The structure of DNA in anabiotic and mummified Escherichia coli cells
- Authors: Krupyanskii Y.F.1, Kovalenko V.V.1, Loiko N.G.1,2, Tereshkin E.V.1, Tereshkina K.B.1, Popov A.N.3
-
Affiliations:
- Semenov Federal Research Center of Chemical Physics, Russian Academy of Sciences
- Federal Research Center “Fundamentals of Biotechnology”, Russian Academy of Sciences
- European Synchrotron Radiation Facility
- Issue: Vol 43, No 7 (2024)
- Pages: 102-110
- Section: Chemical physics of biological processes
- URL: https://journals.rcsi.science/0207-401X/article/view/274713
- DOI: https://doi.org/10.31857/S0207401X24070102
- ID: 274713
Cite item
Full Text
Abstract
The structural organization of DNA in “stressed” (with increased stress resistance), anabiotic and mummified cells obtained by introducing 4-hexylresorcinol in different concentrations at different stages of cell culture growth was studied using the synchrotron radiation diffraction technique. Experimental studies allow us to conclude that 4-hexylresorcinol is the initiator of the transition of cells into an anabiotic and mummified state in the stationary stage of growth. In the prestationary stage, in the studied concentration range, 4-hexylresorcinol initiates the transition of cells into a mummified state, but not into an anabiotic state, which indicates that DNA is unprepared for the crystallization process in these bacteria. The structure of DNA inside a cell in an anabiotic dormant state (almost complete absence of metabolism) and dormant state (starvation stress) coincide (form nanocrystalline structures). Data indicate the universality of DNA condensation or the universality of DNA protection by the Dps protein in the dormant state, regardless of the type of stress. The mummified state (complete absence of metabolism, irreversible to life) is very different in structure (has no order within the cell).
Full Text
1. ВВЕДЕНИЕ
В разбавленном растворе при термодинамическом равновесии ДНК образует клубок [1] объемом около 500 мкм3. Объем нуклеоида кишечной палочки Escherichia coli (E. coli) не превышает 1 мкм3. Столь резкое уменьшение объема, занимаемого ДНК в клетке, является следствием ее конденсации. Геномная ДНК бактерий, взаимодействуя с ДНК-ассоциированными белками, находится в конденсированном и функционально организованном виде в нуклеоиде клетки. Молекула ДНК организована в нуклеоиде активно растущей клетки E. coli иерархически, с тремя уровнями компактизации [2]. Изучение конденсации ДНК в клетке – фундаментальная задача, важная для понимания механизмов выживания бактерий, имеющая практическое применение в медицине для разработки новых методов борьбы с устойчивостью болезнетворных бактерий к действию антибиотиков.
Неблагоприятные изменения параметров окружающей среды воспринимаются микроорганизмами как стресс. В ответ на стрессовые воздействия клетки E. coli [3, 4] включают наследственные стратегии адаптации, основанные на структурных, биохимических и генетических перестройках, которые позволяют сохранять часть популяции и выживать в неблагоприятных условиях. Большинство таких стратегий направлены на защиту генетического материала клетки (ДНК) [4].
В активно растущих клетках, как и в других живых системах, за счет метаболизма поддерживается динамический, далекий от равновесия порядок [5, 6]. При переходе клеток, например, при стрессе голодания, в состояние покоя (практически полное отсутствие метаболизма) обычные биохимические методы защиты ДНК перестают работать и клетки, адаптируясь к новым условиям, вынуждены использовать физические механизмы защиты ДНК (плотная упаковка ДНК, кристаллизация ДНК с белками и т. д.). Оказалось, что образование покоящихся форм происходит и при действии на бактериальную популяцию другого типа стресса – химического аналога микробного аутоиндуктора анабиоза 4-гексилрезорцина (4HR) [3, 7].
