Characteristics of state and evolution of the Black Sea hydrochemical structure
- Авторлар: Varenik A.V1, Kondratyev S.I.1, Medvedev E.V.1, Khoruzhiy D.S.1, Orekhova N.A.1
-
Мекемелер:
- Marine Hydrophysical Institute, Russian Academy of Sciences
- Шығарылым: Том 39, № 6 (2023)
- Беттер: 867-892
- Бөлім: Experimental and field research
- URL: https://journals.rcsi.science/0233-7584/article/view/254492
- EDN: https://elibrary.ru/NPXXNC
- ID: 254492
Дәйексөз келтіру
Толық мәтін
Аннотация
Purpose. The purpose of the study is to analyze the features of spatial-temporal and vertical distribution of oxygen, hydrogen sulfide and main nutrients (phosphates, nitrates, ammonium and silica acid), as well as the characteristics of carbonate system in the Black Sea in the modern period.
Methods and Results. The data used in the study were obtained by the scientists of Marine Hydrophysical Institute in the scientific cruises in the Black Sea in 2013–2021 within the economic zone of Russia. During these cruises, more than 200 deep-sea stations were carried out, samples were taken using a cassette of 12 bathometers of the Sea-Bird 911 plus CTD Seabird-Electronics INC device at certain isopycnic surfaces. At the coastal shallow-water stations, samples were taken from the surface and near-bottom horizons. Precipitations were sampled by the automatic precipitation collectors at the meteorological stations located on the Pavlovsky Cape in Sevastopol and at the Black Sea hydrophysical subsatellite polygon (the Southern coast of Crimea).
Conclusions. The location of upper boundary of the suboxic zone varies from st = 15.7 kg/m3 to st = = 15.9 kg/m3, that in the depth scale corresponds to the interval of ⁓ 40 m. The vertical distribution of hydrogen sulfide is more of isopycnic character, the boundary of isosulfide 3 µM appearing is located within st = 16.10–16.15 kg/m3. On the vertical profile of nitrates, their maximum concentration not exceeding 4 µM, is observed within the range st = 15.2–15.5 kg/m3. It is shown that the content of oxidized nitrogen forms has almost returned to the pre-eutrophication level. The concentration of ammonium ions in the aerobic and suboxic zones predominantly does not exceed 0.5 µM, the ammonium concentration starts to increase at the depth of isopycne st = 16.10–16.15 kg/m3, at which hydrogen sulfide appears. The maximum concentrations of ammonium ions (96 ± 5 µM) were noted at the depth 1800 m and below that corresponded to the earlier obtained data. The phosphates vertical distribution is characterized by their minimum (˂ 0.5 µM) content at st = 15.8 kg/m3, and by their maximum (not more than 8 µM) one at st = 16.2 kg /m3. The hydrogen sulfide content at the depths exceeding 1750 m in the Black Sea is currently 383 ± 2 µM. The pH value of surface waters was 8.29–8.38 decreasing to 7.67 below ~ 50 m. Total alkalinity varied within the range 3268–3335 µM, below st = 16 kg/m3 it increased sharply reaching its maximum value ~ 4364 µM in the bottom layer. The results obtained confirm the immutability of the previously established features of the vertical distribution of hydrochemical components and the ranges of their concentration variations.
The spatial distribution of nutrients clearly shows a decrease in their concentrations from the coastal areas to the deep-sea ones. One of the largest external sources of nutrients in the Black Sea waters is the atmospheric precipitations. On the synoptic spatial-temporal scales, they can become the main source of inorganic nitrogen, phosphate and silica entering the sea surface layer.
Негізгі сөздер
Толық мәтін
Введение
Черное море представляет собой полузамкнутую акваторию с наибольшим в мире объемом сероводородных вод глубже 130–150 м [1, 2]. Водно-солевой баланс моря определяется в основном поступлением пресных вод в северо-западной части и соленых вод Средиземного моря через пролив Босфор [3, 4]. В результате Черное море оказывается перманентно стратифицированным по плотности, шкалу которой, как правило, и используют вместо шкалы глубин [2] при анализе вертикального распределения гидрохимических характеристик. Это позволяет учитывать различия в гидрологической структуре, которые возникают в районах моря, в частности в центре циклонических круговоротов и на кромке шельфа. При подобном подходе удобно выделять отдельные слои вод, среди которых самым важным является холодный промежуточный слой (ХПС) с ядром, расположенным примерно на изопикнической поверхности σt = 14,5 кг/м3 [4]. Этот слой, образующийся вследствие того, что в результате плотностной стратификации холодные поверхностные воды в зимний период не могут погрузиться глубже определенной изопикнической поверхности средней части основного пикноклина, определяет глубину перемешивания верхнего слоя вод Черного моря в зимний период [5, 6].
Для вертикального распределения почти всех гидрохимических параметров характерно наличие «точки перегиба» в толще вод ХПС, в которой однородное распределение различных гидрохимических компонентов в верхнем слое начинает устойчиво изменяться с глубиной и плотностью вод. Это связано с тем, что ХПС становится единственным источником растворенного кислорода для вод, расположенных ниже [7]. Другой возможный источник кислорода – процесс фотосинтеза – на данных глубинах практически отсутствует.
Растворенный кислород продолжает расходоваться на окисление оседающего сверху взвешенного органического вещества (ВОВ), но, поскольку источником кислорода становятся только воды ХПС, его содержание начинает монотонно уменьшаться с глубиной. Формирующийся ниже ядра ХПС оксиклин постепенно переходит в субкислородную зону, в которой концентрация кислорода становится ˂ 10 мкМ, при этом содержание сероводорода остается ниже предела его определения 3 мкМ, принятого методом обратного титрования 1. Ниже субкислородной зоны располагается сероводородная зона, в которой кислород отсутствует, а его роль как акцептора электронов в процессе окисления ВОВ берут на себя сульфат-анионы, которые восстанавливаются до сульфидов.
Такое изменение с глубиной, а точнее с плотностью, окислительно-восстановительных условий определяет особенности вертикального распределения в Черном море всех элементов главного биогенного цикла, а также кислорода, сероводорода, элементов карбонатной системы и других компонентов окислительно-восстановительного цикла.
Содержание биогенных элементов в морской воде определяется обменными процессами, происходящими в самой водной толще. Помимо этого, существуют различные пути поступления биогенных элементов в водные экосистемы: с речными водами, промышленными и хозяйственно-бытовыми стоками, с атмосферными осадками. Более того, влажное и сухое осаждение из атмосферы в последние годы стало важным фактором, влияющим на состояние водных экосистем во многих частях мира 2 [8]. Сообщалось также [9–11], что поступление веществ из атмосферы оказывает влияние на первичную продукцию и вызывает подкисление вод океана [12, 13]. Установлено, что глобальный эоловый растворенный неорганический азот (DIN) почти эквивалентен поступающему из речных источников и, следовательно, это может оказать значительное влияние на биогеохимические характеристики поверхностного слоя вод Мирового океана [14].
