Biological activity of carnitine 2-ethyl-6-methyl-3-hydroxypyridine
- Authors: Zhigacheva I.V.1, Rusina I.F.2, Krikunova N.I.1, Veprintsev T.L.1, Kuznetsov Y.V.1, Rasulov M.M.3
-
Affiliations:
- Emanuel Institute of Biochemical Physics, Russian Academy of Sciences
- Semenov Federal Research Center for Chemical Physics, Russian Academy of Sciences
- State Research Institute of Chemistry and Technology of Organoelement Compounds
- Issue: Vol 43, No 9 (2024)
- Pages: 61-68
- Section: Chemical physics of biological processes
- URL: https://journals.rcsi.science/0207-401X/article/view/282080
- DOI: https://doi.org/10.31857/S0207401X24090073
- ID: 282080
Cite item
Full Text
Abstract
The antiradical properties and biological activity of carnitine 2-ethyl-6-methyl-3-hydroxypyridine (СP) were investigated. The drug had high antiradical activity. In the concentration range 10-6–10-9M, CP prevented the activation of lipid peroxidation in the membranes of mouse liver mitochondria incubated in a hypotonic medium. Such an incubation caused a change in the fatty acid (FA) composition of the lipid component of mitochondrial membranes: the total relative percentage of 18:2ω6, 18:1ω9 and 22:6ω3 – the main FAs that make up cardiolipin decreased by 8.1%. The introduction of CP into the incubation medium led not only to the restoration of the pool of these FAs, but also to an increase in their content by 15%, which, possibly, contributed to an increase in the efficiency of mitochondrial functioning and an increase in the body’s resistance to stress.
Full Text
ВВЕДЕНИЕ
В условиях стресса в результате активации симпатоадреналовой системы и выхода Са2+ из сосудистого русла в клетки происходит повышение внутриклеточного содержания этих ионов. При этом наблюдается накопление Ca2+ в митохондриях, что влечет за собой увеличение генерации активных форм кислорода (АФК), активных форм азота (АФА) и нарушение биоэнергетических функций этих органелл [1].
Избыточная генерация АФК, может вызвать окисление тиоловых групп белков, перекисное окисление липидов мембран, прежде всего кардиолипина, и набухание митохондрий. Следствием “перекисного” набухания митохондрий (или образования больших пор во внешней мембране) является высвобождение апоптогенных белков из межмембранного пространства в цитоплазму и активация митохондриального пути апоптоза [2]. Кроме того, избыточная генерация АФК может оказывать влияние на функциональное состояние редокс-чувствительных внутриклеточных сигнальных путей запуска программы клеточной гибели [3, 4].
В связи с этим предположили, что препараты, снижающие избыточную генерацию АФК электрон-транспортными путями, будут повышать устойчивость организма к окислительному стрессу. К таким препаратам в первую очередь относятся антиоксиданты. В своей работе мы использовали производные 3-гидроксипиридинов. Данный выбор основан на том, что производные 3-гидроксипиридинов (3-ГП) обладают широким спектром биологического действия. Они являются структурными аналогами соединений группы витамина В6, играющих важную роль в жизнедеятельности организма [5].
На основе этих данных объектом исследования был новый синтезированный препарат производного 3-гидроксипиридина и карнитина – карнитината 2-этил-6-метил-3-гидроксипиридина (КП). Поскольку в условиях стресса митохондрии являются одним из основных источников избыточной генерации АФ, исследовали влияние КП на функциональное состояние митохондрий печени мышей в стрессовых условиях. Цель исследования заключалась в исследовании антирадикальных, антиоксидантных свойств КП и изучения возможности его использования в качестве антистрессового препарата.
МАТЕРИАЛЫ И МЕТОДЫ
Химический синтез КП. Карнитинат 2-этил-6-метил-3-гидроксипиридин синтезирован сотрудниками ИБХФ и ФИЦ ХФ РАН и зарегистрирована заявка на патент РФ (номер заявки 2023117835).
