Corrosion electrochemical behavior of metal matrix composites “Al-nano-Al2O3” IN 0.5M NaCl aqueous solution
- Authors: Kvashnichev A.G.1, Yolshina L.A.1, Pryakhina V.I.2
-
Affiliations:
- Institute of High-Temperature Electrochemistry Ural Branch of RAS
- Ural Federal University named by B.N. Yeltsin
- Issue: No 2 (2024)
- Pages: 166-178
- Section: Articles
- URL: https://journals.rcsi.science/0235-0106/article/view/259463
- DOI: https://doi.org/10.31857/S0235010624020029
- ID: 259463
Cite item
Full Text
Abstract
The corrosion-electrochemical behavior of nanocomposites of the “aluminum-nano-aluminum oxide” system, formed by direct chemical interaction of molten aluminum with titanium nanooxide in an environment of molten alkali metal chlorides at temperatures above 700оC, has been studied. Nanoalumina crystals in the α-Al2O3 modification, uniformly distributed throughout the volume of the metal matrix, were detected by means of electron microscopy and X-ray diffraction. The corrosion rate in 0.5M NaCl, determined by the gravimetric method, decreases by 3–4 times when moving from initial aluminum to Al-Al2O3 composites, while the nature of corrosion changes from pitting to uniform and the corrosion resistance class from 3 (resistant) to 2 (very persistent). This is due to the formation of a denser single-phase hydroxide coating on the surface of the composite compared to a two-phase loose coating on aluminum. The corrosion potential is not affected by the incorporation of aluminum oxide nanoparticles into the aluminum matrix.
Full Text
ВВЕДЕНИЕ
Металлическим материалам, в том числе и на основе алюминиевых сплавов, можно придавать новые функциональные характеристики путем введения в них микро- и наноразмерных порошков оксидов, нитридов, карбидов металлов и неметаллов, а также новых углеродных материалов [1, 2]. Такие композиционные материалы отличаются по своим характеристикам от обычных алюминиевых сплавов большей надежностью при критических нагрузках и длительностью сроков эксплуатации. В композитах с металлической матрицей сочетаются достоинства конструкционных металлических материалов с достоинствами наполнителя. Поэтому для металломатричных композиционных материалов характерны высокие значения прочностных характеристик, модулей упругости, вязкости разрушения, они сохраняют стабильность своих характеристик в широких температурных пределах, обладают высокой электро- и теплопроводностью, а также малой чувствительностью к поверхностным дефектам [3–5].
С термодинамической точки зрения алюминий – достаточно коррозионно-активный материал. Его стандартный электродный потенциал составляет –1.663 В относительно нормального водородного электрода [6].
Однако такой высокий отрицательный потенциал приводит к образованию на воздухе защитной оксидной пленки на поверхности металла, препятствующей дальнейшему разрушению металла. Ее толщина обычно варьируется от 5 до 50 нм. Однако представление о важной роли оксидной пленки хоть и отражает специфичность коррозионного поведения алюминия, но не объясняет его поведение полностью в различных средах. Во-первых, следует учитывать сложность процесса пассивации алюминия, а не только конечное образование защитной пленки. Во-вторых, коррозионную стойкость алюминия и его сплавов можно оценить скоростью равномерной коррозии (т. е. по потерям массы) лишь в незначительной степени, и только в тех случаях, в которых превалирует процесс общего растворения. Такими процессами можно назвать коррозию в агрессивных кислых или щелочных средах, процессы, протекающие при высокой скорости движения раствора или же процессы, протекающие при высоких температурах в водных средах. В остальных же случаях коррозионная стойкость алюминия определяется процессами локальной коррозии, развивающейся по границам зерен, вдоль раздела металлических фаз в алюминиевых сплавах, на деформированных участках и т. д. [7, 8].
В нейтральных средах пассивирующая оксидная пленка тормозит не только сопряженную анодную реакцию растворения металла, но и катодную реакцию восстановления кислорода [9]. Наличие остаточного тока на чистом алюминии обусловлено наличием дефектов в оксидной пленке. Для алюминия это обуславливает существенное изменение коррозионного поведения по сравнению с пассивными металлами, например, железо или никель.
