Granulometric characteristics of bottom sediments in the sublittoral region of the Southern Coast of Crimea in the area of Limenskaya Bay
- Authors: Bagaev A.V.1, Gurov K.I.1, Nuriev S.A.1
-
Affiliations:
- Marine Hydrophysical Institute, Russian Academy of Sciences
- Issue: Vol 41, No 2 (2025)
- Pages: 213-228
- Section: Experimental and field research
- URL: https://journals.rcsi.science/0233-7584/article/view/296162
- EDN: https://elibrary.ru/RQUBHJ
- ID: 296162
Cite item
Full Text
Abstract
Purpose. The purpose of the study consists in obtaining modern accurate data on the bottom relief features and the granulometric composition of bottom sediments in the Limenskaya Bay region of the Southern coast of Crimea.
Methods and Results. The samples of the bottom sediments surface layer (0–5 cm) were taken using the Peterson grab sampler in September 2022. The granulometric composition of bottom sediments was studied using the decantation and scattering method. The hydroacoustic research of underwater relief was performed from the small vessels of Marine Hydrophysical Institute and the Black Sea hydrophysical subsatellite polygon in 2022 and 2023. The instrument Lowrance Elite FS7 including the built-in single-beam echo sounder (200 kHz) for determining the sea depth, the side-scan sonar (455/800 kHz) and the global satellite navigation system receiver for defining the coordinates was applied. It is noted that at present, the sea bottom in the coastal part and in the Limenskaya Bay sublittoral is covered with the unevenly distributed sedimentary material of heterogeneous composition. In the shallowest part (0–10 m), the boulder-pebble forms of sediments are widespread, their active movement is a result of storm impact and anthropogenic activity.
Conclusions. The predominance of gravel fraction in the western and eastern parts of the studied area is explained by the landslide type of the coast. In the deeper parts (10–15 m) of Limenskaya Bay, the bottom is covered mainly with the well-sorted sand sediments. At the depths exceeding 20 m, the proportion of silt fraction increases, which is consistent with the previously studied features of general dynamics of sediment fractions in this region. Having been deciphered, the results of bottom relief hydroacoustic scanning in the coastal zone made it possible to outline the boundaries of boulder-pebble area, as well as to estimate the predominant sizes at various parts of the bottom.
Full Text
Введение
Донные отложения – один из наиболее информативных элементов природной среды береговой зоны моря. Они накапливают загрязняющие вещества, поступающие в море, позволяют охарактеризовать наличие и развитие негативных биогеохимических процессов, происходящих как в самих отложениях, так и в водной толще [1]. Поверхностный слой донных наносов наиболее динамически активен, его состояние определяется как быстрыми синоптическими процессами на границе атмосфера – море, так и более медленными процессами седиментогенеза на границе море – дно.
Именно поверхностный слой наносов на пляже и в приурезовой зоне моря определяет рекреационную привлекательность побережья, а на более глубоководных участках важен при мониторинге экологического состояния прибрежной зоны и при оценке геоморфологических характеристик участка побережья при планировании строительства [2, 3].
Южный берег Крыма (ЮБК) – уникальный регион, отличающийся ландшафтной структурой и разнообразием биоценозов [4]. Вдоль его побережья сосредоточено большое количество объектов рекреационной инфраструктуры – санаторно-курортных и оздоровительных комплексов [2, 3, 5], а его берега характеризуются высокой плотностью застройки.
Исследование метеорологических, гидрологических, гидрохимических и оптических характеристик вод ЮБК в целом и Лименской бухты в частности проводится в течение длительного периода времени [6–10] на Черноморском гидрофизическом подспутниковом полигоне (ЧГПП), в том числе благодаря расположению в акватории бухты стационарной океанографической платформы Морского гидрофизического института (МГИ) РАН [11].
Несмотря на большой интерес к изучению прибрежных районов ЮБК, детальных исследований особенностей современного строения рельефа дна в береговой и прибрежной зонах, а также гранулометрического состава донных наносов в акватории Лименской бухты не проводилось. Основные сведения о гранулометрическом составе донных наносов Лименской бухты датируются серединой и второй половиной XIX в. и представлены в работах 1, 2, 3, а основные факторы, контролирующие поступление терригенного материала в акваторию залива, отражены в работах [12, 13]. Среди новейших исследований, посвященных гранулометрическому составу донных наносов и их динамике в акватории Лименской бухты и прилегающих районов ЮБК, можно отметить работы [14–16]. Однако, основываясь на данных о скоростях осадконакопления в прибрежных районах Крыма [17, 18], можно предположить, что сведения о структуре наносов, полученные ранее, сильно устарели, не отображают реальной картины и требуют обновления. Получение новых данных позволит более детально изучить особенности формирования донных наносов в условиях антропогенной нагрузки.
