Specific electrical conductivity of molten (LiCl–KCl)eut – HfCl4 mixtures
- Authors: Salyulev A.B.1, Potapov A.M.1
-
Affiliations:
- Institute of High-Temperature Electrochemistry, Ural Branch of the Russian Academy of Sciences
- Issue: No 1 (2025)
- Pages: 24-34
- Section: Articles
- URL: https://journals.rcsi.science/0235-0106/article/view/278783
- DOI: https://doi.org/10.31857/S0235010625010037
- ID: 278783
Cite item
Full Text
Abstract
Electrical conductivity is one of the most important properties that are required for the proper organization of electrolytic processes occurring in molten salts, in particular, during the production and refining of metallic hafnium and its separation from zirconium. In this work, we have measured for the first time the electrical conductivity of molten HfCl4 mixtures with a low-melting solvent (LiCl-KCl)eut, which makes it possible to lower significantly (by hundreds of degrees) the temperature of technological processes. The liquidus line of this pseudobinary system has been also constructed for the first time at the HfCl4 concentrations up to 30 mol. %. A specially designed capillary quartz cell with a constant in the range of 95.2–91.9 cm–1 and high-purity chlorides were used to measure the electrical conductivity. The resistances of the molten mixtures in the HfCl4 concentration ranges of 0–30 mol.% and temperatures of 780–1063 K were recorded using an AC bridge P-5058 at a frequency of 10 kHz, and the melt temperature was measured with a Pt/Pt–Rh thermocouple. It was found that the values of electrical conductivity of the molten (LiCl–KCl)eut.-HfCl4 mixtures increase as the temperature increases from 0.86 to 2.08 S/cm. This occurs as a result of the increased ion mobility (simple and complex) and decreased melt viscosity. With an increase in the HfCl4 concentration, the electrical conductivity decreases. In the same direction, the concentration of relatively low-mobility complex groups HfCl62– containing 6 chlorine anions tightly bound to the tetra-charged metal, increases in the melts. The concentration of the main current carriers, Li+, K+ and especially the mobile Cl– anions, decreases more and more, which leads to a decrease in the electrical conductivity of the melt. In the molten (LiCl–KCl)eut.–ZrCl4 mixtures that we studied earlier, the electrical conductivity decreases less as the tetrachloride concentration increases, which indicates a lower strength of the ZrCl62– complexes compared to HfCl62–.
Keywords
Full Text
ВВЕДЕНИЕ
Электропроводность является одним из наиболее важных свойств, которые нужно знать для грамотной организации электролитических процессов, протекающих в солевых расплавах, в частности, при получении и рафинировании металлического гафния и его отделения от циркония. Разделение циркония и гафния особенно важно, поскольку они имеют очень разные сечения захвата тепловых нейтронов: Zr – ~ 0.18 барн, Hf – 115 барн и оба используются в атомной технике: первый — как конструкционный материал, второй — для изготовления регулирующих стержней ядерных реакторов [1–9]. В то же время в природе (в циркониевых рудах) гафний всегда сопутствует цирконию [1–4].
Тетрахлориды циркония и гафния являются высоко реакционноспособными легколетучими веществами, а их растворы в расплавленных хлоридах щелочных металлов в широких интервалах температур и концентраций имеют повышенные (иногда значительно превышающие атмосферное) давления насыщенных паров, что осложняет их исследование и технологическое применение [1–16]. Использование в качестве растворителя легкоплавкой расплавленной эвтектики LiCl–KCl имеет определенные преимущества, поскольку дает возможность значительно (на сотни градусов) понизить температуру проведения технологических процессов и уменьшить давление паров указанных тетрахлоридов над расплавами.
Ранее в серии экспериментальных работ нами была измерена электропроводность растворов ZrCl4 в расплавах различных щелочных хлоридов LiCl, NaCl, (Na–K)Cl, KCl, CsCl, а HfCl4 – в KCl [10–13]. Последней нами была измерена электропроводность растворов ZrCl4 в расплаве эвтектической смеси LiCl–KCl [16]. В настоящей работе впервые измерена электропроводность HfCl4 в этом легкоплавком растворителе.
