Combustion regimes of hydrogen at its direct injection into the internal combustion engine chamber
- Authors: Smygalina A.E.1, Kiverin A.D.1
-
Affiliations:
- Joint institute for high temperatures of the Russian Academy of Sciences
- Issue: Vol 43, No 8 (2024)
- Pages: 78-91
- Section: Combustion, explosion and shock waves
- URL: https://journals.rcsi.science/0207-401X/article/view/280186
- DOI: https://doi.org/10.31857/S0207401X24080097
- ID: 280186
Cite item
Full Text
Abstract
The paper is dedicated to the analysis of processes in the combustion chamber of spark ignition engine under direct jet injection of hydrogen during compression stroke. By means of numerical modeling the features of hydrogen mixing with air and its combustion after the spark ignition at the instant when piston reaches top dead center (TDC) are investigated. Combustion regimes developing under the variation of injection pressure: from 20 to 140 atm, and start of injection, from 180° to 45° crank angle (CA) before TDC, are considered. In all cases the mass of hydrogen necessary for the formation of stoichiometric mixture with air during injection into the combustion chamber is supplied. It is received that the most uniform mixture by the instant of ignition is formed at advanced injection (180°–135° CA before TDC) under a relatively low pressure (20–60 atm). The ignition of uniform mixture in the conditions considered leads to detonation regime of combustion. Lower degree of mixture uniformity corresponds to slow, deflagration, regime of combustion. It is important to note that non-uniformity of mixture specifies the uncertainty of formation of a certain combustion regime depending on the local mixture composition in the vicinity of a spark. Herewith, the slowest combustion regime provides the maximum hydrogen combustion incompleteness, up to 8.2%. Generally, the considered ranges of injection pressure and start of injection lead to satisfactory levels of hydrogen combustion incompleteness, less than 4%.
Full Text
ВВЕДЕНИЕ
Водород является перспективным топливом, а горение водорода – перспективным процессом для энергетики, поскольку продукты горения водорода не содержат CO2 и загрязняющих веществ, характерных для процесса сжигания углеводородных топлив, широко использующихся в настоящее время. При этом процесс горения является высокоэффективным, так как обеспечивает получение большого количества энергии [1–3]. Так, удельная теплота сгорания водорода примерно в 2.5 раза выше аналогичного значения для метана и в 2.7 раза выше аналогичного значения для бензина. В качестве устройств по преобразованию энергии горения в механическую работу могут служить двигатели внутреннего сгорания, на протяжении длительного времени зарекомендовавшие себя как надежные и долговечные устройства. Использование водорода как основного топлива в настоящее время исследуется в применении как к двигателям с искровым зажиганием [4–11], так и к двигателям с воспламенением от сжатия [12]. Следует отметить, что ключевыми процессами, которые требуют детальных и всесторонних исследований, являются подача водорода в цилиндр двигателя, его перемешивание с воздухом и последующее сгорание. Эти процессы необходимо оптимизировать во избежание нештатных явлений, для достижения минимального недогорания водорода, а также для протекания горения наиболее эффективным образом и, как следствие, получения как можно более высокого КПД.
В настоящее время показано, что прямой впрыск водорода в цилиндр [4–12] является наилучшим методом подачи водорода в отличие от распределенного впрыска и карбюраторной системы, поскольку обеспечивает отсутствие нештатных процессов, таких как преждевременное воспламенение и обратная вспышка [4–6, 8, 11]. Однако не до конца исследовано влияние таких параметров, как давление впрыска и время начала впрыска (start of injection), на эффективность последующего перемешивания водорода с воздухом и его сгорание. При этом оказывается важным исследовать влияние указанных параметров при работе двигателей в различных условиях. Рассмотрим работы, посвященные таким исследованиям [4–12].
В экспериментальной работе [4] используются давления впрыска в 50–150 атм. Время начала впрыска при этом варьируется в диапазоне, соответствующем 50°–300° поворота коленчатого вала (п.к.в.) до верхней мертвой точки (ВМТ), впрыск осуществляется через один инжектор. Получено, что поздний впрыск приводит к более высокому термическому КПД, что во многом зависит от теплопотерь в стенки, т.е. поздний впрыск водорода приводит к сокращению этих теплопотерь. Кроме того, при использовании более высоких давлений впрыска имеет место большая чувствительность термического эффективного КПД к времени начала впрыска. Показано, что, оптимизируя время начала впрыска при давлении впрыска 50 атм, можно повысить термический эффективный КПД на 0.5%, а при 150 атм – на 2.3%.