Целью настоящей работы является получение современных точных сведений об особенностях рельефа дна и гранулометрическом составе донных наносов на участке Южного берега Крыма в районе Лименской бухты.
Характеристика района исследований
Исследуемая область представляет собой акваторию размером 0,8 × 4 км и включает в себя прибрежный (глубины 1–10 м) и сублиторальный (глубины 10–40 м) участки шельфа ЮБК в окрестности Лименской бухты между пгт Кацивели и пос. Симеиз. Лименская бухта, или (как ее еще называют) Голубой залив, – относительно мелководная бухта, ограниченная с запада м. Кикинеиз, с востока – подножием горы Кошка.
Район Лименской бухты относится к тектонической структуре антиклинория западной части ЮБК 4. В целом весь ЮБК от пос. Морское на востоке до урочища Батилиман на западе имеет сходное строение. Узкая прибрежная полоса сложена глинистыми и песчаными отложениями таврической серии и средней юры. Она прорезана многочисленными оврагами и балками, проводящими воду поверхностного стока лишь в периоды паводков. С севера ее ограничивают очень крутые и часто обрывистые склоны Главной гряды, сложенные карбонатными породами верхней юры [19]. Геологическое строение бухты характеризуется сложным сочетанием складчатых и разломных осадочных пород, включая юрские и меловые известняки, песчаники и сланцы 5. В исследуемом районе находятся наиболее значительные в западной части ЮБК выходы эффузивных пород. При сравнительно легкой разрушаемости пород, складывающих побережье, и при крутом уклоне эрозионные процессы достигают значительной эффективности, что выражается в высокой степени развития овражной системы. Овраг р. Лименки представляет собой почти постоянный водоток, питаемый не только поверхностным стоком, но и расположенными по краям оврага ключами [20]. Воды бухты принимают также очищенные коммунальные стоки пгт Кацивели, пгт Голубой залив и аквапарка «Голубой залив» [21].
Для береговой области ЮБК характерно мелкобухтовое строение, что обусловлено разной степенью сопротивляемости пород размыву и наличием глыбовых навалов. Характерные черты Южного берега Крыма – крутые уклоны подводного склона и его приглубость 3. Подводный склон Черного моря в районе Лименской бухты представляет собой пологую равнину с уклоном на юго-восток, местами с валунами и подводными скалами. На ЮБК в районах, где дно сложено крупным перемещаемым материалом, уклоны в первые десять метров глубины составляют 0,04–0,06. На участках, осложненных наличием глыбовых навалов, уклоны дна достигают 0,08–0,1. В местах развития пород таврической серии и наличия абразионной террасы уклоны уменьшаются до 0,03–0,04 1.
Особенности океанологических характеристик Лименской бухты в прошлом и настоящем тесно связаны с ее геологическим строением. Дно залива покрыто толстым слоем четвертичных наносов. Осадочные отложения бухты дают ценные сведения о прошлых изменениях уровня моря, климата и циркуляции океана. Современный состав донных наносов в Лименской бухте характеризуется смесью песка, ила и гравийно-ракушечного материала. В прибрежной зоне они были представлены среднезернистыми песками с включением ракушечного материала и известнякового гравия, в мористой части полигона – алеврито-пелитовыми илами [15]. Причина такой неоднородности распределения фракций гранулометрического состава состоит в изменении условий седиментации взвешенного вещества, а основным источником материала наносов являются абразия берегов и вдольбереговой транспорт наносов во время интенсивных штормов [15].
В работе [16] для акватории Лименской бухты показано, что в процессе штормового воздействия крупнозернистый материал накапливается в прибрежной зоне в районах мысов, среднезернистые фракции аккумулируются в центральной мелководной части залива, а мелкозернистый материал выносится в мористую часть акватории и накапливается за счет ослабления гидродинамической активности. В целом основное перераспределение фракций происходит в течение первых 6 ч шторма и ограничивается изобатой 20 м. Основными факторами, регулирующими перемещение материала, являются глубина и уклон дна.
В работе [22] уровень антропогенной нагрузки на ЮБК в целом отмечен как экстремальный. На берегах Лименской бухты, в частности, проводится обустройство и отсыпка пляжей, построен аквапарк, идет строительство подводного выпуска очистных сооружений пгт Кацивели, ранее была уложена труба в районе пос. Голубой залив.
Материалы и методы
Отбор проб поверхностного слоя донных наносов (0–5 см), используемых для анализа в данной работе, осуществлялся в сентябре 2022 г. с помощью дночерпателя Петерсона с площадью охвата 0,025 м2. Схема станций отбора проб показана на рис. 1. Для исследования гранулометрического состава донных наносов применялся комбинированный ситовой анализ (метод декантации и рассеивания), который выполнялся с помощью набора сит с отверстиями 10; 7; 5; 2,5; 2; 1; 0,5; 0,25; 0,1; 0,05 мм. Сведения об отборе проб донных наносов и общее описание их состава приведены в табл. 1.