В нейтральных и щелочных растворах реакция растворения алюминия описывается ур. (1):
Al + 4OH– → Al (OH)4–+ 3e (1)
Эта реакция протекает через промежуточную стадию растворения твердого оксида или гидроксида по ур. (2):
Al (OH)3+ OH–, → Al (OH)4–, (2)
Эта реакция является лимитирующей стадией анодного процесса растворения металла. Скорость растворения металла определяется диффузией ионов Al (OH)4–, и OH–, и, в частности, скоростью доставки гидроксо-ионов к поверхности электрода.
Целью данного исследования было изучение коррозионного поведения образцов композита системы Al-Al2O3 в нейтральном растворе 0.5М NaCl.
ЭКСПЕРИМЕНТАЛЬНАЯ ЧАСТЬ
Получение металлических композиционных материалов системы Al-Al2O3 проводили методом одностадийной реакции расплавленного алюминия с порошком диоксида титана в расплаве галогенидов щелочных металлов в печи вертикального нагрева в алундовом тигле по разработанному нами методу [10, 11]. В качестве исходного алюминия использовали высокочистый алюминий марки А95 чистотой 99.0 мас.%. Основной примесью технического алюминия было железо, около 1 мас.%. Размеры алюминиевых образцов были подобраны соответственно диаметру алундового тигля. Основу солевого флюса составляли легкоплавкие смеси расплавленных хлоридов натрия и калия. В составе солевого флюса использовали также небольшие добавки (до 2 мас.%) фторидов натрия, калия, аммония или алюминия. В качестве добавки использовали нанопорошки диоксида титана, полученные методом гальваностатической поляризации титанового электрода в расплаве CsCl-NaCl-5 мас.% NaNO3 [12], в концентрациях от 0.5 до 1.0 мас.%. Соли тщательно измельчали и перемешивали с оксидной навеской, после чего насыпали их на дно тигля, сверху помещали алюминиевый образец, на который сверху насыпали солевой флюс, не содержащий добавок оксида. Температурный интервал, в котором проводили исследования, был определен, как 700–750оС. Время взаимодействия алюминия после расплавления алюминия и солевой смеси составляло от 3 до 5 ч. Полученный металлический материал выливали вместе с солью в холодный тигель с контролируемой скоростью охлаждения. После застывания соль растворяли, металлический королек взвешивали, определяли его плотность и изучали его химический состав и структуру.
Для определения массовой доли частиц оксида алюминия в полученном композиционном материале был проведен волюмометрический анализ при растворении образца композита в 30% соляной кислоте с последующим пересчетом выделившегося водорода на массу чистого алюминия в образце по реакции (3):
2Al + 6HCl → 2AlCl3 + 3H2 (3)
Из образцов исходного алюминия и алюминиевых композитов с различным содержанием оксида алюминия вырезали бруски размером 0.5×0.5×1.5 см, после чего заливали их в эпоксидную смолу и в качестве рабочего электрода использовали только торец со средней площадью электрода 0.3 см2. Исследования электрохимической коррозии проводили в стандартной трехэлектродной ячейке ЯСЭ-2 с хлорсеребряным электродом сравнения и платиновым вспомогательным электродом, рабочим электродом в которой служили исходный алюминий или образцы композиционного материала системы Al-Al2O3 с различным содержанием оксида алюминия.
Плотности коррозионных токов были найдены путем экстраполяции прямолинейных участков поляризационных кривых, построенных в координатах Тафеля. Абсолютные погрешности измерений плотностей токов и потенциалов были рассчитаны с помощью дисперсии нескольких параллельных измерений для одного и того же образца.
Коррозию алюминиевых металломатричных композитов с различным содержанием оксида алюминия в них в растворе 0.5 М NaCl определяли гравиметрическим методами в ходе длительных 12 недельных коррозионных испытаний при комнатной температуре. Для проведения коррозионных испытаний из объема металлического композита с разным содержанием оксида алюминия вырезали по три образца, которые затем полировали на шлифовальных бумагах. Затем поверхности образцов обезжиривали этиловым спиртом и высушивали. Образцы Al-Al2O3 композитов со средним размером 1.0×1.5×0.3 см свободно подвешивали в открытом стакане. Взвешивания проводили 1 раз в неделю: образцы отмывали дистиллированной водой от соли и продуктов коррозии, высушивали, взвешивали, обезжиривали и снова помещали в раствор, объем раствора хлорида натрия составлял 100 мл, его корректировали в ходе эксперимента вследствие испарения из открытого стакана.
