Еffect of light spectrum on elastic-mechanical properties of sclera and myopia development
- Authors: Trofimova N.N.1, Khramtsova E.A.1, Petronyuk Y.S.1, Antipova K.G.1, Krupnin A.E.2, Ratnovskaya A.V.1, Sokolova V.V.1, Mednikova E.I.3, Guryeva T.S.3
-
Affiliations:
- Emanuel Institute of Biochemical Physics, Russian Academy of Sciences
- NRC “Kurchatov Institute”
- Institute of Biomedical Problems, Russian Academy of Sciences
- Issue: Vol 43, No 11 (2024)
- Pages: 79-87
- Section: Chemical physics of biological processes
- URL: https://journals.rcsi.science/0207-401X/article/view/281890
- DOI: https://doi.org/10.31857/S0207401X24110105
- ID: 281890
Cite item
Full Text
Abstract
The paper presents the results of a study of spectrum-induced myopia using a model of quail maturation. Using acoustic microscopy methods in the native state, the geometric dimensions of the structural elements of the eye involved in focusing the optical system were determined, and the patterns of their changes as the body grew and during emmetropization were identified. Particular emphasis was placed on the composition, structure and mechanical properties of the sclera, as the main supporting tissue of the eye, responsible for its shape and size.
Keywords
Full Text
1. ВВЕДЕНИЕ
Упругая роговично-склеральная оболочка защищает орган зрения от физических воздействий, обеспечивает опорный каркас внутренних и внешних структур глаза, его эмметропию, регулирует нормализацию внутриглазного давления, жидкостной метаболизм глазного яблока и защиту от ультрафиолета. В процессе онтогенеза происходит созревание склеры, связанное с изменением ее упругих свойств и геометрических размеров. Экспериментально показано [1, 2], что к миопическим нарушениям приводят изменение спектрального состава повседневного освещения, наложение рассеивающих линз и частичная экранизация глаза. В результате подобных воздействий происходит удлинение оптической переднезадней оси (ПЗО) глаза. Причиной изменения формы глаза является увеличение или уменьшение толщины склеральной оболочки, ее упруго-прочностных свойств и компонентного состава внеклеточного матрикса [3]. Динамика этих показателей является индикатором развития близорукости на ранних этапах.
Существует несколько вариантов для условий, провоцирующих экспериментальную близорукость. Первый из них – это механическая депривация: в глаз лабораторного животного вставляется окклюдер, осуществляющий постоянное давление, при котором глазное яблоко начинает менять форму. Другим вариантом является изменение параметров повседневного света – его интенсивности и спектрального состава. Данные способы были реализованы на различных видах лабораторных животных. Курообразные птицы являются успешной биологической моделью для экспериментального изучения зрения, в том числе механизмов возникновения миопии человека, благодаря сходному набору фоторецепторов [4] и наличию оксикаротиноидной защиты [5]. Изменения на границе хрящевой и волокнистой склеры миопических глаз кур, по-видимому, аналогичны изменениям в склере млекопитающих [3].
В работе [6] было показано, что задняя часть склеры близоруких глаз цыплят имеет более толстую хрящевую и более тонкую фиброзную часть, а в пограничной области наблюдается аномальная пролиферация хондроцитов. В другом эксперименте на модели цыплят [7] при механической депривации в слабовидящих глазах в хрящевой части склеры также наблюдались повышенная пролиферация хондроцитов и активный синтез внеклеточного матрикса. В работе [8] было уставлено, что изменялись упругие свойства только задней части склеры, в то время как экваториальная часть не претерпевала существенных изменений.
Также изучалась возможность возврата глазного яблока к исходной форме [9]. После извлечения окклюдера птиц содержали при двух источниках белого света – стандартного и обогащенного синей спектральной компонентой. Было показано, что во втором случае восстановление формы шло быстрее предположительно за счет метаболических изменений, пролиферации клеток и синтеза коллагена. В работе [10] при использовании светодиодных светильников с длиной волны λ=465 нм (синий свет) и 615 нм (красный) было установлено, что наибольшее влияние на изменения ПЗО оказывал спектральный состав света, а не его интенсивность.
