Effects of Plant Acclimation on Electron Transport in Chloroplast Membranes of Cucumis sativus and Cucumis melo
- Authors: Benkov M.A.1, Suslichenko I.S.1, Trubitsin B.V.1, Tikhonov A.N.1
-
Affiliations:
- Faculty of Physics, M.V. Lomonosov Moscow State University
- Issue: Vol 40, No 3 (2023)
- Pages: 172-187
- Section: Articles
- URL: https://journals.rcsi.science/0233-4755/article/view/135030
- DOI: https://doi.org/10.31857/S0233475523030039
- EDN: https://elibrary.ru/EVMIOV
- ID: 135030
Cite item
Full Text
Abstract
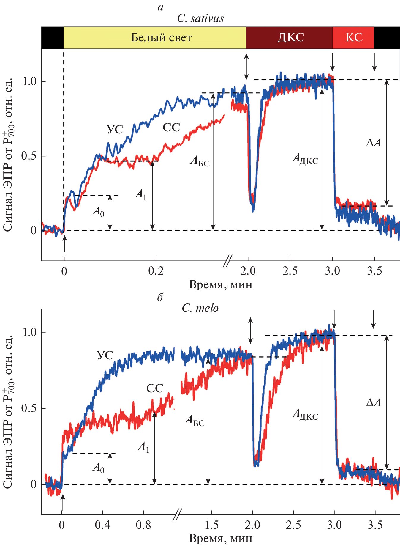
In this work, we have studied photosynthetic electron transport in chloroplasts of two “contrasting” species of Cucumis genus, the shade-tolerant species Cucumis sativus (cucumber) and the light-loving species Cucumis melo (melon). Plants were acclimated to moderate (50–125 μmole photons m−2 s−1) or high light (850–1000 μmole photons m−2 s−1). Parameters of a fast induction of chlorophyll a fluorescence, emitted from photosystem 2 (PS2), were determined using a conventional OJIP test. For monitoring the turnover of photosystem 1 (PS1) reaction centers \({\text{{Р}}}_{{700}}^{ + }\), we used electron paramagnetic resonance. The shade-tolerant (C. sativus) and light-loving (C. melo) species, acclimation to high or low light irradiation, revealed substantial difference in their response to variations of light intensity. Photosynthetic activity of shade-tolerant species C. sativus revealed higher sensitivity to light intensity during acclimation as compared to C. melo. In the course of the long-term acclimation (more than 2 months) of С. sativum to high light (≥ 500 μmole photons m−2 m−1), a photochemical activity of PS2 decreased. This was not the case, however, for leaves of C. melo. In С. sativus leaves, a decrease in photochemical activity of PS2 caused by acclimation to high light was reversible, demonstrating the recovery after the attenuation of irradiation intensity. Plants of both species acclimated to high and low light also revealed significant differences in the two-phase kinetics of \({\text{{Р}}}_{{700}}^{ + }\) redox transients. In the leaves of plants acclimated to strong light, we observed a lag-phase in the kinetics of \({\text{{Р}}}_{{700}}^{ + }\) photooxidation that could be attributed to cyclic electron transport (CET) around PS1. The ratio of the signals induced by white light and far-red light (707 nm) was higher in plants acclimated to strong light. This effect can be explained by the enhancement of CET and optimization of the energy balance at excess of light, protecting plants from oxidative stress. The data obtained are discussed in the context of the problem of photosynthesis optimization upon fluctuations of light intensity.
About the authors
M. A. Benkov
Faculty of Physics, M.V. Lomonosov Moscow State University
Email: an_tikhonov@mail.ru
Russia, 119991, Moscow
I. S. Suslichenko
Faculty of Physics, M.V. Lomonosov Moscow State University
Email: an_tikhonov@mail.ru
Russia, 119991, Moscow
B. V. Trubitsin
Faculty of Physics, M.V. Lomonosov Moscow State University
Email: an_tikhonov@mail.ru
Russia, 119991, Moscow
A. N. Tikhonov
Faculty of Physics, M.V. Lomonosov Moscow State University
Author for correspondence.