ЭКСПЕРИМЕНТАЛЬНАЯ ЧАСТЬ
В работе использовали кварцевую ячейку капиллярного типа специальной конструкции [10, 17] с постоянной в пределах от 95.2 до 91.9 см–1 и высокочистые хлориды. Сопротивление расплавленных смесей в интервалах концентраций 0–30 мол. % HfCl4 и температур от 780 до 1063 K фиксировали с помощью моста переменного тока Р-5058 на частоте 10 кГц, температуру расплава — Pt/Pt-Rh термопарой. Подробное описание конструкции кондуктометрической ячейки, методик проведения измерений и подготовки солей даны в работах [10, 11, 16–19], поэтому ниже приводится только их краткое описание.
Безводные хлориды лития (≥ 99.2%) и калия (99.8%) компании Вектон (Россия), дополнительно осушенные нами, подвергали двойной зонной перекристаллизации [18]. Затем очищенные препараты солей совместно сплавляли в соотношении 58.8 мол. % LiCl – 41.2 мол % KCl в атмосфере сухого аргона (99.999% Ar, H2O ≤ 1 ppm, O2 ≤ 2 ppm).
Коммерческий HfCl4 (98%) компании «РедкийМеталлРФ» (Россия) три раза сублимировали: сначала два раза в вакууме, а затем в атмосфере чистого гелия.
Свежеприготовленные соли LiCl–KCl и HfCl4, взятые в необходимых пропорциях, сплавляли в вакуумированных и запаянных кварцевых ампулах [10, 11, 16]. Все операции с солями и плавами (взвешивание, загрузка в ампулы и кондуктометрические ячейки) проводили в перчаточном боксе в атмосфере аргона с содержанием воды ≤ 1 ppm.
Электропроводность расплавленных смесей с заданными концентрациями HfCl4 определяли с использованием кварцевой кондуктометрической ячейки капиллярного типа (внутренний диаметр капилляра примерно 1.5 мм, длина ~ 20 мм) с платиновыми электродами в атмосфере сухого аргона [10, 17]. Конструкция экспериментальной ячейки, имеющая специальное уплотнение вокруг электродов [17], позволяла свести к минимуму (не более 1–2%) изменение состава расплавленной смеси при селективном испарении легколетучего тетрахлорида [10], что было подтверждено данными химического анализа плавов солей до и после окончания экспериментов. Согласно нашим оценкам и с учетом данных работы [15], давление насыщенных паров над расплавленными смесями (LiCl-KCl)эвт.–HfCl4 в условиях проведения наших опытов не превышало 1 атм. Прямых экспериментальных сведений по давлению насыщенных паров расплавов (LiCl-KCl)эвт–HfCl4 в литературе нет.
Ячейки с загруженными солевыми плавами нагревали в электропечи, снабженной массивным электрическим блоком, с помощью высокоточного регулятора температуры ВРТ-3. Температуру расплава изменяли со скоростью ~1 K/мин. Ее измеряли Pt–PtRh (10% Rh) термопарой с точностью ±1 K. Калибровку измерительных ячеек проводили по расплаву эвтектики LiCl-KCl с использованием данных по ее электропроводности [19–22]. Погрешность измерения температуры в ходе проведения наших опытов была менее 0.3%, а полная погрешность определения электропроводности не превышала 2% [16, 17, 19].
РЕЗУЛЬТАТЫ И ОБСУЖДЕНИЕ
В настоящей работе измерена электропроводность расплавленных смесей (LiCl–KCl)эвт.–HfCl4 четырех различных составов, выбранных приблизительно такими же, как у расплавов (LiCl–KCl)эвт.–ZrCl4 [16]. Последняя система была исследована нами ранее [16] с более частыми (примерно в 2 раза) шагами изменения концентраций. Политермы электропроводности смесей с одинаковыми содержаниями тетрахлоридов гафния и циркония в эвтектике LiCl–KCl, полученные в широких интервалах температур, сопоставлены на рис. 1.
Рис. 1. Электропроводность расплавленных и гетерогенных (расплав + твердая фаза) смесей (LiCl–KCl)эвт.–HfCl4 и (LiCl–KCl)эвт.–ZrCl4 [16].
Высокотемпературные гладкие участки политерм на этом рисунке соответствуют электропроводности гомогенных расплавленных смесей. У гафнийсодержащих расплавов в условиях наших измерений она изменяется в пределах от 0.86 до 2.08 См/см. Скорость прироста удельной электропроводности всех расплавленных смесей при повышении температуры постепенно незначительно замедляется. Изменение электропроводности с температурой с хорошей точностью (с коэффициентом детерминации R2 ≥ 0.998) было аппроксимировано уравнениями вида:
, (1)
в которых κ – удельная электропроводность, См/см; T – абсолютная температура, K; A, B, C – эмпирические коэффициенты.