В экспериментах, проведенных в работе [5], давление впрыска составляло 100 атм. Получено, что время начала впрыска существенно влияет на скорость сгорания. При этом скорость сгорания снижается, а затем повышается при все большем опережении времени начала впрыска от 80° до 160° п.к.в. до ВМТ. Максимальное время сгорания в режимах работы двигателя на 1500–2500 об/мин наблюдается, когда впрыск реализуется в момент времени, соответствующий 120° п.к.в. до ВМТ.
Экспериментальная работа [6] посвящена определению влияния времени и давления впрыска на производительность двигателя. Используются давления впрыска 50 и 70 атм и времена впрыска от 350° п.к.в. до ВМТ и вплоть до ВМТ. Получено, что крутящий момент и КПД повышаются при запаздывающем впрыске, однако степень запаздывания ограничена, так как на длительность впрыска топлива влияет давление внутри цилиндра. При повышении давления впрыска крутящий момент может быть незначительно увеличен при еще большем запаздывании времени впрыска либо увеличении длительности впрыска, что, однако, приводит к снижению КПД.
В рамках численного моделирования [7] получены поля распределения эквивалентного соотношения и мольной доли водорода при использовании различных времен окончания впрыска: 180°, 110°, 50° и 40° п.к.в. до ВМТ. Давление впрыска составляло 50 и 100 атм, а состав смеси предполагался ультрабедным. Сделан вывод о том, что по мере повышения задержки впрыска концентрация смеси вблизи искры, скорость горения, а также максимальный термический КПД постепенно увеличиваются.
В работе [8] проведено численное моделирование впрыска водорода под давлением 20 атм и последующего его сгорания; представлены соответствующие поля концентрации и температуры. Варьировались времена начала впрыска: 190°, 290°, 350° п.к.в. до ВМТ. Показано, что при разных временах начала впрыска распространение горения включает как распространение фронта пламени, инициированного искрой, так и независимое самовоспламенение. Поздний впрыск приводит к слабому перемешиванию и более медленному горению ввиду формирования смеси бедного состава вблизи искры, что, в свою очередь, приводит к наиболее низкому термическому КПД при варьировании времени начала впрыска.
В работе [9] проведено экспериментальное исследование влияния различных параметров на стук. Так, показано, что запаздывание впрыска приводит к нелинейному изменению интенсивности детонации. Отмечено, что наиболее существенно на стук влияет эквивалентное соотношение смеси. Также делается вывод о том, что повышение давления впрыска может сказываться на уменьшении интенсивности стука.
В работе [10] проведенные одно- и трехмерные расчеты направлены на изучение принципиальной возможности перехода бензинового двигателя на водород. При этом в качестве топливно-воздушных смесей рассматриваются бедные смеси. Получено, что производительность можно повысить при запаздывании времени впрыска.
В расчетно-теоретической работе [11] целью стало повышение производительности двигателя, работа которого обеспечивает почти нулевые выбросы NOx, за счет оптимизации впрыска. Авторами обнаружено, что для достижения указанного результата необходимо зафиксировать момент окончания впрыска на значении 80° п.к.в. до ВМТ. При этом при варьировании времени начала впрыска наблюдается нерегулярное распределение производительности двигателя. Максимальное давление впрыска составляло 140 атм.
Наконец, стоит отдельно отметить работы по исследованию перемешивания и горения в двигателях с воспламенением от сжатия с прямым впрыском водорода [12].
Необходимо отметить, что на процессы впрыска и перемешивания влияет способ подачи водорода. Так, в большинстве работ используется один инжектор, установленный центрально [4, 5, 8].
В настоящей работе проводится численное моделирование прямого впрыска водорода в цилиндр, заполненный воздухом, на такте сжатия, последующего перемешивания водорода с воздухом и сгорания при воспламенении от искры. Поскольку к наиболее эффективному процессу сгорания приводят стехиометрический состав, впрыск водорода осуществляется до тех пор, пока в цилиндр не поступит масса водорода, необходимая для образования такого состава с находящимся в цилиндре воздухом. Безусловно, на эффективность сгорания влияет также степень однородности смеси. Этот фактор в настоящей работе анализируется посредством варьирования давления впрыска от 20 до 140 атм, а также момента начала впрыска от 0° до 135° п.к.в. (0° п.к.в. соответствует началу такта сжатия). Последующий поджиг осуществляется при нахождении поршня в верхней мертвой точке, что соответствует 180° п.к.в. Анализируется также влияние указанных параметров на скорость перемешивания, на степень однородности смеси в момент поджига и на последующее горение, т.е. на его скорость и полноту.
