23-62-10043/
*По материалам доклада на конференции “Физика нейтронных звезд — 2023” (Санкт-Петербург, 10–14 июля 2023 г.).
Об авторах
В. В. Кочаровский
Институт прикладной физики им. А.В. Гапонова-Грехова РАН
Автор, ответственный за переписку.
Email: kochar@ipfran.ru
Россия, Нижний Новгород
В. В. Вдовин
Институт прикладной физики им. А.В. Гапонова-Грехова РАН
Email: kochar@ipfran.ru
Россия, Нижний Новгород
А. С. Гаврилов
Институт прикладной физики им. А.В. Гапонова-Грехова РАН
Email: kochar@ipfran.ru
Россия, Нижний Новгород
Е. Р. Кочаровская
Институт прикладной физики им. А.В. Гапонова-Грехова РАН
Email: kochar@ipfran.ru
Россия, Нижний Новгород
С. В. Логвиненко
Пущинская радиоастрономическая обсерватория Астрокосмического центра Физического института им. П.Н. Лебедева РАН
Email: kochar@ipfran.ru
Россия, Москва
Е. М. Лоскутов
Пущинская радиоастрономическая обсерватория Астрокосмического центра Физического института им. П.Н. Лебедева РАН
Email: kochar@ipfran.ru
Россия, Москва
В. М. Малофеев
Институт прикладной физики им. А.В. Гапонова-Грехова РАН
Email: kochar@ipfran.ru
Россия, Нижний Новгород
Список литературы
- Бескин В.С., Успехи физ. паук 188, 377 (2018).
- Бриксеп и др. (W.F. Brisken, J.M. Benson, W.M. Goss, and S.E. Thorsett), Astrophys. J. 571, 906 (2002).
- Бринкман и др. (C. Brinkman, D. Mitra, and J. Rankin), MNRAS 484, 2725 (2019).
- Байковский и др. (S. Bialkowski, W. Lewandowski, J. Kijak, L. Blaszkiewicz, A. Krankowski, and S. Ostrowski), Astrophys. Space Sci. 363, 8 (2018).
- Ванг и др. (C. Wang, J.L. Han, and D. Lai), MNRAS 417, 1183 (2011).
- Гапгадхара, Гупта (R.T. Gangadhara and Y. Gupta), Astrophys. J. 555, 31 (2001).
- Дай и др. (S. Dai, G. Hobbs, R. X. Manchester, M. Kerr, R.M. Shannon, W. van Straten, A. Mata, M. Bailes, et al.), MNRAS 449, 3223 (2015).
- Деморест (P.B. Demorest), MNRAS 416, 2821 (2011).
- Джоллифф (I.T. Jolliffe), Principle Component Analysis (2nd Ed., Springer Xew York, Xew York, 1986).
- Доннер и др. (J.Y. Donner, J.P.W. Verbiest, C. Tiburzi, S. Oslowski, D. Michilli, M. Serylak, J.M. Anderson, A. Horneffer, et al.), Astron. Astrophys. 624, A22 (2019).
- Или и др. (C.D. Hie, S. Johnston, and P. Weltevrede), MNRAS 483, 2778 (2019).
- Кайзер (H.F. Kaiser), Educ. Psychol. Meas., 20, 141 (1960).
- Кардашов и др. (X.S. Kardashev, A.D. Kuzmin, X.Ya. Xikolaev, et al.), Sov. Astron. 22, 583 (1978).
- Кейт и др. (M.J. Keith, S. Johnston, L. Levin, and M. Bailes), MNRAS 416, 346 (2011).
- Кочаровская и др. (Кочаровская Е.Р., Гаврилов А.С., Кочаровский В.В., Лоскутов Е.М., Мишин А.В., Мухин Д.Н., Селезнев А.Ф., Кочаровский Вл.В.), Изв. вузов. Радиофизика 61, 906, (2018).
- Кузьмин и др. (A.D. Kuzmin, Р.А. Hamilton, Yu.P. Shitov, et ah), MNRAS 344, 1187 (2003).
- Кулкарпи (S.R. Kulkarni), arXiv:2007.02886, (2020).
- Манчестер и др. (R.N. Manchester, G.B. Hobbs, A. Teoh, and М. Hobbs), Astron. J. 129, 1993 (2005).