Антирадикальные свойства препарата оценивали хемилюминесцентным методом по эффекту торможения жидкофазного окисления этилбензола (RH), которое инициировали термическим распадом азобисизобутиронитрила (АИБН) при температуре 50 °С. Интенсивность хемилюминесценции (ХЛ) усиливали за счет переноса энергии на эффективный люминофор – 9,10-дибромантрацен (ДБА) и регистрировали на хемилюминометре с фотосенсорным модулем Н7467 (Производства компании Hamamatsu (Japan). Эффективную константу ингибирования свободнорадикального окисления (kInH) рассчитывали из серии кинетических кривых тушения ХЛ с разной концентрацией КП [6]. Концентрации компонентов в реакционном растворе: [KП] = 5.2 · 10-6 M; 20%-ный раствор этилбензола в хлорбензоле; [АИБН] = 2 · 10-3 M; [ДБА] = 5 · 10-3 M. Реакционным сосудом служила термостатированная при 50 °C цилиндрическая стеклянная кювета. Реакционную смесь барботировали воздухом для ее насыщения кислородом и перемешивания.
Работу проводили на мышах линии Balb/c весом 20–25 г. и проростках пшеницы (Triticum L.), сорт Каликсо.
Выделение митохондрий печени проводили методом дифференциального центрифугирования [7]. Первое центрифугирование при 600g в течение 10 мин, второе – при 9000g, в течение 10 мин. Осадок ресуспендировали в среде выделения. Соотношение ткань: среда – 1: 0.25. Среда выделения: 0.25 М сахарозы, 10 мМ 4-(2-гидроксиэтил) -1- пиперазинэтансульфоновой кислоты (HEPES), pH=7.4.
Проращивание семян пшеницы. Семена пшеницы промывали водой и 0.01%-ным раствором KMnO4. Затем контрольные семена замачивали в воде, а опытные – в 2.48 · 10-3 и 1.20 · 10-3 М водных растворах КП. Семена проращивали в чашках Петри на влажной фильтровальной бумаге в течение 9 дней.
Уровень перекисного окисления липидов (ПОЛ) оценивали флуоресцентным методом [8]. Липиды экстрагировали смесью хлороформ: метанол в соотношении 2 :1 (по объему) из митохондрий, содержащих 3–5 мг белка. Соотношение митохондрий и смеси хлороформ – метанол равно 1 : 10. Регистрацию флуоресценции проводили в десятимиллиметровых кварцевых кюветах на спектрофлуориметре серии FluoroMax (производства компании HoribaYvonGmbH (Germany). В контрольную кювету добавляли 3 мл хлороформа, а затем 0.3 мл метанола. Длина волны возбуждения флуоресценции была 360 нм, испускания – 420–470 нм Результаты выражали в условных единицах флуоресценции, пересчитанных на 1 мг белка.
Исследование жирнокислотного состава мембран митохондрий печени мышей проводили методом газожидкостной хроматографии и хромато-масс-спектрометрии.
Метиловые эфиры жирных кислот (МЭЖК) получали кислотным метанолизом липидов мембран митохондрий [9, 10]. Эти эфиры экстрагировали гексаном и полученные растворы анализировали.
Определение количественного состава МЭЖК проводили на хроматографе марки Кристалл 2000М (Россия) с пламенно-ионизационным детектором и кварцевой капиллярной колонкой DB-1 (60 м × 0.32 мм × слой 0.25 мкм производства фирмы J&W Scientific, (USA). Анализ МЭЖК выполняли при программировании температуры от 120 до 270 °С со скоростью 4 °С/мин. Температура инжектора и детектора – 270 °С; скорость газа-носителя гелия составляла 2.0 мл/мин, деление потока на входе в колонку – 1 : 40. Идентификацию МЭЖК осуществляли по величинам индексов удерживания [11]. Содержание МЭЖК в образцах рассчитывали, как площади пика соответствующей кислоты к сумме площадей пиков, соответствующих найденным МЭЖК. Стандартное отклонение средних значений площадей пиков, полученных в трех измерениях, не превышало 5% (относительное значение). Математическая обработка результата проводилась с использованием Microsoft Excel и Sigma Plot 10.
Идентификацию МЭЖК в образцах осуществляли также на основе масс-спектров, полученных после разделения МЭЖК в условиях, аналогичных газохроматографическому анализу, на приборе Hewlett Packard-6890 (USA). Масс-спектры получали в режиме электронного удара при ионизирующем напряжении 70 эВ и скорости сканирования 1 с на декаду масс в области 40–400 Да.
Модель “старения” митохондрий. Выделенные митохондрии (2–3 мг белка) помещали в 0.5 мл среды, содержащей 65 мМ KCl, 10 мМ HEPES и 1 мМ КН2PО4, pH 7.4. Митохондрии инкубировали в течение 20–25 мин при комнатной температуре.
Протекторную активность препарата исследовали, используя модели острой гипобарической гипоксии, острой гемической гипоксии, острой цитотоксической гипоксии.
