Investigation of the wind wave breaking shapes using the sea surface video records
- Authors: Malinovsky V.V.1, Korinenko A.Е.1
-
Affiliations:
- Marine Hydrophysical Institute, Russian Academy of Sciences
- Issue: Vol 40, No 4 (2024)
- Pages: 576-587
- Section: Experimental and field research
- URL: https://journals.rcsi.science/0233-7584/article/view/263874
- EDN: https://elibrary.ru/VPDVBZ
- ID: 263874
Cite item
Full Text
Abstract
Purpose. The work is aimed at studying the statistics of width-to-length ratio of a breaking crest for an active phase of wind wave breakings, and at assessing the possibility of approximating the geometric shape of a breaking crest with an ellipse.
Methods and Results. The experimental data including the video records of sea surface and the wind speed measurements were obtained at the stationary oceanographic platform in the Black Sea hydrophysical subsatellite polygon (Katsiveli, the Southern Сoast of Crimea) in 2015–2019. Processing the in situ data made it possible to form the arrays both of lengths and areas of the breaking crests, and the synchronous measurements of wind speed.
Conclusions. The distributions of random variables proportional to the minor-to-major axes ratios of breaking crests are obtained; it is shown that these distributions are coincident for the whitecaps of different scales. This fact testifies to the similarity of whitecap geometric shapes. The average value of the breaking crests’ axis ratio obtained from all the data is 0.41. It is concluded that the average geometric shape of the breaking crest boundaries is satisfactorily described by an ellipse with the eccentricity 0.91. The ratio of the speed of a breaking crest’s centroid to that of its anterior front is estimated to be 0.9.
Full Text
Введение
Результатам исследований статистических характеристик размеров обрушений ветровых волн посвящено достаточно много работ. Например, распределения длин гребней барашков, полученные в результате самолетных съемок [1] над Черным морем, аппроксимировались гамма-распределением. В [2] по результатам четырех экспериментов, выполненных на исследовательской платформе FLIP в 150 км западнее Калифорнии, получены распределения длин барашков и их скоростей при скоростях ветра 5–15 м/с. В работе [3] приводятся плотности вероятностей длин барашков L, хорошо описываемые степенной функцией p(L)~L^(-2,3), и распределение направления движения обрушений, аппроксимируемое функцией A~cos^q, где q меняется от 5 до 4 с ростом скорости ветра в диапазоне 10–16 м/с. Временная эволюция барашка исследована в [4], где показано, что длина и ширина обрушения растут с постоянными скоростями, пропорциональными скорости барашка с коэффициентами 0,56 и 0,19 соответственно. Связь длины обрушения с длиной обрушивающейся волны λ рассмотрена в [5], где получено среднее отношение ⟨L⁄λ⟩=0,1.
В ряде исследований [1, 6, 7] пенная область морской поверхности аппроксимировалась эллипсами и в дальнейшем определялись размеры и скорости движения барашка. К сожалению, каких-либо обоснований такой аппроксимации обрушений эллипсом в перечисленных работах не приводится. В работе [8] пенные структуры идентифицировались по пороговому методу. Для определения площади и морфологии обрушения находились координаты внешней границы контура выделенной пены. В исследовании [8] проводится подробное сопоставление контурного метода и метода эллипса и показано, что оба метода дают близкие результаты при определении геометрических размеров и скоростей обрушений.
Тем не менее до настоящего времени вопрос о виде аппроксимации контура обрушения остается открытым. Наблюдаемые обрушения за время своего развития в активной фазе имеют различную конфигурацию – от близкой к эллиптической до «серпообразной», когда части гребня обрушивающейся волны (преимущественно короткой) движутся под различными углами относительно направления ее распространения (см. рис. 1 и 2 в [4]). Для определения функции, описывающей форму обрушения, требуются дополнительные исследования геометрических размеров барашка.
Отметим, что несмотря на большое число исследований статистики длин обрушивающихся гребней и их площадей недостаточно изученным остается вопрос об отношении ширины обрушения к его длине. Такое отношение в случае его постоянства будет означать автомодельность геометрической формы границ барашка.