Все измерения проводились при комнатной температуре в условиях естественной аэрации.
Скорость гравиметрической коррозии исходного алюминия и алюминиевых композитов определяли по формуле:
(4)
где ∆m = m1 – m2 – разность между начальной и конечной массой, г; S – площадь образцов, см2; τ – продолжительность выдержки, ч.
РЕЗУЛЬТАТЫ И ОБСУЖДЕНИЕ
Синтез частиц оксида алюминия протекает при взаимодействии алюминия с нанооксидом титана по реакции (5) с образованием нанооксида алюминия в объеме расплавленного алюминия и выделением индивидуального титана. Но т. к. температуры взаимодействия (700–800оC) невысоки, расплавления образуемого металлического титана не происходит.
4Al + 3TiO2 = 2Al 2O3 + 3Ti (5)
ΔG700 °C = –417.3 кДж/моль; ΔG750 °C = –410.7 кДж/моль; ΔG800 °C = –404.6 кДж/моль.
Получаемые при этом алюминий-оксидные композиты отличаются равномерным распределением по объему алюминия частиц оксида размером до 200 нм, что приводит к высокой однородности свойств композитов (Рис. 1). Проведенное рентгенофазовое исследование продуктов взаимодействия расплавленного алюминия с нанооксидом титана в среде расплавленных галогенидов щелочных металлов при 700оC показало, что на рентгенограмме имеются пики, соответствующие алюминию и оксиду алюминия (*, Рис. 2). Формирование фазы алюминида титана может происходить только при температуре 800оC и выше и содержаниях титана в алюминии больше 1 мас.%, как видно из рисунка 2, в нашем случае алюминид титана не образуется.
Рис. 1. Изображение поперечного сечения композита Al-Al2O3 во вторичном электронном излучении
Рис. 2. Рентгеновская дифрактограмма композита алюминий-оксид алюминия
Длительные коррозионные испытания являются традиционным методом определения коррозии металлов и сплавов. Коррозионные испытания проводили в стандартном для определения склонности алюминия и его сплавов к питтингообразованию (локальной коррозии) растворе 0.5 М NaCl в течение 12 недель.
Скорости гравиметрической коррозии алюминия и алюминиевых композитов после 12-недельного коррозионного теста, определенные по формуле (4), представлены в таблице 1. Скорости коррозии композитов существенно уменьшаются с повышением концентрации оксида алюминия в них. Абсолютные величины скоростей коррозии очень малы, скорость коррозии композита в 1.5–4 раза меньше скорости коррозии чистого алюминия, при этом скорость коррозии не меняется при увеличении концентрации оксида алюминия в исходном композите с 8 до 18%. Класс коррозионной стойкости алюминия – 3 (стойкий), класс коррозионной стойкости композита Al-Al2O3 повышается до 2 (очень стойкий).
Таблица 1. Величины скорости коррозии алюминия и композитов Al-Al2O3 в растворе 0.5 М NaCl
v,(г/см2 .ч).10-7 | |
Al | 4.9 ± 0.8 |
Al-4.6Al2O3 (мас.%) | 3.2 ± 0.6 |
Al-7.8Al2O3 (мас.%) | 3.1 ± 0.6 |
Al-8.2Al2O3 (мас.%) | 1.7 ± 0.5 |
Al-10.1Al2O3 (мас.%) | 1.2 ± 0.6 |
Al-13.0Al2O3 (мас.%) | 1.6 ± 0.5 |
Al-18.4Al2O3 (мас.%) | 1.6 ± 0.5 |
Этот факт можно объяснить сравнением микрофотографий алюминия и алюминий-оксидного композитных материалов после их трехмесячной выдержки в растворе хлорида натрия, сделанных при одинаковом увеличении (Рис. 3).