Email: an_tikhonov@mail.ru
Russia, 119991, Moscow
References
- Nelson N., Yocum C.F., 2006. Structure and function of photosystems I and II. Annu. Rev. Plant. Biol. 57, 521–565.
- Tikhonov A.N. 2014. The cytochrome b6 f complex at the crossroad of photosynthetic electron transport pathways. Plant Physiol. Biochem. 81, 163–183.
- Mamedov M., Govindjee, Nadtochenko V., Semenov A. 2015. Primary electron transfer processes in photosynthetic reaction centers from oxygenic organisms. Photosynth. Res. 125, 51–63.
- Malone L.A., Proctor M.S., Hitchcock A., Hunter C.N., Johnson M.P. 2021. Cytochrome b6 f – Orchestrator of photosynthetic electron transfer. Biochim. Biophis. Acta. 1862, 148380.https://doi.org/10.1016/j.bbabio.2021.148380
- Höhner R., Pribil M., Herbstová M., Lopez L.S., K-unz H.-H., et al. 2020. Plastocyanin is the long-range electron carrier between photosystem II and photosystem I in plants. Proc. Natl. Acad. Sci. USA. 117, 15 354–15 362.
- Junge W., Nelson N. 2015. ATP synthase. Annu. Rev. Biochem. 83, 631–657.
- Романовский Ю.М., Тихонов А.Н. 2010. Молекулярные преобразователи энергии живой клетки. Протонная АТР-синтаза – вращающийся молекулярный мотор. Успехи физических наук, 180, 931–956.
- Эдвардс Дж., Уокер Д. 1986. Фотосинтез С3 и С4 растений: механизмы и регуляция. М.: Мир. 598 с.
- Allakhverdiev S.I., Murata N. 2004. Environmental stress inhibits the synthesis de novo of proteins involved in the photodamage-repair cycle of photosystem II in Synechocystis sp. PCC 6803. Biochim. Biophys. Acta. 1657, 23–32.
- Kono M., Terashima I. 2014. Long-term and short-term responses of the photosynthetic electron transport to fluctuating light. J. Photochem. Photobiol. B. 137, 89–99.
- Berry J., Björkman O. 1980. Photosynthetic response and adaptation to temperature in higher plants. Annu. Rev. Plant Physiol. 31, 491–543.
- Allakhverdiev S.I., Kreslavski V.D., Klimov V.V., Los D.A., Carpentier R., Mohanty P. 2008. Heat stress: An overview of molecular responses in photosynthesis. Photosynth. Res. 98, 541–550.
- Tikhonov A.N., Vershubskii A.V. 2020. Temperature‑dependent regulation of electron transport and ATP synthesis in chloroplasts in vitro and in silico. Photosynth. Res. 146, 299–329.
- Michelet L., Zaffagnini M., Morisse S., Sparla F., Pérez-Pérez M.E., Francia F., Danon A., Marchand C.H., Fermani S., Trost P., Lemaire S.D. 2013. Redox regulation of the Calvin-Benson cycle: Something old, something new. Front. Plant Sci. 4. Article 470.https://doi.org/10.3389/fpls.2013.00470
- Balsera M., Schumann P., Buchanan B.B. 2016. Redox regulation in chloroplasts. In: Chloroplasts. Current research and future trends. Ed. Kirchhoff H. Norfolk, UK: Caister Academic Press, p. 187–207.
- Rumberg B., Siggel U. 1969. pH changes in the inner phase of the thylakoids during photosynthesis. Naturwissenschaften. 56, 130–132.
- Kramer D.M., Sacksteder C.A., Cruz J.A. 1999. How acidic is the lumen? Photosynth. Res. 60, 151–163.
- Tikhonov A.N. 2013. pH-Dependent regulation of electron transport and ATP synthesis in chloroplasts. Photosynth. Res. 116, 511–534.
- Schansker G. 2022. Determining photosynthetic control, a probe for the balance between electron transport and Calvin–Benson cycle activity, with the DUAL-KLAS-NIR. Photosynth. Res. 153, 191–204.
