Катионные липоаминокислотные производные диэтаноламина как потенциально мембрано-активные антибактериальные агенты
- Авторы: Гусева М.К.1, Дениева З.Г.2, Буданова У.А.1, Себякин Ю.Л.1
-
Учреждения:
- МИРЭА – Российский технологический университет, Институт тонких химических технологий им. М.В. Ломоносова
- Институт физической химии и электрохимии им. А.Н. Фрумкина РАН
- Выпуск: Том 40, № 2 (2023)
- Страницы: 133-141
- Раздел: СТАТЬИ
- URL: https://journals.rcsi.science/0233-4755/article/view/135021
- DOI: https://doi.org/10.31857/S0233475523020032
- EDN: https://elibrary.ru/LANSBL
- ID: 135021
Цитировать
Полный текст
Аннотация
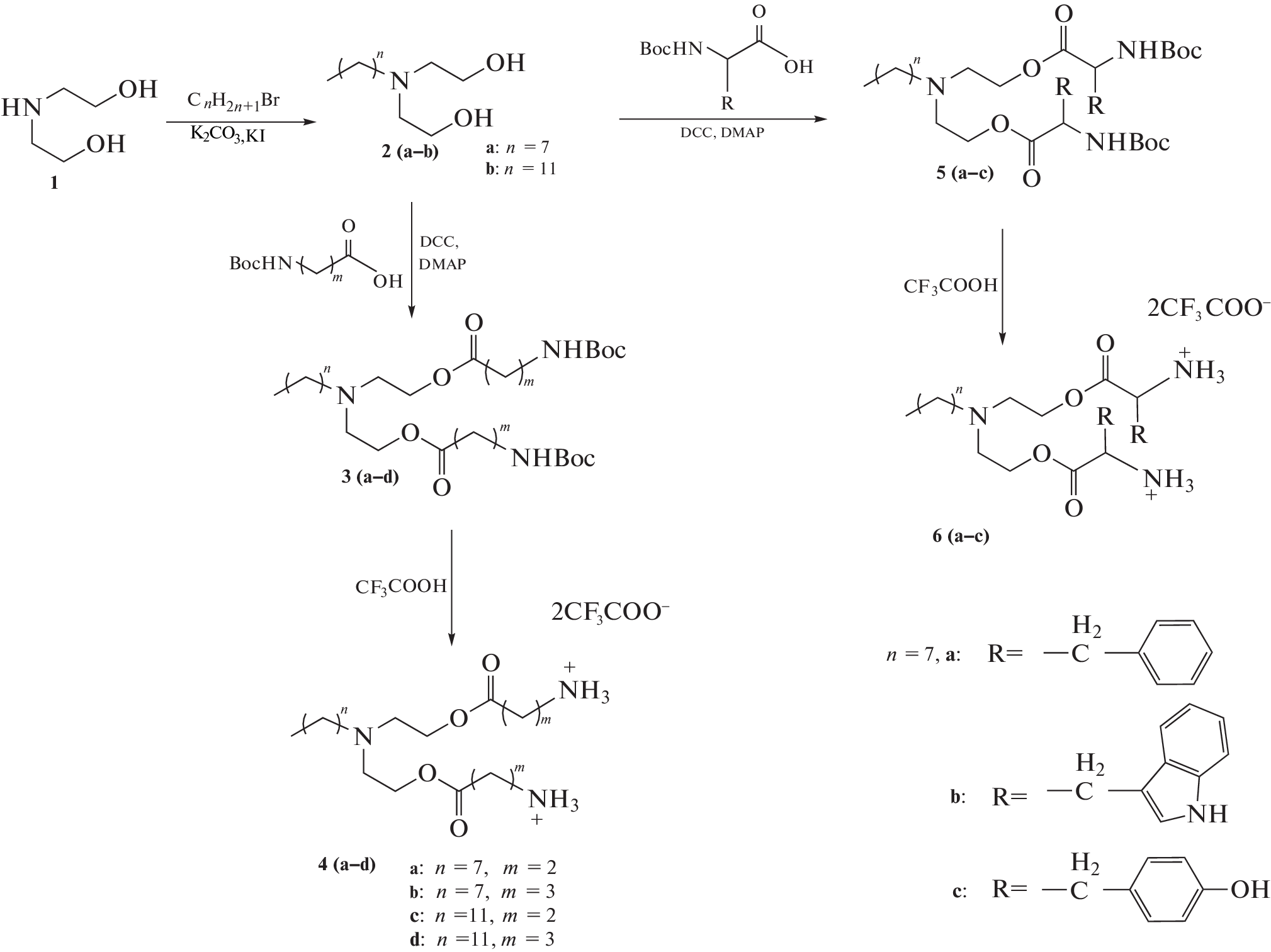
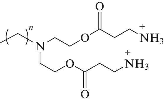
Данная работа направлена на получение ряда катионных амфифилов на основе аминокислотных производных диэтаноламина как потенциально мембрано-активных антибактериальных агентов. Разработанные соединения содержат два остатка аминокислот в полярном блоке и различаются длиной алифатических цепей в гидрофобном домене. Амфифилы получены в препаративных количествах, достаточных для подтверждения их структур и проведения исследования антибактериальной активности. Синтезированные образцы на основе β-Ala (4c) и гамма-аминомасляной кислоты (ГАМК) (4d) с алифатической цепью С12 в гидрофобном домене проявили перспективный для дальнейших исследований уровень антимикробной активности (МИК, 1 мкг/мл) в отношении грамположительных (Bacillus subtilis) и грамотрицательных (Escherichia coli) бактерий. Амфифилы, содержащие ароматические аминокислоты L-Phe (6а) и L-Trp (6b) в полярной головной группе и углеводородную цепь С8, активны в отношении бактерий B. subtilis с МИК 1 мкг/мл. Полученные данные об антимикробной активности делают отобранные соединения привлекательными для дальнейшего детального изучения их механизма действия.
