Метастабильные димеры метана в столкновениях с атомами инертных газов: исследование методом классических траекторий
- Авторы: Иванов С.В.1
-
Учреждения:
- Институт фотонных технологий, Федерального Научно- Исследовательского Центр «Кристаллография и фотоника» Российской Академии Наук
- Выпуск: Том 43, № 9 (2024)
- Страницы: 3-18
- Раздел: Элементарные физико-химические процессы
- URL: https://journals.rcsi.science/0207-401X/article/view/282069
- DOI: https://doi.org/10.31857/S0207401X24090013
- ID: 282069
Цитировать
Полный текст
Аннотация
Образование столкновительных комплексов, также называемых квазикомплексами (QC), метастабильными димерами или резонансами Фешбаха, исследовано для систем CH4–He, Ne, Ar методом классических траекторий. В расчетах использовались точные 3D классические уравнения Гамильтона в переменных действие–угол и точные неэмпирические поверхности потенциальной энергии межмолекулярного взаимодействия. Выбор параметров столкновений проводился методом Монте-Карло. Выполнен статистический анализ параметров QC, образующихся в столкновениях. Показано, что QC могут быть как короткоживущими, так и долгоживущими и характеризуются разнообразием межчастичных расстояний. Среди общего числа столкновений доля QC быстро растет с понижением температуры. Приводятся формулы, выявляющие вклад QC в сечения вращательной RT-релаксации CН4. Показано, что в рассмотренных смесях метана RT-релаксация в столкновениях с образованием QC оказывается гораздо более эффективной, чем в обычных неупругих соударениях.
Полный текст
1. ВВЕДЕНИЕ
Столкновительные комплексы
Столкновительные комплексы играют важную роль в динамике молекулярных реакций [1, 2], химических процессах в различных средах (атмосферных [3], горения [4], межзвездных [5]), транспортных свойствах газов [6], явлениях молекулярной спектроскопии [7–11]. Такие комплексы являются промежуточными [1] в процессе образования жестко связанных димеров в газофазных средах. Столкновительные комплексы влияют на колебательную и вращательную релаксацию [12–18], а также на уширение и сдвиг спектральных линий [10, 11], особенно при низких температурах.
Как правило, различают два типа столкновительных комплексов (резонансов) [19]. Это классически запрещенные резонансы формы (shape resonances), возникающие в результате поступательного туннелирования, и классически разрешенные комплексы. В квантовой механике нет точного различия между этими двумя типами резонансов, но в классической картине они определенно различны.
Классически разрешенные столкновительные комплексы обычно классифицируются как “orbiting” и резонансы Фешбаха [10, 19]. Резонансы Фешбаха также называются состояниями внутреннего возбуждения [20], квазисвязанными комплексами (Quasi-bound Complexes – (QC)), метастабильными комплексами (состояниями), или метастабильными димерами. Они могут образовываться при условии, что по крайней мере один из сталкивающихся партнеров обладает внутренней степенью свободы (например, вращательной) [19, 20]. Полученный энергетически нестабильный комплекс затем подвергается стабилизирующему или разрушающему столкновению с третьей частицей, в противном случае он спонтанно распадается. Отметим, что вероятность формирования столкновительного комплекса возрастает по мере увеличения числа внутренних степеней свободы системы [7–9].
Почти невозможно получить информацию о столкновительных комплексах в экспериментах, поэтому компьютерное моделирование является естественным и эффективным способом изучения их свойств. При этом следует использовать только хорошо обоснованные теоретические методы (квантовые или классические). К сожалению, точный, полностью квантовый подход не является иллюстративным и остается очень трудоемким, несмотря на современные вычислительные возможности. С другой стороны, классическое моделирование молекулярных столкновений (с применением принципа соответствия с квантовой механикой) является эффективным и наглядным инструментом для исследования свойств QC и их проявлений. При этом в таких расчетах следует использовать только надежные ab initio (неэмпирические) поверхности потенциальной энергии (ППЭ) межмолекулярного взаимодействия, которые сейчас доступны благодаря прогрессу вычислительной квантовой химии и компьютерной техники.
Классическое моделирование столкновительных комплексов проводилось во многих работах (см., например, работы [10–18] и ссылки в них). В то же время детальному анализу параметров QC, а также их газокинетических и спектроскопических проявлений в системах с вращательными степенями свободы посвящено относительно мало работ. В этой связи отметим работу [16], где динамику образования QC в молекулярном азоте исследовали полуклассическим методом с учетом V-R-T степеней свободы, включая столкновения колебательно-возбужденных молекул N2. В работе [16] рассчитаны и проанализированы различные характеристики, относящиеся к образованию комплексов, включая вероятности и сечения образования QC, распределения времен жизни и др. Была изучена роль, которую играют QC в стимулировании колебательно-колебательного обмена энергией в столкновениях N2(v1)–N2(v2). В работах [17, 18] подчеркнута важность учета квазисвязанных состояний в RT-релаксации энергии в системах CO2–Ar и CO2–He. В работе [18] на примере CO2–Ar подробно изучены общие закономерности образования/распада QC в столкновениях атома с жесткой двухатомной или линейной многоатомной молекулой. Рассчитаны и проанализированы статистические распределения параметров, характеризующие образование/распад QC и их размеры. Показано, что использование упрощенной компланарной модели динамики столкновений ведет к неверному предсказанию практически всех характеристик QC, включая сечения RT-обмена. Долговечность метастабильных димеров СО2 обсуждалась в работе [21] на основе измеренных спектров поглощения чистого СО2 в ИК-области. О первом траекторном моделировании спектра вращательно-трансляционной полосы столкновительно-индуцированного поглощения в сжатых газовых смесях CO2–Ar и CO2–Xe сообщалось в работе [22]. В этой работе выполнено исследование роли стабильных и метастабильных димеров CO2–Ar и CO2–Xe в формировании поглощения такого типа, запрещенного для изолированных молекул, в микроволновой и дальней ИК-областях, что чрезвычайно важно для изучения планетных атмосфер. Развитию и совершенствованию данного классического моделирования на примере системы CO2–Ar посвящены работы [23, 24].