Острую гипобарическую гипоксию у мышей линии Balb/c моделировали в стеклянной барокамере в атмосфере низкого давления, (206 Торр), что соответствует высоте 11 000 м над уровнем моря. В первые минуты в камере создавали разрежение, соответствующее 5 тыс м (давление – 405 Торр) над уровнем моря. В каждую последующую минуту проводили “подъем” еще на одну тысячу метров. (Регистрировали время пребывания мышей “на высоте” 11.0 м над уровнем моря.)
Острую гемическую гипоксию вызывали путем внутрибрюшинного введения мышам линии Balb/c нитрита натрия в дозе 250 мг/кг.
Острую цитотоксическую гипоксию вызывали путем внутрибрюшинного введения мышам азида натрия из расчета 20 мг/кг.
В эксперименте использовали реактивы следующих фирм: метанол, хлороформ, карбонат калия – Merck (Germany), сахароза; Трис – Sigma Aldrich (USA); HEPES – МР Biomedicals (Germany); гексан – Panreac (Spain); ацетилхлорид – Acros (Belgium).
РЕЗУЛЬТАТЫ И ИХ ОБСУЖДЕНИЕ
Кинетическая кривая ингибированного окисления этилбензола в присутствии исследуемого ингибитора KП в концентрации 5.2·10-6 M представлена на рис.1. Видно, что интенсивность ХЛ (I) сразу после введения КП резко снижается, а затем, по мере его расходования, она постепенно восстанавливается до стационарного уровня ХЛ. Время полувосстановления интенсивности ХЛ, когда I становится равной половине начального значения (I0), называют “периодом индукции” – t0.5.
Рис. 1. Кинетическая кривая тушения хемилюминесценции, сопровождающей инициированное окисление этилбензола карнитинатом 2-этил-6-метил-3-гидроксипиридина, при [КП]0 = 5.2·10-6M; Wi =1.12.10-8 M·c-1; активатор – [ДБА] =5.10-3М; 50 ˚C; t0.5 – период торможения окисления.
Максимальный наклон (tgφ) кинетической кривой тушения свечения ХЛ в точке перегиба определяется следующим образом:
(1)
Тогда расчетное соотношение для константы скорости реакции антиоксиданта с перекисным радикалом, kinh, имеет вид
(2)
где Wi – скорость инициирования радикалов рассчитывали по формуле Wi = 2еk0[АИБН], (е – эффективность выхода радикалов из клетки, k0 – константа скорости распада инициатора АИБН [13, 14]); Тsec= 1/tgφ, kt – константа скорости диспропорционирования пероксильных радикалов этилбензола:
Для концентрации инициатора [АИБН] = = 2 · 10-3 M при температуре реакции 50 °C скорость инициирования радикалов составила: Wi = = 1.12 · 10-8 М · с-1. При известных значениях Wi и 2kt из кинетической кривой определяется kinh. Для исследуемого КП расчитанное значение kinh = = 2.3 · 105 (M · с)–1. Аналогичное исследование для карнитина показало, что его добавки не влияют на интенсивность ХЛ, т.е. нет прямой реакции с пероксидными радикалами и антирадикальная активность отсутствует.
Величина площади светосуммы над кинетической кривой тушения ХЛ антиоксидантом является количественной характеристикой стехиометрического коэффициента ингибирования f, который показывает, сколько пероксильных радикалов погибло на ингибиторе с момента его введения до полного расходования, и вычисляется по формуле [12]
(3)
В табл. 1 приведены для сравнения значения kinh и стехиометрического коэффициента f некоторых известных антиоксидантов, в том числе “классического” антиоксиданта – α-токоферола. Из этой таблицы видно, что КП проявляет высокую антирадикальную активность и, по-видимому, может обладать антистрессовыми свойствами за счет ингибирования свободнорадикальных процессов.
Таблица 1. Сравнительная антиокислительная активность антиоксидантов.