В наших предыдущих работах методы дифракции синхротронного излучения и просвечивающей электронной микроскопии (ПЭМ) были использованы для изучения покоящихся клеток E. coli, полученных в естественном цикле развития культуры после их длительного голодания. Были обнаружены новые (по сравнению с активно растущими клетками) структуры конденсированной ДНК, среди которых доминирующей была наноразмерная кристаллическая [8].
В ряде исследований показано [3, 7], что добавление 4HR в низких концентрациях (до 10–4 М) к популяции стационарных (выдержанных в течение 6 ч) клеток E. coli штамма BL21 приводило к образованию форм с повышенной стрессоустойчивостью (способностью сохранять жизнеспособность более длительное время, чем у контрольных бактерий, полученных в тех же условиях, но не подвергавшихся воздействию 4HR). Дальнейшее повышение концентрации 4HR в культуре клеток инициирует переход клеток в покоящееся анабиотическое состояние (практически полное отсутствие метаболизма), напоминающее состояние покоя клеток при стрессе голодания [3, 7]. При дальнейшем увеличении концентрации 4-гексилрезорцина, введенного в клеточную суспензию, количество жизнеспособных клеток резко падает. При концентрациях выше 10–3 М действие 4HR вызывает полную потерю жизнеспособности бактериальных клеток (полное отсутствие метаболизма) [7]. Однако эти нежизнеспособные клетки сохраняют свою внешнюю форму в течение периода наблюдения около трех лет в условиях, благоприятных для автолиза. Эти клетки были названы мумифицированными клетками, или микромумиями [3, 7]. Клеточные стенки таких бактерий утолщались [7].
В данной работе представлены результаты воздействия на структуру конденсированной ДНК химического аналога аутоиндуктора анабиоза 4-гексилрезорцина. Целью работы было изучение методом диффракции синхронного излучения структурной организации ДНК в клетках с повышенной стрессоустойчивостью, анабиотических и мумифицированных клетках, полученных путем введения 4HR в разных концентрациях на разных стадиях роста культуры клеток. Полученные данные о структуре ДНК сравниваются со структурой конденсированной ДНК, образовавшейся в результате стресса голодания.
2. МАТЕРИАЛЫ И МЕТОДЫ
2.1. Химический аналог фактора анабиоза
В качестве химического аналога фактора анабиоза использовали 4-гексилрезорцин (4-гексилбензол-1,3-диол) производства компании Sigma-Aldrich (USA). Непосредственно перед экспериментом готовили рабочие водно-этаноловые растворы 4HR и добавляли их к клеточным суспензиям.
2.2. Бактериальный штамм
Работу проводили с использованием бактерий Escherichia coli штамма BL21-Gold (E. coli Gold) из коллекции ФИЦ ХФ РАН [9, 10].
2.3. Культивирование бактерий
Бактерии выращивали в среде Лурия–Бертани (LB, Broth Miller) компании VWR (Radnor, PA, USA) со 150 мкг/мл ампициллина. Инокулят – культура стационарной фазы роста (ночная культура) – добавляли в количестве 1 мл на 50 мл среды (2%), что обеспечивало начальную оптическую плотность в 0.3, измеренную спектрофотометром 7315 производства компании Jenway (Great Britain) на длине волны λ = 540 нм. Культивирование проводили в стеклянных колбах с ватными пробками емкостью 250 мл в 50 мл питательной среды при перемешивании со скоростью 120 об/мин и температуре 28 °С.
2.4. Получение анабиотических и мумифицированных клеток E. coli штамма BL21
Клетки E. coli штамма BL21 выращивали, как описано выше, до стационарной (в течение 6 ч) или предстационарной (4.5 ч) фаз роста. Затем добавляли спиртовой раствор 4HR до конечной концентрации: для получения клеток с повышенной стрессоустойчивостью – 10–5 М и 10–6 М, анабиотических клеток – 10–4 М; мумифицированных клеток – 10–3 М. Полученные виды клеток инкубировали в статическом режиме при температуре 23 °С в течение 6–8 сут и готовили образцы для структурных исследований.