Предыдущие комплексные исследования карбонатной системы вод Черного моря [15–18], в частности анаэробного слоя, показывали значительный рост общей щелочности на глубинах 3300–4400 мкМ при σt > 15,9 кг/м3. Снижение рН, начиная с 30–50 м, также отмечалось в данных исследованиях.
В 2013–2021 гг. Морской гидрофизический институт провел в Черном море 16 комплексных экспедиций в экономической зоне Российской Федерации. На основании полученных данных были опубликованы несколько работ, в которых обсуждались некоторые особенности вертикального распределения отдельных гидрохимических характеристик, в частности кислорода и сероводорода [19, 20], фосфатов [21] и неорганических форм азота [22]. Предлагаемая работа обобщает наиболее важные результаты этих исследований.
Актуальность дальнейших исследований определяется тем, что накапливаются новые данные о гидрохимической структуре морских систем, в том числе Черного моря, которые невозможно объяснить в рамках уже известных представлений и роли отдельных физических и биогеохимических процессов в эволюции морских экосистем.
Целью настоящей работы является рассмотрение и обобщение современных данных о гидрохимической структуре вод Черного моря и ее эволюции, в первую очередь в распределении кислорода, сероводорода, соединений азота, фосфора и кремнекислоты, а также о состоянии карбонатной системы (рН и общей щелочности).
Методы и материалы
Район исследования и отбор проб. Данные получены в 2013–2021 гг. в ходе выполнения экспедиционных исследований ФГБУН ФИЦ МГИ, которые проводились на НИС «Профессор Водяницкий» и Maria M. Merian (ноябрь 2013 г.). Отбор гидрохимических проб на глубоководных станциях проводили на изопикнических поверхностях σt, равных 16,30; 16,20; 16,10; 16,00; 15,95; 15,90; 15,80; 15,60; 15,40; 15,20; 15,00; 14,60 кг/м3, кассетой из 12 батометров СTD-прибора Seabird-Electronics. Схема расположения гидрохимических станций, на которых отбирались пробы на содержание кислорода, сероводорода, биогенных элементов, компонентов карбонатной системы, приведена на рис. 1. На 8 станциях отбор проб на определение содержания сероводорода, кислорода и ионов аммония проводился тремя зондированиями на 37 горизонтах: в двух зондированиях пробы отбирались по глубине от максимального погружения на 2000 м, далее через 50 м до глубины 1800 м и затем через 100 м. В третьем зондировании пробы отбирали по ряду изопикн, приведенному выше, и с поверхности.
Рис. 1. Суммарная схема станций отбора проб во время рейсов НИС «Профессор Водяницкий» по данным 2013–2021 гг. Красными точками обозначены пункты отбора проб атмосферных осадков для анализа содержания в них биогенных элементов
Fig. 1. Summary scheme of sampling stations during the cruises of the R/V Professor Vodyanitsky in 2013–2021. Red dots indicate the locations of atmospheric precipitation sampling to analyze the content of nutrients
Пробы на содержание кислорода, сероводорода, ионов аммония и нитритов анализировались на борту НИС сразу после отбора. Хранение и транспортировку проб воды для определения фосфатов, кремнекислоты и суммы нитратов и нитритов выполняли в соответствии с требованиями методики и согласно ГОСТ 31861-2012, ГОСТ 17.1.5.05-85. Перед проведением анализа пробы фильтровали через фильтр 450 нм.
Отбор проб атмосферных осадков для оценки их влияния на характеристики поверхностного слоя вод Черного моря осуществлялся в двух пунктах – на метеостанции, расположенной на Павловском мысу (Севастополь), и на Черноморском гидрофизическом подспутниковом полигоне (обособленное подразделение ФГБУН ФИЦ МГИ в пгт Кацивели, Южный берег Крыма) (рис. 1). Пробы отбирались с помощью автоматических осадкосборников, открывающихся с началом осадков и закрывающихся после их окончания, а также в постоянно открытые осадкосборники для каждого случая выпадения осадков. При отборе проб также фиксировались метеопараметры (относительная влажность воздуха, скорость и направление ветра на момент начала осадков, количество осадков). После отбора пробы атмосферных осадков замораживались в пластиковых банках. В лаборатории проводился химический анализ проб для определения содержания в них неорганического азота, фосфатов и кремнекислоты по стандартным методикам.
Химические методы анализа. Содержание кислорода определяли методом Винклера, модифицированным в части отбора проб с низким содержанием кислорода в соответствии с методикой [23], концентрацию сероводорода – йодометрическим методом, принимая йодопотребление на изопикне σt = = 15,8 кг/м3 за нулевое в соответствии с методикой 1. За 15 мин до отбора проб мерные колбы для фиксации сероводорода и кислородные склянки с узким горлом продували аргоном.
Для определения концентрации нитритов использовался метод Бендшнайдера и Робинсона 3, ионов аммония – модифицированный метод Сэджи – Солорзано для морской воды [24], чувствительность которого при использовании нитропруссида в качестве катализатора повышается до 0,05 мкМ. Ввиду высокой концентрации ионов аммония пробы с горизонта 500 м и глубже разбавлялись в 10 раз водой, отобранной на той же станции на изопикне σt = 15,5 кг/м3 (где отмечено отсутствие ионов аммония).
Определение содержания фосфатов и кремнекислоты проводили фотометрически по методике [25]. Минимальная определяемая концентрация фосфатов в соответствии с методикой составляет 0,05 мкМ, кремнекислоты – 0,1 мкМ.
Содержание суммы нитритов и нитратов определяли спектрофотометрическим методом согласно методике (РД 52.10.745-2020) на проточном автоанализаторе Scalar San++ путем восстановления нитратов до нитритов с помощью омедненного кадмия. При минимальной определяемой концентрации нитратов 0,36 мкМ погрешность метода составляет ± 0,20 мкМ (РД 52.10.243-293).
Значение рН измеряли с помощью иономеров И-160, И-160МП с использованием буферных растворов шкалы NB 4, общую щелочность – методом прямого титрования с потенциометрическим окончанием, титруя 50 мл морской воды 0,02H раствором соляной кислоты 1 с использованием высокоточной поршневой бюретки Metrohm Dosimat 765 и рН-метра Hanna HI-2215 для определения конечной точки титрования. Все измерения проводили согласно 5.
При построении карт пространственного распределения биогенных элементов и растворенного кислорода в поверхностном слое вод, а также их вертикального распределения в толще вод Черного моря были использованы данные, полученные в весенний, летний и осенний гидрологические сезоны [26]. При построении пространственных распределений, в том числе средних распределений по сезонам, использовалась программа «Гидролог».
Результаты и обсуждение
Для изучения эволюции гидрохимической структуры вод Черного моря целесообразно рассматривать отдельно поверхностный слой вод (0–5 м), характеризующийся наибольшей пространственной, сезонной и межгодовой изменчивостью, и нижележащие слои, в которых характеристики изменяются в зависимости от окислительно-восстановительных условий при переходе от аэробных к анаэробным.
Пространственное распределение гидрохимических параметров в поверхностном слое вод Черного моря.
