Geoinformation system for Argo floats drift assessment: The Black Sea case
- Authors: Zhuk Е.V.1, Markova N.V.1
-
Affiliations:
- Marine Hydrophysical Institute, Russian Academy of Sciences
- Issue: Vol 40, No 4 (2024)
- Pages: 611-630
- Section: Automation of scientific research of seas and oceans
- URL: https://journals.rcsi.science/0233-7584/article/view/263907
- EDN: https://elibrary.ru/ZWKGTA
- ID: 263907
Cite item
Full Text
Abstract
Purpose. The work is aimed at developing and implementing a geographic information system (GIS) that provides an opportunity for online work with the Argo float data in the Black Sea, and for its application for estimating the float drift velocities in different sea layers.
Methods and Results. The geoinformation system is developed based on a client-server architecture using PostgreSQL DBMS to store the Argo float data, the jQuery, Plotly, and mapbox gl libraries and, therefore, to implement a user interface and a cartographic service. The float drift velocities are calculated and analyzed using the information provided by the Argo project in the public domain. The information is received from the autonomous drifting profiling floats and includes the data on their satellite positioning, drift depths, and profiling. The velocities at the float drift horizon are calculated using the data on its trajectory, meanwhile GIS assumes the possibility to recalculate fast the velocities when new observation data are received, adjust the calculation methodology, expand the range of statistical characteristics as well as to add a number of additional options. To calculate and analyze the velocities, the Argo data array (early 2005 – mid 2022) was included in the system current version. Application of GIS made it possible to estimate the float drift velocities in the Black Sea, to specify the mean velocity values as compared to the previous studies, and to show its seasonal variability in different layers of the sea.
Conclusions. The online services of the Argo project is complemented by the developed GIS, that simplifies significantly processing and scientific analysis of the Black Sea oceanographic data; in other words, there is no need to use additional scripts, data downloads and external visualization systems. The examples of applying the system for estimating the float drift velocities at different depths and in certain parts of the sea are shown. In future, GIS can be supplemented with new modules, such as automatic downloading of Argo data, operating with similar data arrays obtained, for example, from the drifters or ADCP current profilers, besides, it can applied to any other region.
Keywords
Full Text
Введение
В последние два десятилетия источником регулярных данных о профилях основных гидрологических, гидрохимических и других характеристик морс-кой среды стали автономные дрейфующие буи-профилемеры Argo 1. В открытом доступе находятся как получаемые с их помощью данные, так и полная информация об основных этапах развития системы наблюдения Мирового океана с использованием дрейфующих буев Argo, включая их конструктивные и эксплуатационные особенности. Буи-профилемеры могут оснащаться различными соответствующими поставленным задачам датчиками для проведения наблюдений параметров морской среды, при этом основными наблюдаемыми параметрами являются температура и соленость [1]. Вместе с тем одна из важнейших океанологических характеристик – скорость течений – не может быть напрямую измерена с их помощью. Расчет скоростей на основе траекторий буев, когда буи используются в качестве лагранжевых трассеров, позволяет оценить направление и амплитуды течений, структуру и изменчивость поля скорости.
Довольно полный критический обзор информации, получаемой с помощью буев Argo, изложен в работе [2], где в том числе говорится о методике вычисления скорости перемещения буев под водой на основе их спутникового позиционирования на поверхности. При этом в числе пионерских работ по расчету скоростей в океане следует отметить исследование 2, где приводятся основы методики вычисления скоростей буев Argo на глубинах их дрейфа (парковочных глубинах), а также оценки ошибок такого расчета вследствие вертикального сдвига скорости. Расчеты средних скоростей буев в Мировом океане также были выполнены в целом ряде работ, напр., в [3, 4] и в исследованиях [5–8] при оценке течений в Черном море. Сейчас в свободном доступе находятся архивы рассчитанных скоростей, полученные различными исследовательскими группами (рис. 1), однако простая и удобная онлайн-система для научного анализа этих данных пока не создана.
В онлайн-сервисах проекта Argo процедура расчета лагранжевых скоростей по произвольно выбранным данным и региону отсутствует, хотя массивы с оценками скоростей буев на основе их траекторий для всего Мирового океана периодически предоставляются для открытого доступа, в частности в Copernicus Marine Service (рис. 1). И хотя файлы с данными находятся в формате netCDF, отсутствие возможности предварительной выборки данных (по идентификатору буя, региону, дате, парковочной глубине и т. д.) делает эти массивы не вполне удобными для анализа динамических процессов.