2.5. Культивирование анабиотических клеток
Анабиотические клетки, полученные, как описано в п. 2.4, использовали в качестве инокулята, добавляя их в свежую питательную среду LB в количестве 1–2%. Культивирование вели, как описано в п. 2.3, периодически (через 1.5, 14 и 96 ч) отбирая аликвоты с целью подготовки образцов для рентгеноструктурного исследования.
2.6. Подготовка образцов бактерий для рентгеноструктурных исследований
Отобранные аликвоты образцов клеток центрифугировали в течение 10 мин при 10 000g. Осадок – биомассу клеток – собирали на держателе образца, который быстро (в течение 30 с), не допуская высыхания образца, помещали в продуваемую жидким азотом рабочую зону, где охлаждали до 100 К. Затем проводили необходимые рентгеноструктурные исследования.
2.7. Рентгеноструктурные исследования с использованием синхротронного излучения
Эксперименты проводили на станции ID23-1 синхротрона ESRF (Гренобль, Франция). Пучок рентгеновского излучения имел длину волны λ = 1.6799 Å, ширину апертуры – 10 мкм, время экспозиции для каждой дифракционной картины – 5 с. Плоский детектор PILATUS 6М располагался на расстоянии 95 см за образцом. Измерения проводились при температуре 100 К.
Схема эксперимента была аналогична применяемой схеме двумерной порошковой дифракции с плоским детектором. Образец представляет собой суспензию бактериальных клеток. Угол между осью, образуемой падающим лучом, и дифракционным кольцом, называется углом рассеяния и обозначается как 2θ. Разрешение, соответствующее углу рассеяния, обозначается через d. Подробное описание эксперимента по рассеянию можно найти в работах [9–12].
Упорядоченные структуры с шагом d ответственны за повышенную интенсивность рассеяния, соответствующую этому шагу решетки. Таким образом, анализ рентгенограмм бактериальных клеток, содержащих упорядоченные структуры, может быть использован для определения характерных расстояний d.
3. РЕЗУЛЬТАТЫ
3.1. Влияние 4-гексилрезорцина в различных концентрациях на структуру ДНК (клетки в стационарной фазе роста)
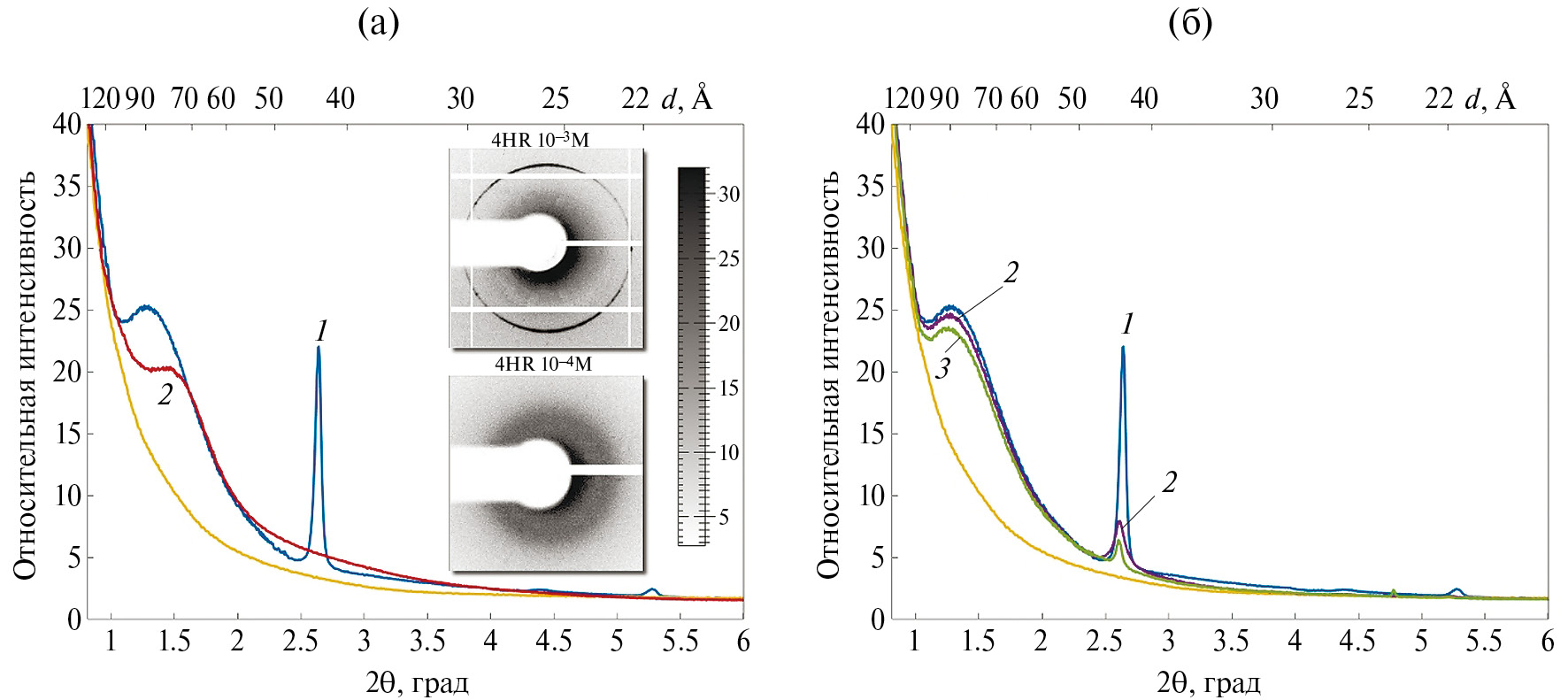