Растворенный кислород. Весной распределение растворенного кислорода характеризуется значительной пространственной неоднородностью (рис. 2). Как и следовало ожидать, в ранневесенний период его концентрация достигает максимальных значений. Во-первых, это является результатом более высокой растворимости кислорода в морской воде при пониженных температурах. Во-вторых, не только содержание, но и степень насыщения вод кислородом повышается за счет активизации фотосинтеза в этот период, содержание растворенного кислорода максимальное и поверхностный слой вод им перенасыщен (рис. 2, а). В начале весеннего периода концентрация кислорода может достигать 328 мкМ, что при температуре поверхностного слоя вод ~ 9ºC соответствует 103% насыщения. В поздневесенний период при значительном прогреве поверхностного слоя вод до 22–23ºC его концентрация снижается до 277 мкМ, при этом степень насыщения вод кислородом максимальная и достигает 114%. Средняя концентрация кислорода составляет 284 мкМ, что соответствует 105% насыщения.
В летний период за счет прогрева вод в среднем до 24–25ºC, способствующего снижению растворимости кислорода и интенсификации процессов окисления органического вещества, приводящих к потреблению кислорода, а также за счет стратификации вод, ограничивающей вертикальный поток кислорода, его содержание снижается до минимальных значений ~ 241 мкМ (рис. 2, b), степень насыщения вод кислородом близка к равновесному состоянию (101% насыщения). Локально в отдельных съемках (сентябрь 2018 и 2020 гг.) были отмечены зоны дефицита кислорода (˂ 80%).
С началом осеннего охлаждения черноморских вод (в среднем до 15–16ºC) отмечается увеличение концентраций растворенного кислорода в среднем до 279 мкМ, степень насыщения вод кислородом достигает 100%. Однако в центральной глубоководной части отмечаются его локальные максимумы (до 105% насыщения в октябре 2020 г.) (рис. 2, с).
В среднем степень насыщения поверхностных вод кислородом в 2013–2021 гг. изменялась в пределах 100–105%. В отдельных случаях значения могли снижаться до 54–70% насыщения в летний период.
Рис. 2. Пространственная изменчивость концентрации растворенного кислорода в поверхностном слое вод Черного моря в весенний (а), летний (b) и осенний (с) периоды
Fig. 2. Spatial variability of the dissolved oxygen concentration in the Black Sea surface layer in spring (a), summer (b) and autumn (c)
Неорганические формы азота. В весенний и летний периоды пространственное распределение ионов аммония было однородным, средние концентрации составляли 0,19–0,22 мкМ. Локальные максимумы содержания аммонийного азота были отмечены в районе севастопольского побережья в осенний период (рис. 3, с) и летом – в районе Севастопольского антициклона (рис. 3, b).
В осенний период характерно максимальное содержание аммонийного азота (рис. 3, с). Концентрации изменялись в диапазоне 0,00–3,23 мкМ при среднем значении 0,32 мкМ. Это, вероятно, обусловлено вертикальным перемешиванием вод и поступлением ионов аммония из нижележащих слоев в позднеосенний период. Кроме того, ионы аммония являются одним из конечных продуктов окисления органического вещества [22]. Вполне вероятно, что к раннеосеннему периоду происходит накопление ионов аммония в поверхностном слое вод в результате окисления органического вещества в летний период.
Рис. 3. Пространственная изменчивость концентрации аммонийного азота в поверхностном слое вод Черного моря в весенний (а), летний (b) и осенний (с) периоды
Fig. 3. Spatial variability of the ammonium concentration in the Black Sea surface layer in spring (a), summer (b) and autumn (c)
Окисленный азот (сумма нитратов и нитритов) оказался единственным биогенным элементом, содержание которого во все сезоны было относительно постоянным (рис. 4). Так же, как и в распределении растворенного кислорода, наибольшая пространственная неоднородность распределения суммы нитратов и нитритов наблюдалась весной (рис. 4, а). Повышенные концентрации этих форм азота в весенний период были определены в прибрежных районах Евпатории, Судака и Новороссийска, что можно объяснить влиянием берегового стока.
Стоит отметить, что повышенные концентрации этих форм азота как в весенний, так и в осенний период были определены в районе периферии Севастопольского антициклона [27].
Рис. 4. Пространственная изменчивость концентрации окисленного азота в поверхностном слое вод Черного моря в весенний (а), летний (b) и осенний (с) периоды
Fig. 4. Spatial variability of the oxidized nitrogen concentration in the Black Sea surface layer in spring (a), summer (b) and autumn (c)
Фосфаты и кремнекислота. Распределение фосфатов в поверхностном слое вод в весенний период относительно однородно, а их средняя концентрация не превышает 0,1 мкМ (рис. 5).
Рис. 5. Пространственная изменчивость концентрации фосфатов в поверхностном слое вод Черного моря в весенний (а), летний (b) и осенний (с) периоды
Fig. 5. Spatial variability of the phosphate concentration in the Black Sea surface layer in spring (a), summer (b) and autumn (c)
В летний сезон однородность распределения нарушается, в поверхностных водах глубоководной части моря концентрация уменьшается до 0,05 мкМ (рис. 5, b), тогда как в прибрежных водах (особенно возле ЮБК) содержание фосфатов превышает 0,3 мкМ. Можно предположить, что такое распределение концентрации вызвано поступлением фосфатов с береговыми источниками, мощность которых увеличивается в период курортного сезона. Снижение концентрации фосфатов в глубоководной части может быть обусловлено их расходованием в процессе фотосинтеза и отсутствием поступления из более глубоких слоев вод вследствие устойчивой сезонной стратификации.
К осени (рис. 5, с) восстанавливается однородное распределение фосфатов, а также снижаются их концентрации до весеннего уровня (˂ 0,1 мкМ).
Рис. 6. Пространственная изменчивость концентрации кремнекислоты в поверхностном слое вод Черного моря в весенний (а), летний (b) и осенний (с) периоды
Fig. 6. Spatial variability of the silicic acid concentration in the Black Sea surface layer in spring (a), summer (b) and autumn (c)
В распределении кремнекислоты в весенний сезон можно отметить явное накопление этого биогенного вещества в глубоководной части (до 6,5 мкМ). Причем неожиданным результатом оказались ее меньшие концентрации (2,5–4,5 мкМ) по сравнению с глубоководной частью в местах впадения рек, являющихся основным источником кремния, для которых характерен максимальный сток в весенний период (рис. 6). Единственным прибрежным районом, где наблюдаются концентрации кремнекислоты, сопоставимые с ее значениями в глубоководной части, является район Керченского пролива (6,5 мкМ). Источником кремнекислоты, вероятно, здесь служат воды Азовского моря. Таким образом, преобладающим фактором в пространственном распределении кремнекислоты является динамика вод и вертикальный обмен с нижележащими слоями, в которых происходит ее накопление в зимний период.
В летний сезон среднее содержание кремнекислоты снижается в 3–5 раз по сравнению с зимним периодом (рис. 6, b). Локальный максимум концентрации отмечен вблизи побережья пгт Кацивели. Содержание кремнекислоты в глубоководной части моря было минимальным, 1 мкМ и менее. Осенью ее концентрация немного увеличивается по сравнению с летним периодом и достигает 1–3 мкМ (рис. 6, с).