Изучение геометрической формы обрушений может оказаться важным при анализе данных радиолокационных станций, установленных, например, на береговых сооружениях или морских судах. В этом случае измерения выполняются под малыми углами скольжения, при которых уровень принятого сигнала определяется небрегговской компонентой рассеяния σnb, формируемой обрушениями ветровых волн (см. работу [9] и цитируемую в ней литературу). Таким образом, исследование формы барашков и связей между их линейными размерами позволит развивать модели небрегговской компоненты радиолокационного рассеяния.
Целью данной работы является исследование отношения ширины обрушивающегося гребня к его длине для активной фазы обрушения и оценка возможности аппроксимации геометрической формы барашка эллипсом.
Район проведения экспериментальных работ и используемое оборудование
В настоящей работе использовалась база архивных данных, полученных в осенние периоды 2015, 2018 и 2019 гг. при проведении натурных экспериментов на стационарной океанографической платформе Черноморского гидрофизического подспутникового полигона Морского гидрофизического института (район пгт Кацивели, Южный берег Крыма). Платформа установлена примерно в 480 м от берега, глубина моря 30 м.
Процесс регистрации обрушений ветровых волн с помощью видеокамеры описан в [5]. Используемая видеокамера с объективом, обеспечивающим углы обзора по горизонтали 54° и по вертикали 32°, производила запись с частотой съемки fr 25 кадров в секунду и с разрешением 1920 1080 пикселей. Камера устанавливалась на палубе платформы на высоте 11,4 м над уровнем моря с направлением визирования 30–40° к горизонту и 50–60° – к направлению «на ветер». Геометрия наблюдения обеспечивала отсутствие солнечного блика в кадре.
Измерения скорости и направления ветра проводились комплексом Davis 6152EU, в состав которого входят измеритель скорости и направления ветра, датчик температуры воздуха и датчик температура воды, устанавливаемый на глубине 3 м. На высоте 23 м над уровнем моря на мачте океанографической платформы располагался анемометр, данные с которого пересчитывались в эффективную нейтрально стратифицированную скорость ветра U на высоте 10 м по методике [10].
Натурные данные были получены при нейтральной стратификации атмосферы и скоростях ветра 5,3–20 м/с.
Методика обработки данных
Настоящая работа основана на анализе базы архивных видеозаписей морской поверхности. Предварительная обработка натурных данных выполнялась по алгоритму, предложенному в [11]. Методика последующего расчета различных характеристик обрушений ветровых волн подробно описана в [3, 5, 12, 13]. Перечислим основные стадии обработки, необходимые в настоящей работе.
Признаком наличия барашка в видеокадре являлось изменение формы распределения яркости p(I^') относительно фонового распределения p(I), полученного в отсутствие пенных структур. Участок поверхности, на котором яркость превышала заданное пороговое значение, фиксировался как обрушение. Анализ временной эволюции геометрических характеристик пенной области барашка приводится в работах [4, 5, 13], где рассматривается алгоритм разделения процесса обрушения на активную фазу и растекшуюся пену.
На заключительном этапе обработки данных с учетом геометрии наблюдений каждый пиксель видеокадра привязывался к координатам на горизонтальной плоскости. За начало координат принималась точка пересечения оптической оси объектива с выбранной плоскостью.
Для каждого барашка определялись: длина L гребня, занимаемая площадь S, координаты геометрического центра (xc, yc). Временная эволюция барашка, движущегося с вполне определенной скоростью, характеризуется ростом S и L. Максимальные значения его площади Sm и длины Lm достигаются в момент времени, равный τ, который считался временем жизни обрушения.
Для каждого обрушения по значениям рассчитывались компоненты вектора скорости и . Модуль скорости центроида определялся как В настоящей работе за скорость обрушения Cwb примем Cc.
Всего при обработке видеозаписей были идентифицированы 451724 обрушения, для каждого из которых значения Sm,Lm,Cwb и τ записывались в файл.
Оценка геометрической формы обрушений
Для рассмотрения формы обрушения введем переменную η, определяемую как отношение минимальной оси lm барашка к длине Lm, т. е. Ось lm проходит через центроид обрушения перпендикулярно Lm. Переменная η дает общее представление о «вытянутости» барашка. Отметим, что для малых обрушений размер lm составляет несколько пикселей, это будет приводить к ошибкам при определении lm. Вследствие проблем с определением реальных длин малой оси барашка в данной работе значения lm не определялись.