Рис.1. Положение района исследований (показано красными прямоугольниками) на картах Черного моря (a) и Южного берега Крыма (b), схема станций отбора проб донных наносов в акватории Лименской бухты и прилегающего участка ЮБК (c)
Fig.1. Location of study area (shown in red rectangles) on the maps of the Black Sea (a) and the Southern coast of Crimea (b), and scheme of bottom sediments sampling stations in the Limenskaya Bay and the adjacent area of the Crimea Southern coast (c)
Таблица 1
Table 1
Общее описание поверхностного (0–5 см) слоя донных наносов Лименской бухты и прилегающего участка ЮБК (отбор проб 8 сентября 2022 г.)
General description of the surface layer (0–5 cm) of bottom sediments in the
Limenskaya Bay and the adjacent area of SCC (sampling on September 8, 2022)
Номер станции / Sation number | Глубина, м / Depth, m | Характеристика донных наносов / Charateristics of bottom sediments |
1 | 9 | Крупнозернистый и мелкозернистый гравий / Coarse- and fine-grained gravel |
2 | 13 | Крупнозернистый и мелкозернистый гравий с ракушей / Coarse- and fine-grained gravel with shells |
3 | 20 | Крупнозернистая ракуша с крупным песком (15%) / Coarse-grained shells with coarse sand (15%) |
4 | 28 | Крупнозернистая ракуша с мелкозернистым песком (33%) / Coarse-grained shell with fine-grained sand (33%) |
5 | 15 | Мелкозернистый (42%) и среднезернистый (31%) песок / Fine- (42%) and medium-grained (31%) sand |
6 | 10 | Мелкозернистый песок / Fine-grained sand |
7 | 15 | Крупнозернистый песок и мелкая ракуша (26%) / Coarse-grained sand and small shells (26%) |
8 | 11 | Крупнозернистый (67%) и среднезернистый (21%) песок / Coarse- (67%) and medium-grained (21%) sand |
9 | 7 | Мелкозернистый гравий (48%) и крупный песок (15%) / Fine-grained gravel (48%) and coarse sand (15%) |
10 | 12 | Мелкозернистый песок (59%) со среднезернистым песком (18%) и алевритом (13%) / Fine-grained sand (59%) with medium-grained sand (18%) and aleurite (13%) |
11 | 16 | Мелкозернистый песок (54%) с алевритом (25%) / Fine-rained sand (54%) with aleurite (25%) |
12 | 24 | Алеврит (66%) с мелкозернистым песком (23%) / Aleurite (66%) with fine-grained sand (23%) |
13 | 31 | Крупная ракуша (35%) и крупнозернистый песок (15%) / Large shells (35%) and coarse-grained sand (15%) |
14 | 25 | Мелкозернистый песок / Fine-grained sand |
15 | 17 | Крупнозернистый и среднезернистый гравий / Coarse- and medium-grained gravel |
16 | 26 | Крупнозернистый и среднезернистый гравий / Coarse- and medium-grained gravel |
17 | 15 | Крупнозернистый песок (62%) и мелкая ракуша (26%) / Coarse-grained sand (62%) and small shells (26%) |
18 | 31 | Мелкозернистый песок (55%) с алевритом (40%) / Fine-grained sand (55%) with aleurite (40%) |
19 | 19 | Крупнозернистый и среднезернистый песок с мелким гравием (15%) / Coarse- and medium-grained sand with fine gravel (15%) |
20 | 21 | Мелкозернистый и среднезернистый гравий с крупным песком (19%) / Fine- and medium-grained gravel with coarse sand (19%) |
21 | 12 | Крупная ракуша (24%) и мелкозернистый песок (18%) с алевритом (23%) и пелитом (20%) / Coarse shells (24%) and fine-grained sand (18%) with aleurite (23%) and pelite (20%) |
Гидроакустическое исследование подводного рельефа проводилось с борта маломерных судов МГИ и ЧГПП в 2022 и 2023 гг. Использовался прибор Lowrance Elite FS7 со встроенным однолучевым эхолотом (200 кГц) для определения глубины места, гидролокатором бокового обзора (ГБО) (455/800 кГц), а также с приемником глобальной спутниковой навигационной системы для определения координат. Район работ и треки судов показаны на рис. 2, информация о датах исследования и длине треков приведена в табл. 2. Запись данных о глубине выполнялась с горизонтальным разрешением 0,75 м с погрешностью до 3 м. Точность определения глубины ~ 5 см. Ширина полосы сканирования ГБО до 60 м, мощность луча ГБО позволяла определять неровности дна до 40 м глубины.