Антиоксидант | kinh . 10-4, (M . c)-1 | f | Температура реакции, о С | Ссылка |
Соль карнитината 2-этил-6-метил-3-гидроксипиридина | 23.0 | 2 | 50 | - |
2-этил-6-метил-3-гидроксипиридин | 3.3 | 2 | 60 | [12] |
Мексидол | 4.7 | 2 | 60 | [12] |
Ресвератрол | 23.6 | 2.1 | 50 | [14] |
Ионол | 2.0 | 1.9 | 60 | [12] |
Пирокатехин (o-дигидроксибензол) | 60.0 | 2 | 60 | [16] |
6-гидрокси-2,2,5,7,8-пентаметилхроман (CrC1) | 450 | 2 | 60 | [16] |
α-Токоферол | 450 | 2 | 60 | [23] |
α-Токоферол | 300 | 2 | 50 | [13] |
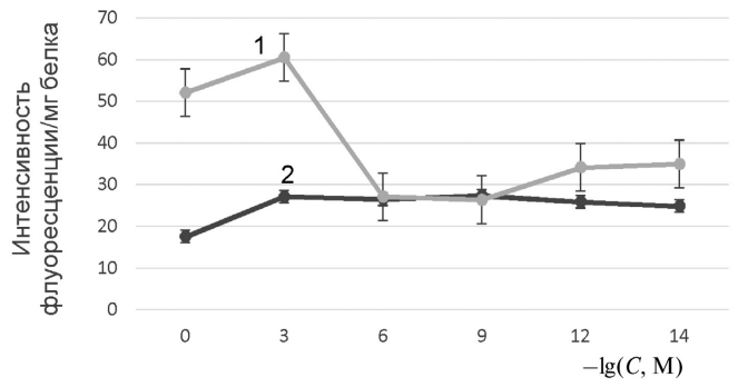
В условиях стресса одним из основных источников активных форм кислорода являются митохондрии [15]. Увеличение генерации АФК митохондриями может быть достигнуто при помещении их в гипотоническую среду (модель “старения”). Инкубация митохондрий в такой среде вызывает слабое набухание этих органелл, чему способствует наличие в среде инкубации 1 мМКН2РО4, который также активирует образование АФК [16, 17]. Действительно, “старение” митохондрий активировало свободнорадикальные процессы в мембранах этих органелл, а следовательно, и перекисное окисление липидов, интенсивность которого регистрировали по флуоресценции его продуктов – оснований Шиффа (рис. 2). При этом интенсивность флуоресценции продуктов ПОЛ возрастала в 2.0–2.5 раза.
Рис. 2. Влияние “старения” и различных концентраций КП на интенсивность флуоресценции продуктов перекисного окисления липидов в мембранах митохондрий печени мышей. По оси ординат – интенсивность флуоресценции в усл. ед./мг белка; по оси абсцисс – концентрация КП; 1 – “старение” + КП; 2 – контроль + КП.
Введение КП в среду инкубации митохондрий приводило к снижению интенсивности флуоресценции продуктов ПОЛ почти до контрольных значений, что, вероятно, свидетельствует о наличии у препарата антистрессовых свойств. При этом наиболее эффективными были концентрации 10-6 и 10-9 М. Эти данные свидетельствуют о возможности использования препарата в таких концентрациях для защиты от оксидативного стресса. В концентрации 10-3 М препарат имел тенденцию к увеличению интенсивности ПОЛ в мембранах митохондрий, что указывает на необходимость четко придерживаться концентраций, в которых КП проявляет антиоксидантный эффект.
Активация перекисного окисления липидов в результате инкубации митохондрий в гипотонической среде, очевидно, должна была отразиться на ЖК-составе липидной фракции мембран митохондрий. Изменения наблюдались в содержании жирных кислот, содержащих 18 углеродных атомов (С18ЖК). Так индекс ненасыщенности С18ЖК снижался с 0.35 ± 0.02 до 0.28 ± 0.01 (рис. 3).
Рис. 3. Индекс ненасыщенности С18 ЖК: 1 – контроль; 2 – инкубация в гипотонической среде; 3 – инкубация в гипотонической среде с введением в неt 10-9 М КП; 4 – инкубация в гипотонической среде с введением в неt 10-6 М КП.
Инкубация митохондрий в гипотонической среде, содержащей КП приводила к восстановлению индекса ненасыщенности С18ЖК. Отметим, что введение в среду инкубации КП в концентрации 10-9 М вызывало увеличение этого показателя до 0.65 ± 0,04. При этом самые большие изменения наблюда ются в содержании 18:2ω6, 18:1ω9 и 22:6ω3 – основных ЖК, входящих в состав кардиолипина [18]. Их суммарное относительное процентное содержание в общей липидной фракции митохондрий изменялось от (31.69 ± 0.4)% в контрольной группе до (29.08 ± 0.3)% в мембранах “стареющих” митохондрий и до (32.17 ± 0.1)% и (36.48 ± 0.5)% в мембранах митохондрий, инкубируемых в гипотонической среде, содержащей 10-6 и 10-9 М КП соответственно. Это, возможно, способствовало повышению эффективности функционирования митохондрий и устойчивости организма к стрессовым воздействиям.