На рис. 1а показаны кривые рассеяния синхротронного излучения клетками, подвергнутыми воздействию 4HR в концентрациях 10–4 М (кривая 1) и 10–3 М (кривая 2), а на рис. 1б – кривые рассеяния синхротронного излучения для клеток, подвергнутых воздействию 4HR в концентрации 10–4 М (кривая 1), 10–5 М (кривая 2) и 10–6 М (кривая 3).
Рис. 1. Зависимость интенсивности рассеяния от угла 2θ образцов, содержащих бактериальные клетки штамма E. coli Gold, подвергнутые воздействию 4HR на стационарной фазе роста в следующих концентрациях: а – 10–4 М, анабиотическое состояние клетки (кривая 1, синяя), 10–3 М – мумифицированное состояние (кривая 2, красная); б – 10–4 М (кривая 1, синяя), 10–5 М (кривая 2, фиолетовая), 10–6 М (кривая 3, зеленая). Тонкие желтые кривые (на этом рисунке и далее) – интенсивность рассеяния от клеток в фазе активного роста. На вставках показаны дифрактограммы анабиотического и мумифицированного состояний клеток.
Интенсивность рассеяния от клеток E. coli в стационарной фазе роста, подвергнутых воздействию 4HR в концентрации 10–4 М (кривая 1), по форме идентична кривой, полученной от клеток, находящихся в условиях стресса голодания [9, 10] (см. также ниже рис. 4г). На кривой наблюдаются пики, соответствующие разрешению при 44 и 22 Å, а также широкий пик с максимумом интенсивности при разрешении 88 Å.
При увеличении концентрации 4HR до 10–3 М его влияние на клетки существенно отличается от наблюдавшегося выше. Такая концентрация 4HR приводит к образованию клеток-микромумий [7] с совершенно другой структурой ДНК. Кривая рассеяния от таких клеток (кривая 2 на рис. 1а) имеет небольшой широкий пик с максимумом интенсивности, соответствующим разрешению при 77 Å. Дифракционные пики, соответствующие наноразмерным кристаллическим структурам на кривых рассеяния от клеток-микромумий не наблюдаются, так же как и на кривых для покоящегося анабиотического состояния.
По мере уменьшения концентрации 4HR до 10–5 и 10–6 М (рис. 1б) интенсивность пиков, соответствующих разрешениям при 44 и 22 Å, а также широкого пика, достигающего разрешения при 90 Å, постепенно уменьшается.
