Temporal Variability of the Beryllium-7 (7Ве) Scavenging Ratio in the Sevastopol Region
- Authors: Kremenchutskii D.A.1
-
Affiliations:
- Marine Hydrophysical Institute, Russian Academy of Sciences
- Issue: Vol 40, No 2 (2024)
- Pages: 271-283
- Section: Experimental and field research
- URL: https://journals.rcsi.science/0233-7584/article/view/255634
- EDN: https://elibrary.ru/OZEHXM
- ID: 255634
Cite item
Full Text
Abstract
Purpose. The study is purposed at identifying the features of temporal variability in the relation of 7Ве scavenging ratio at the seasonal and interannual time intervals depending on the amount and frequency of precipitation.
Methods and Results. The scavenging ratio was assessed based on the field data on the 7Ве concentration values in the atmosphere and precipitation in 2012–2020. Application of ANOVA made it possible to examine the relationship between the scavenging ratio and the variations in 7Be concentrations in the atmosphere and precipitation. The relationship between the scavenging ratio and the precipitation amount and frequency was studied by the correlation method of analysis.
Conclusions. The scavenging ratio values averaged over a season and a year varied within the ranges 423–1286 and 508–919, respectively. The geometric mean value of the scavenging ratio was . At the 95% confidence level, the intrayear variability of the scavenging ratio is absent. The variability in average annual values of the scavenging ratio demonstrates a decrease in 2013 (as compared to 2012) from 664 to 508, an increase to 919 in 2016 and again a decrease to 516 in 2020. The ANOVA results indicate that variability of the scavenging ratio values averaged over a season and a year is due to the variation in 7Ве concentration in precipitation by 90 and 74%, respectively. In its turn, the long-term seasonal variability of 7Ве concentration in precipitation is conditioned by the variations in 7Ве concentration in the atmosphere (r = 0.64) and in the precipitation amount (r = –0.50). The relationship between the annual values of 7Ве concentration in precipitation, on the one hand, and its concentration in the atmosphere or the precipitation parameters, on the other, has not been revealed. The results of the correlation analysis indicate that the variability of precipitation parameters (amount and frequency) produces no a statistically significant effect (at the 95 % confidence level) upon the fluctuations of the scavenging ratio values at the seasonal and annual time intervals.
Keywords
Full Text
Введение
Бериллий-7 является радионуклидом космогенного происхождения, характеризующимся относительно небольшим периодом полураспада (~ 53 сут). Этот радионуклид образуется в атмосфере: примерно 2/3 – в стратосфере и оставшаяся 1/3 – в тропосфере [1]. В морскую среду 7Ве попадает в основном (80–90%) в результате его вымывания из атмосферы осадками [2]. Оставшиеся 10–20% – это поток «сухих» атмосферных выпадений. Начиная с прошлого десятилетия, появились работы, авторы которых обсуждают возможность использования [3–6] или используют [7–9] данный радионуклид в качестве трассера для получения количественных оценок поступления других веществ (прежде всего так называемых геотрассеров) из атмосферы в морскую среду. Для этого сначала рассчитывают параметры удаления веществ из атмосферы по данным о концентрации 7Ве в атмосфере и осадках (или морской среде), затем переходят к расчету их потока. Согласно [5, 10–12], такими параметрами могут быть скорость вымывания и отношение концентраций. Скорость вымывания связывает поток вещества с его концентрацией в атмосфере, в то время как отношение концентраций связывает концентрацию вещества в осадках с его концентрацией в атмосфере. Несмотря на то что каждый из этих двух параметров может быть использован для получения количественных оценок как потока вещества из атмосферы с осадками, так и концентрации этого вещества в осадках, первому параметру (скорость вымывания) уделяется объективно больше внимания, чем второму (отношение концентраций). В частности, в доступной литературе содержатся сведения о среднемесячных, среднесезонных и среднегодовых значениях скорости вымывания 7Ве, их временной изменчивости и факторах, ее определяющих [11, 13–15]. В то же время глубина исследований отношения концентраций ограничивается расчетом значения этого параметра [11, 16–18].
Цель настоящего исследования заключается в выявлении особенности временной изменчивости отношения концентрации бериллия-7 в дождевых осадках к его концентрации в атмосфере на сезонном и межгодовом временных интервалах в зависимости от количества и частоты выпадения осадков.
Материалы и методы
Определение концентрации 7Ве в приземной атмосфере и в атмосферных выпадениях. Используемые в исследовании методики отбора и обработки проб атмосферных осадков и аэрозолей с последующим определением активности 7Ве в них подробно описаны в работах [15, 19, 20]. Ниже приводится краткое изложение этих методик.