Экспериментальное стимулирование развития близорукости в ускоренной шкале времени реализуемо при использовании перепела японского (Coturnix japonica dom.) [11]. В 2020–2022 нами были выполнены исследования структур глаза птенцов японского перепела: выявлены особенности развития глаза перепела в норме, показано негативное влияние красной спектральной компоненты повседневного освещения на развитие глаза [12, 13], исследованы возможности измерения механических характеристик склеры для птенцов на ранних сроках [14].
Цель данной работы – исследование влияния повседневного освещения разного спектрального состава (синий – 450 нм, желтый – 570 нм) на течение процесса эмметропизации глаза за счет изменения в структуре и механических свойствах склеральной оболочки. В задачи входило сопоставить данные, полученные ультразвуковыми и оптическими методами, с результатами механических испытаний на одноосное растяжение. Основной упор делался на определение возрастных триггерных точек в развитии глаза в период от вылупления и до полного взросления.
МАТЕРИАЛЫ И МЕТОДЫ
Исследования выполнялись на цыплятах с момента вылупления до 45 суточного возраста, что соответствует приблизительно 0–18 годам возраста человека и охватывает весь период созревания структур глаза. В рамках данной работы были выбраны три критические точки развития: 10 сут – цыплята без дифференцировки пола, 25 сут – начало полового созревания и 45 сут – начало яйценоскости.
Повседневное освещение осуществлялось светодиодными источниками с синим и желтым светофильтрами. Спектр синего освещения (λmax = 450 нм) соответствовал полосе восприятия преимущественно синечувствительных колбочек, желтого освещения (λmax = 560 нм) – центральных колбочек (рис.1).
Рис. 1. Спектры используемых светильников: желтый (1) и синий (2) с максимумами при λmax = 560 и синий – λmax = 450 нм соответственно.
Суточный режим состоял из 16 ч дневного освещения и 8 ч темноты. Все источники освещения были откалиброваны по количеству мВт световой энергии в максимуме спектра. Калибровка проводилась с использованием спектрометра МК-350. Создаваемая освещенность находилась в физиологических пределах, соответствовала стандартной и была достаточной для уверенного нахождения птицами корма и поилок. Птицам был обеспечен доступ к воде и корму ad libitum (специализированный стандартный корм для цыплят перепелов – ПК2-3). Содержание птиц и их вывод из эксперимента декапитацией выполнялись согласно “Правилам надлежащей лабораторной практики”, утвержденным Приказом Министерства Здравоохранения РФ от 1 апреля 2016 года № 199н. Исследования проводились в группах “желтого” и “синего” света из шести птиц каждого возраста. Вес птиц варьировался в диапазоне от (39 ± 1) г для 10 суточных птенцов, (114 ± 5) г – для 25 суточных и (165 ± 5) г – для 45 суточных птиц.
Ультразвуковая микроскопия
Для исследования размеров и конфигурации глаз в процессе роста использовался акустический микроскоп СИАМ-2018, разработанный в ИБХФ РАН, Россия [13, 15]. В процессе сканирования короткий ультразвуковой фокусированный импульс (30–80 МГц) с полной угловой апертурой в 22° распространялся в иммерсионной жидкости. Ультразвуковой сигнал частично отражался от поверхности глаза, частично распространялся вглубь, достигая дна склеральной оболочки. Амплитуда эхо-сигналов с разной глубины регистрировалась и отображалась градациями серого цвета шаг за шагом (25 мкм) при перемещении акустической линзы в плоскости XZ [16]. Получаемые акустические изображения соответствовали сагиттальному сечению глаза с ПЗО вдоль оси Z. Эхо-импульсным методом измерялись продольный размер глазного яблока, толщина склерально-роговичной оболочки и хориоретинального комплекса. Для расчетов использовались опубликованные значения скорости звука в тканях глазах [17]. Ультразвуковое сканирование выполнялось in vitro на энуклеированных глазах. Лабораторные исследования структур глаза методами ультразвуковой микроскопии являются неинвазивными, не требуют фиксации и окрашивания тканей, позволяют быстро набрать необходимую статистику.