Рис.2. Схема района исследований. Синими маркерами показаны места отбора проб донных наносов, красной линией – треки гидроакустических исследований рельефа, оранжевые полигоны вдоль берега – муниципальные пляжи, черный квадрат – расположение океанографической платформы ЧГПП
Fig.2. Scheme of the study area. Blue markers show the sites of bottom sediments sampling, red line – the tracks of relief hydroacoustic scanning, orange polygons along the coast are the municipal beaches, and black triangle is location of the BSHSP oceanographic platform
Таблица 2
Table 2
Характеристики экспедиционных гидроакустических исследований
Characteristics of expeditionary hydroacoustic studies
Дата / Date | Число точек / Number of points | Длина, м / Length, m | Дата / Date | Число точек / Number of points | Длина, м / Length, m |
18.08.2022 | 3397 | 2548 | 14.06.2023 | 8001 | 6001 |
19.08.2022 | 8088 | 6066 | 15.06.2023 | 6648 | 4986 |
07.09.2022 | 16638 | 12479 | 18.07.2023 | 3670 | 2753 |
08.09.2022 | 32995 | 24746 | 20.07.2023 | 8699 | 6524 |
Рис.3. Пример анализа данных ГБО в ПО ReefMaster: слева – типы отложений, справа – визуализация временной развертки данных ГБО, отчетливо видна граница грубообломочных и песчаных отложений
Fig.3. Example of SSS data analysis using the ReefMaster software: left – types of deposits, right – visualization of the SSS data scanning in time; boundary between the coarse and sandy deposits is clearly seen
Рис.4. Пример построения полигонов с различными типами наносов в ГИС QGIS. Данные из экспедиции 14–15.06.2023. На врезках показаны фрагменты эхограмм ГБО, соответствующие идентифицированным типам участков дна
Fig.4. Example of constructing the polygons with different types of sediments using QGIS. The data are from the expedition in 14–15.06.2023. Insets show the fragments of SSS echograms corresponding to the identified types of bottom sections
Постобработка и анализ данных проводились с помощью ГИС QGIS, языка программирования Python и приложения ReefMaster. Исходные данные с эхолота в формате sqlite database (.sl3) загружались в программу ReefMaster (рис. 3). Далее на основе анализа изображений, полученных в ходе гидроакустической съемки, вручную создавалось облако точек с координатами границ донных отложений (валуны, галька, песок/ил). После определения границ в программе ReefMaster их координаты экспортировались в файл векторного формата (.shp). Затем эти координаты и тип осадков переносились в QGIS и по ним в полуавтоматическом режиме строились полигоны, ограничивающие области с относительно однородными наносами. Были выделены три типа наносов по крупности: крупнообломочный материал и валуны (> 0,6 м), крупная галька и гравий (< 0,6 м) и песчано-илистый материал (< 0,1 м) (рис. 4).
Результаты и обсуждение
Несмотря на неравномерное покрытие района исследований галсами гидроакустического сканирования, в результате анализа данных ГБО удалось построить набор полигонов, достаточно подробно определяющих положение полей донных наносов в Лименской бухте и ее окрестности.
Как показано на рис. 5, донные наносы в прибрежной области (80–100 м по нормали от уреза воды до глубин 10–15 м) представляют собой поля крупного обломочного материала (> 0,6 м в диаметре) различной сплоченности, частично перемежающегося более мелкой фракцией гальки и гравия, частично перекрытого песчаными наносами. На мелководье грубообломочные отложения служат субстратом для макрофитов.
Рис.5. Литологическая схема поверхности дна Лименской бухты и прилегающей сублиторали. На врезке слева показана Лименская бухта, справа – район м. Опасный
Fig.5. Lithological scheme of the bottom surface in the Limenskaya Bay and the adjacent sublittoral. The inset left part shows the Limenskaya Bay, its right part – the Cape Opasny region
Возле м. Кикинеиз, напротив устья р. Лименки и возле м. Опасный преобладает крупный обломочный материал, а в глубине Лименской бухты на этих же глубинах чаще встречается более мелкая галечная фракция. На расстоянии 90–120 м от берега (глубины 15–20 м) крупные поля обломочного материала напротив м. Кикинеиз резко переходят в песчаные, а в вогнутой части побережья иногда перемежаются с гравием и галькой (рис. 5). По мере удаления от берегов на глубинах более 25 м доминирующее распространение получают пески различной крупности. Причем (как будет показано ниже) с нарастанием глубин уменьшается их зернистость и увеличивается доля алевритового материала.
Как видно из рис. 5, полигоны, ограничивающие области расположения наносов различной крупности, в некоторых областях дна расположены с перекрытием. Чаще всего это объясняется незначительным перемещением наносов за время между экспедициями (например, в западной и восточной частях Лименской бухты). Небольшие перекрытия также обусловлены ошибками в определении координат (± 3 м).
Наиболее существенные изменения наблюдались с восточной стороны от м. Кикинеиз, в межбунном пространстве в районе городского пляжа пгт Кацивели и к востоку от него, где относительно пологий искусственный пляж сменяется узкой полоской валунов у основания каменистого клифа. Это объясняется поступлением обломочного материала под действием эрозионных процессов в период паводково-селевого стока р. Лименки в Лименской бухте [23].