Отбор проб атмосферного аэрозоля и осадков проводился с крыши здания Морского гидрофизического института РАН. Для концентрирования аэрозоля использовался фильтр-полотно Петрянова (ФПП-15-1,5). Средняя скорость прокачки воздуха через фильтр составляла ~ 525 м3·ч–1. Как правило, в течение недели отбиралось четыре суточных пробы (понедельник – пятница) и одна трехсуточная (пятница – понедельник). По завершении фильтрации воздуха фильтр спрессовывался в таблетку диаметром 5,2 см и высотой 0,5 см. Пробы влажных атмосферных выпадений отбирались с использованием кюветы площадью 0,64 м2, соединенной с пластиковой бочкой объемом 50 л. При наличии осадков в бочке их отбор проводился сразу после отбора проб атмосферного аэрозоля. Концентрирование радионуклида из проб влажных атмосферных выпадений проводилось с использованием катион обменной смолы Dowex HCR-S/S. Катионит упаковывался в чашку Петри диаметром 5,2 см и высотой 1,4 см или в пробирку диаметром 2,8 см и высотой 7 см.
Во всех случаях измерения активности 7Ве в пробах выполнялись на гамма-спектрометре с одним из двух детекторов: кристалл NaI(Tl) диаметром и высотой по 6,3 см или кристалл NaI(Tl) диаметром и высотой по 10 см с колодцем диаметром 3 см и высотой 6 см. Оба кристалла характеризовались разрешением 7% по пику 137Cs и располагались в низкофоновой многослойной защите. Активность единичной пробы регистрировалась в течение 5–24 ч. Суммарная погрешность измерений активности 7Ве в пробах обычно не превышала 15%.
В период 2012–2020 гг. было отобрано и обработано 2056 проб атмосферных аэрозолей и 405 проб дождевых осадков. Для этого исследования полученные значения концентрации 7Ве в атмосфере и в осадках были усреднены для каждого отдельного сезона и года. В результате для каждого параметра было получена два ряда среднесезонных и среднегодовых значений продолжительностью 36 сезонов и 9 лет.
Метеопараметры. Данные о количестве выпавших осадков были получены в результате нормирования объема пробы атмосферных осадков на площадь пробоотборника. Данные о частоте выпадения осадков представляют собой количество дней с осадками за отдельный сезон или год.
Отношение концентраций 7Ве рассчитывалось следующим образом:
(1)
где W – отношение концентраций; к – поправка, учитывающая разницу плотности воды и воздуха, равная 1,2·10–3; Сw и Ca – усредненные за сезон концентрации 7Ве во влажных атмосферных выпадениях и на атмосферных аэрозолях соответственно, Бк·м–3.