- Lemeille S., Rochaix J.-D. 2010. State transitions at the crossroad of thylakoid signalling pathways. Photosynth. Res. 106, 33–46.
- Lichtenthaler H.K., Babani F. 2004. Light adaptation and senescence of the photosynthetic apparatus. Changes in pigment composition, chlorophyll fluorescence parameters and photosynthetic activity. In: Chlorophyll a Fluorescence. Springer, p. 713–736.
- Lichtenthaler H.K., Babani F., Navrátil M., Buschmann C. 2013. Chlorophyll fluorescence kinetics, photosynthetic activity, and pigment composition of blue-shade and half-shade leaves as compared to sun and shade leaves of different trees. Photosynth. Res. 117, 355–366.
- Puthiyaveetil S., Kirchhoff H., Höhner R. 2016. Structural and functional dynamics of the thylakoid membrane system. In: Chloroplasts. Current research and future trends. Ed. Kirchhoff H. Norfolk, UK: Caister Academic Press, p. 59–87.
- Demmig-Adams B. 1998. Survey of thermal energy dissipation and pigment composition in sun and shade leaves. Plant Cell Physiol. 39, 474–482.
- Samoilova O.P., Ptushenko V.V., Kuvykin I.V., Kiselev S.A., Ptushenko O.S., Tikhonov A.N. 2011. Effects of light environment on the induction of chlorophyll fluorescence in leaves: A comparative study of Tradescantia species of different ecotypes. BioSystems. 105, 41–48.
- Ptushenko V.V., Ptushenko E.A., Samoilova O.P., Tikhonov A.N. 2013. Chlorophyll fluorescence in the leaves of Tradescantia species of different ecological groups: Induction events at different intensities of actinic light. BioSystems. 114, 85–97.
- Mishanin V.I., Trubitsin B.V., Benkov M.A., Minin A.A., Tikhonov A.N. 2016. Light acclimation of shade-tolerant and light-resistant Tradescantia species: Induction of chlorophyll a fluorescence and P700 photooxidation, expression of PsbS and Lhcb1 proteins. Photosynth. Res. 130, 275–291.
- Mishanin V.I., Trubitsin B.V., Patsaeva S.V., Ptushenko V.V., Solovchenko A.E., Tikhonov A.N. 2017. Acclimation of shade-tolerant and light-resistant Tradescantia species to growth light: Chlorophyll a fluorescence, electron transport, and xanthophyll content. Photosynth. Res. 133, 87–102.
- Benkov M.A., Yatsenko A.M., Tikhonov A.N. 2019. Light acclimation of shade-tolerant and sun-resistant Tradescantia species: photochemical activity of PSII and its sensitivity to heat treatment. Photosynth. Res. 139, 203–214.
- Suslichenko I.S., Tikhonov A.N. 2019. Photo-reducible plastoquinone pools in chloroplasts of Tradescentia plants acclimated to high and low light. FEBS Lett. 593, 788–798.
- Randall R.P. 2012. A global compendium of weeds. 2nd edn. Department of Agriculture and Food, Western Australia, 1125 p.
- Лютова М.И., Тихонов А.Н. 1988. Сопоставление температурной зависимости подвижности липидо-растворимой спиновой метки в тилакоидных мембранах хлоропластов дыни и огурца. Биофизика. 33, 460–464.
- Tikhonov A.N. 2021. Structure-function relationships in chloroplasts: EPR study of temperature-dependent regulation of photosynthesis, an overview. In: Photosynthesis: molecular approaches to solar energy conversion. Eds. Shen J.R., Satoh K., Allakhverdiev S.I. Advances in photosynthesis and respiration. 47, p. 342–373.
- Li Z., Wakao S., Fischer B.B., Niyogi K.K. 2009. Sensing and responding to excess light. Annu. Rev. Plant Biol. 60, 239–260.
- Murata N, Takahashi S., Nishiyama Y., Allakhverdiev S.I. 2007. Photoinhibition of photosystem II under environmental stress. Biochim. Biophys. Acta. 1767, 414–421.
- Lazár D. 1999. Chlorophyll a fluorescence induction. Biochim. Biophys. Acta. 1412, 1–28.
