Некоторые особенности тепловых процессов в системах обогрева с ткаными электронагревателями
- Authors: 1
-
Affiliations:
- Институт машиноведения им. А.А. Благонравова РАН
- Issue: No 5 (2023)
- Pages: 103-112
- Section: ЭКСПЕРИМЕНТАЛЬНАЯ МЕХАНИКА. ДИАГНОСТИКА ИСПЫТАНИЯ
- URL: https://journals.rcsi.science/0235-7119/article/view/141790
- DOI: https://doi.org/10.31857/S0235711923040132
- EDN: https://elibrary.ru/XWQPHU
- ID: 141790
Cite item
Full Text
Abstract
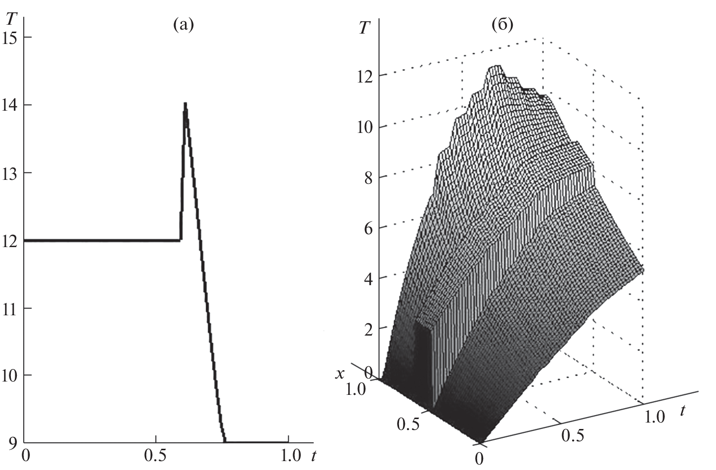
В статье рассматривается способ воздействия на объект теплового сигнала, являющегося широкополосным сигналом ТГц-диапазона. Генерация сигнала осуществлялась тепловыделяющими элементами тканых электронагревателей на основе углеродных нитей. Воздействие тканых электронагревателей производилось контактным способом на отдельные участки объекта. Также с помощью сигнала ТГц-диапазона была получена неинвазивным путем количественная информация во времени о кожно-гальванических реакциях и др. Настоящая статья представляет интерес для специалистов, занимающихся в области теплофизики, материаловедения, физиологии, медицины и т.д.
About the authors
Институт машиноведения им. А.А. Благонравова РАН
Author for correspondence.
Email: aa_shulzhenko.01@mail.ru
Россия, Москва
References
- Технические характеристики продукции ООО “УВИКОМ”. Проспект. МО: ООО УВИКОМ, 1997.
- Ансельм А.И. Введение в теорию полупроводников. М.: Изд. “Мир”, 1978. 616 с.
- Винтайкин Б.Е. Физика твердого тела. Учебное пособие. М.: Изд. МГТУ им. Н.Э. Баумана, 2008. 360 с.
- Гуревич А.Г. Физика твердого тела. Учебное пособие для вузов. СПб.: Невский диалект, БХВ-Петербург, 2004. 320 с.
- Дмитриев А.С. Введение в нанотеплофизику. М.: ВИНОМ. Лаборатория знаний, 2015. 790 с.
- Рейсленд Дж. Физика фононов. М.: Изд. “Мир”, 1975. 368 с.
- Zhang Z. Nano/microscale Heat Transfer. N.Y.: McGraw – Hill, 2007. 761 c.
- Lee Y.-S. Principles of Terahertz Science and Technology. N.Y.: Springer Science+Business Med, 2009. 340 c.
- Андреев Р.С. Взаимосвязь характеристик инфракрасного температурного портрета с метаболическими показателями у спортсменов: Дис. … канд. биол. наук. М.: ГЦОЛИФК. 2013. 116 с.
- Царев М.В. Генерация и регистрация терагерцового излучения ультракороткими лазерными импульсами: Учебное пособие. Н. Новгород: Нижегородский госуниверситет, 2011. 75 с.
- Кочкуров Л.А. Генерация терагерцового излучения методами внутрирезонаторного преобразования частоты в двухволновых полупроводниковых и волоконных лазерах: Дис. … канд. физ.-мат. наук. Саратов: СГТУ, 2016. 112 с.
- Carter M. Armstrong. The Truth About Terahertz. IEEE Spectrum, 20 Aug 2012 // IEEE Spectrum. http://spectrum.ieee.org/aerospace/military/the-truth-about-terahertz
- Черкасова О.П., Сердюков Д.С., Ратушняк А.С., Немова Е.Ф., Козлов Е.Н., Шидловский Ю.В., Зайцев К.И., Тучин В.В. Механизмы влияния терагерцового излучения на клетки (обзор) // Оптика и спектроскопия. 2020. Т. 128. № 6. С. 852.
- Irving P. Herman Physics of the Human Body. N.Y.: Springer-Verlag Berlin Heidelberg, 2007. 845 c.
- Zhang X.C., Xu J. Introduction to THz Wave Photonics. N.Y.: Springer, 2010. 248 p.
- Иляков И.Е. Исследование новых схем генерации и детектирования терагерцового излучения, основанных на взаимодействии фемтосекундных лазерных импульсов твердотельными и газовыми средами: Дис. … канд. физ.-мат. наук. Н. Новгород: ИПФ РАН, 2015. 123 с.
- Кульчицкий Н.А., Наумов А.В., Старцев А.В., Демьяненко М.А. Современное состояние и перспективы детекторов в терагерцовом диапазоне. Часть 1. Прямое детектирование терагерцового излучения // Успехи прикладной физики. 2021. Т. 9. № 1. С. 68.
- Хохлов Д.Р. Т-лучи: физика и возможности применения. URL: https//phys.msu.ru (Дата обращения 23.01.2023).
- Шульженко А.А., Модестов М.Б. Моделирование тепловых процессов в нагревательной системе // Проблемы машиностроения и надежности машин. 2021. № 2. С. 116. https://doi.org/10.31857/S0235711921020140
- Шульженко А.А., Модестов М.Б. Моделирование тепловых процессов при переменных краевых условиях в многослойной тонкой стенке: человек–тканый электронагреватель–внешняя среда // Проблемы машиностроения и надежности машин. 2022. № 5. С. 75. https://doi.org/10.31857/S0235711922040137
- Жуковский В.С. Основы теории теплопередачи. Л.: Энергия, 1989. 224 с.
- Шульженко А.А., Модестов М.Б. Моделирование реакции человека на тепловое воздействие // Вестник научно-технического развития. 2017. № 5. С. 23.
- Eugene H. Vissler Human. Temperature. Control. B. Springer, 2018. 425 c.
Supplementary files