3.2. Влияние 4-гексилрезорцина в различных концентрациях на структуру ДНК (клетки в предстационарной фазе роста)
При добавлении 4HR в концентрации 10–3 М к клеткам E. coli в предстационарной фазе роста кривая рассеяния от этих клеток (рис. 2а, кривая 2) практически идентична кривой рассеяния от клеток в стационарной фазе роста, подвергнутой воздействию 4HR в той же концентрации (рис. 1а).
Рис. 2. Зависимость интенсивности рассеяния от угла 2θ образцов, содержащих бактериальные клетки штамма E. coli Gold, подвергнутые воздействию 4HR на предстационарной фазе роста в следующих концентрациях: а – 10–4 М (кривая 1, красная), 10–3 М (кривая 2, синяя); б – 10–4 М (кривая 1, красная), 10–5 М (кривая 2, фиолетовая), 10–6 М (кривая 3, зеленая).
При уменьшении концентрации 4HR до 10–4 М провести параллели между кривыми рассеяния клеток в стационарном и предстационарном состояниях провести уже невозможно. Кривая рассеяния от клеток в предстационарном состоянии не имеет брэгговских пиков, имеется определенное сходство с плавной кривой рассеяния от растущих клеток, только с увеличенной интенсивностью. Еще больше эта кривая напоминает кривую рассеяния от клеток, проросших из анабиотических и находившихся в течение 14 ч в питательной среде клеток (см. ниже рис. 4б).
Внесение в популяцию предстационарных клеток меньших концентраций 4HR: 10–6 и 10–5 М – также не вызывало существенных структурных изменений в организации ДНК по сравнению с активно растущими клетками (рис. 2б). Интенсивности рассеяния излучения монотонно возрастают с уменьшением угла рассеяния. Интенсивности рассеяния также монотонно растут с увеличением концентрации 4HR (рис. 2б).
3.3. Динамика изменения структуры ДНК клеток в мумифицированном состоянии
Образцы мумифицированных клеток, полученных под действием 4HR в концентрации 10–3 М на стационарной фазе роста, инкубировали в течение длительного времени, изучая изменения в структурной организации ДНК через 1.5, 9 и 100 ч. Как показано на рис. 3, кривые рассеяния, соответствующие разным временам экспозиции, по форме практически идентичны. Это позволяет предположить, что структурная организация мумифицированных клеток (в пределах точности измерений) не меняется со временем.
Рис. 3. Зависимость интенсивности рассеяния от угла 2θ образцов, содержащих бактериальные клетки штамма E. coli Gold, подвергнутые воздействию 4HR в концентрации 10–3 М на стационарной фазе роста и инкубированные в течение 1.5 ч (кривая 1, синяя), 9 ч (кривая 2, фиолетовая) и 100 ч (кривая 3, зеленая).
3.4. Динамика прорастания анабиотических форм E. coli
Еще одной задачей данной работы было изучить динамику изменений в структуре ДНК при прорастании анабиотических клеток бактерий E. coli, полученных под действием 4HR в концентрации 10–4 М на стационарной фазе роста. Такие клетки переносили в новую питательную среду и культивировали в течение 96 ч. В первоначальный момент времени рассеяние от анабиотических клеток содержало острые пики Брэгга при 44 и 22 Å и широкий пик с максимумом интенсивности, соответствующим разрешению при 88 Å (рис. 4а, кривая 1). Но уже через 1.5 ч культивирования в клетках эти пики не обнаруживались, а кривая рассеяния практически полностью совпадала с кривой, полученной для активно растущих клеток (рис. 4б).
Рис. 4. Динамика прорастания анабиотических клеток E. coli, полученных под действием 4HR в концентрации 10–4 М в стационарной фазе роста. Период инкубации клеток после перенесения в новую питательную среду: а –0 ч, б – 1.5 ч, в – 14 ч, г – 96 ч. Кривые 1 – зависимость интенсивности рассеяния от угла 2θ образцов, содержащих анабиотические бактериальные клетки; кривые 2 – интенсивность рассеяния от клеток в фазе активного роста.
