Влияние материала катода на кинетику электровосстановления ионов кремния в расплаве KCl–CsCl–K2SiF6
- Авторы: Гевел Т.А.1, Горшков Л.В.1, Суздальцев А.В.1,2, Зайков Ю.П.1,2
-
Учреждения:
- Уральский федеральный университет
- Институт высокотемпературной электрохимии УрО РАН
- Выпуск: № 5 (2023)
- Страницы: 491-501
- Раздел: Статьи
- URL: https://journals.rcsi.science/0235-0106/article/view/141795
- DOI: https://doi.org/10.31857/S0235010623050055
- EDN: https://elibrary.ru/YUYDCJ
- ID: 141795
Цитировать
Полный текст
Аннотация
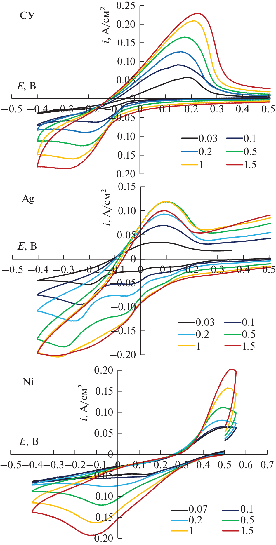
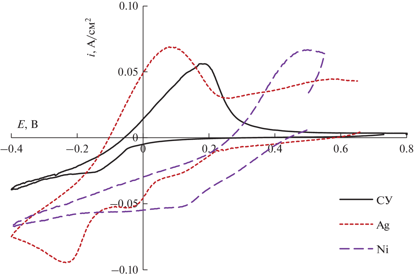
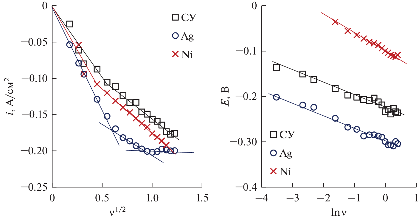
Благодаря возможности управления составом и морфологией одним из перспективных способов получения кремния и его материалов является электролиз расплавленных солей. Однако для этого необходимы данные о влиянии различных факторов на кинетику электроосаждения кремния. В настоящей статье методами циклической вольтамперометрии и хроноамперометрии изучено влияние материала катодной подложки на кинетику электровосстановления ионов кремния в малофторидном расплаве (мас. %) 57KCl–43CsCl с добавкой 2.8 мас. % K2SiF6 при температуре 730°С. В качестве подложек выбраны взаимодействующие и индифферентные по отношению к кремнию материалы: стеклоуглерод, серебро и никель. На стеклоуглеродном электроде электровосстановление ионов кремния протекает в области потенциалов отрицательнее –0.05 В, на серебряном – отрицательнее 0.05 В, и на никелевом – отрицательнее 0.40 В относительно потенциала кремниевого квазиэлектрода сравнения. Для всех исследованных подложек наблюдается протекание катодного процесса, не являющегося электрохимически обратимым. При этом, согласно хроноамперным измерениям, стадия зарождения новой фазы на катоде не оказывает влияния на кинетику исследуемого процесса. Предположительно, в случае стеклоуглерода и серебра необратимость может вызвана замедленным разрядом, в то время как на никелевом электроде электроосаждение кремния сопровождается образованием силицидов никеля. Из вольтамперных и хроноамперных зависимостей был оценен коэффициент диффузии ионов кремния к стеклоуглеродному электроду, значения которого составили 1.5 · 10–5 и 1.2 · 10–5 см2/с соответственно.
Ключевые слова
Об авторах
Т. А. Гевел
Уральский федеральный университет
Email: a.v.suzdaltsev@urfu.ru
Россия, 620002, Екатеринбург
Л. В. Горшков
Уральский федеральный университет
Email: a.v.suzdaltsev@urfu.ru
Россия, 620002, Екатеринбург
А. В. Суздальцев
Уральский федеральный университет; Институт высокотемпературной электрохимии УрО РАН
Автор, ответственный за переписку.
Email: a.v.suzdaltsev@urfu.ru
Россия, 620002, Екатеринбург; Россия, Екатеринбург
Ю. П. Зайков
Уральский федеральный университет; Институт высокотемпературной электрохимии УрО РАН
Email: a.v.suzdaltsev@urfu.ru
Россия, 620002, Екатеринбург; Россия, Екатеринбург
Список литературы
- Кулова Т.Л. Новые электродные материалы для литий-ионных аккумуляторов (Обзор) // Электрохимия 2013. 49. № 1. С. 1–25.
- Leonova A.M., Bashirov O.A., Leonova N.M., Lebedev A.S., Trofimov A.A., Suzdaltsev A.V. Synthesis of C/SiC mixtures for composite anodes of lithium-ion power sources // Applied Sciences. 2023. 13. P. 901.
- Суздальцев А.В., Гевел Т.А., Парасотченко Ю.А., Павленко О.Б. Краткий обзор результатов использования электроосажденного кремния для устройств преобразования и накопления энергии // Расплавы. 2023. № 1. С. 99–108.