ПОСТАНОВКА ЗАДАЧИ ЧИСЛЕННОГО МОДЕЛИРОВАНИЯ
Решение задачи, представленной выше, проводится методами численного моделирования в двумерной осесимметричной постановке. В качестве математической модели используется система уравнений газодинамики Навье–Стокса с учетом процессов молекулярного переноса: диффузии, вязкости, теплопроводности, а также процесса химического превращения при горении водорода. Последнее описывается с использованием детального механизма химической кинетики [13], состоящего из 21 элементарной реакции между восемью компонентами: H2, O2, H2O, H, O, OH, HO2, H2O2. Молекулярный азот участвует в реакциях лишь как третье тело, его окисление не рассматривается.
Численное решение системы уравнений газодинамики осуществляется модифицированным эйлерово-лагранжевым методом “крупных частиц” [14], имеющим второй порядок точности по пространству и первый порядок точности по времени. Ранее этот метод использовался авторами для решения широкого класса задач газодинамики горения: от горения в газопоршневом двигателе [15–19] до перехода горения в детонацию [20, 21] и самовоспламенения водорода при его истечении под высоким давлением в окислитель [22].
Решение системы уравнений газодинамики проводится в двумерной постановке: в цилиндрических координатах с учетом аксиальной симметрии. Шаг расчетной сетки составляет 400 мкм. Отметим, что ранее в работах авторов [16, 17] было проведено моделирование процесса горения смесей на основе водорода в камере под поршнем с использованием аналогичной расчетной сетки. Было получено удовлетворительное согласие с экспериментами по индикаторным диаграммам. Расчетная область представлена на рис. 1. Левая граница области соответствует оси симметрии. Расчетная область состоит из цилиндра двигателя и камеры высокого давления (КВД), которые обозначены цифрами 3 и 4 соответственно. Эти области разделены стенкой 2 толщиной около 3 мм, имеющей щель шириной 1.6 мм, расположенной в центре радиального направления цилиндра (в трехмерном представлении щелевое пространство имеет вид кольца). При этом нижняя граница расчетной области соответствует положению поршня и является подвижной: проводится моделирование тактов сжатия и расширения.
Рис. 1. Схема расчетной области: 1 – ось симметрии, 2 – стенка со щелью, 3 – цилиндр, 4 – камера высокого давления, 5 – положение искрового поджига, 6 – нижняя мертвая точка, 7 – верхняя мертвая точка.
Рассмотрим последовательность проведения отдельного расчета. В нулевой момент времени, соответствующий 0° п.к.в., начинается такт сжатия: поршень начинает движение вверх. При этом скорость движения определяется стандартным законом, описывающим движение поршня четырехтактного двигателя [23]. В начальный момент времени цилиндр заполнен воздухом при нормальных условиях (1 атм, 300 К), а КВД – водородом под давлением, варьируемым от 20 до 140 атм, и при температуре 300 К. Открытие щели в верхней стенке, разделяющей цилиндр и КВД, происходит в моменты времени, соответствующие следующим углам п.к.в.: 0°, 45°, 90° либо 135°. Закрытие осуществляется по окончании впуска такой массы водорода, которая необходима для образования стехиометрической смеси с находящимся в цилиндре воздухом. Таким образом, впуск водорода осуществляется в процессе такта сжатия. Окончание такта сжатия соответствует достижению поршнем ВМТ, обозначенной на рис. 1 цифрой 7. Далее происходит такт расширения, т.е. поршень начинает движение вниз. При этом в начале такта расширения, при 180° п.к.в. происходит искровой поджиг топливно-воздушной смеси в камере сгорания. Положение искры обозначено на рис. 1 цифрой 5. Моделирование поджига осуществляется как вклад дополнительной энергии в ~1.5 Дж в полусферическую область радиусом 4 мм в центре цилиндра у его верхней стенки. Длительность подвода энергии – 12 мкс.
Отметим отдельно параметры моделируемого двигателя. Угловая скорость вращения коленчатого вала составляет 1500 об/мин, степень сжатия – 11.4, диаметр цилиндра и ход поршня – 128 мм.
РЕЗУЛЬТАТЫ И ИХ ОБСУЖДЕНИЕ
Рассмотрим процесс импульсной подачи водорода в цилиндр. Будем рассматривать четыре базовых варианта давлений впрыска: 20, 60, 100 и 140 атм, и четыре момента времени впрыска, соответствующие 0°, 45°, 90° и 135° п.к.в или 0, 0.005, 0.01 и 0.015 с. Впрыск происходит через щелевое пространство, расположенное в середине радиального направления цилиндра в верхней его стенке, граничащей с КВД. Длительность впрыска определяется массой водорода, поступающей в цилиндр. Впрыск завершается, когда в цилиндр поступила масса, необходимая для образования стехиометрической смеси водорода с находящимся в нем воздухом. Массовая доля водорода в стехиометрической смеси составляет величину, равную 0.028863, что соответствует мольной доле, составляющей 0.295. На рис. 2 показана эволюция массовой доли водорода при впрыске под давлением 20, 60, 100 и 140 атм при начале впрыска при 90° п.к.в. (0.01 с). Массовая доля растет и при закрытии клапана выходит на постоянную указанную выше величину. По мере повышения давления впрыска время впрыска существенно уменьшается. Как показали расчеты, при изменении времени впрыска не происходит заметного изменения его длительности. Таким образом, для давления в 20 атм длительность впрыска составляет 167 мкс, для 60 атм – 56 мкс, для 100 атм – 33 мкс, для 140 атм – 25 мкс. И только один из рассмотренных случаев заметно отличается: для давления в 20 атм при осуществлении начала впрыска при 135° п.к.в. длительность впрыска составила 181 мкс, что связано с существенным повышением внутрицилиндрового давления относительно давления в КВД на этот момент времени.