Через 14 ч культивирования начинали проявляться различия между кривыми рассеяния от контрольной популяции активно растущих клеток и опытными бактериями (рис. 4в). Через 96 ч культивирования в клетках снова обнаруживались упорядоченные кристаллические образования, пики интенсивности рассеяния которых по форме и положению были аналогичны пикам, полученным от анабиотических клеток, полученных под действием 4HR в концентрации 10–4 М (рис. 4г).
4. ОБСУЖДЕНИЕ РЕЗУЛЬТАТОВ
Динамика роста бактериальной популяции разделена на четыре фазы [13]. Первая фаза роста называется лаг-фазой, за ней следует экспоненциальная фаза с быстрым экспоненциальным ростом популяции. Далее бактерии вступают в стационарную фазу роста, при которой клетки начинают испытывать стресс голодания. Если стресс голодания сохраняется, то происходит образование покоящихся форм. Для покоящихся клеток можно ожидать появления совершенно новых структур ДНК по сравнению с растущими клетками. Действительно, в покоящихся клетках были обнаружены новые структуры конденсированной ДНК, находящиеся в состоянии стресса голодания. Дополнительная визуализация упорядоченных структур с помощью ПЭМ показала, что в клетках наблюдаются наноразмерные кристаллические и другие, менее часто встречающиеся упорядоченные структуры конденсированной ДНК [8, 14].
Добавление 4HR к популяции стационарных клеток E. coli штамма BL21 приводит к образованию форм с повышенной стрессоустойчивостью, дальнейшее увеличение концентрации 4HR до 10–4 М инициирует переход клеток в покоящееся анабиотическое состояние, а при концентрациях выше 10–3 М действие 4HR вызывает переход клеток в мумифицированное состояние [3, 7].
Действие 4HR в концентрации 10–6 М (стационарная фаза, рис. 1б) приводит к появлению пиков малой интенсивности, соответствующих разрешению при 44, 22 и 88 Å. Увеличение концентрации 4HR до 10–5 М приводит к возрастанию интенсивности этих пиков. При концентрации 10–4 М наблюдаются очень четкие интенсивные пики, соответствующие разрешению при 44, 22 и 88 Å. Клетки перешли в анабиотическое покоящееся состояние. Этому состоянию соответствуют кривые 1 на рис. 1а и б.
Аналогичные пики при тех же разрешениях мы наблюдали ранее для покоящихся клеток (стресс голодания), которые мы связывали с кристаллическим состоянием конденсированной ДНК. Совпадение кривых рассеяния позволяет сделать предположение об идентичности структуры конденсированной ДНК внутри анабиотической и покоящейся (стресс голодания) клеток и о том, что в формировании защитных наноразмерных кристаллических структур участвует один и тот же белок – Dps.
Низкая интенсивность пиков в клетках с повышенной стрессоустойчивостью по сравнению с анабиотическими клетками, видимо, объясняется меньшим размером кристаллических областей и меньшим их количеством в этих клетках. При увеличении концентрации 4HR увеличиваются размер этих областей и их количество, достигая максимума в анабиотических клетках.
Дальнейшее увеличение концентрации 4HR (10–3 М) вызывает переход клеток в мумифицированное состояние (микромумии) [3, 7] (рис. 1а, кривая 2). На кривых рассеяния от клеток-микромумий не наблюдаются дифракционные пики, соответствующие наноразмерным кристаллическим структурам. Невозможно приписать широкий пик с разрешением при 77 Å какой-либо внутриклеточной структуре. По-видимому, он связан с рассеянием на утолщенных стенках микромумий.