- Baker N.R. 2008. Chlorophyll fluorescence: A probe of photosynthesis in vivo. Annu. Rev. Plant Biol. 59, 89–113.
- Adams W.W. III, Demmig-Adams B. 2004. Chlorophyll fluorescence as a tool to monitor plant response to the environment. In: Chlorophyll a fuorescence: A signature of photosynthesis. Advances in photosynthesis and respiration. Eds. Papageorgiou G.C., Govindjee G. Dordrecht: Springer, p. 583–604.
- Kalaji H.M., Schansker G., Ladle R.J., Goltsev V., Bosa K., Allakhverdiev S.I., Brestic M., Bussotti F., Calatayud A., Dąbrowski P., Elsheery N.I., Ferroni L., Guidi L., Hogewoning S.W, Jajoo A., Misra A.N., Nebauer S.G., Pancaldi S., Penella C., Poli D., Pollastrini M., Romanowska-Duda Z.B., Rutkowska B., Serôdio J., Suresh K., Szulc W., Tambussi E., Yanniccari M., Zivcak M. 2014. Frequently asked questions about in vivo chlorophyll fluorescence: Practical issues. Photosynth. Res. 122, 121–158.
- Kuvykin I.V., Ptushenko V.V., Vershoubsky A.V., Tikhonov A.N. 2011. Regulation of electron transport in C3 plant chloroplasts in situ and in silico. Short-term effects of atmospheric CO2 and O2. Biochim. Biophys. Acta. 1807, 336–347.
- Trubitsin B.V., Vershubskii A.V., Priklonskii V.I., Tikhonov A.N. 2015. Short-term regulation and alternative pathways of photosynthetic electron transport in Hibiscus rosa-sinensis leaves. J. Photochem. Photobiol. B. 152, 400–415.
- Stirbet A. 2012. Chlorophyll a fluorescence induction: A personal perspective of the thermal phase, the J–I–P rise. Photosynth. Res. 113, 15–61.
- Stirbet A., Govindjee G. 2011. On the relation between the Kautsky effect (chlorophyll a fluorescence induction) and photosystem II: Basics and applications of the OJIP fluorescence transient. J. Photoch. Photobio. B. 104, 236–257.
- Schansker G., Tóth S.Z., Strasser R.J. 2006. Dark recovery of the Chl a fluorescence transient (OJIP) after light adaptation: The qT-component of non-photochemical quenching is related to an activated photosystem I acceptor side. Biochim. Biophys. Acta. 1757, 787–797.
- Niyogi K.K., Truong T.B. 2013. Evolution of flexible non-photochemical quenching mechanisms that regulate light harvesting in oxygenic photosynthesis. Curr. Opin. Plant Biol. 16, 307–314.
- Nilkens M., Kress E., Lambrev P., Miloslavina Y., Müller M., Holzwarth A.R., Jahns P. 2010. Identification of a slowly inducible zeaxanthin-dependent component of non-photochemical quenching of chlorophyll fluorescence generated under steady-state conditions in Arabidopsis. Biochim. Biophys. Acta. 1797, 466–475.
- Jahns P., Holzwarth A.R. 2012. The role of the xanthophyll cycle and of lutein in photoprotection of photosystem II. Biochim. Biophys. Acta. 1817, 182–193.
- Ruban A.V. 2016. Nonphotochemical chlorophyll fluorescence quenching: Mechanism and effectiveness in protecting plants from photodamage. Plant Physiol. 170, 1903–1916.
- Jallet D., Cantrell M., Peers G. 2016. New players for photoprotection and light acclimation. In: Chloroplasts. Current research and future trends. Ed. Kirchhoff H. Norfolk, UK: Caister Academic Press, p. 133–159.
- Tikhonov A.N. 2015. Induction events and short-term regulation of electron transport in chloroplasts: An overview. Photosynth. Res. 125, 65–94.
- Bendall D.S., Manasse R.S. 1995. Cyclic phosphorylation and electron transport. Biochim. Biophys. Acta. 1229, 23–38.
