ELECTROCHEMICAL BEHAVIOR OF SCANDIUM IN THE LiF–CaF2–ScF3 MELT
- Authors: Nikolaev A.Y.1, Suzdaltsev A.V.1, Zaikov Y.P.1
-
Affiliations:
- Institute of High-Temperature Electrochemistry UB RAS
- Issue: No 1 (2023)
- Pages: 5-13
- Section: Articles
- URL: https://journals.rcsi.science/0235-0106/article/view/138528
- DOI: https://doi.org/10.31857/S0235010623010073
- EDN: https://elibrary.ru/HEOLXM
- ID: 138528
Cite item
Full Text
Abstract
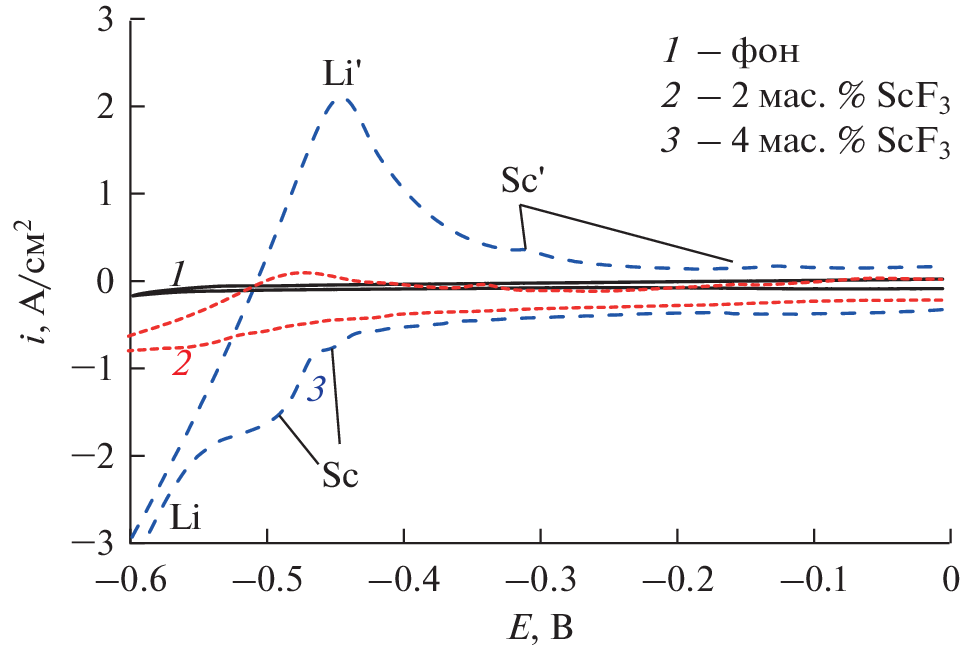
The electrochemical behavior of scandium in halide melts is of interest both from the point of view of developing new electrochemical methods for producing scandium and its materials, and from the point of view of simulating electrochemical behavior of fission products during pyrochemical processing of spent nuclear fuel in molten salts. Using the methods of cyclic voltammetry, square-wave voltammetry and chronopotentiometry, the regularities of electrical reduction of scandium ions depending on the electrolysis parameters of the LiF–CaF2–ScF3 melt at a temperature of 800°C were studied. It is shown that the electrical reduction of scandium in the melt under study occurs at potentials more negative than –0.45 V relative to the potential of the aluminum electrode, while the electrodeposition of scandium on the electrode contributes to the electrical reduction of lithium cations with depolarization. When analyzing the obtained polarization dependences, it was noted that the process of electroreduction of scandium proceeds in one 3-electrode stage, while it is not electrochemically reversible. It has been suggested that the cause of irreversibility is the stage of formation of a new phase. As a result of electrochemical measurements, it was concluded that, due to the wide “electrochemical window”, the LiF–CaF2 melt can be used both for the electrochemical synthesis of scandium and studying regularities of the selective electroreduction or co-electroreduction of minor actinides and lanthanides.
Keywords
About the authors
A. Yu. Nikolaev
Institute of High-Temperature Electrochemistry UB RAS
Email: suzdaltsev_av@ihte.uran.ru
Russia, Yekaterinburg
A. V. Suzdaltsev
Institute of High-Temperature Electrochemistry UB RAS
Author for correspondence.
Email: suzdaltsev_av@ihte.uran.ru
Russia, Yekaterinburg
Yu. P. Zaikov
Institute of High-Temperature Electrochemistry UB RAS
Email: suzdaltsev_av@ihte.uran.ru
Russia, Yekaterinburg
References
- Yatsenko S.P., Pasechnik L.A. Skandiy: nauka i tekhnologiya [Scandium: science and technology]. Yekaterinburg: Izd-vo Ural’skogo un-ta, 2016. [In Russian].
- Shubin A.B., Yamschikov L.F., Raspopin S.P., Bretzer-Portnov I.V. Ravnovesnyye potentsialy skandiya v evtekticheskom rasplave khloridov kaliya i litiya [Equilibrium potentials of scandium in the eutectic melt of potassium and lithium chlorides] // Rasplavy. 1991. № 6. P. 102–104. [In Russian].