Об актуальности исследований молекулы метана
Метан (СН4), наряду с H2O и CO2 является мощным парниковым газом. В настоящее время наблюдается очень высокая концентрация метана в атмосфере Земли по сравнению с предыдущими годами, что объясняется интенсивным его выделением из природных и антропогенных источников. К таким природным источникам относят газовые гидраты метана, или клатраты СН4 – кристаллические соединения, образующиеся при высоком давлении и низкой температуре из воды и газа, например, на дне моря или в условиях вечной мерзлоты. Опасность заключается в том, что увеличение выбросов метана, особенно в результате таяния вечной мерзлоты, может значительно ускорить темпы глобального потепления со всеми вытекающими последствиями (“метановая катастрофа”). В этой связи любые исследования, связанные с метаном, сейчас имеют приоритетное значение [25–30].
Цель настоящей работы – исследование характеристик образования, распада и других свойств метастабильных димеров метана с помощью классического траекторного моделирования. Мы ограничились рассмотрением относительно простых бимолекулярных систем типа атом – жесткий сферический волчок (He, Ne, Ar – CH4) и сосредоточились на статистическом анализе параметров QC и условий их образования в столкновениях. Рассчитаны функции распределения времен жизни QC, прицельных параметров столкновений, при которых они образуются, минимальных и максимальных размеров, сечений образования QC при разных температурах и др. Показана важность учета метастабильных димеров в прогнозировании сечений вращательно-поступательной релаксации энергии CH4.
2. КЛАССИЧЕСКОЕ НЕРЕАКЦИОННОЕ РАССЕЯНИЕ В СИСТЕМЕ АТОМ–CH4
Параметры молекулы метана
Молекула 12CH4 является сферическим волчком и принадлежит к тетраэдрической группе симметрии Td . Длина связей C–H составляет 108.7 пм [31], угол между C–H связями равен 109.471o [32]. Вращательные постоянные 12CH4 одинаковы и равны A = B = C = h2/(82I) = 5.2412 см-1 (I = IA = IB = IC – главные моменты инерции волчка), постоянные нежесткости – D J = 1.12 × 10−4 см−1, D Jτ = 0.30 × 10−4 см−1 [33, 34]. Из сравнения этих постоянных следует, что приближение жесткого волчка вполне оправдано для не слишком больших значений вращательного квантового числа J.
Уравнения Гамильтона для системы атом – сферический волчок в переменных действие – угол
В задачах классической динамики столкновений использование переменных действие – угол весьма эффективно, поскольку они обладают следующими удобными свойствами. В отсутствие межмолекулярных взаимодействий (свободно вращающаяся молекула и прямолинейное поступательное движение) переменные действия являются интегралами движения, а угловые переменные линейно растут со временем. Для тестирования вычислительных алгоритмов эти свойства весьма полезны.
В настоящей работе молекулярно-фиксированная система координат традиционно связана с главными осями (ГО) инерции CH4 . Ориентация молекулы CH4 относительно вектора R, соединяющего центры масс сталкивающихся частиц, определяется углами y и (y – угол между R и осью z системы ГО, – угол между R и осью x системы ГО).
Гамильтониан для сталкивающейся пары атом – жесткий сферический волчок в переменных действие – угол имеет вид
, (1)
где T – кинетическая энергия столкновения, – поверхность потенциальной энергии (ППЭ) межмолекулярного взаимодействия. В выражении (1) и – приведенная масса и орбитальный угловой момент пары, j – величина вращательного углового момента молекулы CH4 , k – компонента вращательного углового момента вдоль оси z молекулярно-фиксированной системы координат, – полный угловой момент пары атом – сферический волчок, . В приведенных формулах – угловые переменные, а – соответствующие переменные действия.
Общие уравнения Гамильтона имеют стандартный вид [35]
. (2)
Набор переменных в системе уравнений (2) для пары атом – сферический волчок (imax = 5) следующий. Для радиального относительного поступательного движения это межчастичное расстояние R и сопряженный импульс pR . Как уже отмечалось, угловым переменным соответствуют переменные действия .
Подставляя гамильтониан (1) в общие уравнения (2), получаем 10 дифференциальных уравнений 1-го порядка для точной классической 3D-динамики столкновения атом – жесткий сферический волчок:
, ,
, ,
, (3)
, ,
, .
При этом полный угловой момент системы является интегралом движения, что сокращает число дифференциальных уравнений до 9.
3. ПОВЕРХНОСТИ ПОТЕНЦИАЛЬНОЙ ЭНЕРГИИ МЕЖМОЛЕКУЛЯРНОГО ВЗАИМОДЕЙСТВИЯ
Используемые в данной работе ППЭ имеют следующий вид
(4)
В выражении (4) и – обычные полярные углы вектора межмолекулярной оси R в системе ГО молекулы CH4 . В этом случае и cos = sin cos; Yim(,φ) – сферические гармоники, i – мнимая единица. Радиальные функции V0(R), V3(R) и V4(R) взяты из следующих источников: He–CH4 [36], Ne–CH4 [37], Ar–CH4 [38] и [39, 40] (простая эмпирическая ППЭ). Отметим, что для системы Ar–CH4 V4 = 0.