Предположим, что площадь обрушения пропорциональна произведению его осей: Sm=βLm lm, где β – коэффициент, зависящий от аппроксимирующей обрушение фигуры (напр., для прямоугольника β=1, для эллипса или круга β=π⁄4). Разделив обе части указанного выражения на , найдем . Переменные Sm и Lm являются случайными величинами, полученными в результате натурных измерений для каждого обрушения. Следовательно, нетрудно рассчитать статистические характеристики случайной величины совпадающей с βη. Отметим, что случайная величина здесь – η, в то время как коэффициент β является некоторой константой, которая, в общем случае, может принимать различные значения для различных обрушений. В то же время как β, так и η на данном этапе рассматриваются как неизвестные переменные.
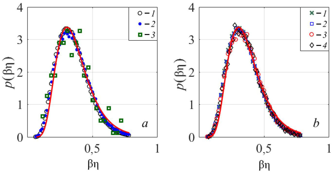
Рассмотрим плотность вероятности p(βη). На рис. 1 черными точками показано ее распределение, полученное для всех измеренных значений . Плотность вероятности удовлетворительно описывается функцией, показанной на рис. 1 красной линией:
(1)
где a = 0,69, b = 3,39, d = 0,87, данные коэффициенты получены методом наименьших квадратов. Коэффициент η0= 0,35 определен как среднее от всех найденных значений Отметим, что отклонение среднего значения равного 0,365, не превышает 4% от η0 (m – максимальное значение βη).
Рис. 1. Плотность вероятности всех измеренных βη. Сплошная красная линия рассчитана по формуле (1)
Fig. 1. Probability density of all the measured values of . Solid red line is calculated by (1)
Отметим, что вид распределения (1) выбран не случайно, а связан с тем, что в двойном логарифмическом масштабе плотность вероятности близка к параболе
Поскольку коэффициент β, как было указано выше, для разных масштабов обрушений может принимать различные значения, оценим поведение p(βη) при различных Cwb и τ.
Действительно, как показано в [5], распределение отношения Lm к длине обрушивающейся волны λ достаточно «узкое», а ⟨L_m ⟩=0,1λ. В предположении, что скорость барашка равна скорости обрушивающейся волны, получаем Таким образом, максимальная длина обрушения зависит от Однако связь отношения с не очевидна.
Определим распределения p(βη) при различных наблюдаемых скоростях барашков. Разобьем диапазон всех измеренных (1–8 м/с) на три интервала с шагом ∆Cwb=2,5 м/с. На рис. 2, a символами показаны распределения p(βη) в выбранных интервалах скоростей обрушений (цифры в легенде). Все плотности вероятностей p(βη) практически совпадают, и вся совокупность точек удовлетворительно описывается функцией (1), показанной красной линией.
Рис. 2. Плотности вероятностей измеренных переменных : a – в интервалах скоростей обрушений, м/с (1 – 1 ≤ Cwb ≤ 3.5; 2 – 3.5 ≤ Cwb ≤ 6; 3 – 6 ≤ Cwb ≤ 8); b – in the intervals of whitecaps’ lifetime, sec (1 – 0.16 ≤ τ ≤ 0.56; 2 – 0.56 ≤ τ ≤ 0.96; 3 – 0.96 ≤ τ ≤ 1.36; 4 – 1, 36 ≤ τ ≤ 1.76)
Fig. 2. Probability densities of the measured variables of βη: a – in the intervals of wave breaking velocities, m/s (1 – 1 ≤ Cwb ≤ 3.5; 2 – 3.5 ≤ Cwb ≤ 6; 3 – 6 ≤ Cwb ≤ 8); b – in the intervals of whitecaps’ lifetime, sec (1 – 0.16 ≤ τ ≤ 0.56; 2 – 0.56 ≤ τ ≤ 0.96; 3 – 0.96 ≤ τ ≤ 1.36; 4 – 1, 36 ≤ τ ≤ 1.76)
Интерес представляют распределения p(βη), рассчитанные при различном времени жизни обрушения. Как показано в [4], значения максимальных длин барашков растут линейно во времени со скоростью и достигают максимума при t=τ. Таким образом, время жизни обрушения определяет значение Lm. Разобьем диапазон всех измеренных τ (0,16–1,8 с) на четыре интервала с шагом ∆τ= 0,4 с. На рис. 2, b символами показаны распределения p(βη) в выбранных интервалах τ (цифры в легенде). Здесь, как и на рис. 2, а, все плотности вероятностей p(βη) совпадают и хорошо описываются функцией (1), показанной красной линией.