- Малофеев и др. (V.M. Malofeev, D.A. Teplykh, and S.V. Logvinenko), Astron. Rep. 56, 35 (2012).
- Малофеев, Малов и др. (V.M. Malofeev, I.F. Malov, O.I. Malov, and D.A. Teplykh), Res. Astron. Astrophys. 22, 035010 (2022).
- Мелроуз и др. (D.B. Melrose, M.Z. Rafat, and A. Mastrano), MNRAS 500, 4530 (2021).
- Митра и др. (D. Mitra, J.M. Rankin, and Y. Gupta), MNRAS 379, 932 (2007).
- Мухин и др. (D. Mukhin, D. Kondrashov, E. Loskutov, A. Gavrilov, A. Feigin, and M. Ghil), J. Climate 28, 1962 (2015).
- Мухин и др. (D. Mukhin, A. Gavrilov, A. Seleznev, and M. Buyanova), Geophys. Res. Lett. 48, 6 (2021).
- Ноутсос и др. (A. Noutsos, A. Karastergiou, M. Kramer, S. Johnston, and B.W. Stappers), MNRAS 396, 1559 (2009).
- Примак и др. (N. Primak, C. Tiburzi, W. van Straten, J. Dyks, and S. Gulyaev), Astron. Astrophys. 657, A3 (2022).
- Рамачандран и др. (R. Ramachandran, D.C. Backer, J.M. Rankin, J.M. Weisberg, and K.E. Devine), Astrophys. J. 606, 1167 (2004).
- Ранкин и др. (J.M. Rankin, S.A. Suleymanova, and A.A. Deshpande), MNRAS 340, 1076 (2003).
- Селезнев, Мухин (A. Seleznev and D. Mukhin), Glim. Dyn. 60, 1 (2023).
- Соби и др. (C. Sobey, S. Johnston, S. Dai, M. Kerr, R.N. Manchester, L.S. Oswald, A. Parthasarathy, R.M. Shannon, et al.), MNRAS 504, 228 (2021).
- Сулейманова C.A., Tp. Физического ин-та им. П.Н. Лебедева 199, 42 (1989).
- Сулейманова С.А., Володин Ю.В., Малофеев В.М., Астрон. журн. 60,554 (1983).
- Сулейманова С.А., Володин Ю.В., Шитов Ю.П., Астрон. журн. 65, 349 (1988).
- Сулейманова С.А., Пугачев В.Д., Астрон. журн. 75, 287 (2002) [Suleimanova S.A., Pugachev V.D., Astron. Rep. 46, 34 (2002)].
- Тюльбашев и др. (S.A. Tyul’bashev, V.S. Tyul’bashev, V.V. Oreshko, and S.V. Logvinenko ), Astron. Rep. 60, 220 (2016).
- Типпет, Л’Эре (M.K. Tippett and M.L. L’Heureux), Clim. Atmos. Sci. 3, 24 (2020).
- Ульянов O.M., Шевцова А.И., Скорик А.О., Изв. КрАО 109, 159 (2013).
- Уолл, Дженкинс (J.V. Wall and C.R. Jenkins), Practical Statistics for Astronomers (2nd Ed., Cambridge Univer. Press, Cambridge, 2012).
- Филиппов, Крамер (A. Philippov and M. Kramer), Ann. Rev. Astron. Astrophys. 60, 495 (2022)
- Филлипс, Волыцан (J.A. Phillips and A. Wolszczan), Astrophys. J. 385, 273 (1992).
- Хассал и др. (T.E. Hassall, B.W. Stappers, J.W.T. Hessels, M. Kramer, A. Alexov, K. Anderson, T. Coenen, A. Karastergiou, et al.), Astron. Astrophys. 543, A66 (2012).
- Хассал и др. (T.E. Hassall, B.W. Stappers, P. Weltevrede, J.W.T. Hessels, A. Alexov, T. Coenen, A. Karastergiou, M. Kramer, et al.), Astron. Astrophys. 552, A61 (2013).
- Шитов, Малофеев, Извекова (Y.P. Shitov, V.M. Malofeev, and V.A. Izvekova), Sov. Astron. Lett. 14, 181 (1988).
- Эдвардс, Стаппер (R.T.Edwards and B.W.Stapper), Astron. Astrophys. 421, 681 (2004).
Дополнительные файлы