Зная значение отношения концентраций, можно оценить поток 7Ве из атмосферы с осадками, используя следующее уравнение:
(2)
где F – поток, Бк·м–2·сезон–1; Pr – количество осадков, мм сезон–1.
Результаты и обсуждение
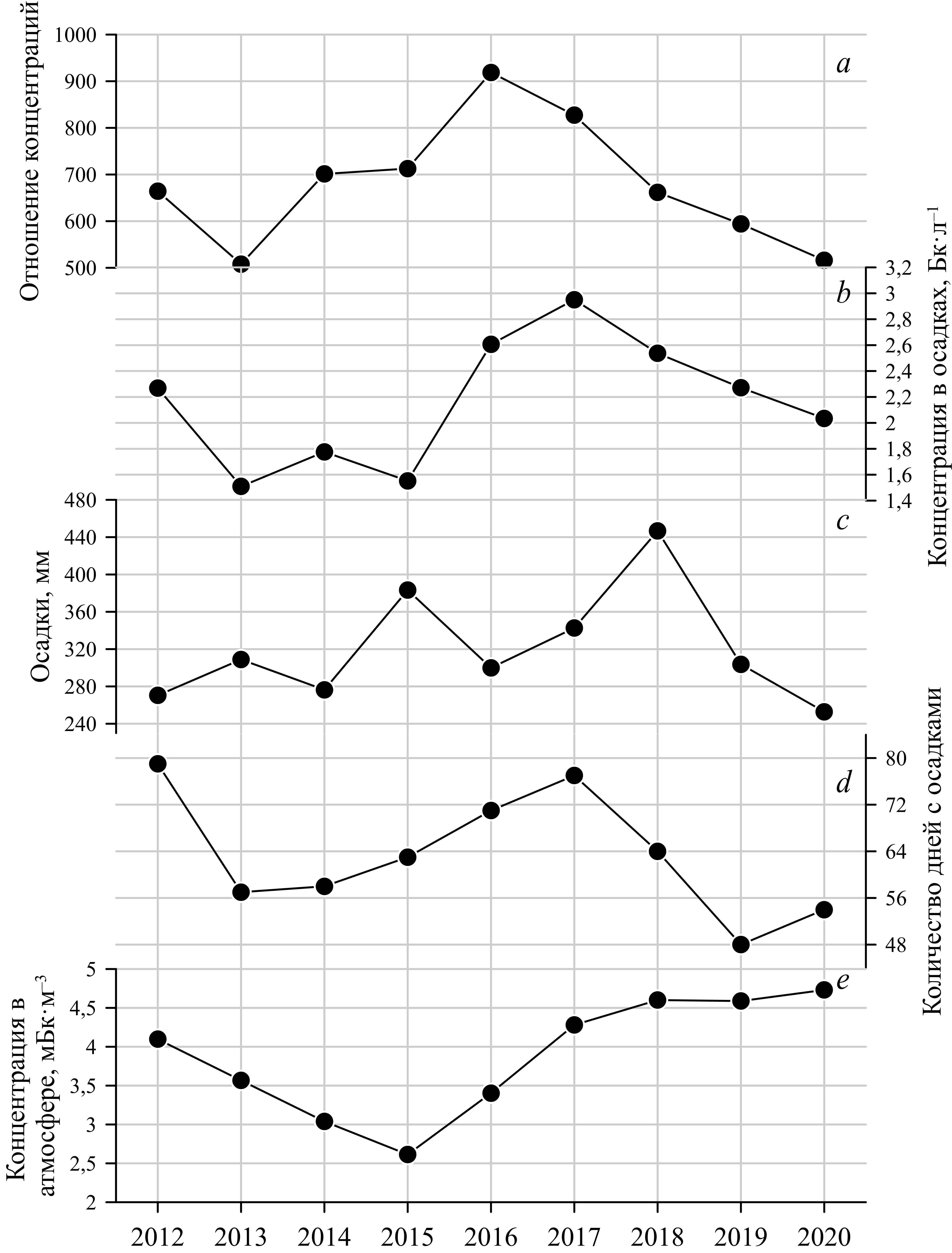
Базовая статистика. Полученные ряды наблюдений концентраций 7Ве в атмосфере и осадках, а также оценки отношения концентраций представлены на рис. 1. В период 2012–2020 гг. усредненные за сезон и за год значения концентрации 7Ве во «влажных» атмосферных выпадениях изменялись в диапазонах 1,2–5,4 и 1,5–3,0 Бк·л–1 соответственно (рис. 2, a). Бóльшая часть (80%) усредненных за сезон значений концентрации находилась в интервале 1,4–3,6 Бк·л–1. Для этого ряда и остальных двух рядов, представленных на рис. 2, 10-й и 90-й процентили для среднегодовых значений совпадают с минимумом и максимумом этого ряда ввиду относительно небольшой его продолжительности. Коэффициенты вариации составили 38,5 и 22,8% для сезонных и годовых значений. Среднее арифметическое и медианное значения усредненных за сезон концентраций 7Ве составили 2,4 и 2,2 Бк·л–1 соответственно. Это указывает на то, что распределение сезонных значений концентрации может быть отлично от нормального.
Р и с. 1. Сезонная изменчивость концентраций 7Ве в атмосфере и осадках, а также их отношения
F i g. 1. Seasonal variability of 7Ве concentrations in the atmosphere and precipitation, as well as their scavenging ratio
Р и с. 2. Частотное распределение данных о сезонных и годовых концентрациях 7Be: a – в осадках, b – в атмосфере; с – отношения концентраций
F i g. 2 Frequency distribution of the data on seasonal and annual values of 7Be concentrations: a – in precipitation, b – in the atmosphere; c – scavenging ratio
Усредненные за сезон и за год значения концентраций 7Ве в атмосфере изменялись в пределах 1,9–6,5 и 2,6–4,7 мБк·м–3 соответственно (рис. 2, b). Основная изменчивость (80%) усредненных за сезон значений происходила в диапазоне 2,5–5,5 мБк·м–3. Как и в случае с концентрацией 7Ве в атмосферных выпадениях, значения 10-го и 90-го процентиля для среднегодовой концентрации этого радионуклида в атмосфере совпадают с минимумом и максимумом соответственно. Коэффициенты вариации составили 30,7 и 19,5% для сезонных и годовых значений. Среднее арифметическое и медианное значения усредненных за сезон концентраций 7Ве в атмосфере составили 3,9 и 3,6 мБк·м–3, они близки, но не равны между собой, что может свидетельствовать о том, что их распределение отлично от нормального.