Рис. 1. Массивы данных о скорости дрейфа буев, представ-ленные на сайте https://argo.ucsd.edu/data/argo-data-products/velocity-products/
Fig. 1. Data arrays on the float drift velocities presented on the website https://argo.ucsd.edu/data/argo-data-products/velocity-products/
В то же время вся остальная прошедшая контроль качества информация, получаемая с буев Argo, в настоящее время доступна и регулярно обновляется. Поэтому с учетом постоянного поступления новых данных наблюдений Argo насущным является создание гибкой системы для выборки, обработки и первичного анализа скоростей в выбранном бассейне, способной оперативно выдавать самые свежие результаты обработки данных и производить их визуализацию. Реализация ГИС для расчета и обработки лагранжевых скоростей в бассейне Черного моря на данном этапе вполне оправдана и полезна как логичное дополнение существующих сервисов. Ее использование позволит получать информацию о скоростях дрейфа по различным выборкам (по слою, времени, району), а также быстро определять статистические характеристики и пересчитывать результаты в случае усовершенствования методики расчета.
Таким образом, цель данной работы заключается в разработке и реализации ГИС, предоставляющей возможность онлайн-работы с данными буев-профилемеров Argo в Черном море, а также – в качестве примера использования – в выполнении с ее помощью оценок скоростей дрейфа буев-профилемеров в разных слоях моря в 2005–2022 гг.
Данные и методы
Данные наблюдений. Основным источником данных для расчета скоростей являются находящиеся в открытом доступе архивы проекта Argo 1, в которых содержится информация, полученная как с действующих, так и с завершивших свою работу буев-профилемеров. Она включает метаданные для каждого буя (с техническими характеристиками и настройками), а также данные наблюдений океанографических параметров и спутникового позиционирования. Глубина дрейфа буя-профилемера является заданной, но не обязательно постоянной для всего времени работы буя. Кроме того, эта глубина может не достигаться в реальной обстановке при движении буя (вследствие особенностей рельефа дна). Глубины дрейфа буев можно восстановить по данным встроенного датчика давления, в то же время их точность в отдельные моменты движения зависит в первую очередь от заданной дискретности записи данных. Так, есть массивы данных, когда информация о давлении записывалась только в начальные и конечные моменты этапов рабочего цикла буя (рис. 2), что не гарантировало его дрейф на одной и той же парковочной глубине (напр., при наличии поднятия дна или выхода на мелководье). Этот момент необходимо было учитывать при реализации алгоритма расчета скорости.
Рис. 2. Схема работы (рабочий цикл) буя-профилемера
Fig. 2. Argo float cycle
В Черном море наиболее часто задается рабочий цикл буя с периодом 120 ч (5 сут), парковочные глубины составляют 200–1500 м, а глубина профилирования достигает 2000 м. В представленном ниже исследовании для анализа скоростей используется массив данных буев Argo, включающий информацию за 2005–2022 гг. от всех действующих и завершивших свою работу буев, что превышает по объему используемые в предыдущих аналогичных публикациях [5–8] данные по Черному морю. Большинство современных буев позиционируется спутниковой системой Iridium, что позволяет улучшить точность определения их координат при всплытии на поверхность по сравнению с более распространенной ранее системой коммуникации Argos 3 [2] и, соответственно, более точно рассчитать значение скорости дрейфа.
Алгоритм расчета скорости дрейфа. Средние скорости дрейфа определялись согласно данным спутникового позиционирования буя-профилемера: рассчитывалось частное от деления перемещения буя под водой на соответствующий временной интервал между всплытием буя на поверхность и его предшествующим погружением на парковочную глубину: v = dr/dt, где dr – перемещение буя между точками позиционирования в рабочих циклах i и i-1; dt – промежуток времени между позиционированием буя в i и i-1 рабочих циклах.