Рис. 3. Электронные изображения поверхности образцов после 3 месяцев выдержки в 0.5 растворе NaCl: а – алюминий, б – алюминий-оксидный композит
На поверхности алюминия после выдержки в растворе хлорида натрия наблюдается образование рыхлого оксидного слоя с многочисленными залеченными питтингами (Рис. 3а), в то время как поверхность композита Al – 10.1Al2O3 (мас.%) закрыта бездефектным плотным оксидным слоем без образования питтингов (Рис. 3б), что и является причиной увеличения коррозионной стойкости композита по отношению к чистому металлу.
Проведенный микрорентгеноспектральный анализ поверхности композита Al – 10.1Al2O3 (мас.%) после трехмесячной выдержки в растворе 0.5 М хлорида натрия демонстрирует, что содержание алюминия и кислорода в различных точках поверхности меняется в зависимости от размерности оксидных кристаллов на поверхности (в более мелких кристаллах содержание кислорода выше) (Рис. 4).
Рис. 4. Электронная микрофотография (а) и таблица содержаний алюминия и кислорода в различных точках оксидного покрытия на поверхности композита Al-10.1Al2O3 (мас.%), полученная по данным микрорентгеноспектрального анализа
Исследования, проведенные методом рентгеновской дифракции поверхностей алюминия и композита после 12-недельного коррозионного теста показали, что рыхлый слой на поверхности исходного алюминия состоит помимо собственно алюминия из гидроксидов алюминия структуры гиббсита и байерита (Рис. 5а). В то же время на поверхности композита Al-10.1мас.%Al2O3 (Рис. 5б) образуется однофазное покрытие, состоящее из гидроксида алюминия в модификации байерита.
Рис. 5. Рентгеновская дифрактограмма образцов алюминия (а) и алюминий-оксидного композита (б) после 12 недель выдержки в растворе 0.5 М NaCl
Обзорный фотоэлектронный спектр образца Al – 10.1Al2O3 (мас.%) композита после 12 недельного коррозионного теста (Рис. 6) содержит только пики алюминия на 76.8, кислорода – на 533.8, углерода – 287, хлора – 201 и натрия – на 1074 эВ. Присутствие натрия и хлора на поверхности в следовых количествах объясняется недостаточной отмывкой хлорида натрия, в растворе которого был выполнен коррозионный тест, с поверхности достаточно развитого слоя гидроксида алюминия. Присутствие сателлитного пика углерода при 287 эВ объясняется органическими загрязнениями (например, с рук).
Рис. 6. Обзорный фотоэлектронный спектр образца Al-10.1Al2O3 (мас.%) композита после 12 недельного коррозионного теста в растворе 0.5М NaCl.
Элементный состав продуктов коррозии композита «алюминий-оксид алюминия» приведен в таблице 2.
Таблица 2. Идентификация элементов и количественная оценка обзорного XPS-спектра поверхности образца Al-10.1Al2O3 (мас.%) композита после 12 недельного коррозионного теста в растворе 0.5М NaCl
Элемент | Положение пика, эВ | Высота пика, отн. ед. | FWHM, эВ | ат.% |
O1s | 533.80 | 711821.36 | 3.46 | 49.09 |
Al2p | 76.80 | 119433.16 | 2.95 | 28.52 |
Cl2p | 201.25 | 84624.72 | 3.79 | 5.26 |
C1s | 286.98 | 74051.97 | 3.50 | 14.73 |
Na1s | 1074.01 | 26067.83 | 3.29 | 1.05 |
Разложение пика Al2p высокого разрешения образца алюминий-оксидного композита после коррозионного теста на пики с вершинами на 74.48 и 75.45 эВ (алюминий только в оксидной форме) (Рис. 7) показывает, что вся поверхность композита после теста покрыта равномерным слоем оксида. Коррозия носит равномерный характер, без образования питтингов.
Рис. 7. Спектр высокого разрешения Al2p образца Al-10.1Al2O3 (мас.%) композита после 12 недельного коррозионного теста в растворе 0.5М NaCl.
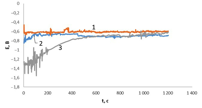
На рис. 8 приведены хронопотенциометрические кривые исходного алюминия и композитов с различным содержанием оксида алюминия в них. Показано, что, как в случае исходного алюминия, так и оксид-содержащего композита величины потенциалов коррозии устанавливаются в течение первых 30 минут и остаются затем постоянными в течение всего времени измерения. Наличие наночастиц оксида алюминия в матрице исходного металла не изменяет величину потенциала коррозии в пределах погрешности в растворе 0.5М NaCl.