Рис. 2. Эволюция массовой доли водорода в цилиндре, w(H2), по мере впрыска H2 под давлением 20, 60, 100 и 140 атм (кривые 1–4, соответственно). Время начала впрыска составляет 10 мс или 90° п.к.в.
Рассмотрим далее процесс перемешивания водорода с находящимся в цилиндре воздухом при разных давлениях и моментах начала впрыска. Для анализа степени однородности смеси водорода с воздухом введем величину σ, которая рассчитывается как доля расчетной области, приходящейся на цилиндр двигателя, в которой мольная доля водорода находится в диапазоне значений от 0.2 до 0.4, т.е. находится в окрестности стехиометрического значения (0.295).
На рис. 3 представлены зависимости степени однородности σ от времени. Наблюдается постепенный рост σ в каждом случае, и в ряде случаев к моменту достижения поршнем ВМТ она достигает 100%, что означает, что камера сгорания заполнена почти однородной околостехиометрической смесью. Отметим, что для более низких давлений подачи водорода, равных 20 и 60 атм, перемешивание происходит более интенсивно и соответствует наибольшему значению степени однородности, чем в случае более высоких давлений: 100 и 140 атм. При этом для давления в 20 атм сильная задержка впрыска (135° п.к.в.) приводит к значительно более низкой степени однородности, чем более ранняя. Для высоких давлений результативность перемешивания имеет нерегулярную зависимость от времени начала впрыска: наилучшим оказывается впрыск либо при 0°, либо при 135° п.к.в.
Рис. 3. Степень однородности смеси σ в зависимости от времени при впрыске водорода под давлением 20, 60, 100 и 140 атм (фрагменты а–г, соответственно) при временах начала впрыска 0°, 45°, 90° и 135° п.к.в. (кривые 1–4, соответственно, на каждом фрагменте).
Сопоставим динамику процессов перемешивания при разных давлениях. На рис. 4 показаны поля мольной доли водорода, начиная с 2° п.к.в., когда процесс впрыска завершен, для давлений впрыска 20 и 100 атм. Видно, что структуры струй существенно различаются уже при 2° п.к.в. При 60° п.к.в. в случае низкого давления перемешивание произошло существенно лучше, чем в случае высокого давления: расчетная область почти вся заполнена смесью, близкой по составу к стехиометрической, в то время как в случае высокого давления масса водорода сосредоточена в большей мере в верхней части цилиндра. Далее, при 120° п.к.в. при давлении впрыска 20 атм смесь почти однородна, тогда как при 100 атм все еще имеет место достаточно высокий уровень неоднородности смеси. На заключительный перед поджигом момент времени, соответствующий 180° п.к.в., в обоих случаях σ = 100%, однако в случае высокого давления распределение мольной доли водорода существенно более неоднородно.
Рис. 4. Поля мольной доли водорода, Y(H2), на последовательные моменты времени при осуществлении впрыска под давлением 20 (а) и 100 атм (б) в момент, соотвествующий 0° п.к.в.
Таким образом, получен неочевидный результат для случая ранней подачи водорода в цилиндр: чем меньше давление впрыска, тем интенсивнее происходит перемешивание. При этом стоит отметить, что давление впрыска может оказывать влияние на формирование струи только в течение времени впрыска. В настоящей работе время впрыска определяется массой впускаемого водорода, которая контролировалась таким образом, чтобы в камере сгорания полное содержание водорода соответствовало стехиометрическому составу водородно-воздушной смеси (в предельном случае состав смеси должен стать стехиометрическим). В связи с этим время впрыска однозначно связано с давлением в системе подачи водорода.