Действительно, введение 10-6 моль/кг КП в течение 5 дней в 2.9–4.4 раза увеличивало продолжительность жизни и на 14–27% повышало выживаемость мышей в условиях различных видов гипоксии (табл. 2).
Таблица 2. Протекторная активность карнитината N- 2-этил-6-метил-3-гидроксипиридина (представлены результаты 10 опытов)
Воздействие | Измеряемый параметр | Значение параметра | |
контроль | [КП]. 10-6 моль/кг | ||
Подъем на высоту ١١.0 тыс. м (гипобарическая гипоксия) | Время жизни, мин % выживших | 3.8 ± 1,5 15% | 16.7 ± 2,0 42% |
Инъекция нитрита натрия ٢٥٠ мг/кг (гемическая гипоксия) | Время жизни, мин % выживших | 4.0 ± 1,2 12% | 14.7 ± 1,8 36% |
Инъекция азида натрия ٢٠ мг/кг (цитотоксическая гипоксия) | Время жизни, мин % выживших | 2.5 ± 0,5 0% | 7.3 ± 1.2 25% |
Более того, обработка семян пшеницы КП в концентрации 1.2 · 10-3 М увеличивала прирост зеленой массы растений в 1.5 раза, а обработка 2.48 · 10-3 М препарата – в 1.7 раза.
Таким образом, препарат кроме антистрессовых свойств обладает и свойствами регулятора роста растений.
ЗАКЛЮЧЕНИЕ
Полученные данные свидетельствуют о том, что защитный эффект препарата обусловлен его антирадикальными и антиоксидантными свойствами. Действительно производные 3-гидроксипиридина (являются гетероциклическими аналогами ароматических фенолов и в связи с этим проявляют антиоксидантные и антирадикальные свойства [19].
3-гидроксипиридины могут оказывать влияние на активность мембраносвязанных ферментов (фосфодиэстеразу, аденилатциклазу) и ингибировать свободнорадикальные стадии синтеза простагландинов. Связываясь с цитохромом Р-450, они ингибируют свободнорадикальные процессы в микросомах печени, снижая активность микросомальных реакций, вовлеченных в метаболизм полициклических ароматических углеводородов, тем самым уменьшая токсическое и канцерогенное действие последних [5].
Второй компонент комплекса – L-карнитин, облегчая транспорт свободных жирных кислот из цитозоля в митохондрии, необходим для обеспечения нормального функционального состояния этих органелл [20]. Антистрессовые свойства карнитина обусловлены его способностью блокировать процессы апоптоза. Высказано предположение о том, что антиапоптотическое действие карнитина связано с большей сохранностью уровня кардиолипина в условиях ишемии при его введении в организм [21].
Таким образом, препарат снижает интенсивность процессов свободнорадикального окисления, что находит отражение в низкой интенсивности ПОЛ и способствует сохранению ненасыщенных С18ЖК в общей липидной фракции мембран митохондрий, в первую очередь линолевой кислоты – одной из основных жирных кислот, входящих в состав кардиолипина [22]. Это увеличение, по-видимому, обусловлено не только антиоксидантными свойствами 3-гидроксипиридина, но и влиянием входящего в состав препарата L-карнитина, предотвращающего окисление кардиолипина в условиях стресса, что является механизмом биохимической адаптации. Сохраняя пул 18:2ω6 в мембранах митохондрий при стрессе, препарат, вероятно, способствует сохранению пула кардиолипина, обеспечивающего эффективное функционирование митохондрий, а следовательно, и поддержание энергетического метаболизма клетки. Это содействует повышению устойчивости организма к стрессовым факторам.
Исследования биологической активности карнитината 2-этил-6-метил-3-гидроксипиридина в данной работе финансировалась за счет средств бюджета Федерального государственного бюджетного учреждения науки Института биохимической физики им. Н.М. Эмануэля Российской академии наук. Синтез карнитинат 2-этил-6-метил-3-гидроксипиридина и исследования антирадикальных свойств карнитинат 2-этил-6-метил-3-гидроксипиридина и его влияния на прирост зеленой биомассы и корней пшеницы финансировалась за счет средств бюджета Федерального исследовательского центра химической физики им Н.Н. Семёнова Российской академии наук. Никаких дополнительных грантов на проведение или руководство данным конкретным исследованием получено не было.
About the authors
I. V. Zhigacheva
Emanuel Institute of Biochemical Physics, Russian Academy of Sciences
Author for correspondence.