Значения коэффициентов A, B, C приведены в табл. 1.
Таблица 1. Коэффициенты уравнений температурной зависимости удельной электропроводности гомогенных расплавленных смесей (LiCl−KCl)эвт.–HfCl4
[HfCl4], мол. % | T, K | κ = A + BT + CT2, См/см | ||
–A | B · 103 | –C · 106 | ||
5.0 | 848–1063 | 4.442 | 10.900 | 4.482 |
10.5 | 887–1046 | 3.461 | 8.024 | 2.880 |
21.0 | 858–1036 | 2.476 | 5.741 | 1.932 |
30.0 | 779–980 | 2.050 | 5.295 | 1.996 |
T – абсолютная температура, K; A, B, C – эмпирические коэффициенты.
Величины электропроводности гомогенных расплавов, содержащих ZrCl4 и HfCl4 c одинаковой концентрацией, очень близки (рис. 1). Однако величины электропроводности у гафнийсодержащих расплавов во всех случаях немного ниже.
Изломы или перегибы, наблюдаемые на политермах (рис. 1) для расплавленных смесей при их охлаждении, после которых наблюдается более быстрое снижение электропроводности, соответствуют температурам начала выделения твердых фаз. Первые (самые высокотемпературные из них) соответствуют температурам ликвидуса.
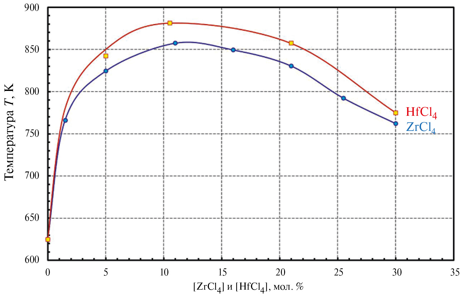
Построенные нами линии ликвидуса псевдобинарных систем (LiCl–KCl)эвт.–HfCl4 и, для сопоставления, (LiCl–KCl)эвт.–ZrCl4 [16], при концентрациях тетрахлоридов вплоть до 30 мол. %, показаны на рис. 2. Линии ликвидуса в рассматриваемых родственных солевых системах очень похожи, однако, в системе (LiCl–KCl)эвт.–HfCl4 температуры ликвидуса выше на 15–25 К, как это можно видеть на рисунке. Численные величины температур ликвидуса приведены в табл. 2.
Рис. 2. Линии ликвидуса квазибинарных систем (LiCl–KCl)эвт.–HfCl4 и (LiCl–KCl)эвт.–ZrCl4 [16].
Таблица 2. Температуры ликвидуса квазибинарной системы (LiCl−KCl)эвт.–HfCl4
[HfCl4], мол. % | T, K | [HfCl4], мол. % | T, K | [HfCl4], мол. % | T, K |
0 | 624.5 [22] | 10.5 | 881 | 30 | 775 |
5 | 842.0 | 21.0 | 857 | – | – |
Ранее в работе [16] нам удалось, как это уже отмечалось, существенно расширить имеющиеся сведения [23] о проделах растворимости ZrCl4 в эвтектической смеси хлоридов лития и калия в сторону более высоких концентраций тетрахлорида. Сведений же по растворимости HfCl4 в расплавленной эвтектике LiCl-KCl или по диаграмме плавкости данной системы в литературе не обнаружено.
На рис. 3 сопоставлены изотермы электропроводности расплавов двух родственных солевых систем: (LiCl–KCl)эвт.–ZrCl4 [16] и (LiCl–KCl)эвт.–HfCl4 при 1023, 973, 923, 873 и 823 K. В обеих расплавленных системах удельная электропроводность при повышении концентрации тетрахлорида уменьшается, а скорость ее снижения постепенно замедляется.
Рис. 3. Изотермы удельной электропроводности расплавленных смесей (LiCl–KCl)эвт.–HfCl4 (темные точки) и (LiCl–KCl)эвт.–ZrCl4 (светлые точки) [16].