В случае подачи водорода под высоким давлением на момент остановки подачи вся масса водорода сосредоточена в меньшем объеме. При этом в камере сгорания формируются достаточно интенсивные газодинамические течения, индуцированные относительно сильной ударной волной, что, в свою очередь, тоже способствует локализации массы водорода. В частности, ударная волна, отраженная от поверхности поршня (нижней стенки), создает встречное по отношению к струе водорода течение, препятствующее дальнейшему распространению водорода. Так, сравнивая моменты времени, соответствующие 2° п.к.в., можно видеть, что при давлении подачи водорода 100 атм (рис. 4б) его масса оказывается фактически локализована в верхней части камеры сгорания, тогда как при меньшем давлении подачи в 20 атм (рис. 4а) струя водорода проникает дальше в направлении поршня (ввиду более долгого импульсного воздействия в этом направлении и меньшего противотока). В результате, несмотря на то, что далее имеет место довольно интенсивное перемешивание, происходящее по закону σ ~ t α, как представлено на рис. 3 (в случае высоких давлений α > 1, тогда как при низких давлениях α < 1), в течение определенного промежутка времени степень однородности смеси в случае низкого давления оказывается выше. В рассмотренной конкретной геометрии камеры сгорания это реализуется фактически до момента достижения поршнем верхней мертвой точки.
В случае более поздней подачи водорода в цилиндр ситуация изменяется, и главным образом это связано с тем, что давление внутри цилиндра повышается. В связи с этим, в случае высокого давления подачи водорода интенсивность струйного течения и генерируемых ударных волн заметно снижается, и, как следствие, наблюдается режим заполнения цилиндра, аналогичный тому, что наблюдался при раннем впрыске при низком давлении подачи (на рис. 3в с увеличением времени начала подачи показатель зависимости σ ~ t α меняет знак, т.е. α < 1). При низком давлении подачи интенсивность струйного течения снижается еще больше, а следовательно, снижается и интенсивность вихревых течений, обеспечивающих перемешивание водорода с воздухом, и степень однородности смеси не достигает значения в 100% в ВМТ.
Рисунок 5 иллюстрирует эволюцию течений в случаях подачи водорода под давлением 20 и 100 атм в момент, соотвествующий 135° п.к.в., и, как можно видеть, в данном случае подача водорода под более высоким давлением обеспечивает большую степень однородности смеси в ВМТ. Стоит отметить, что в рассмотренной постановке задачи при давлении подачи водорода 140 атм высокой степени однородности смеси достичь не удается даже при начале подачи при 135° п.к.в. (рис. 3г). Таким образом, можно заключить, что для каждой геометрии камеры сгорания должно существовать оптимальное соотношение давления и времени начала подачи водорода, обеспечивающее наилучшую степень однородности смеси на момент поджига.
Рис. 5. Поля мольной доли водорода, Y(H2), на последовательные моменты времени при осуществлении впрыска под давлением 20 (а) и 100 атм (б) в момент, соотвествующий 135° п.к.в.
Рассмотрим теперь процессы горения водородно-воздушных смесей в камере сгорания при осуществлении искрового поджига в момент времени, соответствующий 180° п.к.в., или ВМТ. Таким образом, определим, как условия впрыска водорода могут влиять на ключевой процесс в двигателе – сгорание. На рис. 6 представлены индикаторные диаграммы для разных давлений и моментов начала впрыска. По виду индикаторных диаграмм можно заключить, что существуют два режима горения: детонационный (кривые 1, 2 на фрагментах а и б) и дефлаграционный (остальные кривые). Детонационный режим горения характеризуется наличием резкого пика давления, формируемого непосредственно в результате искрового поджига. При этом сгорание всей смеси в объеме цилиндра происходит за крайне малое время (около 50 мкс). Последующие пики давления отвечают распространению волн давления, отраженных от стенок камеры сгорания. Детонационный режим имеет место при сгорании почти однородной околостехиометрической смеси водорода с воздухом и был ранее отдельно рассмотрен в работах авторов [18, 19]. При дефлаграционном сгорании индикаторная диаграмма имеет вид постепенного нарастания давления. Колебания давления около среднего значения после завершения сгорания основной массы смеси имеют место, но малы по сравнению с наблюдаемыми при реализации детонационного режима. Через некоторое время после поджига, составляющее примерно от 5 до 20° п.к.в., давление достигает своего максимума.
Рис. 6. Индикаторные диаграммы в случае поджига при 180° п.к.в. для следующих условий впрыска: под давлением 20, 60, 100 и 140 атм (фрагменты а–г) в моменты времени, соответствующие 0°, 45°, 90° и 135° п.к.в. (кривые 1–4, соответственно, на каждом фрагменте).