Как уже отмечалось, подобная методика расчета лагранжевой скорости для бассейна Черного моря была впервые использована в исследовании [5], а позднее – в работах [6–8]. Понятно, что вышеуказанная формула предполагает погрешность определения скорости на любом парковочном горизонте, поскольку во временной интервал включаются не только периоды дрейфа буя на парковочной глубине: в него также входят периоды дрейфа буя на поверхности моря (между моментами его фактического всплытия/погружения и ближайшего позиционирования спутником) и периоды движения буя на вертикальных участках (во время его подъема на поверхность и обратного погружения) (рис. 2). Для Мирового океана способы устранения погрешностей предлагались, напр., в работах 2 и [3]. Выполнить точный расчет движения буя на вертикальных участках его траектории в Черном море довольно сложно, ведь основными предположениями для такой коррекции являются не только постоянство скорости погружения/всплытия самого буя (»10 см/с), но и постоянство вертикального сдвига скорости в течение рабочего цикла 2. Это условие часто нарушается ввиду сильной плотностной стратификации вод (наличия постоянного пикноклина) и пространственно-временной изменчивости течений в бассейне [9, 10]. Поэтому в настоящей работе применяется аналогичная исследованиям [5–8] методика, а получаемое уточнение оценок скорости связано, в первую очередь, с увеличением общего количества накопленных данных буев, а также с более быстрым позиционированием большинства современных буев системой Iridium на поверхности моря по сравнению с ранее используемой Argos. Пополнение базы данных (БД) новыми данными буев предполагает дальнейшее улучшение оценок скорости.
В настоящей работе использованы данные 42 буев Argo, дрейфовавших в Черном море на глубинах 200–1500 м с начала 2005 г. до середины 2022 г. Векторы скорости рассчитывались с учетом всех имеющихся данных и контроля достижения буем запрограммированных глубин. Используемые метаданные о глубине дрейфа для каждого рабочего цикла буя-профилемера являются более точными, чем в работе [8], когда рассматривалась парковочная глубина, заданная в метаданных для всего пути буя. Кроме того, с запуском новых буев, позиционируемых спутниковой системой Iridium с применением GPS [2, с. 5], увеличивается их процентное соотношение. Использование системы Iridium делает более быстрым и точным определение координат буя в моменты всплытия/погружения. В процессе обработки данных Argo 1 выяснилось, что, хотя они и проходят контроль качества перед размещением для скачивания пользователями, в них все же остаются ошибки в определении местоположения отдельных станций. Вследствие этого такие станции были отбракованы, а флаги качества данных сохранены в БД ГИС.
Геоинформационная система. Оценка скоростей дрейфа буев Argo проводилась на основе анализа расчета их средней скорости с использованием ГИС, доступной на сайте http://www.bod-mhi.ru/ff/ 4. Источником данных для ГИС были файлы данных буев Argo в форматах netCDF и csv, содержащие информацию о номере буя, его местоположении, времени начала профилирования, измеренных параметрах, а также отдельные файлы с метаданными, в которых представлена информация о глубине подводного дрейфа до начала профилирования. Реальная глубина дрейфа в течение рабочего цикла известна практически для всех буев, за исключением буев с номерами 7900465, 7900466, 4900540, 4900541, 4900542, 4900489. Для этих буев применялся такой же метод ее проверки, как и в работе [8]. При этом использовались данные из раздела описания буев (циклы профилирования, глубина измерений и глубина дрейфа) на сайте 1, указанная глубина дрейфа проверялась на соответствие фактически проведенным наблюдениям (глубина начала профилирования и глубина места должны быть не меньше заявленной глубины дрейфа). Подобные проверки проводились и в работе [3, c. 769].
На основе анализа структуры данных буев-профилемеров авторами была разработана структура реляционной БД и написаны программные модули для парсинга (разбора) исходных данных и занесения информации в таблицы БД. В качестве СУБД используется PostgreSQL 5. База данных состоит из таблицы, содержащей метаданные (argo_trajectories), и связанной с ней по ключевым полям таблицы данных измерений (argo_profiles). Первоначальная структура БД была представлена в работе [11]. В настоящей работе таблица argo_trajectories была дополнена значениями скоростей дрейфа, обновленная структура таблиц приведена ниже (табл. 1 и 2, названия полей и типов данных приводятся в оригинале). Заполнение таблиц происходило автоматически с помощью разработанного программного модуля на языке Python.
Таблица 1. Метаданные (argo_trajectories)
Table 1. Metadata (argo_trajectories)
Название поля / Field name | Тип данных / Data type | Описание / Description |
id | serial | Индекс / Index |
argo_platform_id | int | Идентификатор Argo / Argo identifier |
cycle | int | Номер цикла профилирования / Profiling cycle number |
date_time | timestamp | Дата и время профилирования / Date and time of profiling |
latitude | float | Широта / Latitude |
longitude | float | Долгота / Longitude |
drift_depth | float | Глубина дрейфа / Drift depth |
velocity | float | Модуль скорости дрейфа / Drift velocity absolute |
degree | int | Направление дрейфа / Drift direction |
qc | int | Флаг качества / Quality flag |
Таблица 2. Данные профилирования (argo_profiles)
Table 2. Profiling data (argo_profiles)
Название поля / Field name | Тип данных / Data type | Описание / Description |
id | serial | Индекс / Index |
argo_platform_id | int | Идентификатор Argo / Argo identifier |
cycle | int | Номер цикла профилирования / Profiling cycle number |
pressure | float | Давление / Pressure |
temperature | float | Температура / Temperature |
salinity | float | Соленость / Salinity |
doxy | float | Концентрация кислорода / Oxygen concentration |
chlorophyll | float | Концентрация хлорофилла / Chlorophyll concentration |
Примечание. Полужирным шрифтом в таблицах выделены ключевые поля.