Простой эмпирический потенциал для Ar–CH4 из работы [39, 40] имеет вид
, (5)
где ε = 128 K, σ = 3.65 Å, β = (4π/7)1/2 · 0.3.
Более совершенный потенциал для Ar–CH4 представлен в работе [38]. Изотропная часть V0(R) записана в форме “Морзе-сплайн–Морзе-сплайн-ван дер Ваальс” c многочисленными подгоночными коэффициентами, а радиальная функция V3(R) анизотропной части представлена суммой члена в экспоненциальной форме и члена дальнодействия (оба также с подгоночными параметрами). Здесь эта ППЭ не приводится из-за ее сложности.
Для систем He–CH4 и Ne–CH4 радиальные функции имеют одинаковый и более простой вид, чем для Ar–CH4 :
(6)
,
,
, .
Функция демпфирования f (R) в выражении (6) имеет стандартный вид:
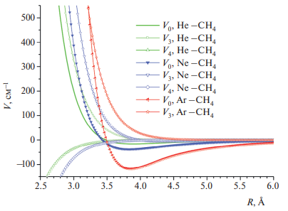
Подгоночные коэффициенты, фигурирующие в формулах (6), приведены в работах [36, 37]. На рис. 1. показаны радиальные функции V0(R), V3(R), V4(R) для систем He–CH4 [36], Ne–CH4 [37], Ar–CH4 [38].
Рис. 1. Радиальные функции V0(R) , V3(R) , V4(R) для систем He–CH4 [36], Ne–CH4 [37], Ar–CH4 [38].
4. ДЕТАЛИ РАСЧЕТОВ И ВЕРИФИКАЦИЯ ВЫЧИСЛИТЕЛЬНОЙ СХЕМЫ МЕТОДА КЛАССИЧЕСКИХ ТРАЕКТОРИЙ
Основные детали классического моделирования столкновений атом–CH4 кратко описаны ниже.
Детали расчетов
Девять дифференциальных уравнений (3) численно интегрировались с помощью стандартной процедуры IMSL (неявный BDF-метод Гира [41]). Все вычисления выполнялись с использованием двойной точности с типичным параметром устойчивости TOL = 10-9 и переменным шагом интегрирования в рамках фиксированных интервалов сетки по времени t = 5 фс. Столкновительные траектории начинались и заканчивались при межчастичном расстоянии R = 15 Å. Максимальный прицельный параметр в расчетах был bmax = 10 Å. Во всех расчетах применялось усреднение по распределению Максвелла начальной относительной скорости в интервале v = (0.01÷3)vp, где – наиболее вероятная относительная скорость сталкивающейся пары атом–CH4 (kB – постоянная Больцмана, T – температура, μ – приведенная масса). В указанный диапазон входит подавляющая часть скоростей.
Во всех расчетах применялся эффективный алгоритм [42] для выбора прицельного параметра b ∈ [0, bmax]. Сходимость метода Монте-Карло в этом случае оказывается примерно в два раза быстрее, чем при традиционном равномерном розыгрыше по b2.
В соответствии с традиционной формулой квантования модуля углового момента величина j определяется значениями . Однако для большей точности при малых J вместо этой формулы в траекторных расчетах часто используется коррекция (“предписание”) Лангера [42, 43]: . В работе [42] для столкновений линейная молекула – атом было показано, что коррекция Лангера обеспечивает лучшие значения сечения вращательного возбуждения молекулы для малых значений J, чем традиционная формула. С ростом J влияние коррекции быстро нивелируется.
Верификация вычислительной схемы
Прежде чем исследовать свойства столкновительных комплексов метана, следует убедиться в правильности используемой вычислительной процедуры метода классических траекторий. Cравним рассчитанные сечения вращательных переходов в столкновениях CH4 – Ar, Ne с имеющимися результатами полностью квантовых расчетов по методу сильной связи (“Close Coupling” – CC ) и методу связанных состояний («Coupled States”– CS) [37, 44], а также с результатами расчетов Лиу и соавт. [45] методом классических траекторий, но выполненных по несколько иной схеме и гораздо меньшим, чем у нас общим числом траекторий (~ 10000).
Сечение вращательного перехода J0 = 1 → J в столкновениях определялось стандартным образом:
, (7)
где NJ0 → J – число столкновений, приводящих к переходу J0 → J; Ntotal – общее число столкновений. Процедура определения конечного (после столкновения) целого значения числа J – стандартная: округление конечного нецелого значения J до ближайшего целого. Если конечное значение J совпадает с начальным (J0), то столкновение считается упругим (нет перехода), в противном случае происходит RT-обмен. Везде в расчетах данной работы коррекция Лангера [42, 43] применялась как для расчета начального вращательного углового момента j из начального значения квантового числа J0 , так и для определения конечного J из конечного значения углового момента j.
На рис. 2 приведены результаты сравнения имеющихся литературных данных с расчетами по формуле (7). Из рис. 2 следует, что для системы Ar–СН4 наблюдается в целом хорошая корреляция результатов настоящей работы с предыдущими классическими и квантовыми расчетами. Максимальные отличия наблюдаются при Ecoll = = 256.8 см-1 при J = 2, 3. Детальному сравнению результатов квантовых CC-CS схем для системы Ar–СН4 при малых энергиях столкновений посвящена работа [46]. Для Ne–CH4 наблюдается хорошее согласие настоящих классических расчетов с расчетами Лиу и соавт. [45] почти для всех J, однако квантовый CS-метод дает заметно отличающиеся результаты (кроме переходов J0 = 1 → J = 7, 8, 9, 10).