Механические испытания
Механические свойства склер исследовали в условиях одноосного растяжения на универсальной испытательной машине Instron 5965 (USA), оснащенной датчиком ±50 Н. Образцы в форме полосок шириной 3.5 мм и длиной рабочей части 6 мм фиксировали в пневматических захватах с прокладками из наждачной бумаги для предотвращения проскальзывания. Испытания проводили на воздухе при 23 °C с постоянной скоростью деформирования в 6 мм/мин. Механические характеристики: модуль упругости на линейном участке, E; предел прочности σВ и деформацию разрушения εВ определяли по кривым растяжения материала в координатах “напряжение–деформация”. При проведении нагрузочных тестов волокнистая часть склеры удалялась при подготовке препаратов, так как основную функцию поддержания формы глаза выполняет именно хрящевая часть. Для механических испытаний иссекалась полоска хрящевой части склеры, не затрагивающая область зрительного нерва. По данным работы [7] иссеченные участки захватывали области с потенциально измененной толщиной хрящевой ткани, повышенной активностью хондроцитов и избытком протеогликанов.
Определение содержания мелатонина и серотонина в сетчатке
Содержание мелатонина и серотонина определяли масс-спектрометрически на базе «Клиники новых медицинских технологий АрхиМед». Использовались аналитические стандарты производства компании Sigma-Aldrich (USA). Пробоподготовку осуществляли методом жидкостной экстракции. Органический слой перемещали в стеклянную центрифужную пробирку и упаривали в токе азота досуха при 40 °C. Затем восстанавливали 200 мкл смеси метанол/вода в соотношении 1 : 1. После экстракции 10 мкл раствора наносили на хроматографическую колонку. Хроматографическое разделение выполнялось за счет градиентного элюирования системой метанол/вода. Аналитическая система укомплектована масс-спектрометром QTRAP 6500 производства компании AB SCIEX (Canada). Детектирование ионов осуществлялось в положительном режиме мониторинга множественных реакций (MRM) в соответствии с методикой определения. Обработка хроматографических данных выполнялась с использованием ПО Multiquant (версия 3.0.3).
Подготовка гистологических препаратов
Глаза цыплят были зафиксированы фиксирующей смесью ФСУ (формалин 40% – 96-градусный этиловый спирт – ледяная уксусная кислота в соотношении 9 : 3 : 1), затем отмывались водопроводной водой. Далее материал обезвоживали в спиртах возрастающей концентрации, переводили в бутанол, затем в ксилол и пропитывали парапластом. Были приготовлены серии срезов в сагиттальной плоскости (толщиной 7 мкм) при помощи ротационного микротома RM 2125 производства компании Leica (Germany). Затем срезы были наклеены на предметные стекла, депарафинизированы ксилолом и проведены по спиртам уменьшающейся концентрации до дистиллированной воды, окрашены гематоксилином Корацци и эозином по стандартной методике и проведены по спиртам возрастающей концентрации до ксилола с последующим заключением в канадский бальзам [18].
Статистика
Статистическую обработку данных измерений проводили в Microsoft Excel и Origin. Данные были проверены на соответствие нормальному закону распределения. В каждом наборе были определены медианные значения величин вместе с соответствующими доверительными интервалами. На диаграммах приведены среднеквадратичные отклонения величин внутри выборки по возрасту.
РЕЗУЛЬТАТЫ И ИХ ОБСУЖДЕНИЕ
Влияние синего света на формирование глаза птиц оценивалось по уровню мелатонина и серотонина. Моноамины, такие как мелатонин и серотонин, вовлечены в модуляцию роста глаз. Мелатонин синтезируется фоторецепторами сетчатки и эпителиальными клетками цилиарного тела и проявляет циркадный ритм с пиковыми уровнями в ночное время. Роль мелатонина в регуляции роста глаза еще изучается, однако установлено, что интравитреальные инъекции мелатонина для группы цыплят оказывают противомиопический эффект при депревации формы. Серотонин как природный предшественник мелатонина также участвует в регуляции роста глаз и оказывает противоположный эффект, усиливая развитие депривационной миопии [19].