Вклад атмосферных осадков в распределение биогенных элементов в поверхностном слое вод. По данным 6, в 2019 г. ежегодный вынос неорганического азота с реками в северо-западную часть Черного моря составлял 332,5∙103 т/год, фосфатов – 17,25∙103 т/год, кремнекислоты – 603,1 103 т/год. С рекой Камчия, расположенной в Болгарии, ежегодно поступает ~ 3,3∙103 т/год неорганического азота и ~ 0,2∙103 т/год фосфатов. Поступление неорганического азота с реками в российском секторе Черного моря оценивается в 0,8∙103 т/год, фосфора – в 0,08∙103 т/год, неорганического азота в районе грузинского побережья – в 1,3 103 т/год; реки Турции ежегодно поставляют в Черное море ~ 40∙103 т/год общего азота и ~ 11∙103 т/год общего фосфора 2.
Поток со сточными водами в Черное море ежегодно оценивается в 6,12 · 103 т для неорганического азота и в 2,15∙103 т для неорганического фосфора. Промышленные источники поступления биогенных элементов ежегодно вносят 1,18∙103 т неорганического азота и 0,25∙103 т фосфатов 2. Среднее поступление растворенного неорганического азота (сумма нитритов, нитратов и аммония) с атмосферными осадками в районе Крымского побережья составляет 32,0 мМ/м2∙год. Исходя из полученных значений, поток азота с атмосферными осадками на поверхность Черного моря (площадь 429000 км2) может достигать 18,3∙1012 мМ/год, или 192 103 т/год неорганического азота.
Среднее поступление фосфатов и кремнекислоты с атмосферными осадками в районе Крымского побережья составляет ~ 0,6 мМ/м2∙год по данным двух пунктов отбора проб. Среднегодовое поступление растворенного фосфора с атмосферными осадками на поверхность Черного моря может достигать 0,78∙1012 мМ/год, или 8∙103 т/год неорганического фосфора. Поток растворенного кремния с атмосферными осадками на поверхность Черного моря составляет 0,26∙1012 мМ/год, или 7∙103 т/год.
Обобщенные значения потоков неорганического азота и фосфатов в Черное море из различных источников, согласно опубликованным и нашим данным о поступлении с атмосферными осадками, приведены в таблице.
Поступление биогенных элементов с различными источниками в Черное море
Nutrients from various sources entering the Black Sea
Источник / Source | DIN, 103 т/год / DIN, 103 t/year | P-PO4, 103 т/год / P-PO4, 103 t/year |
Речной сток / River discharge | 362 (64,5%) | 24,0 (69,8%) |
Промышленные источники / Industrial sources | 1,2 (0,2%) | 0,25 (0,7%) |
Сточные воды / Sewage waters | 6,1 (1,1%) | 2,15 (6,2%) |
Атмосферные осадки / Atmospheric precipitation | 192 (34,2%) | 8,00 (23,3%) |
Всего / Total | 561,3 (100%) | 34,4 (100%) |
Согласно таблице, речной сток является преобладающим источником поступления неорганического азота и фосфора в Черное море, атмосферные осадки – вторым по мощности. Однако вклад береговых источников, также как и речного стока, в основном оказывает влияние в прибрежных и приустьевых районах. Только ~ 2,2% от общего количества биогенных элементов, поступивших с речным стоком, достигает глубоководной части моря [28]. Одним из источников биогенных элементов в поверхностном слое также является поступление из глубинных холодных вод в процессе апвеллинга [29]. Однако этот источник проявляется в основном летом, когда устойчивая стратификация вод Черного моря способствует ограниченному вертикальному обмену. Исходя из полученных нами данных, можно сделать вывод, что в глубоководных районах атмосферные осадки на синоптических пространственно-временных масштабах могут быть основным источником поступления неорганического азота, фосфатов и кремнекислоты в поверхностный слой.
Карбонатная система. Одними из основных параметров карбонатной системы являются рН и величина общей щелочности, которые определяются следующим образом [30]:
рН = -log aH+,
Alk = [HCO3−] + 2[CO32−] + [B(OH)4−] + [H3SiO4−] + [HPO42−] + 2[PO43−] + [OH−],
где aH+ – величина активности ионов водорода. Значение рН морской воды зависит от содержания в ней углекислого газа и перераспределения его в различные формы угольной кислоты с высвобождением или захватом иона водорода для достижения равновесия [31]:
CO2aq+H2O↔H2CO3↔HCO3− + H+↔CO32− + 2H+.
Общая щелочность определяется преимущественно суммарным содержанием гидрокарбонатов и карбонатов и в значительно меньшей степени – производными борной, кремниевой и фосфорной кислот. В анаэробной зоне общая щелочность также в существенной степени определяется вкладом аммиачной и сероводородной составляющих.
Пространственная изменчивость рН в рамках отдельной экспедиции существенно превышает сезонную изменчивость средних значений данной величины. Ее причинами могут быть как природные факторы (гидрологические и гидродинамические процессы, такие как смешение азовских и черноморских вод; локальные биологические аномалии), так и факторы антропогенного характера (терригенные стоки, интенсивное судоходство, промышленная деятельность).
Внутригодовое распределение измерений в поверхностном слое вод показано на рис. 7. Измерения проводились со второй половины апреля до конца декабря.
Внутригодовой ход средних значений рН поверхностных вод северной части Черного моря можно разделить по полугодиям. С июля по декабрь рН практически постоянна и изменяется в пределах 8,34–8,36 ед. (стандартное отклонение 0,01 ед. рН, что не превышает погрешности метода измерений и статистически незначимо). Минимальные средние значения наблюдаются в весенний период, составляя в мае – июне 8,29 ± 0,01 ед. рН (рис. 7). Затем рН снова начинает расти, достигая значений второго полугодия.
Рис. 7. Внутригодовая изменчивость средних (медианных) значений (●) и всех измерений (•) рН поверхностных вод северной части Черного моря по данным 2013–2021 гг.
Fig. 7. Intra-annual variability of the average (median) values (●) and all the measurements (•) of pH of surface waters in the northern part of the Black Sea based on the data obtained in 2013–2021
Что касается многолетних изменений, для водородного показателя поверхностных вод северной части Черного моря за исследуемый период (2013–2021 гг.) не выявлено статистически значимой тенденции к понижению или росту, а диапазон пространственно-временных изменений рН составляет 8,29–8,38.
Пространственная изменчивость значений общей щелочности в рамках отдельной экспедиции (117-й рейс НИС «Профессор Водяницкий») под влиянием как природных, так и антропогенных факторов достигала 180 мкМ, не превышая в среднем 90 мкМ. Эти значения в 1,3 раза (2,7 при максимальном разбросе) меньше диапазона изменений сезонных медианных значений. Основными факторами, определяющими различия пространственного распределения общей щелочности, являются поступление карбонатов с речным стоком в прибрежной части исследуемого района и поступление азовоморских вод, щелочность которых на треть ниже черноморских. Воды Азовского моря при этом, смешиваясь с черноморскими, вследствие меньшей плотности определяют уменьшение щелочности поверхностных вод Черного моря.