- Исаков А.В., Худорожкова А.О., Вовкотруб Э.Г., Воробьев А.С., Редькин А.А., Зайков Ю.П. Влияние KI на взаимодействия в системах KF–KCl, содержащих K2SiF6 и SiO2 // Расплавы. 2021. № 1. С. 65–78.
- Anfimov I.M., Kobeleva S.P., Malinkovich M.D., Shchemerov I.V., Toporova O.V., Parkhomenko Yu.N. Mechanisms of electroconductivity in silicon–carbon nanocomposites with nanosized tungsten inclusions within a temperature range of 20–200°C // Rus. Microelectronics. 2013. 42. P. 488–491.
- Леонова Н.М., Леонова А.М., Баширов О.А., Лебедев А.С., Трофимов А.А., Суздальцев А.В. Аноды на основе С/SiC для литий-ионных источников тока // Электрохим. энергетика. 2023. 23. № 1. С. 41–50.
- Кайбичев А.В., Кайбичев И.А. Особенности очистки технического кремния при плавке в гелии с воздействием на расплав электрического поля на молибденовом и графитовом электроде // Расплавы. 2019. № 3. С. 258–264.
- Stulov Y., Dolmatov V., Dubrovskiy A., Kuznetsov S. Electrochemical synthesis of functional coatings and nanomaterials in molten salts and their application // Coatings. 2023. 13. P. 352.
- Голосов О.А., Хвостов С.С., Старицын С.В., Барыбин А.В., Пастухов В.И., Глушкова Н.В., Зайков Ю.П., Никитина Е.В., Казаковцева Н.А. Скорость коррозии стали ЭП-823 в расплавах хлоридов щелочных металлов // Расплавы. 2023. № 2. С. 203–218.
- Агеегеева Е.В., Серебровский В.И., Серникова О.С. Оптимизация процесса электроосаждения композиционных покрытий из электролитов-суспензий // Изв. Юго-Западного гос. ун-та. Серия: Техника и технологии. 2023. 13. № 1. С. 32–47.
- Laptev M.V., Isakov A.V., Grishenkova O.V., Vorob’ev A.S., Khudorozhkova A.O., Akashev L.A., Zaikov Y.P. Electrodeposition of thin silicon films from the KF–KCl–KI–K2SiF6 melt // J. Electrochem. Soc. 2020. 167. P. 042506.
- Pavlenko O.B., Ustinova Yu.A., Zhuk S.I., Suzdaltsev A.V., Zaikov Yu.P. Silicon electrodeposition from low-melting LiCl–KCl–CsCl melts // Rus. Met. 2022. № 8. P. 818–824.
- Зайков Ю.П., Жук С.И., Исаков А.В., Гришенкова О.В., Исаев В.А. Электроосаждение кремния из расплава KF–KCl–KI–K2SiF6 // Расплавы. 2016. № 5. С. 441–454.
- Malyshev V.V., Kushkhov H.B., Shapoval V.I. High-temperature electrochemical synthesis of carbides, silicides and borides of VI-group metals in ionic melts // J. Appl. Electrochem. 2002. 32. № 5. P. 573–579.
- Долматов В.С., Кузнецов С.А. Катодные процессы и химические реакции при электрохимическом синтезе карбидов тантала и кремния в солевых расплавах // Труды Кольского научного центра РАН. Химия и материаловедение, спецвыпуск. 2015. № 5(31). С. 224–227.
- Жук С.И., Гевел Т.А., Зайков Ю.П. Влияние материала подложки на кинетику и механизм электроосаждения кремния из расплава KCl–KF–K2SIF6 // Расплавы. 2021. № 4. С. 354–364.
- Yasuda K., Maeda K., Nohira T., Hagiwara R., Homma T. Silicon electrodeposition in water-soluble KF–KCl molten salt: Optimization of electrolysis conditions at 923 K // J. Electrochem. Soc. 2016. 163. № 3. P. D95–D99.
- Kuznetsova, S.V.; Dolmatov, V.S.; Kuznetsov, S.A. Voltammetric study of electroreduction of silicon complexes in a chloride–fluoride melt // Rus. J. Electrochem. 2009. 45. P. 742–748.
- Gevel T.A., Zhuk S.I., Leonova N.M., Leonova A.M., Suzdaltsev A.V., Zaikov Yu.P. Electrodeposition of silicon from the KCl–CsCl–K2SiF6 melt // Rus. Met. 2022. № 8. P. 958–964.
- Жук С.И., Минченко Л.М., Суздальцев А.В., Исаков А.В., Зайков Ю.П. Электроосаждение кремния из расплавов KF–KCl–K2SiF6 и KF–KCl–KI–K2SiF6 // Изв. вузов. Цвет. металлургия. 2023. 29. № 3. С. 17–26.
- Гевел Т.А., Жук С.И., Устинова Ю.А., Суздальцев А.В., Зайков Ю.П. Электровыделение кремния из расплава KCl–K2SiF6 // Расплавы. 2021. № 2. С. 187–198.
- Roine A. HSC Chemistry® [Software], Outotec, Pori 2018. Software available at www.outotec.com/HSC.
- Bard A.J., Faulkner L.R. Electrochemical methods: fundamentals and applications, 2nd ed. – John Wiley & Sons. N.Y. 2001.
Дополнительные файлы







