Reaction of atomic fluorine with benzene
- Authors: Adamson S.O.1, Kharlampidi D.D.2,3, Shtyrkova A.S.2, Umanskii S.Y.1, Dyakov Y.A.1,4, Morozov I.I.1, Stepanov I.G.1, Golubkov M.G.1
-
Affiliations:
- Semenov Federal Research Center for Chemical Physics, Russian Academy of Sciences
- Moscow State Pedagogical University
- RUDN University
- Research Center for Environmental Changes, Academia Sinica
- Issue: Vol 43, No 6 (2024)
- Pages: 3-15
- Section: Элементарные физико-химические процессы
- URL: https://journals.rcsi.science/0207-401X/article/view/273038
- DOI: https://doi.org/10.31857/S0207401X24060018
- ID: 273038
Cite item
Full Text
Abstract
Benzene is one of the most common classes of chemicals in industry. As a rule, it enters the atmosphere as a result of man-made accidents, during the evaporation of solvents, etc. Benzene and its derivatives are toxic and have a negative impact on the environment and the human body. Therefore, issues of benzene transformation in the atmosphere are of increased interest. In present work, the structures and electronic energies of equilibrium configurations and transition complexes of the C₆H₆ F and C₆H₆F⁺ systems are calculated using the density functional theory. It has been shown that the interaction of benzene with atomic fluorine can proceed through two channels, i.e. the elimination of hydrogen with the formation of a phenyl radical and the addition of a fluorine atom with the formation of an ipso-fluorocyclohexadienyl radical. It has been established that for the dissociation of ipso-fluorocyclohexadienyl radical into fluorobenzene and atomic hydrogen, it is necessary to expend about 27 kcal/mol. This indicates a low probability of this process occurring at low temperatures. Under experimental conditions, when the temperature of fluorine atoms is about 1000 K, the ipso-fluorocyclohexadienyl radical decomposes to form fluorobenzene. In this case, the occurrence of secondary reactions is unlikely. The conclusions drawn from the analysis of the results of quantum chemical calculations are in good agreement with the experimental data.
Full Text
1. ВВЕДЕНИЕ
Бензол является промышленным сырьем для производства красителей, пластмасс, синтетического каучука, лекарств и т.д. При объемах мирового производства в десятки млн т/год бензол неизбежно попадает в окружающую среду, в том числе и в атмосферу. Для прогнозирования свойств атмосферы в условиях промышленного загрязнения необходимо знать кинетику реакций бензола как с ее естественными компонентами, так и с загрязнителями. Поскольку фтор и хлор используются в промышленном органическом синтезе наряду с бензолом, то их взаимодействие с бензолом в газовой фазе происходит в нижних слоях атмосферы. Это является одной из причин повышенного интереса к исследованию механизмов данных реакций. Кроме того, реакция атомов фтора с бензолом может использоваться в определении структуры и свойств свободных радикалов в качестве источника фенил- и фторциклогексадиенил-радикалов [1, 2] или для синтеза фторзамещенных производных бензола [3].
Анализ спектров электронного парамагнитного резонанса (ЭПР) показал, что при фотолизе смеси бензола и молекулярного фтора в аргоновой матрице присутствуют фторциклогексадиенил- и фенил-радикалы [1]. С учетом этого факта была предложена схема фторирования бензола, включающая реакции отрыва водорода и присоединения фтора:
C₆H₆ + F → F, (1)
C₆H₆ + F → C₆H₆F. (2)
Позже образование фторциклогексадиенил-радикала было подтверждено экспериментами в скрещенных пучках [4–9] и аргоновой матрице [10]. Кроме того, было найдено, что при давлениях 0.4–4 атм единственным стабильным продуктом газофазного фторирования бензола является фторбензол, выход которого составляет 6–10% [11]. Для объяснения этого результата был предложен механизм образования фторбензола, включающий реакцию присоединения фтора (2) с образованием колебательно-возбужденного фторциклогексадиенил-радикала C₆H₆ F*, его столкновительную релаксацию и последующую диссоциацию, т.е.