Отметим, что состав топливно-воздушной смеси перед искровым поджигом, который определяется давлением и моментом начала впрыска, существенно влияет на режим и длительность горения. Сопоставляя рис. 3 и 6, можно сделать вывод, что в менее однородной смеси горение происходит существенно медленнее – например, для следующих случаев давления и времени впрыска: 20 атм и 135° п.к.в.; 100 атм и 45° п.к.в.; 140 атм и 90° п.к.в. Также из сопоставления рис. 3 и 6 видно, что чем раньше смесь достигает 100%-ной степени однородности, тем выше вероятность возникновения детонационного режима горения. Это относится к случаям впрыска под давлением 20 либо 60 атм и временам начала впрыска 0 или 45° п.к.в.
Крайне важно отметить, что на ход горения влияет не только “грубый” критерий степени однородности σ, но и локальное состяние смеси вблизи искры на момент поджига, которое указанный критерий не отражает. Так, дополнительный анализ показал, что для момента начала впрыска 0° п.к.в. и давлений впрыска 100 и 140 атм вблизи искры на момент достижения поршнем ВМТ смесь является более бедной и более богатой соответственно. Отклонение от стехиометрии по молярной доле при этом составляет около 10%. Этот факт объясняет различие режимов горения для указанных давлений впрыска и для давлений 20 и 60 атм: в первом случае он является дефлаграционным, во втором – детонационным.
Опишем теперь, каким является исход горения в каждом из рассматриваемых случаев: рассмотрим степень недогорания водорода. Общепринятой величиной, описывающей изменение количества топлива при сгорании, является доля сгоревшего водорода по массе (mass fraction burned, или xb [23]). В настоящей работе эта величина определялась непосредственно по результатам моделирования процесса горения в камере сгорания: на некоторый момент времени определяется отношение текущей массы водорода в цилиндре к массе водорода на момент начала поджига, т.е. 180° п.к.в., или ВМТ. На рис. 7 представлена эволюция доли сгоревшего водорода по массе для всех рассматриваемых вариантов впрыска. Ход полученных кривых хорошо согласуется с ходом индикаторных диаграмм: в случае детонационного сгорания доля сгоревшего водорода изменяется практически скачкообразно, а для дефлаграционного горения изменение доли сгоревшего водорода происходит медленнее. Во втором случае ход кривой можно разделить на два участка, соответствующие двум режимам: рост доли сгоревшего водорода по массе с большой скоростью и очень медленный рост. Первый режим отвечает процессу сгорания при распространении фронта горения по камере сгорания и завершается достижением фронта ее стенок, а второй – процессу догорания водорода, содержащегося в продуктах, заполняющих камеру после прохождения фронта горения.
Рис. 7. Изменение во времени доли сгоревшего водорода по массе, xb, в случае поджига при 180° п.к.в. для следующих условий впрыска: под давлением 20, 60, 100 и 140 атм (фрагменты а–г) в моменты времени, соответствующие 0°, 45°, 90° и 135° п.к.в. (кривые 1–4, соответственно, на каждом фрагменте).
Для количественного определения доли несгоревшего водорода обратимся к кривым, отражающим изменение во времени массовой доли водорода в цилиндре и представленным на рис. 8. Расчет массовой доли происходил так же, как это было сделано для рис. 2. Согласно рис. 8, массовая доля водорода при впрыске резко доходит до необходимого значения, соответствующего стехиометрическому составу смеси с воздухом в цилиндре. Далее, по мере перемешивания массовая доля водорода не изменяется, а после срабатывания искры она резко уменьшается и по мере протекания горения после достижения фронтом стенок камеры демонстрирует медленное снижение. Определим степень недогорания водорода как отношение массы водорода при 250° п.к.в. к массе водорода при 180° п.к.в и обозначим ее как δm. Угол 250° п.к.в. при этом выбран произвольно и условно отражает окончание протекания горения, в особенности для случаев интенсивного протекания сгорания.
Рис. 8. Изменение во времени массовой доли водорода в цилиндре, w(H2), в случае поджига при 180° п.к.в. для следующих условий впрыска: под давлением 20, 60, 100 и 140 атм (фрагменты а–г) в моменты времени, соответствующие 0°, 45°, 90° и 135° п.к.в. (кривые 1–4, соответственно, на каждом фрагменте).
Отметим, что массовую долю водорода можно перевести в мольную согласно формуле [24] Ys = (wsμs)(∑wi /μi)−1, где Ys – мольная доля s-го компонента (водорода), μi – молярная масса i-го компонента смеси. При этом эволюция во времени объемной доли имеет схожий вид с ходом временной зависимости массовой доли (рис. 8). В результате впрыска значение мольной доли составляет около 0.3, т.е. соответствует стехиометрии. Как показали расчеты, определение недогорания водорода не по массовой, а по мольной доле не сильно отличается от первого варианта расчета.
