Influence of Perfluorocarbon Nanoparticles on Blood As a Cellular System
- Authors: Kuznetsova I.N.1, Lyanguzov A.Y.2
-
Affiliations:
- Russian Research Institute of Hematology and Transfusiology
- St.-Petersburg State University
- Issue: Vol 40, No 2 (2023)
- Pages: 83-91
- Section: ОБЗОРЫ
- URL: https://journals.rcsi.science/0233-4755/article/view/135008
- DOI: https://doi.org/10.31857/S0233475523010061
- EDN: https://elibrary.ru/CNUXXW
- ID: 135008
Cite item
Full Text
Abstract
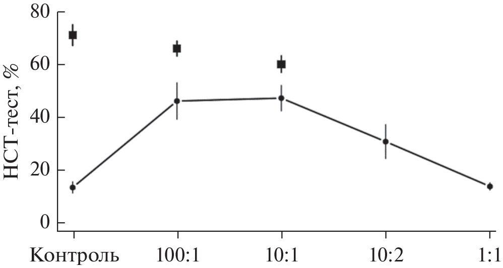
The influence of perfluorocarbon (PFС) nanoparticles on functioning of blood cells is considered. Emulsified PFC nanoparticles in small volumes affect the gas transport function of the blood by increasing the rate of oxygen diffusion from erythrocytes to tissues. PFC nanoparticles were found to affect blood cells (erythrocytes, leukocytes, platelets) in a dose-dependent manner. It is assumed that depending on the emulsion dose, i.e., the density of nanoparticles in the surrounding milieu, the response of the cell receptor apparatus can cause activation or deterioration of the cell functioning.
Keywords
About the authors
I. N. Kuznetsova
Russian Research Institute of Hematology and Transfusiology
Author for correspondence.
Email: kuz-ir@inbox.ru
Russia, 191024, St. Petersburg
A. Yu. Lyanguzov
St.-Petersburg State University
Email: kuz-ir@inbox.ru
Russia, 199034, St. Petersburg
References
- Riess J.G., Flaim S.F., Klein D.H., Weers J.G. 1995. The relative physicochemical and biological atrtributes of perflubron emulsions. В сб.: Физиологическая активность фторсодержащих соединений (эксперимент и клиника). Ред. Воробьев С.И., Иваницкий Г.Р. Пущино, с. 73–90.
- Coch C.S., Cushing M.M. 2009. Oxygen therapeutics: Perfluorocarbons and blood substitute safety. Crit. Care Clin. 25, 399–414. https://doi.org/1016/j/ccc. 2008.12.007
- Henkel-Hanke T., Oleck M. 2007. Artificial oxygen carriers: A current review. Am. As. Nurse Anest. J. 75 (3), 205–211.
- Маевский Е.И., Аксёнова О.Г., Богданова Л.А., Иваницкий Г.Р. 2004. Анализ побочных клинических эффектов, выявленных в ходе I–II фазы клинических исследований Перфторана. Вестник службы крови России. (4), 23–29.
- Vercellotti G.M., Hammerschmidt D.E., Craddock P.R., Jacob H.S. 1982. Activation of plasma complement by perfluorocarbon artificial blood: Probable mechanism of adverse pulmonery reactions in treated patients and rationale corticosteroids prophylaxis. Blood. 59, 1299–1304.
- Flaim S.F. 1994. Pharmacokinetics and side effects of perfluorocarbon-based blood substitutes (review). Artif. Cells, Blood Substit. Immobil. Biotechnol. 22, 1043–1054.
- Ложкина А.Н. 1987. Участие системы комплемента в регуляции сиcтемы гомеостаза. Успехи современной биологии. 104 (4). 36–54.
- Лысенок П.Н. 2005. Биоматериаловедение: вклад в прогресс современных медицинских технологий. Клеточная трансплантология и тканевая инженерия. (2), 56–61.
- Кузнецова И.Н., Безрукова А.Г., Лопатин В.Н., Паршин А.В. 1988. Определение показателя преломления и толщины оболочки частиц дисперсного кровезаменителя на основе перфторсоединений. Биофизика. 33 (1), 126–129.
- Naito R., Yokoyama K. 1978. Perfluorochemical blood substitutes. Technical Information Series No. 5. Chome, Joto-ku, Osaka, Japan: The Green Cross Corporation, p. 1–47.
- Накагаки М. 1991. Физическая химия мембран. М.: Мир. 254 с.
- Кузнецова И.Н. 1999. Функциональная активность и стабильность эмульсий перфторуглеродов. Автореф. дис. докт. биол. наук. С.-Петербург: РосНИИГТ. 38 с.
- Кленин В.И., Щеголев С.Ю., Лаврушин В.И. 1977. Характеристические функции светорассеяния дисперсных систем. Саратов: Изд-во Саратовского ун-та. 177 с.