Кроме того, интерес представляет перекрытие различных полей осадочного материала в межбунном пространстве между средней и восточной буной. Возможно, это объясняется антропогенным влиянием в виде подсыпки пляжа привозным материалом, а также влиянием штормового волнения.
Гранулометрический состав донных наносов
Полученные результаты гранулометрического анализа проб поверхностного слоя донных наносов Лименской бухты подтверждают представленную в работе [15] неоднородность распределения материала. В мелководной части Лименской бухты до глубины 15 м преобладает песчаный материал (средняя доля 76%) с включениями гравийного и ракушечного материала вблизи берега на глубинах до 6 м (рис. 6). У западного (ст. 5, 6) и восточного (ст. 10, 11) берегов бухты преобладает фракция мелкозернистого песка (0,25–0,1 мм) с включениями среднезернистого песка (0,5–0,25 мм), а в центральной части бухты (ст. 7, 8, 9) преобладает крупнозернистый песок (1–0,5 мм) с включением мелкого гравия и ракушечного детрита (2–1 мм) (рис. 6). К западу от м. Кикинеиз доля песчаной фракции сокращается (< 40%), а к востоку в направлении пос. Симеиз увеличивается (до 80%). Для песчаного материала в акватории Лименской бухты отмечается хорошая степень сортировки (1,3–1,4).
Рис.6. Гистограммы распределения процентного содержания размерных фракций в пробах наносов на участке ЮБК между пгт Кацивели и пос. Симеиз
Fig.6. Bar charts of distribution of the percentage content of size fractions in the sediments samples taken between the settlements Katsiveli and Simeiz at the Southern coast of Crimea
Повышенная доля гравийной фракции также отмечается вблизи берега к западу от м. Кикинеиз (59–97%) и к востоку на мористом участке между г. Кошка и скалой Дива (30–80%) (рис. 7). Повышенная доля гравийной фракции на этом участке объясняется обвальным типом берега, который сложен из крупных валунов и глыб, а также вкладом автохтонной компоненты, представленной включениями крупной ракуши и ракушечного детрита на станциях с глубинами более 20 м. Это подтверждается результатами промеров дна на указанном участке (рис. 5), а также повышенными значениями медианного диаметра частиц (2–4 мм в западной части и 1,5–4 мм в восточной) и плохой сортировкой материала (S0 = 2,1–5,9 в западной части и 2,2–3,6 в восточной) (рис. 7).
Илистая фракция в отобранных пробах представлена незначительно. В среднем доля мелкозернистой фракции составила всего 11%, из которых 9% – крупноалевритовый материал, 2% – мелкоалевритовый и пелитовый. Территориально минимальная доля илистого материала отмечена в районе м. Кикинеиз (0,1–0,5%), на мелководных станциях в Лименской бухте (0,5–0,7%) и на участке к востоку от г. Кошка (0,1–0,5%) (рис. 7). Максимальная доля илистой фракции (41–74%) отмечается в мористой части исследуемого участка, глубже изобаты 21 м. Это согласуется с результатами работ [14, 16], в которых отмечено, что динамика мелкозернистого материала ограничивается изобатой 10 м, а максимальные значения достигаются, начиная с изобаты 20 м. Такая низкая доля илистой фракции в поверхностном слое наносов даже в сравнении с данными, описанными в работе [14], объясняется в первую очередь глубиной отбора проб. В среднем глубина отбора в 2022 г. составила 18 м, в 2012 г. – 25 м. Повышенная доля мелкозернистого илистого материала у восточного берега Лименской бухты, как и повышенные значения мелкозернистой фракции песка в этом районе связаны с абразионным характером берега в центральной части бухты и особенностями динамики фракций наносов на этом участке.