Известно, что индивидуальные тетрахлориды гафния и циркония образуют молекулярные расплавы [24, 25] c высоким давлением паров (десятки атмосфер) и очень низкой электропроводностью (1 ∙ 10–4 – 6 ∙ 10–6 См/см) [26]. Однако в среде расплавленной эвтектики LiCl–KCl [27, 28] они ионизируются, образуя прочные комплексные анионы ZrCl62– и HfCl62– [5–7, 29–31] и расплавленные смеси с высокой электропроводностью (0.86–2.80 См/см в изученных диапазонах температур и концентраций, по нашим данным). По мере повышения концентрации соответствующего тетрахлорида в расплаве пропорционально увеличивается и концентрация относительно малоподвижных комплексных анионных группировок ZrCl62– и HfCl62–, содержащих по 6 ионов хлора, сильно связанных с катионом четырехвалентного металла. Это приводит к уменьшению концентрации основных носителей тока – Li+, K+ и подвижных ионов Cl–. В результате электропроводность расплавленных смесей должна снижаться, что и наблюдается экспериментально (рис. 3).
При повышении температуры электропроводность расплавленных смесей (LiCl-KCl)эвт.–HfCl4 и (LiCl-KCl)эвт.–ZrCl4 возрастает в результате увеличения подвижности ионов (простых и комплексных) и снижении вязкости расплава.
При сопоставлении политерм и изотерм электропроводности гомогенных расплавленных смесей (LiCl–KCl)эвт.–ZrCl4 и (LiCl–KCl)эвт.–HfCl4 видно (рис. 1, 3), что величины электропроводности и характер ее изменения с температурой или концентрацией в обеих системах очень близки. Однако относительное уменьшение электропроводности при повышении концентрации тетрахлорида в расплавленных смесях проявляется несколько больше в случае HfCl4, что указывает на более сильное комплексообразование в данной расплавленной системе. Отметим, что качественно аналогичную картину мы уже наблюдали ранее [10] при сопоставлении электропроводности расплавленных смесей KCl–ZrCl4 и KCl–HfCl4. В системе с HfCl4 величины электропроводности расплава ниже. Эти экспериментальные результаты вполне объяснимы сравнением ионных радиусов этих элементов. Принимая КЧ = 6, ионный радиус Zr4+ равен 0.072 нм и 0.071 нм у Hf4+ [32]. Это дает различие ионных потенциалов на 1.4 % и обуславливает хоть немного, но бóльшую прочность гафниевых комплексов и немного меньшую электропроводность содержащих его расплавов. Это также согласуется с известной общей тенденцией образования тетрахлоридом гафния немного более прочных хлорокомплексов в безводных системах по сравнению с ZrCl4 [33].
ЗАКЛЮЧЕНИЕ
С использованием ячейки капиллярного типа специальной конструкции впервые измерена электропроводность расплавленных смесей HfCl4 с легкоплавким растворителем (LiCl–KCl)эвт. в интервалах концентраций 0–30 мол. % HfCl4 и температур 780–1063 K. Также впервые построена линия ликвидуса данной псевдобинарной системы при концентрациях HfCl4 до 30 мол. %.
Найдено, что электропроводность расплавленных смесей (LiCl–KCl)эвт.–HfCl4 возрастает при увеличении температуры в пределах от 0.86 до 2.08 См/см в результате повышения подвижности ионов (простых и комплексных) и снижения вязкости расплава. При увеличении концентрации HfCl4 электропроводность уменьшается в результате снижения концентрации основных носителей тока: Li+, K+ и особенно подвижных анионов Cl–, так же как это наблюдалось нами ранее для расплавов (LiCl–KCl)eut.–ZrCl4 [16]. Численные данные по электропроводности этих двух родственных расплавленных солевых систем сопоставлены между собой и обсуждены с учетом имеющихся данных по структуре расплавов. Полученные данные можно рекомендовать как исходные данные в способе оценки электропроводности сложных многокомпонентных смесей, описанном в патенте [34].
About the authors
A. B. Salyulev
Institute of High-Temperature Electrochemistry, Ural Branch of the Russian Academy of Sciences
Author for correspondence.
Email: salyulev@ihte.ru
Russian Federation, Ekaterinburg
A. M. Potapov
Institute of High-Temperature Electrochemistry, Ural Branch of the Russian Academy of Sciences
Email: salyulev@ihte.ru
Russian Federation, Ekaterinburg
References
- Morozov I.S. Primeneniye khlora v metallurgii redkikh i tsvetnykh metallov [Application of chlorine in metallurgy of rare and non-ferrous metals]. M.: Nauka. 1966. [In Russian]
- Nekhamkin L.G., Ed. Metallurgiya tsirkoniya i gafniya [Metallurgy of zirconium and hafnium]. M.: Metallurgiya. 1979. [In Russian]
- Drobot D.V., Lysakova E.I., Reznik A.M. Izbrannyye glavy khimii i tekhnologii redkikh i rasseyannykh elementov. Khimiya i tekhnologiya tsirkoniya i gafniya [Selected chapters of chemistry and technology of rare and trace elements. Chemistry and technology of zirconium and hafnium]. M.: MITHT im. M.V. Lomonosov. 2013. [In Russian]
- Sheka I.A., Karlysheva K.F. Khimiya gafniya [Chemistry of hafnium]. Kiyev: Naukova dumka. 1972. [In Russian]
- Flengas S.N., Pint P. Potential chloride electrolytes for recovering the metals Ti, Zr and Hf by fused salt electrolysis // Canad. Metallurg. Quart. 1969. 8. № 2. P. 151−166.
