POSSIBILITIES OF NEUTRON ACTIVATION ANALYSIS FOR STUDYING THE CORROSION BEHAVIOR OF METALLIC MATERIALS IN MOLTEN SALTS
- Authors: Khvostov S.S.1, Golosov O.A.1, Nikitina E.V.2, Karfidov E.A.2, Glushkova N.V.1, Zaikov Y.P.2
-
Affiliations:
- Research Institute of Nuclear Materials
- High Temperature Electrochemistry of the Ural Branch of the RAS
- Issue: No 6 (2023)
- Pages: 644-651
- Section: Articles
- URL: https://journals.rcsi.science/0235-0106/article/view/162347
- DOI: https://doi.org/10.31857/S0235010623060038
- EDN: https://elibrary.ru/DLIUGV
- ID: 162347
Cite item
Full Text
Abstract
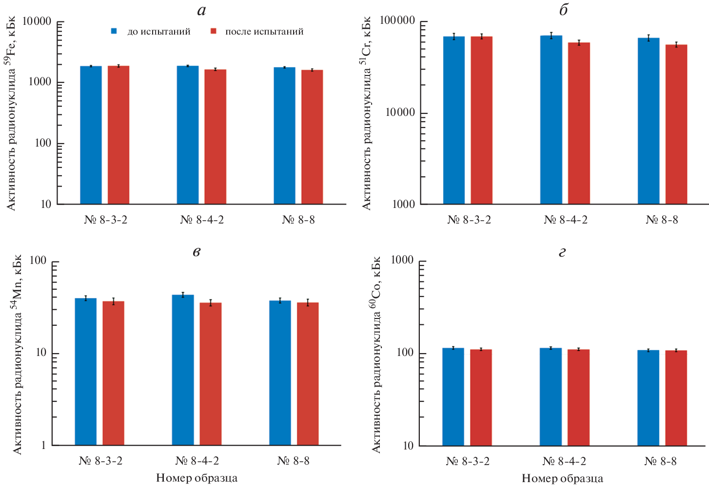
For the BREST-OD-300 reactor facility [1, 2], the technology for evaluating mixed nitride uranium-plutonium spent economical fuel is being determined [3–9]. To separate MNUP SNF from fuel claddings made of materials with high radiation resistance – ferritic-martensitic steel EP-823 [10–16], it is planned to use pyrometallurgical grades of “soft chlorination” [17]. When alloying and impurity elements of steel EP-823 are dissolved in molten salts of eutectic composition based on lithium and potassium chlorides, the melt will be contaminated. For the same reason, the formation of volatile compounds will occur, with their further mass transfer from hot to cold sections of process equipment. When studying the corrosion behavior of metals and alloys in liquid media, the problem often arises of determining small amounts of dissolution products in solution. This problem arises, for example, the rate of dissolution of microimpurities. The sensitivity of the usual, traditional methods used in corrosion testing such as mass loss or colorimetric determination of corrosion products in solution is often insufficient to make appropriate measurements. In these cases, the most effective is the use of the radiochemical method of neutron activation analysis based on. qualitative and quantitative determination of chemical elements, based on the measurement of the radiation characteristics of radionuclides formed during the irradiation of materials with neutrons. This paper presents the results of a study of the corrosion behavior and mass transfer of corrosion products of EP-823 steel pre-irradiated in the IVV-2M research nuclear reactor in molten salts 2KCl–3LiCl and 2KCl–3LiCl–PbCl2 at temperatures of 500 and 650°C for 24 h. It is shown that the method of neutron activation analysis can be used to study the corrosion behavior of EP-823 steel in molten salts of various compositions.
Keywords
About the authors
S. S. Khvostov
Research Institute of Nuclear Materials
Author for correspondence.
Email: khvostov_ss@irmatom.ru
Russia, Zarechnyy
O. A. Golosov
Research Institute of Nuclear Materials
Email: khvostov_ss@irmatom.ru
Russia, Zarechnyy
E. V. Nikitina
High Temperature Electrochemistry of the Ural Branch of the RAS
Email: khvostov_ss@irmatom.ru
Russia, Yekaterinburg
E. A. Karfidov
High Temperature Electrochemistry of the Ural Branch of the RAS
Email: khvostov_ss@irmatom.ru
Russia, Yekaterinburg
N. V. Glushkova
Research Institute of Nuclear Materials
Email: khvostov_ss@irmatom.ru
Russia, Zarechnyy
Yu. P. Zaikov
High Temperature Electrochemistry of the Ural Branch of the RAS
Email: khvostov_ss@irmatom.ru
Russia, Yekaterinburg
References
- Orlov V.V., Filin A.I., Lopatkin A.V. The closed on-site fuel cycle of the BREST reactors // Progressin Nuclear Energy. 2001. 47. № 1–4. Р. 171–175.