Рис. 2. Сравнение рассчитанных сечений вращательного перехода J0 = 1 → J молекулы СН4 в столкновениях с атомами Ar и Ne: а – система Ar–СН4 , кинетическая энергия столкновения Ecoll = 256.8 см-1: 1 – квантовый CC-метод [44], 2 – квантовый CS-метод [44], 3 – классический траекторный метод [45], 4 – настоящий 3D расчет (общее число траекторий составляет 402000); б – система Ne–СН4, кинетическая энергия столкновения Ecoll = 716.2 см-1. 1 – квантовый CS-метод [37], 2 – классический траекторный метод [45], 3 – настоящий 3D-расчет (общее число траекторий составляет 1273750).
Несмотря на полученные неплохие результаты, отметим, что недостатком настоящего классического метода (как, впрочем, и метода из работы [45]) является неспособность учесть правила отбора при RT-обмене в столкновениях, налагаемые соображениями симметрии в квантово-механической постановке задачи. Этим, по-видимому, и объясняются различия с квантовыми CC-CS-результатами.
5. МОДЕЛИРОВАНИЕ КВАЗИКОМПЛЕКСОВ В СИСТЕМЕ МЕТАН – ИНЕРТНЫЙ ГАЗ
Напомним, что обычным бинарным столкновением называется такое столкновение, при котором имеется единственное расстояние наибольшего сближения частиц (всего один минимум в зависимости межчастичного расстояния от времени R(t)). Столкновительные комплексы имеют два и более минимумов в R(t) (более подробно см. работы [10, 17]). На рис. 3 приведены примеры траекторий с образованием столкновительного комплекса в системе Ar–CH4.
Рис. 3. Примеры трех траекторий с образованием квазикомплексов в столкновениях системы Ar–CH4. Расчет с использованием средней тепловой скорости v = (8kBT/pm)1/2 при T = 100 K для J0 = 5. Зависимости R(t) различаются прицельными параметрами и ориентациями углового момента молекулы CH4 .
На примере рис. 3 поясним используемые далее термины. Временем жизни tQC квазикомплекса будем считать промежуток времени от первого минимума в зависимости межчастичного расстояния R(t) до последнего. Точки поворота в QC – это расстояния максимального сближения частиц (соответствуют минимумам R(t)). Размеры комплексов определяются глобальными минимумами и максимумами функции R(t) на интервале времени жизни tQC .
Статистический анализ QC в столкновениях СН4 с He, Ne, Ar
Результаты статистических расчетов функций распределения вероятностей для столкновений типа QC приведены на рис. 4–9. Показаны: время жизни комплекса, количество максимальных сближений (точек поворота), расстояния между центрами масс для ближайшего “подхода” Rmin и самого дальнего “отхода” Rmax, прицельные параметры b, при которых формируются QC. Функции распределения расстояний Rmin и Rmax интересны тем, что они характеризуют размер формирующихся QC. Распределение прицельных параметров выявляет предельные, наиболее благоприятные и неблагоприятные значения b для формирования QC. При построении распределений применялся гистограммный метод. Вероятность pi = p(xi) для параметра x (время жизни tQC, количество точек поворота N, размеры Rmin и Rmax, прицельный параметр b) определялась как p(xi) = NQi(x)/KQ. Здесь NQi(x) – количество QC, попадающих в ячейку xi + ∆x гистограммы (i – номер ячейки); ∆ x – шаг сетки для параметра x (ширина ячейки гистограммы), KQ – общее количество образовавшихся квазикомплексов. Условие
очевидно, выполнено, так как
Ширины ячеек для гистограмм были следующими: время жизни ∆tQC = 10-13 с; точки поворота ∆N = 1; расстояния ∆R = 0.024 Å; прицельный параметр ∆b = 0.02 Å. Наблюдаемый на некоторых рисунках статистический “шум” происходит из-за недостаточного числа QC в данной ячейке (исправляется усреднением, либо дальнейшим накоплением статистики).
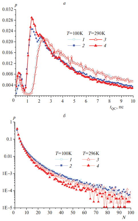
Влияние потенциала взаимодействия на время жизни комплексов Ar–CH4 и число точек поворота иллюстрирует рис. 4. Количество QC в статистической обработке было следующим: при Т = 100 К для кривой 1 (условный номер ППЭ – IPES = 11) KQ = 229 800, для кривой 2 (IPES = 12) KQ = 261 000; при Т = 296 К для кривой 3 (IPES = 11) KQ = 49800, для кривой 4 (IPES=12) KQ = 88400.
Рис. 4. Функции распределения вероятностей времен жизни tQC (а) и числа точек поворота N (б) для системы Ar–CH4. Роль потенциала взаимодействия при разных температурах: 1, 3 – простой эмпирический потенциал [39, 40]; 2, 4 – более точный потенциал [38].
Из рис. 4а видно, что распределения времен жизни QC tQC очень чувствительны к виду ППЭ (ср. кривые 1, 2 и 3, 4) и слабо зависят от температуры (ср. кривые 1, 3 и 2, 4). Что касается распределения числа точек поворота N (рис. 4б), то влияние вида ППЭ практически отсутствует, однако более выражена зависимость от температуры (большее число N характерно для T = 100 K).