Рис.7. Пространственное распределение гранулометрических фракций (%) и медианного диаметра частиц (мм) в поверхностном слое донных наносов на участке ЮБК между пгт Кацивели и пос. Симеиз
Fig.7. Spatial distribution of particle size fractions (%) and median particle diameter (mm) in the surface layer of bottom sediments between the settlements Katsiveli and Simeiz at the Southern coast of Crimea
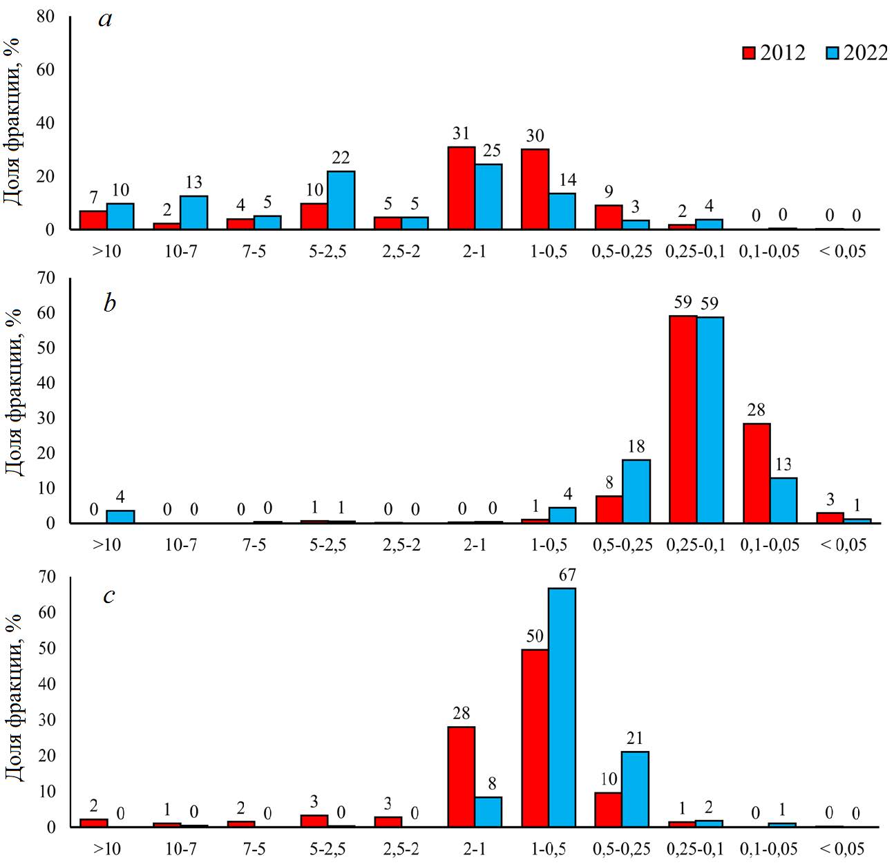
Для отдельных станций (ст. 2, 8, 10) в акватории Лименской бухты дополнительно проведено сравнение гранулометрического состава наносов с результатами предыдущих исследований в этом районе. Отмечено, что результаты анализа гранулометрического состава на выбранных станциях хорошо согласуются, а существенных изменений в структуре пространственного распределения наносов не отмечается (рис. 8). Для ст. 2, расположенной в западной части исследуемого участка в районе м. Кикинеиз, сохраняется преобладание гравийной фракции различной крупности с включениями крупного песка, а коэффициент корреляции данных двух лет составил 0,71. Расхождения в соотношениях фракций на этом участке объясняются активными гидродинамическими процессами на участке свала глубин 10–15 м, а также интенсивным поступлением крупного гравия и гальки из береговой зоны. Это подтверждается результатами работы [16], в которой исследовалась динамика донных наносов Лименской бухты с использованием методов численного моделирования. Для ст. 8, расположенной в центральной части бухты, соотношения данных еще выше (коэффициент корреляции 0,90). Доминирующие фракции крупного и среднего песка сохраняются, а доля мелкого гравия сократилась. Это указывает на незначительное перераспределение материала на данном участке. Особенности накопления песчаных фракций в центральной части бухты подтверждаются результатами модельных расчетов динамики наносов под влиянием штормового воздействия [16]. Для ст. 10, расположенной у подножия г. Кошка в восточной части бухты, изменения гранулометрического состава минимальны (коэффициент корреляции 0,94). Изменение преобладающей фракции мелкого песка составляет десятые доли процента (58,7% в 2011 г. и 59,1% в 2022 г.). Уменьшение доли алевритовой фракции с 28 до 13% и увеличение доли крупного песка с 8 до 18% объясняется расположением станции в 2022 г. ближе к берегу, а также незначительным перераспределением фракций в результате литодинамических процессов. В работе [16] отмечается, что в ходе штормовых воздействий, имеющих место в данном регионе, фракции мелкозернистого песка и алеврита в восточной части Лименской бухты могут смещаться за пределы изобаты 14 м.
Рис.8. Сравнение фракций гранулометрического состава донных наносов Лименской бухты на ст. 2 (а), 8 (b), 10 (c) с данными 2012 г. [14]
Fig.8. Comparison of the fractions of granulometric composition of bottom sediments in the Limenskaya Bay at stations 2 (а), 8 (b) and 10 (c) with the data obtained in 2012 [14]
Заключение
В работе выполнено описание уточненной карты гранулометрического состава поверхности донных наносов в сублиторальной части шельфа Южного берега Крыма в окрестностях Лименской бухты. Гранулометрический состав донных наносов критически важен при диагностике экологического состояния береговой зоны и оценке геоморфологических характеристик участка побережья для планирования рекреационного строительства и укрепления берегов.