Согласно оценкам, полученным с использованием уравнения (1), усредненные за сезон и за год значения отношения концентраций изменялись в диапазонах 423–1286 и 508–919 соответственно (рис. 2, с). Значения 10-го и 90-го процентиля составили 537 и 1078 для среднесезонных отношений концентраций; коэффициенты вариации – 28,8 и 19,8% для сезонных и годовых значений. Среднее арифметическое и медианное значения сезонных отношений близки, но не равны между собой, 746 и 695 соответственно.
Анализ результатов проведенных тестов на нормальность Шапиро – Уилка показывает, что распределения данных о концентрации 7Ве в осадках и об отношении концентраций статистически значимо на уровне достоверности 95% отличны от нормальных. Напротив, распределение данных о концентрации 7Ве в атмосфере статистически не значимо отличается от нормального на уровне достоверности 95%.
Полученные средние значения концентрации 7Ве в осадках (среднее геометрическое Бк·л–1) и в атмосфере (среднее арифметическое 3,9 ± ± 1,2 мБк·м–3), а также отношения концентраций (среднее геометрическое ) хорошо согласуются с литературными данными. Так, по концентрации 7Ве в осадках (Бк·л–1) в доступной литературе сообщаются следующие значения: 2,9 – для Детройта, Мичиган, США [16]; 2,5 – для Уэльвы, Испания [11]; 2,6 – для Малаги, Испания [17]; – для Мангалора, Индия [18]. По концентрации 7Ве в атмосфере (мБк·м–3) следующие значения: 4,8 – для Детройта, Мичиган, США [16]; 4,9 – для Уэльвы, Испания [11]; 4,0 – для Лиссабона, Португалия [21]; 4,2 – для Малаги, Испания [17]; – для Мангалора, Индия [18]. По отношению концентраций опубликованы следующие оценки: 948 – для Детройта, Мичиган, США [16]; 496 ± 180 – для Уэльвы, Испания [11]; 840 – для Малаги, Испания [17]; – для Мангалора, Индия [18].
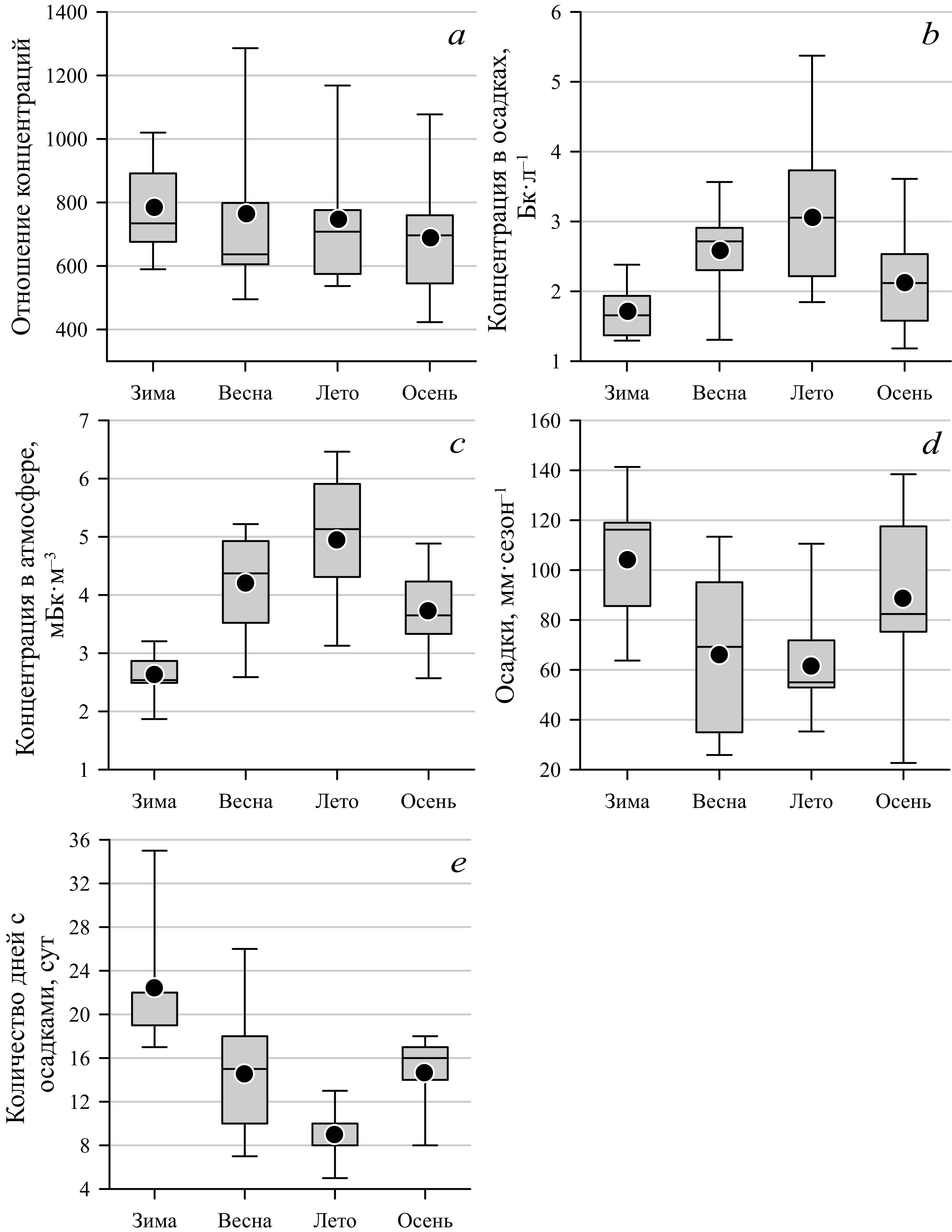
Сезонная изменчивость отношения концентраций, усредненная за весь период наблюдений, представлена на рис. 3, а. Видно, что ярко выраженная сезонная изменчивость отсутствует в исследуемом ряду. Чтобы подтвердить, что различие в среднесезонных отношениях концентраций не является статистически достоверным, был проведен дисперсионный анализ. Его результаты показывают, что среднесезонные значения различаются между собой статистически не значимо на уровне достоверности 95%. Таким образом, можно заключить, что в исследуемый период сезонная изменчивость отношения концентраций отсутствовала.