Для средних значений общей щелочности поверхностных вод северной части Черного моря сезонная изменчивость характеризуется синусоидальным ходом с минимальными значениями (3,268–3,283 мМ) в летне-осенний период (июль – начало октября) и с максимальными предположительно в зимне-весенний (рис. 8). При этом разница между минимальными и максимальными средними значениями составляет 66 мкМ, что более чем в 10 раз превышает погрешность метода измерений 5.
Рис. 8. Сезонная изменчивость средних (медианных) значений общей щелочности поверхностных вод северной части Черного моря по данным 2013–2021 гг.
Fig. 8. Seasonal variability of the total alkalinity average (median) values of surface waters in the northern part of the Black Sea based on the data obtained in 2013–2021
В весенний период щелочность должна определяться вкладом терригенного стока и стоком рек, которые являются основными источниками гидрокарбонатов и карбонатов. Процессы окисления органического вещества имеют невысокую степень влияния на динамику общей щелочности. В летне-осенний период она снижается в результате образования карбоната кальция с выделением углекислого газа [31]:
Ca2+ + 2HCO3– → CaCO3 + CO2 + H2O.
Вертикальное распределение гидрохимических параметров в 2013–2021 гг.
Кислород и сероводород. На рис. 9 представлены осредненные по натурным данным вертикальные профили кислорода и сероводорода: в водной толще относительно шкалы плотности (рис. 9, а, сплошной линией показано начало оксиклина, где происходит резкое изменение вертикального градиента концентрации кислорода) и более подробно – в диапазоне st = 15,5–16,3 кг/м3, в котором расположены верхние границы субкислородной зоны и появления сероводорода (рис. 9, b).
Рис. 9. Концентрация кислорода и сероводорода по всей водной толще (а) и в диапазоне st = 15,5–16,3 кг/м3 (b) в различные сезоны
Fig. 9. Concentrations of oxygen and hydrogen sulfide throughout the whole water column (a) and in the range st = 15.5–16.3 kg/m3 (b) in different seasons
Начало оксиклина в рассматриваемый период располагалось на изопикнической поверхности ~ 13,8 кг/м3 и не было подвержено сезонным изменениям (рис. 9, а).
Положение верхней границы субкислородной зоны, определяемой по концентрации кислорода 10 мкМ, меняется от st = 15,7 кг/м3 до st = 15,9 кг/м3 (что в шкале глубин соответствует интервалу 40 м). Самое глубокое положение верхней границы субкислородной зоны, st ≥ 15,8 кг/м3, наблюдалось в ноябре и декабре 2017 г., а также в августе 2018 г. Здесь следует отметить, что 2017 г. характеризовался увеличением насыщения кислородом всей водной толщи в период 2009–2019 гг. [32]. Это связано с относительным снижением температуры в 2017 г. и увеличением концентрации кислорода в ХПС по сравнению с предыдущими и последующими годами [33]. Видимо, этот запас кислорода обеспечил заглубление верхней границы субкислородной зоны в ноябре 2017 г.
Вертикальное распределение сероводорода оказалось более изопикничным по сравнению с распределением кислорода, а изосульфида 3 мкМ располагалась в интервале изопикнических поверхностей 16,10–16,15 кг/м3.
Максимальные концентрации сероводорода в Черном море. На 8 глубоководных станциях изучены профили сероводорода в интервале глубин 1750–2000 м. Как известно, в придонных водах глубоководной части Черного моря глубже 1750 м наблюдается однородное распределение гидрологических и гидрохимических характеристик благодаря конвективному перемешиванию за счет тепла, поступающего с донной поверхности [26]. Наибольший интерес представляют максимальное содержание сероводорода и тенденции его изменения. В частности, в конце прошлого века наблюдалось значительное увеличение концентрации сероводорода с ~ 300 до ~ 390 мкМ в придонном слое вод, после чего его содержание стабилизировалось на уровне 378–387 мкМ [2].
По данным 2017–2019 гг., концентрации сероводорода на глубоководных станциях глубже 1750 м изменялись в пределах 378–385 мкМ и соответствовали представленному выше интервалу. Объединив после статистической проверки 7 значения для всех станций в один массив, мы получили, что содержание сероводорода на глубинах > 1750 м в Черном море в настоящий момент составляет 383 ± 2 мкМ.
Неорганические формы азота. Из всех биогенных элементов в Черном море наибольшим разнообразием окислительно-восстановительных форм характеризуются неорганические формы азота – переход от окисленного состояния к восстановленным формам (NO3‒ → NO2‒ → NO → N2O → N2 → NH4+), что определяется в первую очередь содержанием растворенного кислорода в водной толще и зависит от особенностей гидрологической структуры [34, 35].
В верхнем продуктивном слое, где происходит фотосинтез, основной формой азота являются нитраты, поскольку образующийся при минерализации ВОВ аммоний и промежуточный продукт его окисления нитриты в присутствии достаточного количества кислорода быстро окисляются (идет процесс нитрификации). Нитратный азот в верхнем продуктивном слое не накапливается, так как используется фитопланктоном в процессе фотосинтеза [32].
С глубиной количество поступающего света уменьшается, фотосинтез ослабляется, содержание растворенного кислорода падает. Однако пока растворенного кислорода хватает для нитрификации, происходит постепенное накопление нитратов, которые не успевают извлекаться фитопланктоном. Это накопление приводит к пику их концентрации, который для Черного моря располагается там, где градиент уменьшающейся концентрации кислорода проходит через максимум, примерно на изопикне 15,5 кг/м3 [34].
Глубже верхней границы оксиклина содержание нитратов плавно увеличивается по сравнению со слоями, где нет дефицита кислорода (выше st = = 14,0 кг/м3), и достигает максимума на изопикнической поверхности st = = 15,2–15,5 кг/м3, что является результатом аэробной деструкции ВОВ. После этого концентрации нитратов с глубиной начинают быстро уменьшаться – при снижении концентрации кислорода ниже ˂ 10 мкМ протекают реакции денитрификации, вследствие чего изымаются нитраты, при этом кислорода уже недостаточно для окисления ионов аммония, поступающих из нижележащих слоев, до нитратов [34–36].
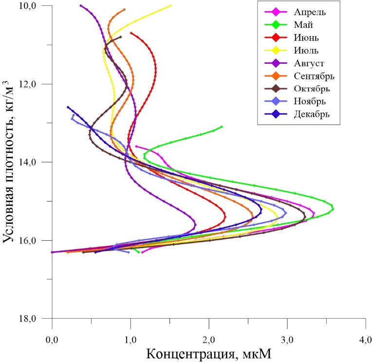
В рассматриваемый период в холодное время года (ноябрь – декабрь) слой максимума нитратов (суммы нитратов и нитритов) в аэробной зоне был несколько ниже, чем в теплые месяцы. При этом минимальный запас окисленного азота в слое максимума наблюдался в августе (рис. 10).
Рис. 10. Осредненные вертикальные профили суммы нитратов и нитритов по месяцам
Fig. 10. Averaged vertical profiles of the nitrates and nitrites sum by months
Вертикальное распределение окисленного азота относительно условной плотности (рис. 11) характеризовалось максимальным значением осредненной концентрации в 2013 и 2016 гг., которое составляло 3,0–3,5 мкМ. Запас нитратов в слое максимума был максимальным в период 2013–2017 гг. и находился в диапазоне условной плотности ~ 13,5–16,2 кг/м3.