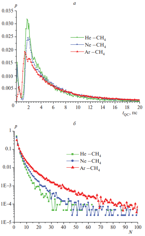
Результаты, представленные на рис. 5–9, соответствуют Т = 100 К. При этом значения KQ обработанных в статистическом анализе комплексов составил: для He–CH4 – KQ=22200, для Ne–CH4 – KQ=42000, для Ar–CH4 – KQ=115600.
На рис. 5 показаны распределения времен жизни метастабильных димеров СН4 – He, Ne, Ar и точек поворота. Диапазон времен жизни QC довольно широк – от долей пикосекунды до десятков пикосекунд. При этом наиболее вероятное время жизни комплексов составляет tQC ~ 1–2 пс. Наиболее вероятным значением числа точек поворота в QC для всех пар является N = 2. Большое число точек поворота (N > 10) характерно для СН4 – Аr. Комплексы СН4–He, Ne “склонны” иметь меньшее число N.
Рис. 5. Распределения времен жизни QC (а) и точек поворота (б) в столкновениях He–CH4, Ne–CH4, Ar–CH4. Т = 100 К.
Представляет интерес вопрос: как времена жизни QC соотносятся со средним временем столкновений и средним временем свободного пробега? Среднее время столкновения [47, 48] обычно определяется как где lc – характеристическое расстояние взаимодействия частиц “1”–“2”. Оценка средней длительности столкновений для систем СН4 – He, Ne, Ar в предположении с использованием значений номинальных диаметров твердых сфер, полученных из данных о вязкости [47] дает при T = 100 K следующие значения τс = 0.392 пс для СН4–He, 0.698 пс для СН4–Ne, 0.913 пс для СН4–Ar. Таким образом, время жизни QC в рассматриваемых смесях метана может быть как короче τс , так и в десятки раз превышать его.
Среднее время свободного пробега между столкновениями составляет [48]
, , . (8)
Значение средней длины свободного пробега l0 в формуле (8) обычно оценивается в простейшем случае жестких сфер в рамках кинетической теории газов для малой примеси активных молекул в буферном газе. Здесь m – масса активной молекулы (СН4), d = d12 = (d1+d2)/2 – номинальный диаметр (модель жестких сфер) сталкивающейся пары 1 и 2, np – числовая плотность (концентрация) буферных частиц.
В табл. 1 приведены значения τ0 для систем СН4 –He, Ne, Ar в зависимости от полного давления. Сравнение распределений вероятностей времен жизни QC на рис. 5а и значений среднего времени свободного пробега τ0(P), приведенных в табл. 1, позволяет выяснить следующий важный вопрос: в каком диапазоне давлений образование метастабильных димеров СН4–He, Ne, Ar можно рассматривать как бимолекулярный процесс? Ясно – что в случае, когда QC “живет” дольше чем τ0(Р), на него с большой вероятностью воздействует третья частица. Следовательно, при любом заданном давлении Р только те QC, которые имеют время жизни τQC < τ0(Р), могут рассматриваться как “истинно” бимолекулярные. Из табл. 1 видно, что для Р < 1 атм это условие хорошо выполняется. К тому же вероятность времени жизни комплексов с τQC > 20 пс очень мала. Проблемы начинаются при давлениях выше ~5 атм. Образование квазисвязанных комплексов в этом случае вряд ли можно рассматривать как бимолекулярный процесс. Отметим, что наиболее “плохая” ситуация имеет место для системы СН4–He, в то время как времена τ0 в случае СН4 в смесях Ne и Ar примерно одинаковы и более чем вдвое превышают τ0 для СН4– He.
Таблица 1. Среднее время свободного пробега τ0 СН4 в смесях с He, Ne, Ar как функция давления, T = 100 K
P, атм | τ0, пс | ||
СН4–He | СН4–Ne | СН4–Ar | |
0.02 | 1170.32333 | 2873.03695 | 2753.86836 |
0.04 | 585.16166 | 1436.48961 | 1376.90531 |
0.1 | 234.06467 | 574.60162 | 550.7679 |
0.3 | 78.01963 | 191.5358 | 183.59122 |
0.5 | 46.81236 | 114.91917 | 110,15589 |
0.8 | 29.25751 | 71.82448 | 68.84527 |
1.0 | 23.40647 | 57.46016 | 55.07679 |
2.0 | 11.70323 | 28.73037 | 27.53868 |
3.0 | 7.80196 | 19.15358 | 18.35912 |
5.0 | 4.68124 | 11.49192 | 11.01559 |
8.0 | 2.92575 | 7.18245 | 6.88453 |
10.0 | 2.34065 | 5.74602 | 5.50768 |
Cледует признать, что метод бинарных классических траекторий непригоден для моделирования долгоживущих QC в рассмотренных смесях метана при давлениях выше 5 атм. В этом случае следует использовать более общий (хотя и значительно более вычислительно затратный) метод классической молекулярной динамики многих частиц.
Дополнительные расчеты показали, что влияние параметров ППЭ на функции распределения прицельного параметра и минимального размера состоит в сдвиге функций p(b) и p(Rmin) для простого потенциала (IPES = 11) в сторону больших b и R (вид функций распределения при этом не меняется). Так, в случае Ar–CH4 при Т = = 296 К максимум функции p(b) для IPES = 12 соответствует 5.85 Å, а для IPES = 11 – 6.76 Å . Максимум распределения p(Rmin) для IPES = 12 достигается при 3.54 Å, а для IPES = 11 – при 3.78 Å. При Т = 100 К наблюдается аналогичная картина.