Note: Key fields in the tables are highlighted in bold.
Для удобства работы с БД, проведения статистических расчетов, выборки и визуализации данных профилирования и дрейфа был разработан пользовательский веб-интерфейс, обеспечивающий весь необходимый функционал. Структура системы хранения и выборки данных показана на рис. 3.
Разработанная ГИС предоставляет возможность работать в двух основных режимах:
- с одним выбранным по идентификатору буем-профилемером,
- со всеми буями.
Рис. 3. Структурная схема системы доступа к данным Argo для Черного моря
Fig. 3. Structure scheme of the Argo data access system for the Black Sea
Переключение между режимами происходит с помощью специальной опции пользовательского интерфейса. В каждом из режимов возможно отображение положения буя (буев) в виде точек (в случае выбора опции Профили) или в виде векторов скоростей дрейфа (при выборе опции Скорости). При нажатии на отображаемую точку или вектор появляется всплывающее окно с информацией о номере буя, координатах, дате выполнения станции, строятся профили измеренных при данном зондировании параметров (если выбрана опция Профили) или отображается информация о скорости и направлении дрейфа буя (при выборе опции Скорости). Для обоих режимов возможна выборка данных по прямоугольной области, задаваемой на карте, и по заданному временному интервалу.
В режиме выбора по всем буям (опция Все) доступна еще и выборка по слоям, соответствующим глубинам дрейфа буев. Для каждой новой выборки производится расчет основных статистических характеристик скоростей дрейфа (минимальная и максимальная скорости, среднее значение, СКО), построение розы течений и диаграммы box and whisker.
Доступно скачивание данных по идентификатору буя в формате netCDF. На рис. 4–6 показаны примеры выборки и визуализации данных. На рисунках рядом с соответствующими картами располагаются диаграммы (розы) течений, демонстрирующие направление и значение рассчитанных скоростей в выбранной области.
Рис. 4а. Пример использования веб-интерфейса для отображения: a – траектории буя Argo ID 6903766 и вертикальных профилей температуры и солености; b – его скоростей дрейфа
Fig. 4a. An example of using the web interface to display: a – trajectory of the Argo float ID 6903766 and vertical profiles of temperature and salinity, and b – float drift velocities
Рис. 4b. Пример использования веб-интерфейса для отображения: a – траектории буя Argo ID 6903766 и вертикальных профилей температуры и солености; b – его скоростей дрейфа
Fig. 4b. An example of using the web interface to display: a – trajectory of the Argo float ID 6903766 and vertical profiles of temperature and salinity, and b – float drift velocities
Рис. 5. Пример использования веб-интерфейса для отображения скоростей всех буев Argo, дрейфовавших в слое 150–350 м
Fig. 5. An example of using the web interface to display velocities of all the Argo floats drifting in the 150–350 m layer
Рис. 6. Пример использования веб-интерфейса для отображения скоростей всех буев Argo, дрейфовавших в слое 150–350 м в пределах заданной прямоугольной области
Fig. 6. An example of using the web interface to display velocities of all the Argo floats drifting in the 150–350 m layer within the selected rectangular area
Анализ результатов
Анализ рассчитанных на основе данных буев Argo скоростей в Черном море проводился с помощью разработанной ГИС при сопоставлении с наиболее полными опубликованными результатами по данной тематике. В работе [5] рассматривались данные только трех буев-профилемеров: средняя скорость первого буя на горизонте 200 м оценена в 7 см/с, на горизонте 750 м – в ~ 4 см/с, на горизонте 1550 м – в диапазоне 1–5 см/с. В работе [6] на основе данных 7 буев, которые работали в 2002–2009 гг., показано, что их средние скорости на глубинах 750–1550 м составили 2,2–2,7 см/с, на горизонте 500 м – 4 см/с. В работе [7], где рассматривались данные буев с парковочными горизонтами 200–1000 м за период 2005–2010 гг., было показано, что скорости течений с глубиной уменьшаются, а в летний