Р и с. 3. Усредненные за весь период наблюдений данные о сезонной изменчивости: отношения концентраций (a); концентрации 7Ве в осадках (b); концентрации 7Ве в атмосфере (c); количества осадков (d); частоты выпадения осадков (e)
F i g. 3. Averaged over the observation period data on seasonal variability of: scavenging ratio (a), 7Be concentration in precipitation (b), 7Be concentration in the atmosphere (c), precipitation amount (d) and precipitation frequency (e)
С целью получения количественных оценок влияния вариации концентрации 7Ве в атмосфере и в осадках на сезонную изменчивость отношения концентраций был проведен дисперсионный анализ. По его результатам установлено, что временная изменчивость отношения концентраций определяется вариациями концентрации 7Ве в осадках и в атмосфере на 90 и 10% соответственно. Результаты корреляционного анализа указывают на то, что имеет место сильная, статистически значимая на уровне достоверности 99% корреляционная связь (r = 0,62) между значениями отношения концентраций и концентрации 7Ве в осадках (рис. 4, a). Статистически значимая корреляционная связь между изменчивостью отношения концентраций и концентрации 7Ве в атмосфере отсутствует даже на уровне достоверности 90% (r = –0,20) (рис. 4, b). Взаимосвязь между многолетней изменчивостью среднесезонных значений отношения концентраций и количеством, частотой выпадения осадков отсутствовала: коэффициенты корреляции составляли –0,25 (p = 0,14) и 0,004 (p = 0,98) соответственно.
Р и с. 4. Взаимосвязь сезонных значений различных параметров между: a – отношением концентраций и концентрацией 7Ве в осадках; b –отношением концентраций и концентрацией 7Ве в атмосфере; с – концентрациями 7Ве в осадках и в атмосфере; d –концентрацией 7Ве в осадках и количеством осадков; e – концентрацией 7Ве в осадках и количеством дней с осадками; f – концентрацией 7Ве в атмосфере и количеством осадков; g – концентрацией 7Ве в атмосфере и частотой осадков; h – количеством осадков и их частотой
F i g. 4 Relationship between the seasonal values of various parameters: a – scavenging ratio and 7Ве concentration in precipitation; b – scavenging ratio and 7Ве concentration in the atmosphere; с – 7Ве concentrations in precipitation and atmosphere; d – 7Ве concentration in precipitation and precipitation amount; e – 7Ве concentration in precipitation and a number of days with precipitation, f – 7Ве concentration in the atmosphere and precipitation amount; g – 7Ве concentration in the atmosphere and precipitation frequency and h – precipitation amount and precipitation frequency
Усредненная за весь период наблюдений внутригодовая изменчивость концентрации 7Ве в осадках показана на рис. 3, b. Результаты дисперсионного анализа подтверждают, что имеет место статистически значимая на уровне достоверности 95% сезонная изменчивость концентрации 7Ве в осадках с максимумом в летний сезон (2,9 Бк·л–1) и минимумом в зимний (1,7 Бк·л–1). Результаты корреляционного анализа показывают, что временная изменчивость осредненной за сезон концентрации 7Ве в осадках связана статистически значимо на уровне достоверности 95 % с временной изменчивостью концентрации 7Ве в атмосфере (r = 0,64), а также с количеством (r = –0,50) и частотой (r = –0,39) выпадения осадков (рис. 4, c – e). Отметим, что наиболее сильная связь наблюдается именно с концентрацией 7Ве в атмосфере. Таким образом, рост концентрации 7Ве в атмосфере и снижение количества и частоты выпадения осадков сопровождаются увеличением концентрации этого радионуклида в осадках. В летний сезон концентрация 7Ве в атмосфере принимает максимальное значение (рис. 3, с), а количество и частота выпадающих осадков – минимальное (рис. 3, d, e), что объясняет наблюдаемый максимум концентрации этого радионуклида в осадках в указанный сезон (рис. 3, b). В зимний период концентрация 7Ве в атмосфере принимает минимальное значение, а количество и частота выпадения осадков – максимальное, что обусловливает минимум концентрации 7Ве в осадках, наблюдаемый в это время. Авторы работы [17] отмечали наличие подобного сезонного хода концентрации 7Ве в осадках для станции, расположенной в Малаге, Испания. Они указывали, что, вероятнее всего, такая сезонная изменчивость обусловлена особенностями внутригодового распределения количества осадков и концентрации 7Ве в атмосфере, которые были аналогичны отмеченным в настоящем исследовании.