Рис. 8. Хронопотенциограммы исходного алюминия (1) и алюминиевых композитов, содержащих 2 – Al-13.5Al2O3 (мас.%) и 3 – Al-8.7Al2O3 (мас.%)в растворе 0.5М NaCl.
На рис. 9 приведены типичные поляризационные кривые исходного алюминия и исследуемых образцов композита, перестроенные в координатах Тафеля. Ход поляризационных кривых (особенно в области потенциалов коррозии) осложнен образованием гидроксида алюминия на поверхности с дальнейшим осыпанием его на дно электрохимической ячейки. Тем не менее, можно говорить, что ход катодных ветвей полностью совпадает. В то время как анодные ветви поляризационных кривых исходного алюминия и оксид-содержащих композитов отличны. Так, на анодной кривой исходного алюминия наблюдается два прямолинейных участка с разными наклонами, что может быть связано с образованием гидроксида алюминия в различных модификациях – гиббсита и байерита, в то время как на всех анодных ветвях поляризационных кривых имеется только один прямолинейный участок, который связан с образованием единственного продукта электрохимической коррозии – байерита.
Рис. 9. Поляризационные кривые исходного алюминия (1) и исследуемых алюминиевых композитов, содержащих оксид алюминия в количестве: 2–8.2%, 3–7.8%, 4–13% в нейтральном растворе 0.5М NaCl.
Были рассчитаны величины плотностей токов коррозий для исходного алюминия и исследуемых композитов с различным содержанием оксида алюминия в них (Табл. 3).
Таблица 3. Значения плотностей токов коррозии и потенциалов алюминия и исследуемых образов композита системы Al-Al2O3 в растворе 3% NaCl
iкор, мкA/см2 | Eст, В | ||
Al | Al | 1.0 ± 0.1 | –0.807 ± 0.024 |
Al-Al2O3 4.6% | Al-4.6Al2O3 (мас.%) | 0.8 ± 0.3 | –0.732 ± 0.042 |
Al-Al2O3 7.8% | Al-7.8Al2O3 (мас.%) | 1.5 ± 0.4 | –0.812 ± 0.019 |
Al-Al2O3 8.2% | Al-8.2Al2O3 (мас.%) | 1.2 ± 0.2 | –0.750 ± 0.038 |
Al-Al2O3 8.7% | Al-8.7Al2O3 (мас.%) | 1.0 ± 0.7 | –0.765 ± 0.039 |
Al-Al2O3 10.1% | Al-10.1Al2O3 (мас.%) | 1.7 ± 0.9 | –0.770 ± 0.063 |
Al-Al2O3 13.0% | Al-13Al2O3 (мас.%) | 0.9 ± 0.6 | –0.805 ± 0.022 |
Al-Al2O3 13.5% | Al-13.5Al2O3 (мас.%) | 1.5 ± 0.8 | –0.741 ± 0.035 |
Al-Al2O3 18.4% | Al-18.4Al2O3 (мас.%) | 1.14 ± 0.08 | –0.790 ± 0.021 |
Величины плотностей токов коррозии исходного алюминия и алюминиевых композитов, содержащих от 4 до 18 мас.% оксида алюминия, остаются практически в пределах погрешности определения, вероятно, вследствие постоянного осаждения и осыпания оксидной фазы на поверхности алюминиевых электродов.
ЗАКЛЮЧЕНИЕ
Исследовано коррозионно-электрохимическое поведение композитов «алюминий- оксид алюминия», содержащие от 4 до 18 мас.% оксида алюминия в растворе 0.5 М NaCl при комнатной температуре. Показано, что образованные in situ наночастицы Al2O3, равномерно распределенные в объеме алюминиевой матрицы, изменяют характер коррозии по сравнению с исходным алюминием – с питтинговой до равномерной, при этом скорость коррозии, определённая гравиметрическим методом, уменьшается в 3–4 раза в зависимости от содержания нанооксида алюминия в алюминиевой матрице. Образующийся на поверхности композита плотный слой гиббсита препятствует дальнейшей коррозии алюминиевого композита, в то время как рыхлый слой многофазного гидроксидного покрытия на поверхности исходного алюминия не защищает его от коррозии. Класс коррозионной стойкости меняется от 3 «стойкий» до 2 «очень стойкий». Введение наночастиц оксида алюминия в металлическую матрицу не изменяет потенциала коррозии, однако, меняет ход анодной поляризационной кривой.