Химический аналог фактора анабиоза 4-гексилрезорцина вводили в клетки также в предстационарной фазе роста, когда они еще не определились со своей дальнейшей программой роста и когда количество связывающих ДНК белков Dps еще невысоко. В клетках, подвергнутых воздействию 4HR в концентрациях от 10–6 М до 10–4 М (рис. 2б), не происходит радикального изменения структурной организации ДНК по сравнению с активно растущими клетками: кривые рассеяния монотонно возрастают с уменьшением угла рассеяния и не имеют характерных пиков. Интенсивность рассеяния, однако, увеличивается с ростом концентрации 4HR, что указывает на появление новых центров рассеяния, возможно, сверхмелких, еще не вполне упорядоченных кристаллитов размером в десятки ангстрем внутри клетки. Изменение этих кривых обладает явным сходством с изменением кривых рассеяния от популяции, проросшей из анабиотических клеток и выдержанной в питательной среде от 1.5 до 14 ч (рис. 4б, в).
Действие 4HR в концентрации 10–3 М на клетки E. coli в предстационарной фазе (рис. 2а) очень сильно и идентично действию 4HR на клетки в стационарной фазе роста в той же концентрации (рис. 1а), т. е. превращает их в микромумии независимо от того, введен ли 4HR в предстационарном (клетки еще не определились с программой роста) или в стационарном состоянии. Концентрация 4HR в 10–3 М радикально меняет программу роста клеток и превращает их в микромумии.
Микромумии способны сохранять не только форму, но и, видимо, внутреннюю структуру с течением времени. В мумифицированном состоянии внутриклеточные упорядоченные структуры не наблюдаются. По-видимому, это является результатом того, что мумифицированное состояние гораздо ближе к состоянию термодинамического равновесия с максимальной энтропией (или беспорядком) [5].
При помещении анабиотических клеток E. coli в питательную среду на 1.5 ч наблюдается практически точное совпадение кривых рассеяния от контрольной популяции и от анабиотических клеток в питательной среде. Затем проросшим клеткам давали постоять в течение 14 ч (рис. 4в). Монотонность характера кривой не меняется, но интенсивность рассеяния заметно возрастает. В данном случае, как и для предстационарной фазы роста, появляются новые центры рассеяния – кристаллиты размером в десятки ангстрем. Для клеток, хранившихся в течение 96 ч, малые кристаллиты вырастают до нанокристаллов (рис. 4г); пики интенсивности рассеяния по форме и положению практически идентичны пикам, полученным от анабиотических клеток (рис. 4а). Этот факт позволяет заключить, что, по данным дифракционного эксперимента, покоящееся анабиотическое состояние клеток E. coli в результате воздействия 4HR и покоящееся состояние, образующееся при голодании, идентичны по структурному ответу ДНК и что в формировании защитных наноразмерных кристаллических структур участвует один и тот же белок – Dps.
5. ЗАКЛЮЧЕНИЕ
Таким образом, в рамках данного эксперимента показано следующее: 4-гексилрезорцин в концентрации 10–4 М переводит клетки в анабиотическую форму в стационарном состоянии, и не переводит в предстационарном; 4HR в концентрации 10–3 М переводит клетки в мумифицированную форму и в стационарном, и в предстационарном состоянии. Архитектура ДНК в покоящемся анабиотическом состоянии клетки имеет кристаллический порядок. Структуры ДНК в анабиотическом покоящемся состоянии и в покоящемся состоянии (стресс голодания) совпадают. Мумифицированное состояние не имеет порядка внутри клетки.
Рентгеновские дифракционные измерения проводились с использованием синхротронного излучения на станции ID23-1 синхротрона ESRF (Гренобль, Франция). Авторы благодарны ЕSRF за предоставленную возможность проведения экспериментов. Расчеты проводили на высокопроизводительной вычислительной системе МВС-10П в Межведомственном суперкомпьютерном центре РАН.
Авторы благодарят за финансовую поддержку Министерство науки и высшего образования Российской Федерации. Работа выполнена в рамках госзаданий Минобрнауки России (темы № 122040400089-6 и № 122040800164-6).
В данной работе отсутствуют исследования человека или животных.
Авторы работы заявляют об отсутствии у них конфликта интересов.