Временная изменчивость усредненных за сезон значений концентрации 7Ве в атмосфере статистически значимо на уровне достоверности 95% связана с количеством (r = –0,38) и частотой (r = –0,51) выпадения осадков (рис. 4, f, g). Таким образом, снижение количества и частоты выпадения осадков увеличивает содержание 7Ве в атмосфере. В свою очередь, рассматриваемые параметры осадков (количество и частота) также взаимосвязаны. Так, рост частоты выпадения осадков сопровождается ростом их количества с коэффициентом корреляции 0,61 (рис. 4, h). Эта взаимосвязь сезонной изменчивости концентрации 7Ве в атмосфере с параметрами осадков, а также взаимосвязь рассматриваемых параметров между собой уже отмечалась в недавних исследованиях [15, 22].
Межгодовая изменчивость отношения концентраций. Полученные ряды наблюдений межгодовой изменчивости исследуемых параметров показаны на рис. 5.
Р и с. 5. Временная изменчивость годовых значений: отношения концентраций (a); концентрации 7Ве в осадках (b); количества осадков (c); частоты осадков (d); концентрации 7Ве в атмосфере (e)
F i g. 5 Temporal variability of annual values of: scavenging ratio (a), 7Ве concentration in precipitation (b), precipitation amount (c), precipitation frequency (d) and 7Ве concentration in the atmosphere (e)
В период 2012–2013 гг. отмечалось снижение значений отношения концентраций с 664 до 508, затем следовал длительный период их роста до 919 в 2016 г., который сменился продолжительным периодом снижения до 516 в 2020 г. Таким образом, за период исследования среднегодовые значения отношения концентраций изменялись в 1,8 раза. Межгодовая изменчивость концентрации 7Ве в осадках демонстрирует сходную динамику: в 2012–2013 гг. наблюдалось снижение с 2,3 до 1,5 Бк·л–1, далее следовал короткий период относительно небольших колебаний (1,8 и 1,6 Бк·л–1 в 2014 и 2015 гг.), за которым последовал рост концентрации до 3,0 Бк·л–1 в 2017 г., а затем ее снижение до 2,0 Бк·л–1 в 2020 г. Таким образом, в период 2012–2020 гг. среднегодовые значения концентрации 7Ве в осадках изменялись в 2 раза.
Результаты дисперсионного анализа показывают, что временная изменчивость среднегодовых значений отношения концентраций на 74% определяется вариацией концентрации 7Ве в осадках и на 26% – в атмосфере. Таким образом, вклад изменчивости концентрации 7Ве в атмосфере в вариацию среднегодовых отношений концентраций вырос в 2,6 раза по сравнению с аналогичным для сезонных значений.
Результаты корреляционного анализа указывают на отсутствие статистически значимых на уровне достоверности 95% взаимосвязей между изменчивостью годовых отношений концентраций и количеством (r = 0,19, p = 0,63) или частотой (r = 0,66, p = 0,06) выпадения осадков. Наличие сильной статистически значимой на уровне достоверности 90% корреляционной связи между отношением концентраций и количеством дней с осадками (чем больше дождливых дней в году, тем выше среднегодовое значение отношения концентраций) является достаточно неожиданным результатом. Как следует из формулы (1), значение отношения концентраций прямо пропорционально концентрации 7Ве в осадках и обратно пропорционально его концентрации в атмосфере. На синоптическом масштабе времени рост частоты выпадения осадков может приводить к снижению концентрации 7Ве в атмосфере вследствие того, что требуется время, чтобы после выпадения осадков его концентрация восстановилась (1–2 дня) [23]. Как следствие снижения концентрации 7Ве в атмосфере пропорционально (при прочих равных параметрах выпадения осадков) уменьшается его концентрация в осадках. Таким образом, следует ожидать отсутствие связи между частотой выпадения осадков и отношением концентраций (об отсутствии такой связи для временной изменчивости сезонных значений сообщается выше). Физические процессы, которые обусловливают наличие такой связи между годовыми значениями, не очевидны.