C₆H₆ + F → C₆H₆F* → C₆H₆F → C₆H₅ + H (3)
Образование фторбензола также было подтверждено экспериментами в скрещенных пучках [7, 8, 12, 13] и в проточном реакторе низкого давления [2]. Помимо факта присутствия фторбензола в продуктах реакции, было найдено, что замещение (3) является ведущим каналом при фторировании бензола [2, 13, 14]. При фторировании в проточном реакторе низкого давления выход фторбензола был оценен в 80 ± 20% [2], что значительно отличается от результатов эксперимента [11].
Абсолютная величина суммарной константы скорости реакций (1) и (3) и отношение констант скоростей отрыва и замещения водорода были измерены при комнатной температуре в проточном реакторе низкого давления с масс-спектрометрическим контролем продуктов [2]. Относительные скорости этих реакций были независимо оценены методом конкурирующих реакций [15, 16]. Отдельно оценивались абсолютное и относительное значения констант скорости реакции (1) отрыва водорода [17]. Следует отметить, что применение масс-спектрометрии для анализа состава реакционной смеси в методе конкурирующих реакций может приводить к систематическим ошибкам в значениях константы скорости. В частности, в присутствии метана [15] фторбензол должен взаимодействовать с ионами CH₅+ с образованием интермедиата CH₅+C₆H₅F [18] и его последующей диссоциацией в камере масс-спектрометра:
CH⁺₅ + C₆H₅F → CH+C₆H₅F → CH4 + C₆H₆F⁺. (4)
Степень влияния этих процессов на выход фторбензола на сегодняшний день недостаточно изучена.
Цель данной работы – расчет структуры и электронных энергий равновесных конфигураций и переходных комплексов системы F + C₆H₆ , результаты которого позволят сделать вывод о возможном механизме реакций отрыва и замещения водорода в бензоле. Актуальность исследования обусловлена тем, что единственная близкая по теме теоретическая работа других авторов [19] была посвящена исключительно рассмотрению структуры и свойств комплексов бензола с галогенами, в том числе и изомеров фторциклогексадиенил-радикала. Механизмы упомянутых выше реакций в ней не рассматривались.
2. МЕТОД РАСЧЕТА
Для определения каналов реакции было использовано приближение гамильтониана реакционного пути. Поскольку в реакциях (1) и (3) участвуют молекулы и радикалы, включающие 40–50 электронов, для расчета стационарных точек поверхности потенциальной энергии (ППЭ) основного электронного состояния системы C₆H₆ F был использован метод функционала плотности. Вид функционала и тип базиса атомных орбиталей (АО), обеспечивающих разумное согласие результатов с референсными данными, уточнялись по результатам калибровочных расчетов. Так как ранее в работах [20–22] было показано, что гибридные метафункционалы семейств M06‒M08 позволяют оценивать термодинамические эффекты в реакциях органических соединений с хорошей точностью, то в качестве кандидатов рассматривались функционалы M06, M06-2X и M08-HX. Расчеты проводились с использованием следующих базисных наборов: А – 6–31++G** [23–25], Б – aug-cc-pVDZ [26, 27] и В – cc-pVTZ [26]. В качестве модельных систем для сравнения функционалов и базисов АО были использованы двухатомные молекулы HF, CF и F₂. Все расчеты проводились с использованием пакета неэмпирических программ GAMESS US [28, 29].
Сравнение полученных результатов показало, что для молекул HF и CF лучшее согласие с экспериментальными данными [30–32] для равновесного межъядерного расстояния Re, колебательной постоянной we и энергии диссоциации Dₑ наблюдается в базисе В (функционал M08-HX). Отклонение для Re здесь составляет не более 0.002 Å, для we – около 10 см⁻¹ и для Dₑ – менее 0.15 эВ (3.5 ккал/моль). В остальных случаях добиться одновременного воспроизведения целевых параметров для HF и CF не удается (см. табл. 1).