Полученные данные показали, что в настоящее время дно моря в прибрежной части и в сублиторальной окрестности Лименской бухты покрыто осадочным материалом неоднородного состава с неравномерным распределением по пространству. В самой мелководной части (0–10 м) наиболее часто встречаются валунно-галечные формы наносов, активно перемещаемые под влиянием штормовых воздействий и антропогенной деятельности. При этом для количественной оценки изменений рельефа дна, вызванных активным ветроволновым воздействием, требуются дополнительные высокоточные съемки. На более глубоких участках (5–15 м) акватории Лименской бухты дно покрыто в основном хорошо сортированными песчаными наносами. В западной и восточной частях исследованного полигона преобладает гравийная фракция, что объясняется обвальным типом берегов. Здесь же отмечено повышение вклада крупной ракуши и ракушечного детрита. На глубинах более 20 м повышается доля илистой фракции, что согласуется с выявленными ранее особенностями общей динамики фракций наносов на исследуемом участке. Сравнение полученных результатов с данными предыдущих исследований показало, что в центральной части бухты и в районах мысов долевое содержание фракций остается сходным, а изменения соотношения песчано-гравийного материала могут быть обусловлены литодинамическими процессами в береговой зоне и перераспределением материала. Полученные результаты не противоречат более ранним исследованиям, выполненным в данном районе.
В методическом плане представленная работа показала, что данные эхолокации могут быть использованы для исследования осадочного материала на участках дна, где отбор проб дночерпателем невозможен из-за обилия валунов и скальных обломков.
1 Зенкович В. П. Морфология и динамика советских берегов Черного моря. Т. 1. Москва : Изд-во АН СССР, 1958. 188 с.
2 Зенкович В. П. Основы учения о развитии морских берегов. Москва : Изд-во АН СССР, 1962. 710 с.
3 Геология шельфа УССР. Среда. История и методика изучения. Киев : Наукова думка, 1982. 180 с.
4 Геология СССР. Т. 8. Крым. Ч. 1. Геологическое описание. Мocква : Недра, 1969. 576 с.
5 Современные осадки и скорости осадконакопления в голоцене на черноморском шельфе УССР / Е. Ф. Шнюков [и др.] // Изучение геологической истории и процессов современного осадкообразования Черного и Балтийского морей : Труды Международного симпозиума. Киев : Наукова думка, 1984. Ч. 1. С. 122–130.
About the authors
A. V. Bagaev
Marine Hydrophysical Institute, Russian Academy of Sciences
Author for correspondence.
Email: a.bagaev1984@mhi-ras.ru
ORCID iD: 0000-0003-4018-7642
SPIN-code: 5426-7176
Scopus Author ID: 57189266640
ResearcherId: K-5373-2016
ведущий научный сотрудник, кандидат физико-математических наук
Réunion, SevastopolK. I. Gurov
Marine Hydrophysical Institute, Russian Academy of Sciences
Email: gurovki@gmail.com
ORCID iD: 0000-0003-3460-9650
SPIN-code: 5962-7697
ResearcherId: L-7895-2017
научный сотрудник, кандидат географических наук
Russian Federation, SevastopolS. A. Nuriev
Marine Hydrophysical Institute, Russian Academy of Sciences
Email: surinuriev@gmail.com
ORCID iD: 0009-0008-1760-8844
SPIN-code: 2240-3635
ведущий инженер-исследователь
Russian Federation, SevastopolReferences
- Егоров В. Н. Теория радиоизотопного и химического гомеостаза морских экосистем. Се-вастополь, 2019. 356 с. EDN HNMPDC. https://doi.org/10.21072/978-5-6042938-5-0
- Современное состояние береговой зоны Крыма / Под ред. Ю. Н. Горячкина. Севастополь : ЭКОСИ-Гидрофизика, 2015. 252 с. EDN URTTZY.
- Горячкин Ю. Н., Долотов В. В. Морские берега Крыма. Севастополь : ООО «Колорит», 2019. 256 с. EDN ARVKTY.
- Оценка уровня антропогенных нагрузок на прибрежные зоны и экотоны Черноморского побережья Украины / В. И. Беляев [и др.] // Морской гидрофизический журнал. 2001. № 1. С. 55–63. EDN VRVPNW.
- Gurova Y. S., Gurov K. I., Orekhova N. A. Characteristics of Bottom Sediments in the Coastal Areas of the Crimean Peninsula // Land. 2022. Vol. 11, iss. 11. 1884. https://doi.org/10.3390/land11111884
- Блатов А. С., Иванов В. А. Гидрология и гидродинамика шельфовой зоны Черного моря. Киев : Наукова думка, 1992. 244 с.
- Горячкин Ю. Н., Репетин Л. Н. Штормовой ветро-волновой режим у Черноморского побе-режья Крыма // Экологическая безопасность прибрежной и шельфовой зон и комплексное использование ресурсов шельфа. 2009. Вып. 19. С. 56–69. EDN YKTSVR.