Рис. 11. Осредненные вертикальные профили суммы нитратов и нитритов в 2013–2017 гг. (а) и 2018–2021 гг. (b)
Fig. 11. Averaged vertical profiles of the nitrates and nitrites sum in 2013–2017 (a) and 2018–2021 (b)
В последующие годы максимальные концентрации суммы нитратов и нитритов отмечались на изопикнических поверхностях ~ 14,5–16,0 кг/м3 (рис. 11, b) и составляли 1,8–2,6 мкМ. Эти значения соответствуют доэвтрофикационным показателям [4], что может указывать на снижение антропогенной нагрузки на экосистему Черного моря.
Концентрация окисленного азота снижается практически до нуля на глубине, соответствующей значению условной плотности ~ 16,2 кг/м3. На этой же глубине начинает монотонно увеличиваться концентрация аммонийного азота (рис. 12) до σt = 17,0 кг/м3. В аэробной зоне за счет присутствия кислорода ионы аммония окисляются до нитратов/нитритов, и это определяет их относительно невысокие концентрации в этом слое вод: они редко превышают 0,5 мкМ и в среднем составляют ~ 0,22 мкМ. По мере снижения содержания кислорода (в слое st = 15,9–16,1 кг/м3) концентрация ионов аммония определяется денитрификацией, что приводит к явному и быстрому росту содержания аммония ниже границы появления сероводорода на изопикне st = 16,1 кг/м3 (рис. 12, b).
Рис. 12. Вертикальное распределение аммонийного азота в шкале условной плотности в 2013–2021 гг. (а) и по сезонам (b)
Fig. 12. Vertical distribution of ammonium on the density scale in 2013–2021(a) and by seasons (b)
В весенне-летний период, когда наблюдается больший прогрев вод и раз-вивается стратификация, концентрация аммония в аэробной зоне составляет ~ 0,2 мкМ. С началом осеннего перемешивания вод концентрация аммоний-ного азота постепенно увеличивается. При этом ее многолетнее и среднесезонное изменение в отличие от нитратного азота в слое вод до границы появления сероводорода остается практически неизменным. Концентрация ионов аммония на глубине ниже 1800 м (st = 17,0–17,2 кг/м3) в среднем составляет ~ 96 ± ± 5 мкМ, что согласуется с полученными ранее данными [34, 37].
Фосфаты. Осредненные графики зависимости концентрации фосфатов от условной плотности для разных месяцев в целом были сходны между собой (рис. 13). До значения условной плотности 14,0 кг/м3 почти во всех случаях концентрации были близки к аналитическому нулю. Относительно незначительные повышения отмечались в июле и августе (до 0,27 и до 0,47 мкМ соответственно). Причиной такого явления может быть интенсивное развитие планктона в эти месяцы, сопровождающееся как образованием, так и лизисом клеток, в результате чего происходит высвобождение растворимых фосфатов.
Рис. 13. Осредненные вертикальные профили содержания фосфатов по месяцам согласно данным всех рейсов в 2013–2017 гг.
Fig. 13. Averaged vertical profiles of the phosphate content by months based on the data obtained in all the cruises in 2013–2017
Содержание фосфатов после появления оксиклина на σt = 14,4–14,5 кг/м3 постепенно увеличивается с глубиной, достигая концентраций > 1 мкМ на σt = = 15,5 кг/м3. Затем концентрация уменьшается и составляет ˂ 0,5 мкМ при σt = = 15,8 кг/м3, далее монотонно увеличивается до 6,5–8,0 мкМ на изопикнической поверхности 16,2 кг/м3.
Развитие эвтрофикации Черного моря в начале 70-х гг. привело к тому, что максимум фосфатов, который в 1969 г. был расположен на изопикне 16,4 кг/м3 и достигал 6 мкМ, в 1990 г. поднялся до условной плотности 16,2 кг/м3 и его значение увеличилось до ∼ 7,5 мкМ [4, 38, 39]. Аналогичные результаты были получены и в 2013 г., когда максимальная концентрация фосфатов составила 7,5 мкМ. То есть максимальная концентрация фосфатов на границе сероводородной зоны остается практически постоянной.
Карбонатная система. Сезонная изменчивость параметров карбонатной системы северной части Черного моря наблюдается только в верхней части вертикального профиля (рис 14, а, b) при значениях условной плотности ˂ 13 кг/м3 для общей щелочности и ˂ 14 кг/м3 – для рН, что соответствует глубинам ˂ 50 м. Она связана в первую очередь с процессами фотосинтеза и разложения органического вещества, в результате которых из воды изымается или поступает углекислый газ, переходящий в воде в формы гидрокарбонатов и карбонатов. Кроме того, на сезонные изменения рН в поверхностных водах оказывают влияние гидрологические условия (изменения температуры) и поступление карбонатов с речным стоком, а также водообмен с Азовским морем через Керченский пролив.
Рис. 14. Сезонная изменчивость средних значений вертикальных профилей общей щелочности (а) и рН (b) вод северной части Черного моря по данным 2013–2021 гг.
Fig. 14. Seasonal variability of the average values of the total alkalinity (a) and pH (b) vertical profiles of the northern Black Sea waters based on the data obtained in 2013–2021
При условной плотности > 14 кг/м3 профиль рН имеет неоднократно подтвержденную на протяжении всего периода исследований S-образную форму (рис. 14, b) [18], наличие которой можно объяснить поступлением в глубоководную зону дополнительного углекислого газа в результате окисления органического вещества. В то же время общая щелочность не изменяется до значений условной плотности 16 кг/м3, затем она резко увеличивается (рис. 14, а) за счет нарастания карбонатной щелочности и пропорционального роста аммиачной и сероводородной составляющих. Данный процесс протекает в результате сульфатредукции согласно уравнению 8
2SO42– + 4C + 3H2O → H2S + HS– + CO2 + HCO3–.
Заключение
В работе исследовано пространственно-временное и вертикальное распределение кислорода, сероводорода, характеристик карбонатной системы, а также биогенных элементов в водах Черного моря в три гидрологических сезона – весенний, летний и осенний.
Проведенное исследование показало, что в распределениях концентрации биогенных элементов в поверхностных водах моря проявлялась сезонность: для кремнекислоты было заметно явное накопление к весеннему периоду; особенностью распределения фосфатов была неравномерность для вод глубоководной части моря и прибрежных вод в летний период; нитраты во все сезоны были распределены относительно равномерно. В сезонной изменчивости общей щелочности проявлялся ярко выраженный «синусоидальный» характер с минимумом в летний гидрологический сезон и максимумом в зимний. Минимум рН наблюдался в весенний период.
Отмечено снижение концентрации фосфатов, кремнекислоты и неорганических форм азота по направлению от прибрежных к глубоководным районам Черного моря, что может считаться показателем проявления береговых источников поступления.