- Flengas S.N., Block-Bolten A. Solubilities of reactive gases in molten salts. In: Advances in molten salt chemistry. Braunstein, G. Mamantov, and G. P. Smith, Eds., New York: Plenum Press, 1973. 2. P. 27−81.
- Wei R., Huang Z., Wei T., Wang Z., Jiao S. Review − Preparation of hafnium metal by electrolysis // J. Electrochem. Soc. 2024. 171. № 2. P. 022501.
- Li S., Che Y., Song J., Li C., Shu Y., He J., Yang B. Electrochemical studies on the redox behavior of Zr(IV) in the LiCl−KCl eutectic molten salt and separation of Zr and Hf // J. Electrochem. Soc. 2020. 167. № 2. P. 023502.
- Panfilov A.V., Korobkov A.V., Buzmakov V.V., Tereshin V.V., Ivshina A.A., Abramov A.V., Danilov D.A., Chukin A.V., Polovov I.B. Izucheniye sostava rasplava KCl–AlCl3 –ZrCl4 –HfCl4 primenitel’no k ekstraktivnoy rektifikatsii khloridov tsirkoniya i gafniya [Study of the composition of the KCl–AlCl3 ZrCl4–HfCl4 melt in relation to extractive rectification of zirconium and hafnium chlorides] // Rasplavy. 2024. № 2. P. 211−222. [In Russian]
- Salyulev A.B., Potapov A.M. Electrical conductivity of ZrCl4 solutions in molten LiCl, NaCl−KCl (1:1) and HfCl4 solutions in molten KCl // Z. Naturforsch. 2022. 77a. № 10. P. 941−948.
- Salyulev A.B., Potapov A.M. Electrical conductivity of zirconium tetrachloride solutions in molten sodium, potassium and cesium chlorides // Z. Naturforsch. 2019. 74a. № 10. P. 925−930.
- Salyulev A.B., Khokhlov V.A., Redkin A.A. Electrical conductivity of low-temperature NaCl−KCl−ZrCl4 melts // Russ. Metallurgy (Metally) 2014. 2014. № 8. P. 659−663.
- Salyulev A.B., Potapov A.M. Electrical conductivities of low-temperature KCl−ZrCl4 and CsCl−ZrCl4 molten mixtures // Z. Naturforsch. 2018. 73a. № 3. P. 259−263.
- Zou W., Wu Y., Wang L., Yan G., Ma Z., Zhang J. Preparation and application of a NaCl–KCl–CsCl–Cs2ZrCl6 composite electrolyte // Materials. 2023. 16. № 6. P. 2270.
- Smirnov M.V., Salyulev A.B., Kudyakov V.Ya. Thermodynamic properties and decomposition potential of HfCl4 solutions in molten alkali chlorides and their mixtures // Electrochim. Acta. 1984. 29. № 8. P. 1087–1100.
- Salyulev A.B., Potapov A.M. Electrical conductivity of ZrCl4 solutions in the molten LiCl−KCl eutectic mixture // Russ. Metallurgy (Metally). 2024. 2024. № 8. P. 204−210.
- Salyulev A.B., Khokhlov V.A., Moskalenko N.I. Electrical conductivity of KAlCl4−ZrCl4 molten mixtures // Russ. Metallurgy (Metally). 2017. 2017. № 2. P. 95−99.
- Nikolaev A.Yu., Mullabaev A.R., Suzdaltsev A.V., Kovrov V.A., Kholkina A.S., Shishkin V.Yu., Zaikov Yu.P. Purification of alkali-metal chlorides by zone recrystallization for use in pyrochemical processing of spent nuclear fuel // Atomic Energy. 2022. 131. № 8. P. 195−201.