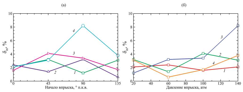
На рис. 9 показаны результаты определения степени недогорания водорода по массе, δm. Видно, что почти во всех рассмотренных случаях при варьировании давления и времени начала впрыска в рассматриваемых диапазонах этих значений уровень недогорания не превышает 4%, что является удовлетворительным результатом. При этом соответствующие зависимости являются немонотонными и степень недогорания может изменяться по мере варьирования данных параметров впрыска. Максимальное недогорание, составляющее 8.2%, наблюдается для давления впрыска в 140 атм и времени начала впрыска 90° п.к.в. Отметим, что при рассмотрении рис. 3 (степень однородности), рис. 6 (индикаторные диаграммы), рис. 7 (доля сгоревшего топлива), рис. 8 (массовая доля водорода) и рис. 9 (степень недогорания) становится очевидной связь процесса перемешивания с окончательным результатом – величиной степени недогорания. Так, эти рисунки показывают следующие варианты с хуже всего перемешанной смесью, наиболее медленным горением и в конечном счете с наибольшей степенью недогорания: 20 атм и 135° п.к.в. (оранжевые кривые на рис. 3, 6, 7, 8, 9б); 100 атм и 45° п.к.в. (зеленые кривые на тех же рисунках); 140 атм и 90° п.к.в. (синие кривые на тех же рисунках). При этом для всего рассмотренного диапазона времени начала импульсной подачи водорода наилучший уровень перемешанности и недогорания обеспечивается при давлении 60 атм.
Рис. 9. Зависимость степени недогорания водорода по массе, δm, от времени начала впрыска (фрагмент а, кривые 1–4 соответствуют начальным давлениям 20, 60, 100 и 140 атм) и давления впрыска (фрагмент б, кривые 1–4 соответствуют временам начала впрыска 0°, 45°, 90° и 135° п.к.в.).
ЗАКЛЮЧЕНИЕ И ВЫВОДЫ
В настоящей работе рассмотрено влияние давления впрыска и времени начала впрыска водорода в камеру сгорания двигателя с искровым зажиганием на степень однородности смеси водорода с воздухом и уровень недогорания водорода. Показано, что степень однородности непосредственно влияет на уровень недогорания: чем меньше степень однородности на момент поджига, тем больше недогорание водорода. Кроме того, показано, что для обеспечения наиболее эффективного протекания горения (высокой скорости горения и малого недогорания) важно организовать процесс подготовки смеси таким образом, чтобы состав смеси вблизи искры был близок к стехиометрическому. Сделаны следующие важные выводы:
- Для получения наиболее однородной смеси ранний впрыск (0°–90° п.к.в.) лучше осуществлять под малым давлением (около 20 атм), а поздний впрыск (135° п.к.в.) – под высоким (100 атм).
- Самое быстрое и интенсивное горение (детонационный режим) имеет место при малых давлениях впрыска (20–60 атм) и ранних временах впрыска 0°–45° п.к.в.). Такой процесс происходит при горении однородно перемешанной смеси стехиометрического состава.
- Меньшая степень однородности смеси на момент поджига приводит к более медленному горению.
- Несмотря на то, что во всех рассмотренных режимах в камеру сгорания подается столько водорода, сколько необходимо для образования смеси с воздухом стехиометрического состава, горение протекает различным образом при разных давлениях и временах начала импульсной подачи водорода в камеру.
Полученные в работе результаты указывают на возможные пути оптимизации процесса сжигания водорода в камере сгорания двигателя с искровым зажиганием путем варьирования параметров, характеризующих прямую подачу водорода, а именно давления и момента времени начала подачи, оказывающих существенное влияние на степень однородности формируемой смеси, режим горения и недогорание.
Данная работа финансировалась за счет средств бюджета ОИВТ РАН на выполнение госзадания (тема № 075-00270-24-00).
About the authors
A. E. Smygalina
Joint institute for high temperatures of the Russian Academy of Sciences
Author for correspondence.