Рассмотрим средние характеристики распределения p(βη). На рис. 3, a квадратиками показаны значения ⟨βη⟩ в рассмотренных интервалах, сплошная линия соответствует среднему значению η0, равному 0,35.
Рис. 3. Зависимости от времени жизни обрушений средних характеристик распределения : первого момента – а; коэффициента ; отношения осей барашка – c
Fig. 3. Dependencies of mean characteristics of probability distribution on wave breaking lifetime: the first moment – a; coefficient ; wave breaking axis ratio – c
Среднеквадратическое отклонение совокупности ⟨βη⟩ от η0 составляет 0,003, что подтверждает совпадение распределений p(βη) для различных масштабов обрушений.
Для оценки коэффициента β воспользуемся условием нормировки распределения (1):
(2)
Будем полагать, что η теоретически изменяется в пределах 0≤η≤1 и принимает значение, равное нулю при обрушении только переднего фронта без генерации пены за ним, и равное единице в случае, когда большая и малая оси барашка совпадают (напр., для круга). Поскольку в нашем предположении коэффициент β постоянный и может принимать различные значения для различных масштабов обрушений, выражение (2) запишем в следующем виде:
Тогда, интегрируя по η, получим
(3)
Используя полученную формулу, можно оценить коэффициент β. Задавая его начальное значение, равное β0, рассчитаем модуль разности левой части, которую обозначим как f, и правой части в указанной формуле. Далее методом итераций с учетом знака разности f-1 определим приращение ∆βj и до тех пор, пока значение |f-1| не установится до заданного |f-1|≤ϵ. В наших расчетах задавалось .
На рис. 3, b ромбиками показаны рассчитанные по формуле (3) оценки β для распределений в рассматриваемых интервалах τ. Значения β имеют небольшой разброс и группируются вокруг среднего ⟨β⟩, равного 0,75 (сплошная линия). Поведение ⟨η⟩ в различных интервалах βη требует отдельного рассмотрения.
Принимая во внимание, что β≈const, и используя найденное значение β⟨η⟩, представленное на рис. 3, а, нетрудно определить среднее значение отношения осей обрушения. На рис. 3, c кружочками показаны ⟨η⟩ в вышеуказанных интервалах τ, сплошная линия соответствует выражению ⟨η⟩=0,41; значения ⟨η⟩ группируются вокруг прямой линии ⟨η⟩ со среднеквадратическим отклонением 0,006.
Приведенные выше результаты показывают, что при анализе всей совокупности полученных данных среднее отношение осей обрушения одинаково независимо от его масштаба. В таком случае можно говорить об автомодельности геометрической формы обрушения.
До настоящего времени анализ основывался на массиве измеренных случайных значений Sm, Lm и их отношений . Если вместо Lm и lm использовать значения полуосей, выражение для площади обрушения запишется как
(4)
С учетом полученных выше результатов 4β равно 3, что всего на 4,7% меньше значения π. Таким образом, формула (4) вполне удовлетворительно описывает площадь эллипса.
Обсуждение результатов
Представленные выше плотности вероятностей p(βη), показанные на рис. 1 и 2, и значения η0 нужно рассматривать как средние зависимости, полученные для характеристик всех обрушений за время их жизни.
В настоящей работе при изучении статистических характеристик обрушений мы изначально не задавали конкретную геометрическую форму барашка. Единственным нашим предположением была пропорциональность площади обрушения произведению его большой и малой осей. Значение коэффициента такой пропорциональности позволяет оценить возможность аппроксимации барашка конкретной геометрической фигурой.
На наш взгляд, существенным является полученное в данной работе значение коэффициента пропорциональности β≈π/4 в формуле (4). Тогда можно утверждать, что границы обрушения описываются эллипсом.