Обратим внимание еще на одно обстоятельство. По оценкам работы [47], полученным из коэффициента вязкости газа, состоящего из молекул – жестких сфер, номинальные диаметры CH4, He, Ne, Ar составляют: dCH4 = 4.19 Å, dHe = 2.19 Å, dNe = 2.60, dAr = 3.66 Å. При этом “размер” такого идеализированного столкновения составляет и равен 3.19, 3.4, 3.93 Å, соответственно. Сравнивая эти значения с результатами расчетов минимального и максимального размеров QC, приведенными на рис. 6, можно видеть, что указанные значения примерно соответствуют лишь Rmin, в то время как предельные размеры комплексов Rmax в рассмотренных случаях превышают их, более, чем в 1.5 раза. Данное обстоятельство следует учитывать при моделировании межмолекулярных взаимодействий метана.
Рис. 6. Распределения минимальных размеров QC (расстояний наибольшего сближения Rmin) и максимальных размеров QC (наибольших расстояний между частицами Rmax) в столкновениях He–CH4, Ne–CH4, Ar–CH4. Т = 100 К.
Отметим заметное превышение вероятности образования QC в столкновениях He и Ne с СН4 при прицельных параметрах b < 4 Å в сравнении с Ar – СН4 (рис. 7). Оно обусловлено членом, описывающим потенциал притяжения V4 в ППЭ, при этом для Ar–СН4 V4 = 0, а V3 дает большее отталкивание, чем для He и Ne (см. рис. 1). Зато при b > 5 Å наблюдается заметно бо́льшая вероятность образования QC именно для Ar, поскольку притяжение за счет V0 больше, чем за счет V3 (отталкивание). По той же причине для системы Ar–СН4 нет комплексов с размером менее 3.4 Å (так как V > 0), в то время как для He и Ne их вероятность заметна (рис. 6). Наиболее вероятный минимальный размер QC во всех случаях составляет 3.5–3.7 Å, а максимальный 4.7–4.9 Å.
Рис. 7. Распределения прицельного параметра, при котором образуются QC в столкновениях He–CH4, Ne–CH4, Ar–CH4. Т = 100 К.
Доля квазикомплексов KQ в общем числе столкновений (KC) Ar–CH4 при Т = 296 К мала и уменьшается с ростом J. Так, при J = 0 она составляет 3.4%, а при J = 7 всего 1.9%. Аналогичную информацию для других молекулярных пар при Т = 296 К можно найти в работе [10]. Усреднение по всем значениям J по распределению Больцмана при Т = 296 К для Ar–CH4 дает 2.8%. С понижением температуры доля QC заметно увеличивается. Так, при Т = 100 К она составляет уже 9.4% (среднее по J).
Сечения образования QC
Отметим, что доля QC в общем числе столкновений (KQ/KC) не является надежной количественной характеристикой эффективности образования QC, поскольку она зависит от максимального прицельного параметра, используемого в расчетах. Она уменьшается с увеличением параметра bmax за счет увеличения числа дальних (“скользящих”) пролетов, не приводящих к образованию QC. Надежной количественной характеристикой эффективности любого процесса является его сечение [1].
Сечение образования QC (аналогично сечению вращательного перехода (7) в столкновениях) рассчитывалось стандартным образом: sQC = = pb2maxKQ/KC, где KC – общее число столкновений, KQ – число столкновений типа QC. На рис. 8а приведены сечения образования QC как функции вращательного числа J при Т = 296 К, а на рис. 8б – сечения, усредненные по вращательному больцмановскому распределению, при различных температурах.
Рис. 8. Сечения образования QC: а – сечение образования QC при Т = 296 К как функция вращательного числа J; б – температурная зависимость сечения sQC(T) (результаты усреднены по всем значенимям J в условиях распределения Больцмана), bmax = 10 Å. Темные символы – все QC, светлые символы – только упругие QC.
Из данных рис. 8 можно сделать следующие выводы. Сечение образования QC в столкновениях для всех трех пар слабо зависит от J: наибольшее значение sQC имеет место для Ar–CH4 , а наименьшее для – He–CH4. При этом упругие столкновения дают заметный вклад в сечение образования QC, особенно для He–CH4. Неупругие столкновения увеличивают значения sQC, особенно при малых J для Ar–CH4 и Ne–CH4. С ростом величины J влияние неупругих соударений уменьшается, поскольку из-за вращения молекулы CH4 роль анизотропии потенциала снижается. Из рис. 8б видно, что эффективность образования QC быстро растет с понижением температуры.
Формулы, определяющие вклад QC в сечения RT- обмена
Сечение перехода в столкновениях с вращательного состояния J0 на J ≠ J0 можно представить в виде суммы вкладов обычных (ordinary) столкновений и столкновений типа QC,
(9)
Для обычных столкновений имеем:
(10)
Аналогично для столкновений типа QC:
(11)
В формулах (9)–(11) bmax – максимальное значение прицельного параметра в расчетах; – общее число столкновений, приводящих к вращательному переходу J0 → J; и – число обычных столкновений и столкновений типа QC, приводящих к переходу J0 → J; Ntotal = KC – общее число столкновений; и – вероятности столкновений соответствующих типов. Вероятность (индекс) образования QC в данном конкретном столкновении определяется по алгоритму нет/да (PQC = 0 – нет, PQC = 1 – да). Напомним, что обычное столкновение имеет всего одну точку поворота, в то время как столкновение типа QC – две и более. Именно этот критерий использовался для регистрации QC в траекторных расчетах. Усреднение ⟨...⟩ проводится по начальным условиям столкновений и, таким образом, ⟨PQC⟩ = KQ/KC, есть средняя вероятность образования QC в ансамбле из КС столкновений (доля QC в общем числе столкновений).