- Кузнецова И.Н., Кругляк З.А. 1987. Определение размеров частиц водных дисперсных препаратов методом спектротурбидиметрии. Хим.-фарм. журн. 31 (12), 1492–1503.
- Кузнецова И.Н., Гохман Н.С., Лаврова Ю.В. 1993. Взаимодействие частиц эмульсий перфторуглеродов с сывороткой крови. Журн. физ. химии. 67 (9), 1884–1888.
- Кузнецова И.Н., Юрченко В.С. 2006. Стабильность структуры эмульсий на основе перфторуглеродов и фосфолипидов при хранении. Хим.-фарм. журн. 40 (12), 35–38.
- Kuznetsova I.N. 2015. About mechanism of gas transport function and side reactions of perfluorocacbon nano-dispersions. Current Bionanotechnology. 1, 51–59.
- Мусил Я., Новакова О., Кунц К. 1984. Современная биохимия в схемах. Пер. с англ. М.: Мир. 213 с.
- Miuro K., Watanabe H., Kato H. 1983. Study of the behavior of uptake and release of oxygen into perfluorocarbon-water emulsion. Bull. Chem. Soc. Japan. 56 (2), 386–388.
- арицкий А.Р., Кузнецова И.Н., Переведенцева Е.В., Фок М.В. 1993. Влияние эмульсий перфторуглеродов на скорость оксигенации и деоксигенации крови. Журн. физ. химии. 67 (3), 591–594.
- Чижевский А.Л. 1959. Структурный анализ движущейся крови. М.: АН СССР. 474 с.
- Кузнецова И.Н. 2001. Влияние эмульсий перфторуглеродов на реологические параметры крови. Биофизика. 46 (4), 761–765.
- Кузнецова И.Н. 2001. О воздействии эмульсий перфторуглеродов на организм. В сб. Перфторуглеродные соединения в биологии и медицине. Ред. Иваницкий Г.Р., Мороз В.В. Пущино, с. 70–76.
- Кузнецова И.Н., Волкова С.Д., Рыбакова Л.П., Юрченко В.С., Кочеткова Г.А. 2009. Эмульсии перфторуглеродов влияют на морфофункциональное состояние клеток крови – эритроцитов и лейкоцитов in vitro. Вестн. службы крови России. (2), 23–26.
- Волкова С.Д., Кузнецова И.Н., Бессемельцев С.С. 2014. Влияние эмульсий перфторуглеродов на фукциональное состояние клетки крови. Medline.ru (Биомедицинский журнал). 15 (статья 12), 117–133.
- Тарковская Л. Р., Кузнецова И. Н., Морозова Т. В., Папаян Л. П. 2009. Дозозависимое влияние эмульсий перфторуглеродов на индуцируемую агрегацию тромбоцитов. Вестн. службы крови России. (3), 25–30.
- Филёв Л.В., Захаров И.И., Селиванова Г.В. 1989 Цитоспектрофотометрическое исследование гемоглобина в эритроцитах человека. Цитология. 31 (3), 336–343.
- Нагоев Б.С., Шубич М.Г. 1981. Значение теста восстановления нитросинего тетразолия для изучения функциональной активности лейкоцитов. Лаб. дело. (4), 195–198.
- Егорова А.П., Лебединский В.А. 1949. Значение фагоцитарной реакции в определении инвазивности гемолитического стрептококка. Микробиол. и эпидемиол. (5), 8–9.
- Савченко З.И., Ерасова В.И. 1981. Функциональное состояние нейтрофилов периферической крови у больных бронхиальной астмой. Лаб. дело. (11), 661–664.
- The R Project for Statistical Computing. https://www.r-project.org.
- Вавилова Т.В., Головина О.Г., Зайнулина М.С., Иванов И.В., Миндукшев И.В., Папаян Л.П., Петищев Н.Н., Шитикова А.С., Эмануэль В.Л. 1999. Гемостаз. Физиологические механизмы, принципы диагностики основных форм геморрагических заболеваний. Ред. Петрищев Н.Н., Папаян Л.П. С.-Петербург: Изд-во СПБГМУ. 117 с.
- Кузнецова И.Н., Юрченко В.С., Кочеткова Г.А. 2012. Стабильные нанодисперсии на основе перфторуглеродов и фосфолипидов. Хим.-фарм. журн. 46 (2), 52–56. https://doi.org/10/1007/s 11094-0120-0745-9
- Кузнецова И.Н., Старицына Н.Н., Лянгузов А.Ю. 2020. Биофизические свойства и стабильность наночастиц на основе перфторуглеродов и фосфолипидов. Журн. физ. химии. 94 (3), 443. https://doi.org/10.31857/S0044453720020211
Supplementary files