Интерес представляет сопоставление результатов, полученных в настоящей работе и ранее. В [4] рассматриваются скорости роста осей обрушений за время их жизни, при этом эти скорости практически постоянны: Cl= 0,19Cwb для малой оси барашка, CL= 0,56Cwb – для большой оси. В указанной работе максимальные значения осей обрушения определены как lm=Cl τ и Lm=CL τ, тогда отношение lm⁄Lm равно 0,34, что на 20% отличается от полученного в настоящей работе ⟨η⟩, равного 0,41. Здесь следует отметить, что, согласно результатам настоящей работы и работы [4], отношение ⟨η⟩ не зависит от масштабов барашков.
Как показано выше, поскольку границы обрушений удовлетворительно описываются эллипсом, η можно определить формулой , где ε – средний эксцентриситет обрушений. В немногочисленных работах приводится зависимость ε от скорости ветра. Для сопоставления наших данных с результатами других авторов разобьем диапазон скоростей ветра на 6 интервалов с шагом ∆U= 2,5 м/с и средними значениями скорости ветра в них ⟨U⟩.
На рис. 4 квадратиками показана ветровая зависимость рассчитанных нами ε, сплошной линией – среднее значение ⟨ε⟩, равное 0,91; светлые кружочки соответствуют данным работы [1], темные – данным работы [14].
Рис. 4. Зависимость эксцентриситета от скорости ветра при аппроксимации обрушения эллипсом
Fig. 4. Dependence of eccentricity on wind speed when approximating a wave breaking with an ellipse
Полученная нами оценка эксцентриситета согласуется со средним значением ⟨ε⟩, равным 0,9 и рассчитанным для массива барашков, генерируемых при ветрах со скоростью 5–24 м/с [14]. Согласно результатам самолетных измерений обрушений [1], ⟨ε⟩=0,98±0,007 при U = 5,7–10,5 м/с, что существенно больше полученных нами результатов. Возможной причиной повышенного значения эксцентриситета в [1] может быть неточность при определении малой оси обрушения, меняющейся в диапазоне 0,39–0,56 м (см. табл. 1 и рис. 3, а в [1]) при пространственном разрешении измерений 0,2 м.
В работах [1, 14] значение эксцентриситета определялось при аппроксимации обрушения эллипсом, тогда как в нашем случае оценка ⟨ε⟩ получена без начального определения формы барашка. Отметим, что, как и в указанных работах, значение ⟨ε⟩ не меняется при различных условиях наблюдений.
Полученные в настоящей работе результаты указывают на автомодельность геометрической формы обрушений. Данный вывод может оказаться полезным для развития моделей, описывающих небрегговскую компоненту радиолокационного сигнала. Действительно, в работе [15] σnb определяется долей морской поверхности Q, покрытой обрушениями. Если – полная длина обрушивающихся гребней на единице морской поверхности, то при условии автомодельной формы обрушений Q будет пропорциональна . В работе [15] коэффициент пропорциональности определялся при сравнении модели σnb с данными радиолокационных измерений. Результаты настоящей работы в дальнейшем позволят оценить коэффициент пропорциональности, связывающий σnb с размерами обрушений ветровых волн.
При определении скоростей различных участков барашка важными являются приведенные выше значения η и эллиптическая форма обрушений. Интерес представляет отношение Cwb к фазовой скорости c обрушивающейся волны.
В ряде исследований [5, 12] принимается, что скорость центроида равна фазовой скорости обрушивающейся волны, Cc=c, в то время как в работе [2] Cc= 0,9c. В ходе лабораторных исследований измерялась скорость гребня барашка и найдено, что Cc = (0,8–0,9) c [16].
В то же время в работе [17] автор под скоростью движения обрушения понимал скорость движения его фронта Cf. Если полагать, что под фронтом понимается передняя в направлении движения граница обрушения, то ее скорость и скорость центроида будут отличаться, поскольку координаты (xc,yc ) определяются во всей области пенной структуры.
С ростом площади барашка увеличивается и длина его малой оси в направлении движения и, следовательно, скорость переднего фронта Cf должна превышать Cc.