About the authors
Yu. F. Krupyanskii
Semenov Federal Research Center of Chemical Physics, Russian Academy of Sciences
Author for correspondence.
Email: yufk@chph.ras.ru
Russian Federation, Moscow
V. V. Kovalenko
Semenov Federal Research Center of Chemical Physics, Russian Academy of Sciences
Email: yufk@chph.ras.ru
Russian Federation, Moscow
N. G. Loiko
Semenov Federal Research Center of Chemical Physics, Russian Academy of Sciences; Federal Research Center “Fundamentals of Biotechnology”, Russian Academy of Sciences
Email: yufk@chph.ras.ru
Russian Federation, Moscow; Moscow
E. V. Tereshkin
Semenov Federal Research Center of Chemical Physics, Russian Academy of Sciences
Email: yufk@chph.ras.ru
Russian Federation, Moscow
K. B. Tereshkina
Semenov Federal Research Center of Chemical Physics, Russian Academy of Sciences
Email: yufk@chph.ras.ru
Russian Federation, Moscow
A. N. Popov
European Synchrotron Radiation Facility
Email: yufk@chph.ras.ru
France, Grenoble Cedex 9
References
- A.Y. Grosberg, A.R. Khokhlov, Statistical physics of macromolecules (AIP, New York, 1994).
- S.C. Verma., Z. Qian, S.L. Adhya // PLoS. Genet. 2019. V. 15. № 12. e1008456. https://doi.org/10.1371/journal.pgen.1008456
- O.V. Bukharin, A.L. Gintsburg, Yu.M. Romanova, and G. I. El’-Registan, Bacterial Survival Mechanisms (Meditsina, Moscow, 2005) [in Russian].
- A.G. Tkachenko, Molecular Mechanisms of Stress Responses in Microorganisms (UrO RAN, Yekaterinburg, 2012) [in Russian].
- Schrodinger. What is Life? The Physical Aspect of the Living Cell with mind and matter. (Cambridge University Press, New York, 2013).
- Minsky, E. Shimoni, D. Frenkiel-Krispin // Nat. Rev. Mol. Cell. Biol. 2002. V. 3. P. 50.
- N.E. Suzina, A.L. Mulyukin, N.G. Loiko, A.N. Koz lova, V.V. Dmitriev, A.P. Shorokhova, V.M. Gorlenko, V.I. Duda, and G.I. El’-Registan, Microbiology V. 70. P. 667 (2001). https://doi.org/10.1023/A:1013183614830
- N. Loiko, Y. Danilova, A. Moiseenko et al. // PLoS ONE. 2020. V. 15. № 10. https://doi.org/10.1371/journal.pone.0231562
- D.O. Sinitsyn, N.G. Loiko, S.K. Gularyan et al. // Russ. J. Phys. Chem. B. 2017. V. 11. P. 833. https://doi.org/10.1134/S1990793117050128
- Y.F. Krupyanskii., N.G. Loiko, D.O. Sinitsyn et al. // Crystallogr. Reports. 2018. V. 63. P. 594. https://doi.org/10.1134/S1063774518040144
- Y.F. Krupyanskii, Rus. J. of Phys. Chem. B 15 (2), 326 (2021). https://doi.org/10.1134/S199079312102007X
- Y.F. Krupyanskii, A.A. Generalova, V.V. Kovalenko, et al., Russ. J. Phys. Chem. B 17 (3), 517 (2023). https://doi.org/10.1134/S199079312303021122
- M.H. Zwietering, I. Jongenburger, F.M. Rombouts, K. van ‘T Riet // Applied and Environmental Microbiology. 1990. V. 56. № 6. P. 1875. https://doi.org/10.1128/aem.56.6.1875-1881.1990
- Moiseenko, N. Loiko, O.S. Sokolova, Y.F. Kru pyan skii // Methods in Molecular Biology. 2022. V. 2516. P. 143. https://doi.org/10.1007/978-1-0716-2413-5_9.
Supplementary files