Вращательная релаксация CH4 в столкновениях с He, Ne, Ar
На рис. 9 приведены зависимости сечения вращательных переходов J0 = 7 → J в столкновениях CH4 с He, Ne, Ar (а) и сечения переходов J0 → J для системы CH4–Ar для разных J0 (б).
Рис. 9. а – сечения вращательных переходов J0 = 7 → J молекулы CH4 в столкновениях с He, Ne, Ar при T = 296 K; б – сечения вращательных переходов J0 → J молекулы CH4 в столкновениях с Ar для разных J0. Т = 296 К. Сплошные символы – все столкновения, светлые символы – только QC. Переходы J0 → J = J0 соответствуют упругим столкновениям.
Из рисунка 9 следует, что столкновения типа QC в большинстве случаев оказываются гораздо более эффективными в процессах RT-релаксации, чем обычные неупругие соударения. Особенно это проявляется в переходах с J < J0 (энергетически более выгодное “скачивание” вращательной энергии в поступательную). Главным образом, это происходит в одноквантовых переходах. В случае CH4–Ar превышение сечения в столкновениях типа QC достигает четырех и более раз. Заниженные значения для QC на рис. 9а (см. системы CH4 – He, Ne) вплоть до объясняются не физикой процесса, а недостаточной статистикой многоквантовых J0 → J переходов в столкновениях с образованием QC.
6. ВЫВОДЫ
- Столкновительные комплексы (метастабильные димеры, квазикомплексы, QC) представляют собой нетипичные “запутанные” траектории в молекулярных столкновениях. Формирование QC и их характеристики, включая сечения RT-релаксации и спектральные проявления, должны моделироваться только в рамках точной 3D динамики с использованием надежной ППЭ межмолекулярного взаимодействия. В настоящей работе проведено такое моделирование QC для систем CH4 – He, Ne, Ar с использованием метода классических траекторий.
- Исследование статистических распределений характеристик QC имеют важное значение для анализа их разнообразных проявлений, в том числе газокинетических и спектроскопических. Метастабильные димеры, образующиеся в столкновениях CH4 c атомами He, Ne и Ar, могут быть как короткоживущими (tQC < τс), так и весьма долгоживущими по сравнению с средним временем столкновений τс и иметь разные размеры (~ 3–7 Å). Распределения прицельных параметров выявили предельные и наиболее благоприятные значения b для формирования QC. В рассмотренных случаях наиболее благоприятные значения соответствуют b ~ 6 Å. Сравнение распределений времен жизни QC со средним временем свободного пробега τ0 показало, что образование и распад QC в рассмотренных смесях метана можно рассматривать как бимолекулярный процесс лишь при давлениях менее ~ 3 атм.
- Сечение σQC образования QC в столкновениях сильно зависит от молекулярной пары и быстро растет с понижением температуры. При этом σQC(J) для всех трех рассмотренных пар CH4–He, Ne, Ar медленно уменьшается с ростом вращательного квантового числа J.
- Столкновения типа QC оказываются в целом гораздо более эффективными при RT-релаксации энергии молекул метана, чем обычные неупругие соударения.
- Результаты данной работы с точки зрения приложений к проблеме “метановой катастрофы” являются предварительными. Следующим шагом должно быть моделирование столкновительных комплексов CH4–СH4, CH4–H2O и CH4–CO2.
Автор благодарит А.К. Курносова за полезные обсуждения и замечания.
Работа выполнена в рамках гос. задания ФНИЦ “Кристаллография и фотоника” РАН.
Об авторах
С. В. Иванов
Институт фотонных технологий, Федерального Научно- Исследовательского Центр «Кристаллография и фотоника» Российской Академии Наук
Автор, ответственный за переписку.
Email: serg.ivanov.home@mail.ru
Россия, Москва (Троицк)
Список литературы
- Никитин Е.Е. Теория элементарных атомно-молекулярных процессов в газах. М.: Химия, 1970.
- Levine R.D., Bernstein R.B. Molecular reaction dynamics. Oxford (Engl.) Clarendon Press; NY: Oxford University Press, 1974.
- Heicklen J. Atmospheric chemistry. New York: Academic Press, 1976.
- Bradley J.N. Flame and combustion phenomena. London: Chapman and Hall, 1972; https://www.eolss.net/sample-chapters/c09/e4-14-03-01.pdf
- Watson W.D. // Acc. Chem. Res. 1977. V. 10. № 6. P. 221.
- Hirschfelder J.O., Curtiss Ch.F., Bird R.B. Molecular theory of gases and liquids. New York: Wiley and Sons. London: Chapman and Hall, 1954.
- Weakly Interacting Molecular Pairs: Unconventional Absorbers of Radiation in the Atmosphere. Proc conf., Dordrecht, Springer: 2003. P. 23; https://doi.org/10.1007/978-94-010-0025-3
- Vigasin A.A. // Chem. Phys. Lett. 1985. V. 117. № 1. P. 85; https://doi.org/10.1016/0009-2614(85)80410-3
- Molecular complexes in Earth’s, planetary, cometary, and interstellar atmospheres. Eds. Vigasin A.A., Slanina Z., Singapore: World Scientific Publ, 1998, P. 60.
- Ivanov S.V. // J. Quant. Spectrosc. Radiat. Transf. 2016. V. 177. P. 269; https://doi.org/10.1016/j.jqsrt.2016.01.034
- Иванов С.В. // Оптика и спектроскопия. 2022. T. 130. № 12. С. 1778; https://10.21883/OS.2022.12.54081.4144-22
- Nesbitt D.J. // Chem. Rev. 2012. V. 112. № 9. P. 5062.