Email: zhigacheva@mail.ru
Russian Federation, Moscow
I. F. Rusina
Semenov Federal Research Center for Chemical Physics, Russian Academy of Sciences
Email: zhigacheva@mail.ru
Russian Federation, Moscow
N. I. Krikunova
Emanuel Institute of Biochemical Physics, Russian Academy of Sciences
Email: zhigacheva@mail.ru
Russian Federation, Moscow
T. L. Veprintsev
Emanuel Institute of Biochemical Physics, Russian Academy of Sciences
Email: zhigacheva@mail.ru
Russian Federation, Moscow
Y. V. Kuznetsov
Emanuel Institute of Biochemical Physics, Russian Academy of Sciences
Email: zhigacheva@mail.ru
Russian Federation, Moscow
M. M. Rasulov
State Research Institute of Chemistry and Technology of Organoelement Compounds
Email: zhigacheva@mail.ru
Russian Federation, Moscow
References
- V.E. Pozhilova, E.V., Novikov, O.S Levchenkova. Bulletin of the Smolensk State Med. Academies. 14 (2). 13-21 (2015).
- C. Munoz-Pinedo, A. Guıo-Carrion, J.C. Goldstein et al. PNAS. 103 (31). 11573–11581 (2006).
- Maureen Redza-Dutordoir, Diana A. Averill-Bates. BBA. Molecular Cell Research. 1863 (12). 2977-2992 (2016).
- M. Schieber, N.S. Chandel. Curr. Biol. 24 (10). R453–R462 (2014). https://doi.org/10.1016/j.cub.2014.03.034
- V.E. Novikov and S.O. Losenkova. Reviews on clinical pharmacology and medicinal. therapy. 3 (I). 2-14 (2004).
- V.Ya. Shlyapintokh, O.N. Karpukhin, L.M.Postnikov et al. Chemi-luminescent methods for studying slow chemical processes.(M., Science, 1966).
- E.N. Mokhova, V.P. Skulachev, I.V. Zhigacheva. BBA. 501 (3). 415-423 (1978). https://doi.org/10.1016/0005-2728(78)90109-3
- B.I. Fletcher, C.D. Dillard, A.L. Tappel. Anal. Biochem. 52. 1–9 (1973).
- J.P. Carreau, J.P. Dubacq. J Chromatogr. 151 (3). 384-390 (1979). doi: 10.1016/S0021-9673(00)88356-9Get.
- J. Wang, H. Sunwoo, G. Cherian, I. S. Sim. Poult. Sci. 79 (8). 1168-1171 (2000). https://doi.org/10.1093/ps/79.8.1168
- R.V. Golovina, T.E. Kuzmenko. Сhromatogr. 10 (9). 545–546. (1977).
- I.F. Rusina, O.N. Karpukhin, O.T. Kasaikina. Russian Journal of Physical Chemistry B 7 (4). 53 (2013).
- I.F. Rusina, T.L. Veprintsev, and R.F. Vasil’ev. Russian Journal of Physical Chemistry B 16 (1), 50-57 (2022) https://doi.org/10.1134/S1990793122010274
- I.V. Zhigacheva, V.I. Binyukov, I.F. Rusina et al. Russian Journal of Physical Chemistry B 14 (4). 41–48 (2020).
- D.B. Zorov, N.K. Isaev, E.Yu. Plotnikov et al. Biochemistry (Moscow). 72. 1371 (2007)
- A. Aronis, R. Komarnitsky, Shani Shilo et al. Antioxidant and redox signaling. 4(4). 647.(2004).
- B.O’Rourke. Annual Review of Physiol. 69. 19. (2007).
- G.A. Shilovsky, T.S. Putyatina, V.V. Ashapkin et al. Biochemistry (Moscow). 84 (12). 1815–1831. (2019).
- K.M. Dyumaev, L.D. Smirnov. Advances in Chemistry. 44 (10). 1788.(1975)
- K. Nomura., H. Imai, T. Koumura et al. Biochem J. 351. 183–193. (2000).
- E.I. Astashkin, M.G. Glazer // Medical Council. 10. 104–110. (2016).
- G.Paradies, V.Paradies , F. M.Ruggiero, G.Petrosillo // Cells. 2019. 8 (7). 728. https://doi.org/10.3390/cells8070728
- E.B. Burlakova, N.M. Storozhok, N.G. Khrapova //Chemical kinetics. 14(11). 29 (1995)
Supplementary files