Об авторах
М. К. Гусева
МИРЭА – Российский технологический университет,Институт тонких химических технологий им. М.В. Ломоносова
Email: c-221@yandex.ru
Россия, 119571, Москва
З. Г. Дениева
Институт физической химии и электрохимии им. А.Н. Фрумкина РАН
Email: c-221@yandex.ru
Россия, 119071, Москва
У. А. Буданова
МИРЭА – Российский технологический университет,Институт тонких химических технологий им. М.В. Ломоносова
Автор, ответственный за переписку.
Email: c-221@yandex.ru
Россия, 119571, Москва
Ю. Л. Себякин
МИРЭА – Российский технологический университет,Институт тонких химических технологий им. М.В. Ломоносова
Email: c-221@yandex.ru
Россия, 119571, Москва
Список литературы
- Yount N.Y., Yeaman M.R. 2004. Multidimensional signatures in antimicrobial peptides. Proc. Natl. Acad. Sci. USA. 101 (19), 7363. https://doi.org/10.1073/pnas.0401567101
- Мусин Х.Г. 2018. Антимикробные пептиды – потенциальная замена традиционным антибиотикам. Инфекция и иммунитет. 8 (3), 295.
- Rima M., Rima M., Fajloun Z., Sabatier J.-M., Bechinger B., Naas T. 2021. Antimicrobial peptides: A potent alternative to antibiotics. Antibiotics. 10 (9), 1095. https://doi.org/10.3390/antibiotics10091095
- Molchanova N., Hansen P.R., Franzyk H. 2017. Advances in development of antimicrobial peptidomimetics as hotential drugs. Molecules. 22 (9), 1430. https://doi.org/10.3390/molecules22091430
- Pirri G., Giuliani A., Nicoletto S.F., Pizzuto L., Rinaldi A.C. 2009. Lipopeptides as anti-infectives: A practical perspective. Cent. Eur. J. Biol. 4(3), 258–273. https://doi.org/10.2478/s11535-009-0031-3
- Fjell C.D., Hiss J.A., Hancock R.E. W., Schneider G. 2012. Designing antimicrobial peptides: Form follows function. Nat. Rev. Drug Discovery. 11, 37–51.