- Flatin D.C., Goyette T.M., Beaky M.M. et al. // J. Chem. Phys. 1999. V. 110. № 4. P. 2087.
- Billing G.D. // Chem. Phys. 1980. V. 50. № 2. P. 165; https://doi.org/10.1016/0301-0104(80)87036-4
- Cacciatore M., Billing G.D. // Ibid. 1981. V. 58. № 3. P. 395; https://doi.org/10.1016/0301-0104(81)80074-2
- Kurnosov A., Cacciatore M., Napartovich A. Chem. Phys. Lett. 2021. V. 775. P. 138680; https://doi.org/10.1016/j.cplett.2021.138680
- Weakly Interacting Molecular Pairs: Unconventional Absorbers of Radiation in the Atmosphere, edited by C. Camy-Peyret and A.A. Vigasin. Springer, Dordrecht, 2003, Р. 49.
- Ivanov S.V. // Mol. Phys. 2004. V. 102. № 16–17. P. 1871; https://doi.org/10.1080/0026897042000274766
- Miller W.H. Eds. Alder B., Fernbach S., Rotenberg M. Methods in computational physics. Advances in research and applications. V. 10: Atomic and molecular scattering. New York, London: Academic Press, 1971.
- Levine R.D. // Acc. Chem. Res. 1970. V. 3. P. 273.
- Asfin R.E.,Buldyreva J.V., Sinyakova T.N et al. // J. Chem. Phys. 2015. V. 142. № 85. P. 051101; http://dx.doi.org/10.1063/1.4906874
- Oparin D.V., Filippov N.N., Grigoriev I.M. et al. // J. Quant. Spectrosc. Radiat. Transfer. 2017. V. 196. P. 87; https://doi.org/10.1016/j.jqsrt.2017.04.002
- Chistikov D.N., Finenko A.A., Lokshtanov S.E. et al. // J. Chem. Phys. 2019. V. 151, № 19. P. 194106.
- Chistikov D.N., Finenko A.A., Kalugina Yu.N. et al. // Ibid. 2021. V. 155. № 6. P. 064301; https://doi.org/10.1063/5.0060779
- Голяк И.С., Анфимов Д.Р., Винтайкин И.Б. и др. // Хим. физика. 2023. Т. 42. № 4. С. 3; https://doi.org/10.31857/S0207401x23040088
- Винтайкин И. Б., Голяк И. С., Королев П. А и др. // Хим. физика. 2021. Т. 40. № 5. С. 9.
- Родионов А.И., Родионов И.Д., Родионова И.П. и др. // Хим. физика. 2021. Т. 40. № 10. С. 61; https://doi.org/10.31857/S0207401X21100113
- Зеленов В.В., Апарина Е. // Хим. физика. 2021. Т. 40. № 10. С. 76.
- Дьяков Ю.А., Адамсон С.О., Ванг П.К и др. // Хим. физика. 2021. Т. 40. № 10. С. 22.
- Ларин И.К. // Хим. физика. 2020. Т. 39. № 3. С. 85; https://doi.org/10.31857/S0207401X20030085
- Hirota E. // J. Mol. Spectrocc. 1979. V. 77. P. 213.
- Свердлов Л.М., Ковнер М.А., Крайнов Е.П. Колебательные спектры многоатомных молекул. Москва: Наука, 1974.
- Herranz J., Stoicheff B.P. // J. Mol. Spectrosc. 1963. V. 10. P. 448.
- Herzberg G. Molecular Spectra and Molecular Structure II. Infrared and Raman Spectra of Polyatomic Molecules. 1991.
- Голдстейн Г. Классическая механика. Пер. с англ. М.: ГИТТЛ, 1957.
- Buck U., Kohl K.H., Kohlhase A. et al. // Mol. Phys. 1985. V. 55. № 6. P. 1255.
- Buck U., Kohlhase A., Secrest D. et al. // Mol. Phys. 1985. V. 55. № 6. P. 1233.
- Buck U., Schleusener J., Malik D.J., et al. // J. Chem. Phys. 1981. V. 74. № 3. P. 1707.
- Armstrong R.L., Blumenfeld S.M., Gray C.G. // Can. J. Phys. 1968. V. 46. № 11. P. 1331.
- Gray C.G. // J. Chem. Phys. 1969. V. 50. P. 549; https://doi.org/10.1063/1.1670844
- Gear C.W. Numerical Initial Value Problems in Ordinary Differential Equations. Englewood Cliffs №3: Prentice-Hall, 1971.
- Chapman S., Green S. // J. Chem. Phys. 1977. V. 67. № 5. P. 2317; https://doi.org/10.1063/1.435067
- Langer R.E. // Phys. Rev. 1937. V. 51. P. 669; https://doi.org/10.1103/PhysRev.51.669
- Smith L.N., Secrest D. // J. Chem. Phys. 1981. V. 74. № 7. P. 3882.
- Liu W.-K., Zhang Q., Lin S. et al. // Chin. J. Phys. 1994. V. 32. № 3. P. 269.
- Heil T.G., Secrest D. // J. Chem. Phys. 1981. V. 69. № 1. P. 219.
- Бёрд Г. Молекулярная газовая динамика. Пер. с англ. М.: Мир, 1981.
- Hartmann J.-M., Boulet C., Robert D. Collisional effects on molecular spectra: Laboratory experiments and models, consequences for applications. Amsterdam: Elsevier Science, 2008; https://doi.org/10.1016/B978-0-444-52017-3.X0001-5
Дополнительные файлы