период они слабее, чем в остальные сезоны. Рассчитанные скорости на глубине 750 м составляли до 10 см/с, на глубине 1000 м находились в диапазоне 1–5 см/с. В работе [8] для оценки скоростей использовался уже 10-летний массив измерений Argo (2005–2015 гг.), что позволило более детально рассмотреть динамику глубоководных течений Черного моря, однако в верхнем слое скорости не оценивались. При этом авторами были определены следующие значения скоростей: 3,6 ± 0,4 см/с на глубинах 350–600 м, 4,0 ± 0,2 см/с в слое 600–800 м, 5,7 ± 0,6 см/с в слое 800–1200 м и 3,5 ± 0,2 см/с в нижнем из рассмотренных слоев 1200–1600 м [8, с. 32]. По сравнению с указанной работой количество глубоководных наблюдений Argo к середине 2022 г. существенно увеличилось: минимум в 1,3 раза в слое глубже 1200 м и более чем в 5 раз в слое 800–1200 м. Для горизонта 200 м количество наблюдений увеличилось более чем в три раза по сравнению с количеством, используемым в наиболее обеспеченной соответствующими данными работе [7]: примерно от 1500 станций в 2015 г. до 4774 в 2022 г. В табл. 3 приведены результаты расчетов скоростей дрейфа буев-профилемеров Argo в разных слоях Черного моря. Количество рассчитанных векторов скорости оказалось меньше, чем количество выполненных станций, в связи с тем, что в ряде случаев не выполнялось условие нахождения буя между соседними станциями в одном слое. Такая ситуация возможна, в частности, при вхождении буя в течение рабочего цикла в зону с глубинами меньше его парковочного горизонта, и тогда полученный вектор скорости не может быть отнесен ни к одному из слоев.
Из табл. 3 видно, что наибольшее количество векторов скорости дрейфа рассчитано для слоя 200 ± 50 м, среднее значение c 95%-ной вероятностью находится в интервале 4,2 ± 0,1 см/с. В следующем слое 350–600 м количество рассчитанных векторов на порядок меньше, а средняя скорость составила 2,3 см/с, что ниже значения 4 см/с, указанного в работах [5, 6], и значений 3,6 ± 0,2 см/с из работы [8]. В трех более глубоких слоях средние скорости оказались несколько выше (2,9, 3,4 и 2,9 см/с соответственно). Таким образом, в слое 850–1200 м выявляется некоторое увеличение средней скорости, ранее полученное в [8] и в настоящей работе подтвержденное на существенно большем объеме данных. При этом с учетом доверительного интервала значения средней скорости в глубоководных слоях достаточно близкие и составляют ~ 3 см/с.
Таблица 3. Статистика рассчитанных векторов скорости по слоям
Table 3. Statistics of calculated velocity vectors by layers
Слои по глубине, м / Layer by depth, m | Количество станций / Number of stations | Количество векторов / Number of vectors | Средняя скорость, см/с / Mean velocity, cm/s | 95%-ный доверительный интервал, см/с / 95% confidence interval, cm/s |
150–250 | 4774 | 4695 | 4,2 | ±0,1 |
350 – 600 | 409 | 345 | 2,3 | ±0,2 |
600 – 850 | 1419 | 1348 | 2,9 | ±0,1 |
850 – 1200 | 820 | 772 | 3,4 | ±0,3 |
1200 – 1600 | 636 | 614 | 2,9 | ±0,2 |
На рис. 7 представлены карты рассчитанных скоростей дрейфа буев-профилемеров Argo в отдельных слоях моря. Согласно построенным диаграммам, в северной части моря во всех слоях преобладающее направление течений западное, а в южной – восточное, что согласуется с представлениями об общециклонической циркуляции в бассейне. Кроме основного направления в самом нижнем слое четко определяются также западное, северо-западное и юго-западное направления скоростей дрейфа. Значения скоростей в этом слое составляют преимущественно 2–4 см/с, но могут достигать и 10–12 см/с. В центральной части бассейна преобладает западный перенос (рис. 8) со скоростями 5–10 см/с и максимумом 15 см/с в слое 150–250 м (на основе данных о 1091 рассчитанном векторе скорости), со скоростями 2–5 см/с в слое 350–600 м (93 рассчитанных вектора) и 2–5 см/с в слое 600–800 м (354 вектора скорости). В целом рассчитанные характеристики дрейфа буев свидетельствуют о сложной структуре поля течений во всех слоях, в частности о наличии вихревых образований разного масштаба и знака завихренности.