- Faber C., Stallmann H., Lyaruu D., Joosten U., Von Eiff C., van Nieuw Amerongen A., Wuisman P.I. 2005. Comparable efficacies of the antimicrobial peptide human lactoferrin 1-11 and gentamicin in a chronic methicillin-resistant Staphylococcus aureus osteomyelitis model. Antimicrob. Agents Chemother. 49 (6), 2438–2444. https://doi.org/10.1128/AAC.49.6.2438-2444.2005
- Lin L., Chi J., Yan Y., Luo R., Feng X., Zheng Y., Xian D., Li X., Quan G., Liu D, Wu C., Lu C., Pan X. 2021. Membrane-disruptive peptides/peptidomimetics-based therapeutics: Promising systems to combat bacteria and cancer in the drug-resistant era. Acta Pharm. Sin. B. 11 (9), 2609. https://doi.org/10.1016/j.apsb.2021.07.014
- Tague A.J., Putsathit P., Hammer K.A., Wales S.M., Knight D.R., Riley T.V., Keller P.A., Pyne S.G. 2019. Cationic biaryl 1,2,3-triazolyl peptidomimetic amphiphiles: Synthesis, antibacterial evaluation and preliminary mechanism of action studies. Eur. J. Med. Chem. 168, 386. https://doi.org/10.1016/j.ejmech.2019.02.013
- Mojsoska B., Jenssen H. 2015. Peptides and peptidomimetics for antimicrobial drug design. Pharmaceuticals (Basel). 8(3), 366–415. https://doi.org/10.3390/ph8030366
- Zhang E., Bai P.-Y., Cui D.-Y., Chu W.-C., Hua Y.-G., Liu Q., Yin H.-Y., Zhang Y.-J., Qin S., Liu H.-M. 2018. Synthesis and bioactivities study of new antibacterial peptide mimics: The dialkyl cationic amphiphiles. Europ. J. Med. Chem. 143, 1489–1509. https://doi.org/10.1016/j.ejmech.2017.10.044
- Su M., Xia D., Teng P., Nimmagadda A., Zhang C., Odom T., Cao A., Hu Y., Cai J. 2017. Membrane-active hydantoin derivatives as antibiotic agents. J. Med. Chem. 60 (20), 8456. https://doi.org/10.1021/acs.jmedchem.7b00847
- Konai M.M., Ghosh C., Yarlagadda V. 2014. Membrane active phenylalanine conjugated lipophilic norspermidine derivatives with selective antibacterial activity. J. Med. Chem. 57, 9409–9423. https://doi.org/10.1021/jm5013566
- Ghosh C., Sarkar P., Samaddar S., Uppua D., Haldar J. 2017. L-Lysine based lipidated biphenyls as agents with anti-biofilm and anti-inflammatory properties that also inhibit intracellular bacteria. Chem. Commun., 53, 8427–8430. https://doi.org/10.1039/C7CC04206J
- Lohan S., Kalanta A., Sonkusre P., Cameotra S.S., Bisht G.S. 2014. Development of novel membrane active lipidated peptidomimetics active against drug resistant clinical isolates. Bioorg. & Med. Chem., 22, 4544–4552. https://doi.org/10.1016/j.bmc.2014.07.041
- Schnaider L., Brahmachari S., Schmidt N.W., Mensa B., Shaham-Niv S., Bychenko D., Adler-Abramovich L., Shimon L.J.W., Kolusheva S., DeGrado W.F., Gazit E. 2017. Self-assembling dipeptide antibacterial nanostructures with membrane disrupting activity. Nat. Commun. 8 (1), 1365. https://doi.org/10.1038/s41467-017-01447-x
- Shahane G., Ding W., Palaiokostas M., Azevedo H.S., Orsi M. 2019. Interaction of antimicrobial lipopeptides with bacterial lipid bilayers. J. Membr. Biol. 252 (4–5). 317. https://doi.org/10.1007/s00232-019-00068-3
- Yar M., Mushtaq N., Afzal S. 2013. Synthesis, reactions, applications, and biological activity of diethanolamine and its derivatives. Russ. J. Org. Chem. 49 (7) 949–967. https://doi.org/10.1134/S1070428013070014
- Denieva Z.G., Romanova N.A., Bodrova T.G., Budanova U.A., Sebyakin Yu.L. 2019. Synthesis of amphiphilic peptidomimetics based on the aliphatic derivatives of natural amino acids. Moscow Univ. Chem. Bull. 74 (6), 300–305. https://doi.org/10.3103/S0027131419060087
- Makovitzki A., Baram J., Shai Y. 2008. Antimicrobial lipopolypeptides composed of palmitoyl di- and tricationic peptides: in vitro and in vivo activities, self-assembly to nanostructures, and a plausible mode of action. Biochemistry. 47 (40), 10630. https://doi.org/10.1021/bi8011675
Дополнительные файлы