Речной сток является преобладающим источником поступления неорганического азота и фосфора, а также гидрокарбонатов в Черное море, атмосферные осадки – второй по мощности источник такого поступления. При этом из полученных нами данных можно сделать вывод, что в глубоководных районах атмосферные осадки на синоптических пространственно-временных масштабах могут быть основным источником поступления неорганического азота, фосфатов и кремнекислоты в поверхностный слой вод моря.
Расположение верхней границы субкислородной зоны, определяемой по концентрации кислорода 10 мкМ, меняется во времени от st = 15,7 кг/м3 до st = = 15,9 кг/м3, что в шкале глубин соответствует интервалу ~ 40 м. Вертикальное распределение сероводорода более изопикнично – изосульфида 3 мкМ располагается в диапазоне st = 16,10–16,15 кг/м3.
Содержание сероводорода на глубинах > 1750 м в Черном море в настоящий момент составляет 383 ± 2 мкМ.
Вертикальные максимумы нитратов были определены при плотности σt = = 15,5 кг/м3. Межгодовое изменение содержания окисленного азота показало снижение абсолютных концентраций в слое максимума до уровня, соответствующего доэвтрофикационным показателям. Запас нитратов был максимальным (3,0–3,5 мкМ) в период 2013–2017 гг. В последующие годы максимальные концентрации нитратов составляли 1,8–2,6 мкМ.
Максимальное содержание фосфатов наблюдалось на границе сероводородной зоны.
1 Методы гидрохимических исследований океана / Отв. ред. О. К. Бордовский, В. Н. Иваненков. М. : Наука, 1978. 271 с.
2 State of Environment of the Black Sea (2009-2014/5) / Ed. A. Krutov. Istanbul, Turkey : Commission on the Protection of the Black Sea Against Pollution (BSC), 2019. 811 p.
3 Руководство по химическому анализу морских и пресных вод при экологическом мониторинге рыбохозяйственных водоемов и перспективных для промысла районов Мирового океана. М. : Изд-во ВНИРО, 2003. 202 с.
4 Современные методы гидрохимических исследований океана. М. : ИОАН, 1992. 199 с.
5 Handbook of methods for the analysis of the various parameters of the carbon dioxide system in sea water. Version 2 / Eds. A. G. Dickson, C. Goyet. Oak Ridge, TN, USA, 1994. 198 p. doi:10.2172/10107773
6 Impact of the rivers on the Black Sea ecosystem / Ed. L. Lazăr. Buchurest, Romania : Editura CD Press, 2021. 225 p.
7 Севастьянов Б. А. Курс теории вероятностей и математической статистики. Москва-Ижевск : Институт компьютерных исследований, 2019. 272 с.
8 Алекин О. А., Ляхин Ю. И. Химия океана. Л. : Гидрометеоиздат, 1984. 344 с.
Авторлар туралы
A. Varenik
Marine Hydrophysical Institute, Russian Academy of Sciences
Хат алмасуға жауапты Автор.
Email: alla.varenik@mhi-ras.ru
ORCID iD: 0000-0001-5033-4576
SPIN-код: 3277-7914
ResearcherId: H-1880-2014
старший научный сотрудник, отдел биогеохимии моря, кандидат географических наук
Ресей, SevastopolS. Kondratyev
Marine Hydrophysical Institute, Russian Academy of Sciences
Email: skondratt@mail.ru
ORCID iD: 0000-0002-2049-7750
старший научный сотрудник, отдел биогеохимии моря, кандидат химических наук
Ресей, SevastopolE. Medvedev
Marine Hydrophysical Institute, Russian Academy of Sciences
Email: eugenemedvedev@mhi-ras.ru
ORCID iD: 0000-0003-0624-5319
младший научный сотрудник, отдел биогеохимии моря
Ресей, SevastopolD. Khoruzhiy
Marine Hydrophysical Institute, Russian Academy of Sciences
Email: khoruzhiy@mhi-ras.ru
ORCID iD: 0000-0003-1411-1441
младший научный сотрудник, отдел биогеохимии моря
Ресей, SevastopolN. Orekhova
Marine Hydrophysical Institute, Russian Academy of Sciences
Email: natalia.orekhova@mhi-ras.ru
ORCID iD: 0000-0002-1387-970X
ResearcherId: I-1755-2017
ведущий научный сотрудник, зав. отделом биогеохимии моря, кандидат географических наук
Ресей, SevastopolӘдебиет тізімі
- Black Sea Oceanography: Results from the 1988 Black Sea Expedition / Ed. J. W. Murray. Amsterdam : Elsevier, 1991. P. S655–S1266. (Deep Sea Research Part A. Oceanographic Research Papers ; vol. 38, suppl. 2).
- Black Sea Oceanography, Harmful Algal Blooms / Eds. J. W. Murray, P. M. Gilbert, G. C. Pitcher. Rockville, Maryland, U. S. : TOS, 2005. (Oceanography ; vol. 18, no. 2). 262 p.
- Konovalov S. K., Murray J. W. Variations in the chemistry of the Black Sea on a time scale of decades (1960–1995) // Journal of Marine Systems. 2001. Vol. 31, iss. 1–3. P. 217–243. https://doi.org/10.1016/S0924-7963(01)00054-9
- Региональные особенности, устойчивость и эволюция биогеохимической структуры вод Черного моря / Под ред. В. Н. Еремеева, С. К. Коновалова. Севастополь, 2012. С. 273–300.
- Кривошея В. Г., Овчинников И. М., Скирта А. Ю. Межгодовая изменчивость обновления холодного промежуточного слоя Черного моря // Комплексные исследования северо-восточной части Черного моря / Под ред. А. Г. Зацепина, М. В. Флинта. М. : Наука, 2002. С. 27–39.
- Белокопытов В. Н. Межгодовая изменчивость обновления вод холодного промежуточного слоя Черного моря в последние десятилетия // Морской гидрофизический журнал. 2010. № 5. С. 33–41.
- Formation and changes of the Black Sea cold intermediate layer / S. Miladinova [et al.] // Progress in Oceanography. 2018. Vol. 167. P. 11–23. https://doi.org/10.1016/j.pocean.2018.07.002
- Stevens C. J., David T. I., Storkey J. Atmospheric nitrogen deposition in terrestrial ecosystems: Its impact on plant communities and consequences across trophic levels // Functional Ecology. 2018. Vol. 32, iss. 7. P. 1757–1769. https://doi.org/10.1111/1365-2435.13063
- Impacts of atmospheric anthropogenic nitrogen on the open ocean / R. A. Duce [et al.] // Science. 2008. Vol. 320, iss. 5878. P. 893–897. doi: 10.1126/science.1150369
- Desert dust and anthropogenic aerosol interactions in the community climate system model coupled-carbon-climate model / N. Mahowald [et al.] // Biogeosciences. 2011. Vol. 8, iss. 2. P. 387–414. https://doi.org/10.5194/bg-8-387-2011
- Influence of atmospheric dry deposition of inorganic nutrients on phytoplankton biomass in the coastal Bay of Bengal / K. Yadav [et al.] // Marine Chemistry. 2016. Vol. 187. P. 25–34. https://doi.org/10.1016/j.marchem.2016.10.004
- Impact of anthropogenic atmospheric nitrogen and sulfur deposition on ocean acidification and the inorganic carbon system / S. C. Doney [et al.] // PNAS. 2007. Vol. 104, no. 37. P. 14580–14585. https://doi.org/10.1073/pnas.0702218104
- Acidification of the coastal Bay of Bengal by aerosols deposition / V. R. Kumari [et al.] // Journal of Earth System Science. 2021. Vol. 130. 223. https://doi.org/10.1007/s12040-021-01723-x
- Boyd P. W., Mackie D. S., Hunter K. A. Aerosol iron deposition to the surface ocean – Modes of iron supply and biological responses // Marine Chemistry. 2010. Vol. 120, iss. 1–4. P. 128–143. https://doi.org/10.1016/j.marchem.2009.01.008
- Goyet C., Bradshaw A. L., Brewer P. G. The carbonate system in the Black Sea // Deep Sea Research Part A. Oceanographic Research Papers. 1991. Vol. 38, Suppl. 2. P. S1049–S1068. doi: 10.1016/S0198-0149(10)80023-8
- Маккавеев П. Н. Растворенный неорганический углерод и общая щелочность в анаэробных водах Черного моря // Океанология. 1995. Т. 35, № 4. С. 537–543.