В наших экспериментах измерение уровня гормонов проводились на птицах, которые находились при световой экспозиции желтым и синим светом максимально длительный срок – 350 сут. По прошествии этого времени были взяты пробы сетчатки у каждой группы птиц. Оказалось, что в случае желтого освещения содержание мелатонина в полтора раза выше, чем в случае синего освещения – 11 410 и 7000 пг/мл соответственно. Относительно серотонина наблюдалась обратная картина – у птиц, содержащихся при синем свете, его величина почти вдвое превышает аналогичные данные для птиц, живущих при желтом свете: 45 000 и 24 000 пг/мл соответственно. Эти данные подтверждают, что синий свет угнетает выработку мелатонина, нарушая в организме цикл “сна–бодрствования” [1, 20, 21]. Результат уверенно свидетельствует о действительно значимом воздействии света на зрительную систему.
Ультразвуковым методом была выполнена визуализация сечения глаза в двух взаимно перпендикулярных плоскостях. На изображении дорсального сечения отчетливо наблюдались структуры переднего и заднего отделов глаза, их симметрия относительно центральной оси (рис. 2). Ориентация зондирующего пучка вдоль оси глазного яблока 1 позволила выполнить измерения толщины роговицы 2, хориоретинального слоя 5 и склеры 6 с минимальной погрешностью.
Рис. 2. Акустические изображения глаза перепела, полученные методом ультразвуковой микроскопии: 1 – переднезадняя ось, 2 – роговица, 3 – передняя камера, 4 – хрусталик, 5 – хориоретинальный слой, 6 – склера. Масштабный бар – 1 мм.
Из уже опубликованных данных известно, что величина ПЗО оси глаза поступательно растет в процессе взросления птиц, содержащихся при естественном освещении [12]. По сравнению с нормальным развитием сужение спектрального состава повседневного освещения в синюю и красную область спектра приводит к дополнительному росту ПЗО и миопизации глаза в возрасте 25 сут, т.е. в пике созревания половой и гормональной систем.
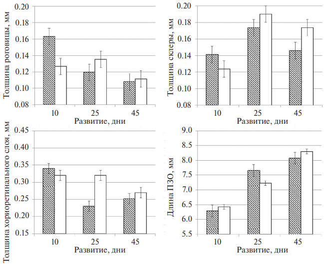
На рис. 3 представлены результаты ультразвуковых измерений для трех возрастов птиц “синей” и “желтой” групп. Как видно из графиков, длина ПЗО поступательно растет с возрастом. На 10-е сутки в обеих группах ее величина изменяется несущественно от – 6.1 до 6.5 мм, что свидетельствует об изменениях внутри оптической системы глаза, не затрагивающих его геометрию. Это подтверждается увеличением толщины роговицы и хориоретинального комплекса в “синей” группе. Суммарная толщина склеры, состоящей из хрящевого и волокнистого слоев, в нативном состоянии по ультразвуковым данным у “синей” группы оказалась больше на 14% (рис. 3).
Рис. 3. Структурные изменения глаза перепела, полученные методом ультразвуковой микроскопии в периоде 10–45 сут развития. Белые столбики соответствуют группе физиологического желтого освещения, серые – синего.