- Yatsenko S.P., Skachkov V.M., Pasechnik L.А., Ovsyannikov B.V. Tsikl proizvodstva alyumoskandiyevoy ligatury i splavov [Cycle of production of aluminum–scandium alloys and alloys] // Tsvetnyye metally. 2020. № 3. P. 68–73. [In Russian].
- Suzdaltsev A.V., Filatov A.A., Nikolaev A.Y., Pankratov A.A., Molchanova N.G., Zaikov Yu.P. Extraction of scandium and zirconium from their oxides during the electrolysis of oxide-fluoride melts // Russian Metallurgy. 2018. № 2. Р. 133–138.
- Yatsenko S.P., Ovsyannikov B.V., Ardashev M.A., Sabirzyanov A.N. Tsementatsionnoye polucheniye “master-splava” iz ftoridno-khloridnykh rasplavov [Precipitated receipt of “master-alloy” from fluoride-chloride melts] // Rasplavy. 2006. № 5. P. 29–36. [In Russian].
- Tkacheva O.Y., Brodova I.G., Arhipov P.A., Zaikov Yu.P. Vliyaniye usloviy kristallizatsii na strukturu i modifitsiruyushchuyu sposobnost’ Al–Sc-splavov [Influence of crystallization conditions on the structure and modifying ability of Al–Sc alloys] // Izvestiya vuzov. Tsvet. Metallurgiya. 2016. № 6. P. 55–64. [In Russian].
- Rudenko A.V., Kataev A.A., Zakiryanova I.D., Tkacheva O.Yu. Sovmestnaya rastvorimost' oksidov alyuminiya i skandiya v rasplave natriyevogo kriolita [Co-solubility of aluminium and scandium oxides in molten sodium cryolite] // Tsvetnyye metally. 2017. № 11. P. 22–26. [In Russian].
- Korshunov B.G., Reznik A.M., Semenov S.A. Skandiy [Scandium]. M.: Metallurgiya 1987. [In Russian].
- Shishkin V.Yu. Davleniye parov tseziya nad rasplavlennymi smesyami ftoridov tseziya i tsirkoniya [Cesium vapor pressure over fused mixtures of cesium and zirconium fluorides] // Rasplavy. 1994. № 5. P. 56–62. [In Russian].
- Shaltry M.R., Tripathy P.K., Yoo T., Fredrickson G.L. Electrochemical measurement and analysis of YCl3, ScCl3, GdCl3 and MgCl2 in molten eutectic LiCl–KCl // J. Electroanalytical Chemistry. 2021. 899. 115689.
- Castrillejo Y., Hernández P., Rodriguez J.A., Vega M., Barrado E. Electrochemistry of scandium in the eutectic LiCl–KCl // Electrochimica Acta. 2012. 71. Р. 166–172.
- Wang Ch., Chen J., Li B., Zhao H., Jin B., Liu K., Han Q. Cathodic behavior of scandium(III) on reactive copper electrodes in LiF–CaF2 eutectic molten salt // J. Rare Earths, 2022 (in press).
- Kononov A., Polyakov E. Cathodic process in halide melts containing scandium // Electrochimica Acta. 1998. 43. Р. 2537–2542.
- Nikolaev A.Yu., Suzdaltsev A.V., Zaikov Yu.P. Novyy sposob sinteza ligatur Al-Sc v oksidno-ftoridnykh i ftoridnykh rasplavakh [A novel approach for producing Al-Sc master alloys in the oxide-fluoride and fluoride melts] // Rasplavy. 2020. № 2. P. 155–165. [In Russian].
- Sun B., Zhai Yu., Tian Ya., Zhao Ya. Reduction mechanism of Sc3+ ion on Ag electrode in fluoride salt melt // The Chinese J. Nonferrous Metals. 1997. 7. Р. 35–37.
- Castrillejo Y., Vega A., Vega M., Hernandez P., Rodriguez J.A., Barrado E. Electrochemical formation of Sc–Al intermetallic compounds in the eutectic LiCl–KCl. Determination of thermodynamic properties // Electrochimica Acta. 2014. 118. Р. 58–66.
- Kovrov V.A., Mullabaev A.R., Shishkin V.Y., Zaikov Y.P. Solubility of Li2O in an LiCl–KCl melt // Russian Metallurgy. 2018. № 2. Р. 169–173.
- Nikolaev A.Yu., Yasinskiy A.S., Suzdaltsev A.V., Polyakov P.V., Zaikov Yu.P. Elektroliz alyuminiya v rasplavakh i suspenziyakh KF–AlF3–Al2O3 [Aluminum electrolysis in the KF–AlF3–Al2O3 melts and suspensions] // Rasplavy. 2017. № 3. P. 205–213. [In Russian].
- Turkdogan E.T. Physical chemistry of high-temperature technology. Academic Press. N.Y. 1980.
- Bard A.J., Faulkner L.R. Electrochemical methods: fundamentals and applications, 2nd ed. John Wiley & Sons. N.Y. 2001.
- Gevel T.A., Zhuk S.I., Ustinova Yu.A., Suzdaltsev A.V., Zaikov Yu.P. Elektrovydeleniye kremniya iz rasplava KCl–K2SiF6 [Silicon electroreduction from the KCl–K2SiF6 melt] // Rasplavy. 2021. № 2. P. 187–198. [In Russian].
Supplementary files