- Salyulev A.B., Potapov A.M., Shishkin V.Yu., Khokhlov V.A. Electrical conductivity of quasi-binary (LiCl−KCl)eut.−CdCl2 melts // Electrochim. Acta. 2015. 182. № 10. P. 821−826.
- Van Artsdalen E.R., Yaffe I.S. Electrical conductance and density of molten salt systems: KCl−LiCl, KCl−NaCl and KCl−KI // J. Phys. Chem. 1955. 59. № 2. P. 118−127.
- Janz G.J., Tomkins R.P.T., Allen C.B., Downey J.R, Jr., Gardner G.L., Krebs U., Singer S.K. Molten salts. Chlorides and mixtures − electrical conductance, density, viscosity, and surface tension data // J. Phys. Chem. Ref. Data. 1975. 4. № 4. P. 871−1178.
- Salyulev A.B., Potapov A.M. Electrical conductivity of (LiCl−KCl)eut. −SrCl2 molten mixtures // J. Chem. Eng. Data. 2021. 66. № 12. P. 4563−4571.
- Sakamura Y., Inoue T., Iwai T., Moriyama H. Chlorination of UO2, PuO2 and rare earth oxides using ZrCl4 in LiCl–KCl eutectic melt // J. Nucl. Mater. 2005. 340. № 1. P. 39−51.
- Salyulev A.B., Kornyakova I.D. Spektry kombinatsionnogo rasseyaniya rasplavlennogo i paroobraznogo tetrakhlorida tsirkoniya [Raman spectra of molten and vaporous zirconium tetrachloride] // Rasplavy. 1994. № 2. P. 60−64. [In Russian]
- A.B. Salyulev, Zakiryanova I.D. Spektry kombinatsionnogo rasseyaniya tverdogo, rasplavlennogo i gazoobraznogo tetrakhlorida gafniya [Raman spectra of solid, molten and gaseous hafnium tetrachloride] // Rasplavy. 1995. № 3. P. 58−61. [In Russian]
- Salyulev A.B., Potapov A.M. Conductivity of some molten chlorides at elevated temperatures II. Electrical conductivity of molten chlorides (InCl3, ZrCl4, HfCl4) with negative temperature coefficients // J. Chem. Eng. Data. 2021. 66. № 1. P. 322−329.
- Smirnov M.V., Stepanov V.P., Khokhlov V.A. Ionic structure and physicochemical properties of molten halides // Rasplavy. 1988. № 1. P. 51−59.
- Kirillov S.A., Pavlatou E.A., Papatheodorou G.N. Instantaneous collision complexes in molten alkali halides: Picosecond dynamics from low-frequency Raman data // J. Chem. Phys. 2002. 116. № 21. P. 9341−9351.
- Kipouros G.J., Flint J.H., Sadoway D.R. Raman spectroscopic investigation of alkali-metal hexachloro compounds of refractory metals // Inorg. Chem. 1985. 24. № 23. P. 3881−3884.
- Salyulev A.B., Zakir’yanova I.D., Vovkotrub E.G. Issledovaniye produktov vzaimodeystviya ZrCl4 i HfCl4 s khloridami shchelochnykh metallov i s pentakhloridom fosfora metodom spektroskopii KR [Investigation of reaction products of ZrCl4 and HfCl4 with alkali metal chlorides and phosphorus pentachloride by Raman spectroscopy] // Rasplavy. 2012. № 5. P. 53−61. [In Russian]
- Yao B.-L., Liu K., Liu Y.-L., Yuan L.-Y., He H., Chai Z.-F., Shi W.-Q. Raman and electrochemical study of zirconium in LiCl−KCl−LiF−ZrCl4 // J. Electrochem. Soc. 2018. 165. № 2. P. D6−D12.
- Shannon R.D. Revised effective ionic radii and systematic studies of interatomic distances in halides and chalcogenides // Acta Crystallogr. 1976. A 32. P. 751−767.
- Chekmarev A.M. Osobennosti kompleksokhimicheskogo povedeniya ionov tsirkoniya i gafniya [Features of the complex-chemical behavior of zirconium and hafnium ions] // Koordinats. khimiya. 1981. 7. № 24. P. 819–852. [In Russian]
- Potapov A.M., Salyulev A.B. Sposob opredeleniya elektroprovodnosti slozhnykh mnogokomponentnykh smesey rasplavlennykh soley [Method for determining the electrical conductivity of complex multicomponent mixtures of molten salts]. Patent RU № 278859. Published 23.01.2023. [In Russian]
Supplementary files