Сравнение результатов механических испытаний хрящевой части склеры на 10-е сутки развития показывает существенное различие величин модуля упругости – 8.4 и 6.5 МПа для “синей” и “желтой” групп, соответственно, при одинаковом пределе прочности: 1.6 и 1.7 МПа (рис. 4). На 25-е сутки величина ПЗО для “синей” группы превысила значение ПЗО для “желтой” группы на 6%. При этом толщина хориоретинального комплекса и роговицы в “синей” группе резко уменьшилось. Это обусловлено переключением каскадного механизма миопизации на следующий этап – реформирование склеры. Толщина склеры в “синей” группе оказывается ниже контрольной на 9% (рис. 3). Результаты механических испытаний показывают качественные изменения в характере деформирования склеры. Это сопровождается появлением начального нелинейного участка на кривой нагружения с низким значением модуля упругости в обеих группах – 1.1 МПа для “синей” и 0.5 МПа для “желтой”. Величина модуля упругости на линейном участке и предел прочности остаются для “желтой” группы на уровне 2.2 и 1.7 МПа соответственно. Для “синей” группы эти значения остаются без изменений относительно 10-суточных значений. Величина деформации разрыва увеличивается в обеих группах: до 37% для “синей” и до 39% для “желтой” (рис. 4). Такое поведение ткани может свидетельствовать об изменениях в сетке неколлагеновых гликопротеинов и протеогликанов, или происходят реорганизация и изменение толщины коллагеновых волокон [3, 22].
Рис. 4. Деформационные кривые склер перепела на 10-е (1), 25-е (2) и 45-е сут (3) развития при синем (а) и при желтом (б) освещении.
На 45-е сутки разница в значениях ПЗО между группами стала незначительной. Толщина роговицы также оказалась одинаковой. В “синей” группе уменьшилась толщина хориоретинального слоя на 6.5%; аналогичные изменения произошли в склере – толщина уменьшилась на 14%.
Механические испытания образцов из “желтой” группы показывают увеличение значения модуля упругости до 18.9 МПа и предела прочности до 3.6 МПа, а также снижение величины деформации разрушения до 26%. В “синей” группе наблюдалось увеличение значений модуля упругости и предела прочности до 12 МПа и 2.6 МПа соответственно. При этом деформация разрыва в норме уменьшается (на 33%), а для “синей” группы остается прежней. Увеличение модуля упругости в целом свидетельствует о повышении жесткости высокоэластичной сетки, соединяющей коллагеновые пластины, и вероятном увеличении количества узлов сшивки между коллагеновыми волокнами.
Известно, что сигнальный каскад глаза при миопии включает в себя следующие стадии передачи: сетчатка, ретинально-пигментный эпителий, хориоидея, склера. Сетчатка является первичной тканью, которая преобразует информацию об оптической дефокусировке в молекулярные сигналы. Эти сигналы передаются к склере через сосудистую оболочку и провоцируют структурные изменения в ней. Хориоидальная компенсация (увеличение толщины хориоидеи за счет притока жидкости) является промежуточным этапом, позволяющим вместе с хрусталиковой аккомодацией быстро обеспечить необходимую фокусировку на сетчатке и поддерживать ее до изменения ПЗО за счет склеральных изменений [23]. В свою очередь склера при миопии претерпевает ряд биохимических изменений, начиная от потери сухой массы склеры, снижения накопления коллагена, снижения уровня гиалурона и сульфатированных гликозаминогликанов до усиления ферментативной деградации, подавления аггрекана и подавления синтеза коллагена. Предыдущие исследования показали, что эти биохимические изменения в склере могут облегчить скольжение коллагеновых фибрилл относительно друг друга и вызывать увеличение угла извитости пучков коллагеновых фибрилл во время развития миопии [1]. Структура и состав ткани определяют ее физические и механические характеристики [24, 25]
На рис. 5 показаны результаты гистологического исследования. Существенных различий на гистологических препаратах для “синей” и “желтой” групп на 45-е сутки развития обнаружено не было (рис. 5). Гиалиновый хрящ обладает нормальной структурой в обоих случаях. Таким образом, возможной причиной снижения механических свойств склеры, индуцированного синим освещением, являются изменения на молекулярном уровне. Для подтверждения этой гипотезы должны быть проведены дополнительные исследования хрящевой части склеры, например, методом электронной микроскопии.
Рис. 5. Оптические изображения склер перепела на 45-е сут развития при синем (а) и желтом (б) освещении.
ЗАКЛЮЧЕНИЕ
Выявление механизмов формирования миопии при эмметропизации глаза уже много лет занимает приоритетное положение в офтальмологии. Ранняя диагностика миопии и возможность ее корректировки в случае начавшихся патологических изменений на ранних стадиях позволит своевременно начать профилактику или терапию и избежать серьезных нарушений зрения во взрослом состоянии.