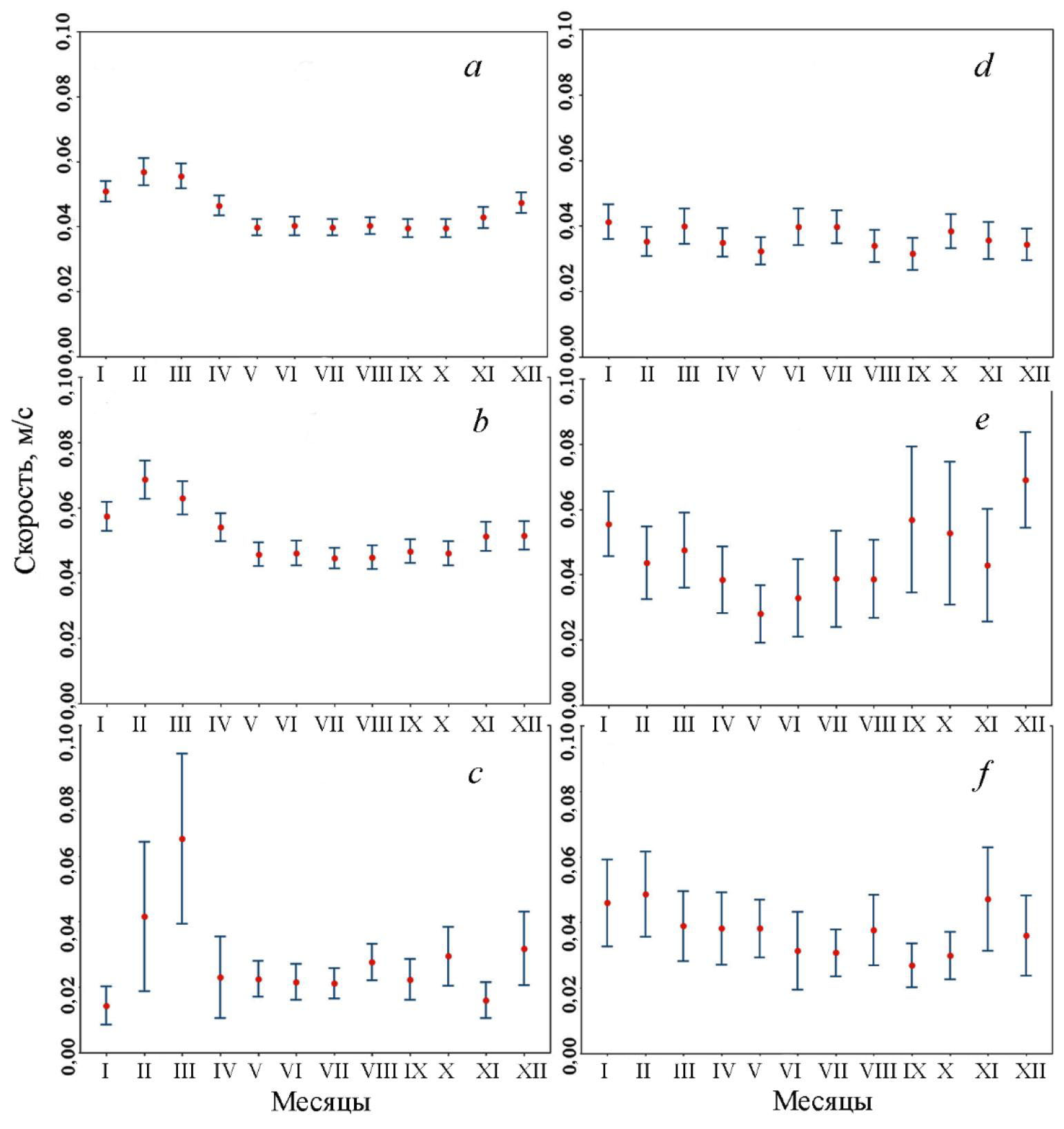
Из рис. 9, который составлен на основе данных о среднемесячной за весь рассмотренный временной интервал скорости, можно видеть, что скорости дрейфа буев зимой почти на всех горизонтах выше, чем летом. Это является результатом сезонного усиления ветров над морем в зимний период [9, с. 26]. Показательными в этом отношении являются диаграммы для двух верхних слоев (рис. 9, b, c), которые вносят наибольший вклад в общее увеличение значений скорости (рис. 9, а). При этом максимум средних скоростей в верхнем слое отмечается в феврале (7 см/с), во втором слое (на глубинах 350–600 м) – в марте (6,5 см/с). Летом в двух верхних слоях скорости уменьшаются до 2,5–4 см/с. В слое 600–850 м (рис. 9, d) сезонный ход в значениях средних скоростей не выделяется, а средние за все время скорости дрейфа буев составляют ~ 2,9 см/с. При этом в нижележащих слоях, на глубинах > 850 м, летние значения скоростей (3–4 см/с) ниже, чем в другие сезоны года (до 6 см/с).