Email: smygalina-anna@yandex.ru
Russian Federation, Moscow
A. D. Kiverin
Joint institute for high temperatures of the Russian Academy of Sciences
Email: smygalina-anna@yandex.ru
Russian Federation, Moscow
References
- A.M. Tereza, G.L. Agafonov, E.K. Anderzhanov, A.S. Betev, S.P. Medvedev, and S.V. Khomik, Russ. J. Phys. Chem. B 16 (4), 686 (2022). https://doi.org/10.1134/S1990793122040297
- S.P. Medvedev, O.G. Maximova, T.T. Cherepanova, G.L. Agafonov, E.K. Anderzhanov, A.M. Tereza, and S.V. Khomik, Russ. J. Phys. Chem. B 16 (6), 1112 (2022). https://doi.org/10.1134/S1990793122060082
- S.M. Frolov and V.S. Ivanov, Russ. J. Phys. Chem. B 15 (2), 318 (2021). https://doi.org/10.1134/S1990793121020184
- H. Wei, Z. Hu, J. Ma, W. Ma, S. Yuan, Y. Hu, K. Hu, L. Zhou, and H. Wei, Int. J. Hydrogen Energy 48 (34), 12905 (2023). https://doi.org/10.1016/j.ijhydene.2022.12.031
- Y. Duan, B. Sun, Q. Li, X. Wu, T. Hu, and Q. Luo, Energy Convers. Manag. 291, 117267 (2023). https://doi.org/10.1016/j.enconman.2023.117267
- C. Park, Y. Kim, S. Oh, J. Oh, Y. Choi, H. Baek, S.W. Lee, and K. Lee, Int. J. Hydrogen Energy 47 (50), 21552 (2022). https://doi.org/10.1016/j.ijhydene.2022.04.274
- Z. Fu, W. Gao, Y. Li, X. Hua, J. Zou, and Y. Li, Int. J. Hydrogen Energy 48 (51), 19700 (2023). https://doi.org/10.1016/j.ijhydene.2023.02.041
- M. Yosri, R. Palulli, M. Talei, J. Mortimer, F. Poursadegh, Y. Yang, and M. Brear, Int. J. Hydrogen Energy 48 (46), 17689 (2023). https://doi.org/10.1016/j.ijhydene.2023.01.228
- F. Lai, B. Sun, X. Wang, D. Zhang, Q. Luo, and L. Bao, Int. J. Hydrogen Energy 48 (20), 7488 (2023). https://doi.org/10.1016/j.ijhydene.2022.11.091
- A. Anticaglia, F. Balduzzi, G. Ferrara, M. De Luca, D. Carpentiero, A. Fabbri, and L. Fazzini, Int. J. Hydrogen Energy 48 (83), 32553 (2023). https://doi.org/10.1016/j.ijhydene.2023.04.339
- F. Zhao, B. Sun, S. Yuan, L. Bao, H. Wei, and Q. Luo, Int. J. Hydrogen Energy 49, Part B, 713 (2024). https://doi.org/10.1016/j.ijhydene.2023.09.039
- R. Babayev, A. Andersson, A.S. Dalmau, H.G. Im, and B. Johansson, Int. J. Hydrogen Energy 46 (35), 18678 (2021). https://doi.org/10.1016/j.ijhydene.2021.02.223
- M.O Conaire, H.J. Curran, J.M. Simmie, W.J. Pitz, and C.K. Westbrook, Int. J. Chem. Kinet. 36 (11), 603 (2004). https://doi.org/10.1002/kin.20036
- O.M. Belotserkovskii and Yu.M. Davydov, Large-Particle Method in Gas Dynamics (Nauka, Moscow, 1982) [in Russian].
- M.A. Liberman, M.F. Ivanov, D.M. Valiev, and L.E. Eriksson, Combust. Sci. Technol. 178 (9), 1613 (2006). https://doi.org/10.1080/00102200500536316
- V.M. Zaichenko, A.D. Kiverin, A.E. Smygalina, and A.I. Tsyplakov, Thermal Engineering 65 (13), 1009 (2018). https://doi.org/10.1134/S0040601518130141
- A.E. Smygalina, A.D. Kiverin, V.M. Zaichenko, and A.I. Tsyplakov, J. Eng. Phys. Thermophys. 95 (1), 168 (2022). https://doi.org/10.1007/s10891-022-02478-y
- A. E. Smygalina and A. D. Kiverin, Journal of Zhejiang University Science A 23 (10), 838 (2022). https://doi.org/10.1631/jzus.A2200217
- A.D. Kiverin and A.E. Smygalina, High Temperature 60 (1), 94 (2022). https://doi.org/10.1134/S0018151X22010138
- M.F. Ivanov, A.D. Kiverin, I.S. Yakovenko, and M.A. Liberman, Int. J. Hydrogen Energy 38 (36), 16427 (2013). https://doi.org/10.1016/j.ijhydene.2013.08.124
- A.D. Kiverin, A.E. Smygalina, and I.S. Yakovenko, Russ. J. Phys. Chem. B 14 (4), 607 (2020). https://doi.org/10.1134/S1990793120040168
- A.E. Smygalina and A.D. Kiverin, Russ. J. Phys. Chem. B 16 (6), 1102 (2022). https://doi.org/10.1134/S1990793122060124
- J.B. Heywood, Internal Combustion Engine Fundamentals (McGraw-Hill, New York, 1988).
- J. Warnatz, U. Maas, and R. W. Dibble, Combustion: Physical and Chemical Fundamentals, Modeling and Simulation, Experiments, Pollutant Formation (Springer, Berlin, 2006).
Supplementary files











