Тройная оксидная система CsVO3–Cs2MoO4–Cs2O
- Авторы: Гасаналиев А.М.1, Исраилов М.А.1, Гаматаева Б.Ю.1
-
Учреждения:
- Дагестанский государственный педагогический универистет, НИИ общей и неорганической химии
- Выпуск: № 2 (2023)
- Страницы: 182-189
- Раздел: Статьи
- URL: https://journals.rcsi.science/0235-0106/article/view/138588
- DOI: https://doi.org/10.31857/S0235010623020056
- EDN: https://elibrary.ru/MEFVAF
- ID: 138588
Цитировать
Полный текст
Аннотация
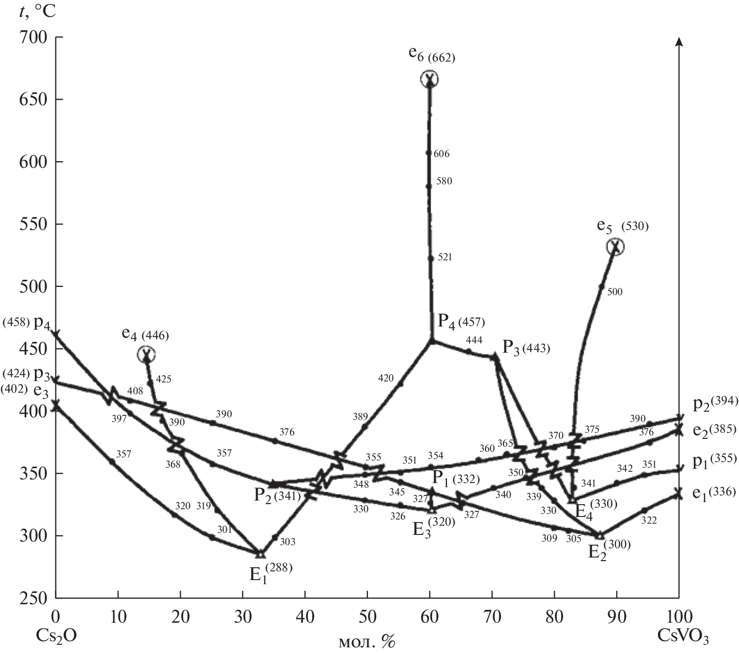
Целью данной статьи является физико-химический анализ процессов фазообразования в тройной оксидной системе CsVO3–Cs2MoO4–Cs2O. При изучении многокомпонентных объектов проводится их предварительный анализ результатов, который позволяет сократить до минимума экспериментальные исследования. Знание фазовых уровней и их закономерности многокомпонентных систем встречает много трудностей, как например, при идентификации равновесных твердых фаз в сложных системах. Кроме того, возникают затруднения изображения этих систем с помощью геометрических фигур. В результате эксперимента выявлены четыре эвтектики и четыре перетектики. С применением комплекса методов физико-химического анализа, в частности, дифференциально-термического анализа (ДТА) [1], визуально-политермического анализа (ВПА) [2], рентгенофазового анализа (РФА) [3] и синхронно-термического анализа на приборе STA 409 PC Luxx фирмы Netsch изучена оксидная система CsVO3–Cs2MoO4–Cs2O. В результате выявлен характер фазовых реакций взаимодействия CsVO3–Cs2MoO4–Cs2O в расплавах системы, исследован по совокупности результатов семнадцати внутренних разрезов, на основании которых построена диаграмма плавкости системы, очерчены поля кристаллизующихся фаз. Установлено, что в тройной оксидной системе согласно термохимическому и структурному анализу топологии и фазообразования реализуется неограниченная системность высокотемпературных модификаций.
Ключевые слова
Об авторах
А. М. Гасаналиев
Дагестанский государственный педагогический универистет,НИИ общей и неорганической химии
Автор, ответственный за переписку.
Email: abdulla.gasanaliev@mail.ru
Россия, Махачкала
М. А. Исраилов
Дагестанский государственный педагогический универистет,НИИ общей и неорганической химии
Email: abdulla.gasanaliev@mail.ru
Россия, Махачкала
Б. Ю. Гаматаева
Дагестанский государственный педагогический универистет,НИИ общей и неорганической химии
Email: abdulla.gasanaliev@mail.ru
Россия, Махачкала
Список литературы
- Берг А.Г. Введение в термографию. М.: Наука, 1969.
- Бергман А.Г. Политермический метод изучения сложных систем // Труды IV Менделеевского съезда по теоретической и прикладной химии. 1932. № 1. С. 631–637.
- Трунов В.К., Ковба А.М. Рентгенофазовый анализ. М.: МГУ, 1976.
- Краева А.Г. Определение комплексов триангуляции n-мерных полиэдров. Прикладная многомерная геометрия // Сб. науч. трудов МАИ. 1969. № 187. С. 76–82.
- Трунин А.С. Алгоритм априорного определения стабильного секущего комплекса во взаимных системах с комплексообразованием // Журн. прикладной химии. 1983. 56. № 4. С. 965.
- Расулов А.И., Мамедова А.К., Гасаналиев А.М., Гаматаева Б.Ю. Априорное прогнозирование и построение древа фаз четырехкомпонентной системы LiNO3–KNO3–NaCl–Sr(NO3)2 // Синтез знаний в естественных науках. Рудник будущего: проекты, технологии, оборудование. Материалы международной научной конференции. Пермь, 2011. 2.
- Scrosati B. Acient Advances in lithium ion battery materials // Electronics. 2000. P. 2461–2466.
- Гасаналиев А.М., Гаматаева Б.Ю., Гасаналиева П.Н., Гаматаев Т.Ш. Исследование типологии многокомпонентных систем методами комбинаторной геометрии // American Scientific J. 2020. № 36. С. 33–39.
- Gasanaliev A., Gamataeva B., Gasanalieva P., Gamataev T., Maglaev P. Differentiation of reciprocal salt systems with complexing of eight salts // Scientific discussion. 2020. № 48.
- Gasanaliev A.M., Gamataeva B.Yu., Gasanalieva P.N., Gamataev T.Sh., Amirov A.M. Ternary system of sodium, caesium and calcium sulphates // American Scientific J. 2020. № 37. P. 54–60.
- Gasanaliev A., Akhmedova P. Differentiation of multicomponent systems. Moscow, 2011.
- Мамедова А.К. Фазовый комплекс и физико-химические свойства системы LiNO3–NaNO3–NaCl–KNO3–Sr(NO3)2. Дис. … канд. хим. наук. Махачкала: изд-во ДГПУ, 2012.
- Гасаналиев А.М., Гасаналиева Б.Ю. Теплоаккумилирующие свойства расплавов. Махачкала: ИРТЭ, 2000.
- Vȁyrynen A., Satminen J. Lithium ion batten producti // Thermodynamics. 2012. 46. P. 80–85.
- Коровин Н.В., Скундин А.М. Химические источники тока. Справочник. М.: МЭИ, 2003.
- Гасаналиев А.М., Гаматаева Б.Ю. Теплоаккумулирующие свойства расплавов // Успехи химии. 2000. 69. № 2. С. 192–200.
- Гасаналиева П.Н. Фазовый комплекс и свойства системы LiNO3–NaNO3–NaCl–KNO3–Sr(NO3)2. Автореф. дис. … канд. хим. наук. Махачкала, ДГПУ, 2009. 108 с.
Дополнительные файлы