Рис. 7. Рассчитанные векторы скорости буев Argo (cм/c) и соответствующие розы течений в слое 150–250 м (а), 600–850 м (b), 1200–1600 м (c) в северной (d, f, h) и южной (e, g, i) частях моря
Fig. 7. Calculated vectors of the Argo float velocities (cm/s) and the corresponding current roses in the 150–250 m (a), 600–850 m (b) and 1200–1600 m (c) layers in the northern (d, f, h) and southern (e, g, i) parts of the sea
Рис. 8. Рассчитанные векторы скорости буев Argo в центральной части моря во всех слоях и соответствующая роза течений
Fig. 8. Calculated vectors of the Argo float velocities in all the layers of the sea central part and the corresponding current rose
Рис. 9. Сезонный ход скорости дрейфа буев Argo в Черном море (красные точки) с соответствующими доверительными интервалами (вертикальные отрезки): a – во всем объеме бассейна; b – в слое 150–250 м; c – в слое 350–600 м; d – в слое 600–850 м; e – в слое 850–1200 м; f – в слое 1200–1600 м
Fig. 9. Seasonal variation of the Argo float drift velocities in the Black Sea (red dots) with the corresponding confidence intervals (vertical segments): a – in the whole volume of the basin; b – in the 150–250 m layer; c – in the 350–600 m layer; d – in the 600–850 m layer; e – in the 850–1200 m layer and f – in the 1200–1600 m layer
Заключение
С использованием разработанной геоинформационной системы выполнены оценки скорости дрейфа буев-профилемеров Argo, которые осуществляли сбор океанографических данных в Черном море в 2005–2022 гг. Анализ скоростей выполнен на более полном массиве данных Argo по сравнению с ранее опубликованными работами, уточнены значения средней скорости, показаны особенности дрейфа в отдельных слоях моря. Обнаружено, что зимнее увеличение скоростей буев в акватории Черного моря, связанное с сезонным усилением ветрового воздействия, проявляется не только в верхнем, но и в более глубоких слоях моря. Установлено, что в зимний период на глубинах > 850 м может наблюдаться 1,5–2-кратное возрастание значений средних скоростей относительно летних, а средние скорости в слое 350–600 м могут увеличиваться до 2–2,5 раза с четким максимумом в феврале – марте. Доминирующее западное направление движения буев в северной части моря на всех горизонтах, а в южной части – преимущественно восточное свидетельствуют о циклоническом характере циркуляции в бассейне. В центральной глубоководной части моря определяется преобладание западного направления скоростей дрейфа. Анализ векторов других направлений свидетельствует о неоднородности поля скорости, нестационарности течений и наличии вихревых образований разного масштаба во всех рассмотренных слоях.
Использование ГИС для анализа данных Argo существенно упрощает работу с океанографическими данными для региона Черного моря и их научный анализ. При этом ГИС предполагает возможность быстрого пересчета скоростей при поступлении новых данных наблюдений, включения в систему ряда дополнительных опций, а также возможность уточнения методики расчета скоростей на парковочной глубине с учетом различных оценок сноса буя при его всплытии/погружении.
В развитие системы предполагается добавление в нее функционала по визуализации данных дрифтеров и измерителей течений ADCP для Черного моря и автоматическое пополнение базы данных новыми данными наблюдений буев Argo. Также возможна адаптация разработанной ГИС для других акваторий Мирового океана.
1 ARGO Data Management. URL: http://www.ARGOdatamgt.org/ (date of access: 18.03.2024).
2 YoMaHa'07: Velocity data assessed from trajectories of Argo floats at parking level and at the sea surface / K. V. Lebedev [et al.]. Asia-Pacific Data-Research Center, 2007. 16 p. (IPRC Technical Note ; no. 4(2)). http://dx.doi.org/10.13140/RG.2.2.12820.71041
3 A Comparison of Iridium vs Argos Technology in Xeos Location Beacons : Tech Note // Xeos Technologies Inc. : site. Dartmouth, 2019. URL: https://xeostech.com/comparison-iridium-vs-argos-technology-xeos-location-beacons (date of access: 18.03.2024).