Статистически значимые на уровне достоверности 90% корреляционные связи между концентрацией 7Ве в атмосфере и исследуемыми параметрами осадков отсутствуют. Так, полученные значения коэффициентов корреляции между концентрацией 7Ве в атмосфере и количеством и частотой выпадения осадков составили 0,18 (p = 0,64) и 0,53 (p = 0,14) соответственно.
Выводы
В настоящей работе представлены натурные данные о временной изменчивости концентрации 7Ве в атмосфере и осадках в 2012–2020 гг. Усредненные за сезон значения концентрации указанного радионуклида в атмосфере и осадках изменялись в диапазонах 1,9–6,5 мБк·м–3 и 1,2–5,4 Бк·л–1. С использованием этих данных получены количественные оценки сезонных и годовых значений отношения концентраций, которые составили 423–1286 и 508–919 соответственно со средним геометрическим, равным . Результаты дисперсионного анализа показывают, что временные колебания сезонных и годовых значений отношения концентраций в большей степени определяются вариацией концентрации 7Ве в осадках (90 и 74% соответственно), чем изменчивостью его концентрации в атмосфере. Результаты корреляционного анализа указывают на то, что колебания сезонных значений концентрации 7Ве в осадках связаны с вариациями его концентрации в атмосфере (r = 0,64, p < 0,01) и с изменчивостью количества осадков (r = –0,50, p < 0,01). Изменчивость годовых значений концентрации 7Ве в осадках статистически значимо на уровне достоверности 95% не связана с вариацией рассматриваемых параметров осадков (количество и частота). Результаты проведенного анализа свидетельствуют об отсутствии связи между временными рядами отношения концентраций и параметрами осадков на сезонных и годовых временных интервалах. Другими словами, оценить среднесезонное или среднегодовое значение отношения концентраций, используя данные о количестве и частоте выпадения осадков, не представляется возможным.
About the authors
D. A. Kremenchutskii
Marine Hydrophysical Institute, Russian Academy of Sciences
Author for correspondence.
Email: d.kremenchutskii@mhi-ras.ru
ORCID iD: 0000-0002-8747-6612
SPIN-code: 1695-9378
старший научный сотрудник, отдел биогеохимии моря, кандидат географических наук
Russian Federation, SevastopolReferences
- Lal D., Peters B. Cosmic ray produced radioactivity on the Earth // Kosmische strahlung II / Cosmic rays II / Ed. K. Sitte. Berlin ; Heidelberg : Springer, 1967. P. 551–612. https://doi.org/10.1007/978-3-642-46079-1_7
- A global dataset of atmospheric 7Be and 210Pb measurements: annual air concentration and depositional flux / F. Zhang [et al.] // Earth System Science Data. 2021. Vol. 13, iss. 6. P. 2963–2994. https://doi.org/10.5194/essd-13-2963-2021
- Ioannidou A. Activity size distribution of 7Be in association with trace metals in the urban area of the city of Thessaloniki, Greece // Atmospheric Environment. 2011. Vol. 45, iss. 6. P. 1286–1290. https://doi.org/10.1016/j.atmosenv.2010.12.006
- Kadko D., Landing W. M., Shelley R. U. A novel tracer technique to quantify the atmospheric flux of trace elements to remote ocean regions // Journal of Geophysical Research: Oceans. 2015. Vol. 120, iss. 2. P. 848–858. https://doi.org/10.1002/2014JC010314
- How well can we quantify dust deposition to the ocean? / R. F. Anderson [et al.] // Philosophical Transactions of the Royal Society A: Mathematical, Physical and Engineering Sciences. 2016. Vol. 374, iss. 2081. 20150285. https://doi.org/10.1098/rsta.2015.0285
- Kadko D., Landing W. M., Buck C. S. Quantifying atmospheric trace element deposition over the ocean on a global scale with satellite rainfall products // Geophysical Research Letters. 2020. Vol. 47, iss. 7. e2019GL086357. https://doi.org/10.1029/2019GL086357
- The residence times of trace elements determined in the surface Arctic Ocean during the 2015 US Arctic GEOTRACES expedition / D. Kadko [et al.] // Marine Chemistry. 2019. Vol. 208. P. 56–69. https://doi.org/10.1016/j.marchem.2018.10.011