Нахождение птиц в условиях стабильного освещения с заданным спектром, в отличие от экспериментов на одном глазу с депривацией формы или наложением линз, как описано в литературе, позволяет оценить системное влияние состава спектра. Такая постановка эксперимента является приближенной к реальным условиям, когда искусственный свет с измененным спектральным составом от ламп и приборов внутри помещений воздействует на оптическую систему глаза в течение всего периода бодрствования и изо дня в день оказывает влияние на эмметропизацию глаза в период взросления.
Полученные в данной работе результаты показывают, что значения модуля упругости склеральной оболочки, изменяются в условиях интенсивного роста организма, особенно в подростковом возрасте. Триггерной точкой в этих изменениях является возраст около 25 сут, соответствующий началу полового созревания. Проведение столь длительных исследований позволило установить, что величина ПЗО к фертильному возрасту (45 сут) у обеих групп выравнивается. Можно предположить, что изменения затрагивают другие структуры глаза, не исследуемые в данной работе, например хрусталик и его сферичность, размер передней или задней камеры. Поскольку толщина склеры и ее механические свойства в двух группах в зрелом возрасте все же различаются, исходя из наших результатов, и по литературным данным установлено, что склера при близорукости претерпевает ряд биохимических изменений, начиная от потери сухой массы, снижения накопления коллагена до усиления ферментативной деградации и подавления синтеза коллагена [1], для более глубокого понимания процессов спектр-индуцированной миопизации на цитологическом и молекулярном уровне целесообразным представляется проведение электронно-микроскопических исследований склеры и расширение экспериментальных групп животных на более зрелый возраст.
Авторы работы выражают искреннюю благодарность лаборатории “АРХИМЕД” за проведение гормональных анализов. Авторы также благодарят А.А. Несмелова и ресурсный центр “Полимер” НИЦ “Курчатовский институт” за помощь в проведении механических испытаний.
Работа выполнена в рамках госзадания тема № 001201253314, ИБХФ РАН и НИЦ “Курчатовский институт”.
About the authors
N. N. Trofimova
Emanuel Institute of Biochemical Physics, Russian Academy of Sciences
Author for correspondence.
Email: ntrofimova@mail.ru
Russian Federation, Moscow
E. A. Khramtsova
Emanuel Institute of Biochemical Physics, Russian Academy of Sciences
Email: ntrofimova@mail.ru
Russian Federation, Moscow
Yu. S. Petronyuk
Emanuel Institute of Biochemical Physics, Russian Academy of Sciences
Email: ntrofimova@mail.ru
Russian Federation, Moscow
K. G. Antipova
Emanuel Institute of Biochemical Physics, Russian Academy of Sciences
Email: ntrofimova@mail.ru
Russian Federation, Moscow
A. E. Krupnin
NRC “Kurchatov Institute”
Email: ntrofimova@mail.ru
Russian Federation, Moscow
A. V. Ratnovskaya
Emanuel Institute of Biochemical Physics, Russian Academy of Sciences
Email: ntrofimova@mail.ru
Russian Federation, Moscow
V. V. Sokolova
Emanuel Institute of Biochemical Physics, Russian Academy of Sciences
Email: ntrofimova@mail.ru
Russian Federation, Moscow
E. I. Mednikova
Institute of Biomedical Problems, Russian Academy of Sciences
Email: ntrofimova@mail.ru
Russian Federation, Moscow
T. S. Guryeva
Institute of Biomedical Problems, Russian Academy of Sciences
Email: ntrofimova@mail.ru
Russian Federation, Moscow
References
- D. Troilo E. L, Smith 3rd, D. L. Nickla et al., Invest. ophthalmol.vis.sci., 60, M31–M88 (2019). https://doi.org/10.1167/iovs.18-25967
- J. Wallman & J. Winawer, Neuron, 43, 447–468 (2004).