- Hiscock W. T., Millero F. J. Alkalinity of the anoxic waters in the Western Black Sea // Deep Sea Research Part II: Topical Studies in Oceanography. 2006. Vol. 53, iss. 17–19. P. 1787–1801. https://doi.org/10.1016/j.dsr2.2006.05.020
- Кондратьев С. И., Медведев Е. В., Коновалов С. К. Величины общей щелочности и рН в водах Черного моря в 2010–2011 годах // Морской гидрофизический журнал. 2017. № 4. С. 36–47. doi: 10.22449/0233-7584-2017-4-36-47
- Кондратьев С. И., Видничук А. В. Особенности вертикального распределения кислорода и сероводорода в Черном море по экспедиционным данным Морского гидрофизического института в 1995–2015 годах // Морской гидрофизический журнал. 2018. Т. 34, № 5. С. 422–433. doi: 10.22449/0233-7584-2018-5-422-433
- Кондратьев С. И., Видничук А. В. Вертикальное распределение кислорода и сероводорода в Черном море в 2016 г. // Вестник Московского университета. Серия 5. География. 2020. № 3. С. 91–99.
- Кондратьев С. И., Хоружий Д. С. Вертикальное распределение форм фосфора в Черном море по экспедиционным данным 2016–2019 годов // Морской гидрофизический журнал. 2021. Т. 37, № 5. С. 579–590. doi: 10.22449/0233-7584-2021-5-579-590
- Кондратьев С. И., Вареник А. В., Орехова Н. А. Неорганические формы азота в глубоководной части Черного моря по экспедиционным данным 2016–2019 годов // Морской гидрофизический журнал. 2023. Т. 39, № 2. С. 205–219. EDN FGONIQ. doi: 10.29039/0233-7584-2023-2-205-219
- Carpenter J. H. The Chesapeake Bay Institute technique for the Winkler dissolved oxygen method // Limnology and Oceanography. 1965. Vol. 10, iss. 1. P. 141–143. doi: 10.4319/lo.1965.10.1.0141
- Solórzano L. Determination of ammonia in natural waters by the phenolhypochlorite method // Limnology and Oceanography. 1969. Vol. 14, iss. 5. P. 799–801. https://doi.org/10.4319/lo.1969.14.5.0799
- Methods of seawater analysis / Eds. K. Grasshoff, M. Ehrhardt, K. Kremling. Weinheim : Verlag Chemie, 1983. 419 p.
- Иванов В. А., Белокопытов В. Н. Океанография Черного моря. Севастополь, 2011. 212 с.
- Циркуляция вод в северной части Черного моря летом – зимой 2018 года / Ю. В. Артамонов [и др.] // Экологическая безопасность прибрежной и шельфовой зон моря. 2020. № 1. С. 69–90. doi: 10.22449/2413-5577-2020-1-69-90
- Nitrogen budget on the shelf and slope area of the Back Sea basin as inferred from modeling experiments / M. Gregoire [et al.] // Oceanography of the Eastern Mediterranean and Black Sea / Ed. A. Yilmaz. Ankara, Turkey : TUBITAK, 2003. P. 314–321.
- Джиганшин Г. Ф., Полонский А. Б., Музылева М. А. Апвеллинг в северо-западной части Черного моря в конце летнего сезона и его причины // Морской гидрофизический журнал. 2010. № 4. С. 45–57.
- Millero F. J. The Marine inorganic carbon cycle // Chemical Reviews. 2007. Vol. 107, iss. 2. P. 308–341. https://doi.org/10.1021/cr0503557
- Zeebe R. E., Wolf-Gladrow D. CO2 in seawater: equilibrium, kinetics, isotopes. Amsterdam : Elsevier, 2001. 360 p. (Elsevier Oceanography Series ; vol. 65).
- Capet A., Vandenbulcke L., Grégoire M. A new intermittent regime of convective ventilation threatens the Black Sea oxygenation status // Biogeosciences. 2020. Vol. 17, iss. 24. P. 6507–6525. https://doi.org/10.5194/bg-17-6507-2020
- Видничук А. В., Коновалов С. К. Изменение кислородного режима глубоководной части Черного моря за период 1980–2019 годы // Морской гидрофизический журнал. 2021. Т. 37, № 2. С. 195–206. doi: 10.22449/0233-7584-2021-2-195-206
- Spatial and temporal variability in the chemical properties of the oxic and suboxic layers of the Black Sea / S. Tuğrul [et al.] // Journal of Marine Systems. 2014. Vol. 135. P. 29–43. https://doi.org/10.1016/j.jmarsys.2013.09.008
- Nitrogen cycling in the offshore waters of the Black Sea / J. J. McCarthy [et al.] // Estuarine, Coastal and Shelf Science. 2007. Vol. 74, iss. 3. P. 493–514. doi: 10.1016/j.ecss.2007.05.005
- Detection of Transient Denitrification During a High Organic Matter Event in the Black Sea / C. A. Fuchsman [et al.] // Global Biogeochemical Cycles. 2019. Vol. 33, iss 2. P. 143–162. https://doi.org/10.1029/2018GB006032
- Murray J. W., Konovalov S. K., Callahan A. Nitrogen reactions in the suboxic zone of the Black Sea: new data and models // Oceanography of the Eastern Mediterranean and Black Sea / Ed. A. Yilmaz. Ankara, Turkey : TUBITAK, 2003. P. 591–602.
- Гидрохимические исследования в 33-м рейсе научно-исследовательского судна «Профессор Колесников» / Л. В. Еремеева [и др.]. Севастополь, 1995. 42 с. (Препринт / МГИ).
- Nutrients in the western Black Sea area. Spatial and vertical distribution / A. Krastev [et al.] // Proceedings of the 1st Biannual Scientific Conference: Black Sea Ecosystem 2005 and Beyond. Istanbul, Turkey, 2006. P. 93–105.
Қосымша файлдар
