Оценим отношение Cc обрушения к скорости Cf его фронта. Под Cf здесь понимается скорость движения точки пересечения малой оси эллипса с передним фронтом обрушения. Выберем систему координат, в которой ось x совпадает с направлением движения обрушения. В момент времени t координата xf определяется как , а расстояние, пройденное фронтом барашка за время ∆t, составит
(5)
Разделив левую и правую части данного уравнения на ∆t, получим выражение, включающее Cс и Cf:
(6)
где Cl – скорость увеличения l в интервале (t,t+∆t ). Учитывая определение η, можно записать, что Cl=ηCL. Тогда, используя выражение CL=0,56Cc из [4] и разделив левую и правую части уравнения (6) на Cc, получим
(7)
Таким образом, если принять, что фазовая скорость обрушивающейся волны совпадает с Cf [17], то, как следует из формулы (7), скорость центроида барашка меньше скорости его переднего фронта. При использовании полученного выше значения ⟨η⟩=0,41 отношение скоростей составляет Cс⁄Cf ≅0,9. Это может оказаться существенным, например, при расчете диссипации волновой энергии связанной с обрушениями. Если для скорости переднего фронта обрушения энергию диссипации запишем как а для скорости центроида – как тогда
Заключение
В настоящей работе рассмотрены статистические характеристики отношения малой и большой осей обрушений ветровых волн. Анализ выполнялся с использованием массива экспериментальных данных, включающего 451724 идентифицированных обрушения, которые получены при обработке видеозаписей морской поверхности. Исследования выполнялись при скоростях ветра 5,3–20 м/с. Для каждого индивидуального барашка определялись его время жизни, скорость движения центроида, а также максимальная площадь и максимальная длина вдоль гребня обрушивающейся волны.
В общем случае обрушения имеют сложную геометрическую форму. Первоначально нами не делалось предположений о геометрической форме границ обрушения, например в виде эллипса. Единственная гипотеза заключалась в том, что площадь барашка пропорциональна произведению βη, где β – некоторый коэффициент, η – случайная величина, представляющая собой отношение осей обрушения (минимальной к максимальной).
Показано, что плотности вероятностей случайной величины βη практически совпадают во всех наблюдаемых интервалах τ и скоростей обрушений. Таким образом, распределение βη имеет универсальный характер для обрушений различных масштабов и ⟨βη⟩ = 0,35, где β и η являются неизвестными.
С использованием условия нормировки распределения p(βη) с помощью итерационного метода были определены искомые параметры β и ⟨η⟩, равные 0, 75 и 0,41 соответственно. Практически постоянное значение ⟨η⟩, полученное для различных размеров барашков, дает основание говорить об автомодельности геометрической формы обрушений.
Полученные результаты показывают, что значение 4β с точностью ~ 4% совпадает с π и, следовательно, геометрическая форма обрушения вполне удовлетворительно описывается эллипсом. Получено, что среднее значение эксцентриситета равно 0,91 и не меняется при различных условиях наблюдений.
В работе приведена оценка скорости переднего фронта барашка. Показано, что она на 10% превышает скорость центроида обрушения.
About the authors
V. V. Malinovsky
Marine Hydrophysical Institute, Russian Academy of Sciences
Author for correspondence.
Email: vladimir.malinovsky@mhi-ras.ru
ORCID iD: 0000-0002-5799-454X
SPIN-code: 9206-3020
Scopus Author ID: 23012976200
ResearcherId: F-8709-2014
старший научный сотрудник, отдел дистанционных методов исследований, лаборатория прикладной физики моря, кандидат физико-математических наук
Russian Federation, SevastopolA. Е. Korinenko
Marine Hydrophysical Institute, Russian Academy of Sciences
Email: korinenko.alex@mhi-ras.ru
ORCID iD: 0000-0001-7452-8703
SPIN-code: 7288-8023
Scopus Author ID: 23492523000
старший научный сотрудник, отдел дистанционных методов исследований, кандидат физико-математических наук
Russian Federation, SevastopolReferences
- Бондур В. Г., Шарков Е. А. Статистические характеристики элементов линейной гео-метрии пенных структур на поверхности моря по данным оптического зондирования // Исследование Земли из космоса. 1986. № 4. С. 21–31. EDN TOYRTB.