- Dragunov Y.G., Lemekhov V.V., Smirnov V.S. // Atomic Energy. 2012. 113. № 1. Р. 70–77. https://doi.org/10.1007/s10512-012-9597-3
- Salyulev A., Potapov A., Khokhlov V., Shishkin V. The electrical conductivity of model melts based onLiCl–KCl, used for the processing of spent nuclear fuel // Electrochim. Acta. 2017. 257. Р. 510–515.
- Zhitkov A., Potapov A., Karimov K., Shishkin V., Dedyukhin A., Zaykov Y. // Nuclear Engineering and Technology. 2022. 52. Р. 123–134. https://doi.org/10.1016/j.net.2019.07.006
- Salyulev A., Potapov A. // J. Chem. Eng. Data. 2021. 66. № 12. Р. 4563–4571. https://doi.org/10.1021/acs.jced.1c00591
- Salyulev A.B., Shishkin A.V., Shishkin V.Yu., Zaikov Yu.P. // Atomic Energy. 2019. 126. Р. 226–229. https://doi.org/10.1007/s10512-019-00541-1
- Zaikov Yu.P., Shishkin V.Yu., Potapov A.M., Dedyukhin A.E., Kovrov V.A., Kholkina A.S., Volkovich V.A., Polovov I.B. // J. Phys.: Conf. Series. 2020. 1475. Р. 012027. https://doi.org/10.1088/1742-6596/1475/1/012027
- Adamov E.O., Mochalov Yu.S., Rachkov V.I., Khomyakov Yu.S., Shadrin A.Yu., Kascheev V.A., Khaperskaya A.V. // Atomic Energy. 2021. 130. № 1. Р. 29–35.
- https://doi.org/10.1007/s10512-021-00769-w
- Zherebtsov A.A., Mochalov Yu.S., Shadrin A.Yu., Zaikov Yu.P., Gorbachev M.K., Sokolov K.A., Kisly V.A., Goncharov D.A. // J. Phys.: Conf. Series. 2020. 1475. Р. 012007. https://doi.org/10.1088/1742-6596/1475/1/012007
- Klueh R.L., Kai J.J., Alexander D.J. Microstructure-mechanical properties correlation of irradiated conventional and reduced-activation martensitic steels // J. Nucl. Mater. 1995. 225. Р. 175–186.
- Kai J.J., Klueh R.L. Microstructural analysis of neutron-irradiated martensitic steels // J. Nucl. Mater. 1996. 230. Р. 116–123.
- Schaeublin R., Gelles D., Victoria M. Microstructure of irradiated ferritic/martensitic steels in relation to mechanical properties // J. Nucl. Mater. 2002. 307–311. Р. 197–202.
- Mathon M.H., Carlan Y., Geoffroy G., Averty X., Alamo A., Novion C.H. A SANS investigation of the irradiation-enhanced α–α׳ phases separation in 7–12 Cr martensitic steels // J. of Nucl. Mater. 2003. 312. Р. 236–248.
- Porollo S.I., Dvoriashin A.M., Konobeev Yu.V., Garner F.A. Microstructure and mechanical properties of ferritic/martensitic steel EP-823 after neutron irradiation to high doses in BOR-60 // J. of Nucl. Mater. 2004. 329–333. Р. 314–318.
- Dvoriashin A.M., Porollo S.I., Konobeev Yu.V., Garner F.A. Influence of high dose neutron irradiation on microstructure of EP-450 ferritic–martensitic steel irradiated in three Russian fast reactors // J. Nucl. Mater. 2004. 329–333. Р. 319–323.
- Gorynin I.V., Karzov G.P., Markov V.G. Structural materials for nuclear reactors with lead-based liquid metal coolants. Radiation materials science and structural strength of reactor materials. St. Petersburg: Publishing House of TsNIIKM “Prometheus”, 2002.
- Shadrin A.Yu., Volk V.I., Poluektov P.P., Kormilitsyn M.V. Obrashcheniye s OYAT bystrykh reaktorov, ispol’zuyushchikh plotnoye toplivo [Handling SNF from fast reactors using dense fuel] // Bezopasnost’ yadernykh tekhnologiy i okruzhayushchey sredy. 2012. № 1. P. 78–81. [In Russian].
- Golosov O.A., Nikolkin V.N., Bakhtina Ye.A. Model’ korrozii staley v svintse [Model of corrosion of steels in lead] // Innovatsionnyye proyekty i tekhnologii yadernoy energetiki: sb. dokladov IV mezhdunarodnoy nauchno-tekhnicheskoy konferentsii. 2016. 1. P. 350–362. [In Russian].
- Guma V.I., Demidov A.M., Ivanov V.A., Miller V.V. Neytronno-aktivatsionnyy analiz [Neutron activation analysis]. M.: Energoatomizdat, 1984. [In Russian].
- Blankov Ye.B., Blankova T.N., Rusyayev V.G., Yakubson K.I. Neytronno-aktivatsionnyy analiz v geologii i geofizike [Neutron activation analysis in geology and geophysics]. M.: Nauka, 1972. [In Russian].