- Sources, fluxes and residence times of trace elements measured during the U.S. GEOTRACES East Pacific Zonal Transect / D. Kadko [et al.] // Marine Chemistry. 2020. Vol. 222. 103781. https://doi.org/10.1016/j.marchem.2020.103781
- Bulk aerosol trace element concentrations and deposition fluxes during the U.S. GEOTRACES GP15 Pacific Meridional Transect / C. M. Marsay [et al.] // Global Biogeochemical Cycles. 2022. Vol. 36, iss. 2. e2021GB007122. https://doi.org/10.1029/2021GB007122
- Papastefanou C., Papastefanou C. Radioactive nuclides as tracers of environmental processes // Journal of Radioanalytical and Nuclear Chemistry. 2006. Vol. 267, iss. 2. P. 315–320. https://doi.org/10.1007/s10967-006-0050-8
- Depositional fluxes and concentrations of 7Be and 210Pb in bulk precipitation and aerosols at the interface of Atlantic and Mediterranean coasts in Spain / R. L. Lozano [et al.] // Journal of Geophysical Research: Atmospheres. 2011. Vol. 116, iss. D18. D18213. https://doi.org/10.1029/2011JD015675
- Kremenchutskii D. A. Precipitation scavenging of beryllium-7 (7Be): Observation results and parameter-ization // Chemosphere. 2022. Vol. 307, part 2. 135908. https://doi.org/10.1016/J.CHEMOSPHERE.2022.135908
- Chae J.-S., Kim G. Large seasonal variations in fine aerosol precipitation rates revealed using cosmo-genic 7Be as a tracer // Science of The Total Environment. 2019. Vol. 673. P. 1–6. https://doi.org/10.1016/j.scitotenv.2019.03.482
- Temporal variations of 7Be and 210Pb activity concentrations in the atmosphere and aerosol deposition velocity in Shenzhen, South China / G. Liu [et al.] // Aerosol and Air Quality Research. 2020. Vol. 20, iss. 7. P. 1607–1617. https://doi.org/10.4209/aaqr.2019.11.0560
- Кременчуцкий Д. А. Временная изменчивость скорости вымывания аэрозолей в Севастопольском регионе: натурные наблюдения // Морской гидрофизический журнал. 2022. Т. 38, № 4. С. 345–357. EDN CUUYAH. https://doi.org/10.22449/0233-7584-2022-4-345-357
- McNeary D., Baskaran M. Depositional characteristics of 7Be and 210Pb in southeastern Michigan // Journal of Geophysical Research: Atmospheres. 2003. Vol. 108, iss. D7. 4210. https://doi.org/10.1029/2002JD003021
- Be, 210Pb and 40K depositions over 11 years in Malaga / C. Dueñas [et al.] // Journal of Environmental Radioactivity. 2017. Vol. 178–179. P. 325–334. https://doi.org/10.1016/j.jenvrad.2017.09.010
- Influence of rainfall on atmospheric deposition fluxes of 7Be and 210Pb in Mangaluru (Mangalore) at the southwest coast of India / M. P. Mohan [et al.] // Atmospheric Environment. 2019. Vol. 202. P. 281–295. https://doi.org/10.1016/j.atmosenv.2019.01.034
- Kremenchutskii D. A., Konovalov S. K. Beryllium-7 (7Be) and its variability in the near-surface atmos-phere of Crimea, the Black Sea region // Atmospheric Pollution Research. 2022. Vol. 13, iss. 5. 101406. https://doi.org/10.1016/J.APR.2022.101406
- Kremenchutskii D. A., Batrakov G. F. Seasonal variations in total deposition velocity and washout ratio of fine aerosols revealed from beryllium-7 (7Be) measurements in Sevastopol, the Black Sea region // Atmospheric Pollution Research. 2023. Vol. 14, iss. 3. 101698. https://doi.org/10.1016/J.APR.2023.101698
- A decade of 7Be and 210Pb activity in surface aerosols measured over the Western Iberian Peninsula / A. C. Carvalho [et al.] // Atmospheric Environment. 2013. Vol. 67. P. 193–202. https://doi.org/10.1016/j.atmosenv.2012.10.060
- Региональные проекции изменений климата в Черноморско-Каспийском регионе в конце XXI столетия / В. В. Ефимов [и др.] // Морской гидрофизический журнал. 2015. № 5. С. 53–73. EDN VHEWUP. https://doi.org/10.22449/0233-7584-2015-5-53-73
- Kremenchutskii D. A. Influence of precipitation on the daily beryllium-7 (7Be) activity concentration in the atmospheric surface layer // Journal of Environmental Radioactivity. 2021. Vol. 237. 106722. https://doi.org/10.1016/J.JENVRAD.2021.106722
Supplementary files