- Strand D.D., Fisher N., Kramer D.M. 2016. Distinct energetics and regulatory functions of the two major cyclic electron flow pathways in chloroplasts. In: Chloroplasts: Current research and future trends. Ed. Kirchhoff H. Norfolk, UK: Caister Academic Press, p. 89–100
- Johnson G.N. 2011. Physiology of PSI cyclic electron transport in higher plants. Biochim. Biophys. Acta. 1807, 906–911.
- Stiehl H.H., Witt H.T. 1969. Quantitative treatment of the function of plastoquinone in photosynthesis. Z. Naturforsch. 24b, 1588–1598.
- Haehnel W. 1984. Photosynthetic electron transport in higher plants. Annu. Rev. Plant Physiol. 35, 659–693.
- Bukhov N., Egorova E., Carpentier R. 2002. Electron flow to photosystem I from stromal reductants in vivo: The size of the pool of stromal reductants controls the rate of electron donation to both rapidly and slowly reducing photosystem I units. Planta. 215, 812–820.
- Suslichenko I.S., Trubitsin B.V., Vershubskii A.V., Tikho-nov A.N. 2022. The noninvasive monitoring of the redox status of photosynthetic electron transport chains in Hibiscus rosa-sinensis and Tradescantia leaves. Plant Physiol. Biochem. 185, 233–243.
- Eberhard S., Finazzi G., Wollman F.-A. 2008. The dynamics of photosynthesis. Annu. Rev. Genet. 42, 463–515.
- Demmig-Adams B., Cohu C.M., Muller O., Adams III W.W. 2012. Modulation of photosynthetic energy conversion efficiency in nature: From seconds to seasons. Photosynth. Res. 113, 75–88.
- Foyer C.H., Neukermans J., Queval G., Noctor G., Harbinson J. 2012. Photosynthetic control of electron transport and the regulation of gene expression. J. Exp. Bot. 63, 1637–1661.
- Murchie E.H., Ruban A.V. 2020. Dynamic non-photochemical quenching in plants: From molecular mechanism to productivity. The Plant J. 101, 885–896.
- Johnson M.P., Wientjes E. 2020. The relevance of dynamic thylakoid organization to photosynthetic regulation. Biochim. Biophys. Acta. 1861, 148039.
- Ballottari M., Dall’Osto L., Morosinotto T., Bassi R. 2007. Contrasting behavior of higher plant Photosystem I and II antenna systems during acclimation. J. Biol. Chem. 282, 8946–8958.
- Kouřil, R., Wientjes, E., Bultema, J.B., Croce, R., Boekema, E. J. 2013. Highlight vs. low-light: Effect of light acclimation on photosystem II composition and organization in Arabidopsis thaliana. Biochim. Biophys. Acta. 1827, 411–419.
- Halliwell B., Gutteridge J.M.C. 2007. Free radicals in biology and medicine, fifth ed., Oxford: Oxford University, 2007.
- Wittkoop T.M., Saroussi S., Yang W., Grossman A.R. 2016. The GreenCut-Functions and relationships of proteins conserved in green lineage organisms. In: Chloroplasts: Current research and future trends. Ed. Kirchhoff H. Norfolk, UK: Caister Academic Press, p. 241–278.
- Borisova-Mubarakshina M.M., Ivanov B.N., Vetoshkina D.V., Lubimov V.Y., Fedorchuk T.P., Naydov I.A., Kozuleva M.A., Rudenko N.N., Dall’Osto L., Cazzaniga S., Bassi R. 2015. Long-term acclimatory response to excess excitation energy: Evidence for a role of hydrogen peroxide in the regulation of photosystem II antenna size. J. Exp. Bot. 66, 7151–7164.
- Ivanov B.N., Borisova-Mubarakshina M.M., Kozuleva M.A. 2018. Formation mechanisms of superoxide radical and hydrogen peroxide in chloroplasts, and factors determining the signalling by hydrogen peroxide. Funct. Plant Biol. 45, 102–110.
- Кулаева О.Н. 1982. Гормональная регуляция физиологических процессов у растений на уровне РНК и белка. М.: Наука, 82 с.
Supplementary files