ФИНАНСИРОВАНИЕ РАБОТЫ
Работа выполнена в ИВТЭ УрО РАН по теме 122020100210–9 с использованием оборудования Центра коллективного пользования «Состав вещества» и УЦКП «Современные нанотехнологии» (УрФУ).
About the authors
A. G. Kvashnichev
Institute of High-Temperature Electrochemistry Ural Branch of RAS
Email: yolshina@ihte.ru
Russian Federation, Yekaterinburg
L. A. Yolshina
Institute of High-Temperature Electrochemistry Ural Branch of RAS
Author for correspondence.
Email: yolshina@ihte.ru
Russian Federation, Yekaterinburg
V. I. Pryakhina
Ural Federal University named by B.N. Yeltsin
Email: yolshina@ihte.ru
Russian Federation, Yekaterinburg
References
- B.F. Schultz, J.B. Ferguson, P.K. Rohatgi. Microstructure and hardness of Al2O3 nanoparticle reinforced Al-Mg composites fabricated by reactive wetting and stir mixing. // Materials Science and Engineering A. 2011. 530. Р. 87–97.
- H. Su, W. Gao, Zh. Feng, Zh. Lu. Processing, microstructure and tensile properties of nano-sized Al2O3 particle reinforced aluminum matrix composites // Materials and Design. 2012. 36. P. 590–596.
- L.A. Yolshina, R.V. Muradymov, D.I. Vichuzhanin, E.O. Smirnova, Enhancement of the mechanical properties of aluminum-graphene composites // AIP Conf. Proc. 2016. 1785. № 1. 040093.
- O.A. Chikova, A.B. Finkelstein, A. Schaefer, Microstructures, mechanical properties ingot AlSi7Fe1 after blowing oxygen through melt // Acta Metallurgica Slovaca. 2017. В23. № 1. P. 4–11.
- P. Ma, Y. Jia, P. Konda Gokuldoss, Zh. Yu, Sh. Yang, J. Zhao, Ch. Li. Effect of Al2O3 nanoparticles as reinforcement on the tensile behavior of Al-12Si composites // Metals. 2017. 359. № 7. Р. 11.
- S. Khireche, D. Boughrara, A. Kadri, L. Hamadou, N. Benbrahim. Corrosion mechanism of Al, Al–Zn and Al–Zn–Sn alloys in 3 wt% NaCl solution // Corrosion Science. 2014. 87. P. 504–516.
- D.K. Koli, G. Agnihotri, R. Purohit. A review on properties, behaviour and processing methods for Al-nano Al2O3 composites // Procedia Materials Science. 2014. 6. P. 567–589.
- B. Wang, L. Zhang, Y. Su, X. Mou, Y. Xiao, J. Liu. Investigation on the corrosion behavior of aluminum alloys 3A21 and 7A09 in chloride aqueous solution // Materials and Design.2013. 50. P. 15–21.
- J. Ma, J. Wen, J. Gao, Q. Li. Performance of Al-0.5 Mg-0.02 Ga-0.1 Sn-0.5 Mn as anode for Al-air battery in NaCl solutions // Journal of Power Sources. 2014. 253. P. 419–423.
- L.A. Yolshina, A.G. Kvashinchev. Chemical interaction of liquid aluminum with metal oxides in molten salts // Materials and Design. 2016. 105. P. 124–132.
- L.A. Yolshina, A.G. Kvashnichev, D.I. Vichuzhanin, E.O. Smirnova. mechanical and thermal properties of aluminum matrix composites reinforced by in situ Al2O3 nanoparticles fabricated via direct chemical reaction in molten salts // Appl. Sci. 2022. 12. № 17. Р. 8907.
- L.A. Elshina, A.G. Kvashnichev, D.V. Pelegov. Electrochemical synthesis of titanium oxide nanopowders in a molten mixture of alkali chlorides and nitrates // Russian Metallurgy. 2021. № 8. P. 1029–1035.
Supplementary files