- Голубой залив как подспутниковый полигон для оценки гидрохимических характеристик в шельфовых областях Крыма / С. И. Кондратьев [и др.] // Морской гидрофизический журнал. 2016. № 1. С. 49–61. EDN VTPCZR. https://doi.org/10.22449/0233-7584-2016-1-49-61
- Иванов В. А., Кузнецов А. С., Морозов А. Н. Мониторинг циркуляции прибрежных вод у Южного берега Крыма // Доклады Академии наук. 2019. Т. 485, № 4. С. 507–510. EDN AOQDNJ. https://doi.org/10.31857/S0869-56524854507-510
- Циркуляция вод в северной части Черного моря летом – зимой 2018 года / Ю. В. Артамо-нов [и др.] // Экологическая безопасность прибрежной и шельфовой зон моря. 2020. № 1. С. 69–90. EDN CIHJZC. https://doi.org/10.22449/2413-5577-2020-1-69-90
- Мониторинг прибрежной зоны на Черноморском экспериментальном подспутниковом полигоне / Ред. В. А. Дулов, В. А. Иванов. Севастополь : ЭКОСИ-Гидрофизика, 2014. 526 с. EDN TZMZJT.
- Мониторинг сезонных изменений минерального состава взвешенного вещества / Е. И. Наседкин [и др.] // Экологическая безопасность прибрежной и шельфовой зон и ком-плексное использование ресурсов шельфа. 2005. Вып. 12. С. 236–241. EDN YUCFWN.
- Некоторые результаты исследований влияния метеорологических факторов на процессы современного осадконакопления / Е. И. Наседкин [и др.] // Экологическая безопасность прибрежной и шельфовой зон и комплексное использование ресурсов шельфа. 2009. Вып. 19. С. 44–55. EDN YKTSUX.
- Алексеев Д. В. Моделирование транспорта донных осадков в районе Голубого залива Черного моря // Доповiдi Нацiональної академiї наук України. 2013. № 12. С. 94–100.
- Овсяный Е. И., Гуров К. И. Исследование органического углерода и карбонатности в дон-ных осадках шельфа южного побережья Крыма // Морской гидрофизический журнал. 2016. № 1. С. 62–72. EDN VTPDAB. https://doi.org/10.22449/0233-7584-2016-1-62-72
- Gurov K. I., Fomin V. V. The dynamics of sediments grain-size in Limensky Gulf // Proceedings of the Thirteenth International MEDCOAST Congress on Coastal and Marine Sciences, Engi-neering, Management and Conservation, MEDCOAST 2017. Dalyan, Mugla, Turkey : MEDCOAST Foundation, 2017. Vol. 2. P. 925–934. EDN XXGJXV.
- Денисов В. И. Потоки взвешенного вещества в прибрежной части шельфа в российском секторе Черного моря // Система Черного моря. Москва : Научный мир, 2018. С. 397–425. EDN GHSJUN. https://doi.org/10.29006/978-5-91522-473-4.2018.397
- Оценка скорости седиментации и осадконакопления в прибрежных и глубоководных ак-ваториях Черного моря с использованием природных и антропогенных (чернобыльских) радионуклидов / Н. Ю. Мирзоева [и др.] // Система Черного моря. Москва : Научный мир, 2018. С. 659–670. EDN PCLMJT. https://doi.org/10.29006/978-5-91522-473-4.2018.659
- Инженерно-геологические опасности береговой зоны горного Крыма / В. М. Шестопалов [и др.] // Экологическая безопасность прибрежной и шельфовой зон и комплексное ис-пользование ресурсов шельфа. 2005. Вып. 13. С. 43–61. EDN YODYPV.
- Мельник В. И. Влияние речной сети суши на рельеф и осадконакопление в Черном море // Экологическая безопасность прибрежной и шельфовой зон и комплексное использование ресурсов шельфа. 2001. Вып. 4. С. 112–124. EDN EOPCRB.
- Голубой залив как подспутниковый полигон для оценки гидрохимических характеристик в шельфовых областях Крыма / С. И. Кондратьев [и др.] // Морской гидрофизический журнал. 2016. № 1. С. 49–61. EDN VTPCZR. https://doi.org/10.22449/0233-7584-2016-1-49-61
- Горячкин Ю. Н., Ефремова Т. В. Антропогенное воздействие на литодинамику Черномор-ского побережья Крымского полуострова // Экологическая безопасность прибрежной и шельфовой зон моря. 2022. № 1. С. 6–30. EDN KQQHPN. https://doi.org/10.22449/2413-5577-2022-1-6-30
- Богуславский А. С., Казаков С. И. Особенности литодинамики галечных пляжей Южного берега Крыма // ИНТЕРКАРТО. ИНТЕРГИС. 2021. Т. 27, № 3. С. 85–97. EDN COCYRW. https://doi.org/10.35595/2414-9179-2021-3-27-85-97
Supplementary files