4 Банк океанографических данных Морского гидрофизического института РАН : база данных. URL: http://www.bod-mhi.ru/ff/ (дата обращения: 27.03.2024).
5 PostgreSQL: The World’s Most Advanced Open Source Relational Database : database. 2024. URL: https://www.postgresql.org/ (date of access: 27.03.2024).
About the authors
Е. V. Zhuk
Marine Hydrophysical Institute, Russian Academy of Sciences
Author for correspondence.
Email: elena.zhuk@mhi-ras.ru
ORCID iD: 0000-0002-4263-7734
SPIN-code: 3814-6300
Scopus Author ID: 57191412660
ResearcherId: JCD-8660-2023
младший научный сотрудник, отдел океанографии
Russian Federation, SevastopolN. V. Markova
Marine Hydrophysical Institute, Russian Academy of Sciences
Email: n.v.markova@mhi-ras.ru
ORCID iD: 0000-0002-7123-6657
SPIN-code: 3625-6866
Scopus Author ID: 57198013260
ResearcherId: Q-2638-2017
старший научный сотрудник, отдел теории волн
Russian Federation, SevastopolReferences
- Fifteen years of ocean observations with the global Argo array / S. C. Riser [et al.] // Nature Climate Change. 2016. Vol. 6, iss. 2. P. 145–153. https://doi.org/10.1038/nclimate2872
- Argo Data 1999–2019: Two Million Temperature-Salinity Profiles and Subsurface Velocity Observations From a Global Array of Profiling Floats / A. P. S. Wong [et al.] // Frontiers in Marine Science. 2020. Vol. 7. 700. https://doi.org/10.3389/fmars.2020.00700
- Ollitrault M., Rannou J.-P. ANDRO: An Argo-Based Deep Dis-placement Dataset // Journal of Atmospheric and Oceanic Technolo-gy. 2013. Vol. 30, iss. 4. P. 759–788. https://doi.org/10.1175/JTECH-D-12-00073.1
- An Advanced Method to Estimate Deep Currents from Profil-ing Floats / J. J. Park [et al.] // Journal of Atmospheric and Oceanic Technology. 2005. Vol. 22, iss. 8. P. 1294–1304. https://doi.org/10.1175/JTECH1748.1
- Korotaev G., Oguz T., Riser S. Intermediate and deep currents of the Black Sea obtained from autonomous profiling floats // Deep Sea Research Part II: Topical Studies in Oceanography. 2006. Vol. 53, iss. 17–19. P. 1901–1910. https://doi.org/10.1016/j.dsr2.2006.04.017
- Герасимова С. В., Лемешко Е. Е. Оценка скоростей глубо-ководных течений по данным ARGO // Системы контроля окружающей среды. 2011. Вып. 15. С. 187–196. https://msoe.ru/articles/2011/15-33/
- Milanova M., Peneva E. Deep Black Sea circulation described by Argo profiling floats // Annual of Sofia University “St. Kliment Ohridski”, Faculty of Physics. 2016. Vol. 109. 12 p. URL: https://www.phys.uni-sofia.bg/annual/archive/109/full/GSU-Fizika-109_02.pdf (date of access: 07.07.2024).
- Маркова Н. В., Багаев А. В. Оценка скоростей глубоко-водных течений в Черном море по данным дрейфующих буев-профилемеров Argo // Морской гидрофизический журнал. 2016. № 3. С. 26–39. EDN WNAFSV. https://doi.org/10.22449/0233-7584-2016-3-26-39
- Иванов В. А., Белокопытов В. Н. Океанография Черного моря. Севастополь, 2011. 212 с. EDN XPERZR.
- Undercurrents in the Northeastern Black Sea Detected on the Basis of Multi-Model Experiments and Observations / S. G. Demyshev [et al.] // Journal of Marine Science and Engineer-ing. 2021. Vol. 9, iss. 9. 933. EDN QPOVKS. https://doi.org/10.3390/jmse9090933
- Zhuk E. ARGO Black Sea Database: storage and visualization // Proceedings of SPIE / Eds. K. Themistocleous, D. G. Hadjimitsis, S. Michaelides, G. Papadavid. SPIE, 2023. Vol. 12786 : Ninth International Conference on Remote Sensing and Geoinformation of the Environment (RSCy2023). 127861Q. https://doi.org/10.1117/12.2681583
Supplementary files