- T. Kusakari, T. Sato, T.Tokoro, Exp Eye Res.. 73, З533-46 (2001). https://doi.org/10.1006/exer.2001.1064
- C.E. Wisely, J.A. Sayed, H. Tamez, Prog. Retin. Eye Res. 61, 72–97 (2017). https://doi.org/10.1016/j.preteyeres.2017.06.004
- P.P. Zak, A.V. Zykova, N.N.Trofimova and A.E.Abu Khamidakh, Dok. Biol. Sci. 10, 2010297-9 (2010). https://doi.org/10.1134/S0012496610050017
- T. Tokoro, Nippon Ganka Gakkai Zasshi. 98, 1213-37 (1994)
- T. Kusakari, T. Sato & T. Tokoro, Exp. eye res., 64(3), 465–476 (1997). https://doi.org/10.1006/exer.1996.0242
- J.R. Phillips, M. Khalaj & N.A. McBrien, Invest. Ophthalmol. & vis. Sci. 41, 2028–2034 (2000). https://doi.org/10.1016/j.neuron.2004.08.008
- R.P. Najjar, J.M. Chao De La Barca, V.A. Barathi et al., Sci Rep . 7, 7586 (2021). https://doi.org/10.1038/s41598-021-87201-2
- F.J. Rucker, J. Wallman, J. of vision. 12, 23 (2012). https://doi.org/10.1167/12.6.23
- M. Pigireva, G. Afanasiev, Quail farming. (М. 1989) (in Russian).
- N.N. Trofimova, Yu.S. Petronyuk, T.S. Guryeva, et al., Neurosc.&Behavioral Physiol. 53, 148–153, (2023). https://doi.org/10.1007/s11055-023-01399-4
- Yu.S. Petronyuk, N.N. Trofimova, P.P. Zak et al., Russian Journal of Phys. Chem. B. 16(1), 97-102 (2022). https://doi.org/10.1134/S1990793122010249
- E. Khramtsova, S. Krasheninnikov, Yu. Petronyuk et al., Current issues in biological physics and chemistry, 5, 2, 331-334 (2020). ISSN 2499-9962.
- Yu. Petronyuk, E. Khramtsova, V. Levin et al., News of the RAS. Physical series. 84, 799-802 (2020).
- C. Passmann and H. Ermert, Proceedings of IEEE Ultrasonics Symposium, Cannes, France, 1994. V. 3. P. 1661–1664. https://doi.org/10.1109/ULTSYM.1994.401909
- K. Hill, G. Ter Haar, J. Bember, Ultrasound in medicine. Ed. O. Sapojnikov (M.: Physmatlit, 2008) (in Russian).
- G. Roskin, L. Levinson, Microscopic technique, 3-ed. (M: Sovetskaya nauka, 1957) (in Russian).
- F. Schaeffel, M. Bartmann, G. Hagel, E. Zrenner, Vis. Res. 35, 1247-64 (1995)
- V. Anisimov, Advances in Physiological Sciences. 39, 40-65 (2008) (in Russian).
- I. K. Larin, Russian Journal of Physical Chemistry B. 17, 244–250 (2023). https://doi.org/10.1134/s1990793123010074
- C. Boote, I.A. Sigal, R. Grytz et al., Prog.in ret.&eye res. 74, 100773 (2020). https://doi.org/10.1016/j.preteyeres.2019.100773
- C. Wildsoet, J.Wallman, et al., Vis. Res. 35, 1175-94 (1995). https://doi.org/10.1016/0042-6989(94)00233-c. PMID: 7610579
- O.A. Bogoslovskaya, I.P. Olkhovskaya, G.S Nechitailo., N.N Glushchenko, Russian Journal of Physical Chemistry B. 16(6), 1141–1146 (2022). https://doi.org/10.1134/S199079312206015X
- M.A. Yakovlevaa A.Sh. Radchenko, A.A. Kostyukov et al., Russian Journal of Physical Chemistry B. 16(1), 90-96 (2022). https://doi.org/10.1134/S199079312201033X
Supplementary files