- Gemmrich J. R., Banner M. L., Garrett C. Spectrally Resolved Energy Dissipation Rate and Momentum Flux of Breaking Waves // Journal of Physical Oceanography. 2008. Vol. 38, iss. 6. P. 1296–1312. https://doi.org/10.1175/2007JPO3762.1
- Кориненко А. Е., Малиновскй В. В., Кудрявцев В. Н. Экспериментальные исследования статистических характеристик обрушений ветровых волн // Морской гидрофизический журнал. 2018. Т. 34, № 6. C. 534–547. EDN YPUYXR. https://doi org/10.22449/0233-7584-2018-6-534-547
- Кориненко А. Е., Малиновский В. В. Натурные исследования геометрических размеров обрушений гравитационных волн // Морской гидрофизический журнал. 2023. Т. 39, № 6. С. 814–830. EDN WBNQUS.
- Статистические характеристики обрушений и их связь с диссипацией энергии ветровых волн по данным натурных измерений / А. Е. Кориненко [и др.] // Морской гидрофизи-ческий журнал. 2020. Т. 36, № 5. С. 514–531. EDN RNDETW. https://doi org/10.22449/0233-7584-2020-5-514-531
- Шарков Е. А. Обрушающиеся морские волны: структура, геометрия, электродинамика. Москва : Научный мир, 2009. 304 c. EDN QKILDL.
- Schwendeman M. S., Thomson J. Sharp-Crested Breaking Surface Waves Observed from a Ship-Based Stereo Video System // Journal of Physical Oceanography. 2017. Vol. 47, iss 4. P. 775–792. https://doi.org/10.1175/JPO-D-16-0187.1
- Kleiss J. M., Melville W. K. The Analysis of Sea Surface Imagery for Whitecap Kinematics // Journal of Atmospheric and Oceanic Technology. 2011. Vol. 28, iss. 2. P. 219–243. https://doi.org/10.1175/2010JTECHO744.1
- Малиновский В. В., Кориненко А. Е., Кудрявцев В. Н. Эмпирическая модель радиолока-ционного рассеяния в диапазоне длин волн 3 см на морской поверхности при больших углах падения // Известия высших учебных заведений. Радиофизика. 2018. Т. 61, № 2. С. 110–121. EDN XSAOHB.
- Bulk Parameterization of Air-Sea Fluxes: Updates And Verification for the COARE Algo-rithm / C. W. Fairall [et al.] // Journal of Climate. 2003. Vol. 16, iss. 4. P. 571–591. https://doi.org/10.1175/1520-0442(2003)016<0571:BPOASF>2.0.CO;2
- Mironov A. S., Dulov V. A. Detection of wave breaking using sea surface video records // Measurement Science and Technology. 2008. Vol. 19, iss. 1. 015405. https://doi org/10.1088/0957-0233/19/1/015405
- Modulation of Wind-Wave Breaking by Long Surface Waves / V. A. Dulov [et al.] // Remote Sensing. 2021. Vol. 13, iss. 14. 2825. https://doi.org/10.3390/rs13142825
- Field Observations of Breaking of Dominant Surface Waves / P. D. Pivaev [et al.] // Remote Sensing. 2021. Vol. 13, iss. 16. 3321. https://doi.org/10.3390/rs13163321
- Миронов А. С., Дулов В. А. Статистические характеристики событий и диссипация энер-гии при обрушении ветровых волн // Экологическая безопасность прибрежной и шель-фовой зон и комплексное использование ресурсов шельфа. 2008. № 16. С. 97–115. EDN WIBTXJ.
- A semiempirical model of the normalized radar cross-section of the sea surface 1. Back-ground model / V. N. Kudryavtsev [et al.] // Journal of Geophysical Research: Oceans. 2003. Vol. 108, iss. C3. 8054. https://doi.org/10.1029/2001JC001003
- Banner M. L., Peirson W. L. Wave breaking onset and strength for two-dimensional deep-water wave groups // Journal of Fluid Mechanics. 2007. Vol. 585. P. 93–115. https://doi.org/10.1017/S0022112007006568
- Phillips O. M. Spectral and statistical properties of the equilibrium range in wind-generated gravity waves // Journal of Fluid Mechanics. 1985. Vol. 156. P. 505–531. https://doi.org/10.1017/S0022112085002221
Supplementary files