Таблица 1. Значения параметров Re (в Å), we (в cм-1) и Dₑ (в эВ) для молекул HF, CF и F₂
Метод | Базис АО | HF (X¹Σ⁺) | CF(X²Π) | F₂ (X¹Σ⁺g) | ||||||
Re | we | Dₑ | Re | we | Dₑ | Re | we | Dₑ | ||
B3LYP | А | 0.9277 | 4075 | 5.96 | 1.2901 | 1270 | 5.65 | 1.4117 | 1034 | 1.51 |
Б | 0.9259 | 4066 | 5.97 | 1.2906 | 1244 | 5.62 | 1.4031 | 1025 | 1.52 | |
В | 0.9225 | 4094 | 5.94 | 1.2761 | 1305 | 5.80 | 1.3976 | 1053 | 1.63 | |
M06 | А | 0.9196 | 4225 | 6.11 | 1.2786 | 1331 | 5.73 | 1.3928 | 1046 | 1.38 |
Б | 0.9182 | 4238 | 6.09 | 1.2785 | 1305 | 5.67 | 1.3834 | 1039 | 1.38 | |
В | 0.9153 | 4230 | 6.04 | 1.2622 | 1371 | 5.91 | 1.3767 | 1074 | 1.51 | |
M06-2X | А | 0.9227 | 4180 | 5.93 | 1.2781 | 1337 | 5.67 | 1.3797 | 1145 | 1.35 |
Б | 0.9212 | 4167 | 5.94 | 1.2788 | 1311 | 5.66 | 1.3712 | 1137 | 1.39 | |
В | 0.9183 | 4193 | 5.94 | 1.2681 | 1358 | 5.78 | 1.3667 | 1163 | 1.48 | |
M08-HX | А | 0.9234 | 4128 | 6.10 | 1.2842 | 1294 | 5.65 | 1.3821 | 1140 | 1.41 |
Б | 0.9213 | 4113 | 6.10 | 1.2848 | 1261 | 5.64 | 1.3730 | 1133 | 1.43 | |
В | 0.9183 | 4135 | 6.05 | 1.2726 | 1316 | 5.73 | 1.3686 | 1157 | 1.52 | |
CCSD(T) | А | 0.9250 | 4123 | 5.77 | 1.3012 | 1253 | 5.26 | 1.4571 | 850 | 1.30 |
Б | 0.9239 | 4080 | 5.84 | 1.3056 | 1206 | 5.20 | 1.4498 | 827 | 1.30 | |
В | 0.9163 | 4193 | 5.97 | 1.2735 | 1332 | 5.61 | 1.4136 | 922 | 1.53 | |
Эксперимент | — | 0.9168а, б | 4138а | 6.11в 6.14б | 1.2718а | 1308а, г | 5.50д 5.75е | 1.4119а | 917а | 1.66а, в, ж |
Для молекулы F₂ наилучшие результаты были получены в базисе минимального размера (А) с функционалом B3LYP. В этом случае ошибка для Re составляет менее 0.001 Å, а для we — около 50 см⁻¹. В базисах Б и В ошибки оказываются значительно больше: 0.02‒0.04 Å для Re и 120‒150 см⁻¹ для we. Поскольку для F₂ значительные ошибки наблюдаются у всех опробованных функционалов семейств M06–M08 (см. табл. 1), то следует предположить, что функционалы этого семейства неприменимы к расчету сильно коррелированных многоэлектронных систем. Рассматриваемая система F + C₆H₆ содержит единственный атом фтора, что позволяет считать сильные корреляционные эффекты маловероятными. Поэтому для поиска стационарных точек ППЭ был выбран функционал M08-HX (базис В).
Для оценки точности выбранной методики были проведены расчеты энергий переходных комплексов и равновесных геометрических конфигураций стабильных участников реакции отрыва водорода:
CH₄ + F → CH₄F → CH₃ + HF, (5)
константа скорости которой близка к константе реакции (1) [17]. Реакция (5) имеет два канала: CH₄+F(²P₃/₂) и CH₄+F(²P½), с разными переходными комплексами и состояниями продуктов. Различие этих каналов по энергии составляет около 400 см⁻¹ (1.14 ккал/моль). На сегодняшний день используемые экспериментальные методы не предполагают раздельного измерения констант скорости реакции (5) для компонентов F(²P₃/₂) и F(²P½) [37, 38]. Как следствие, оба компонента должны присутствовать в реакционной смеси в соотношении, зависящем от способа получения атомарного фтора. Поскольку экспериментальная энергия активации реакции (5), составляющая 0.4–1.9 ккал/моль [39, 40], близка к разности энергий между состояниями F(²P₃/₂) и F(²P½), то результаты измерения константы скорости невозможно объяснить без учета тонкой структуры ППЭ основного электронного состояния системы CH₄ + F.
Теоретические оценки энтальпии ΔHºR реакции (5) в стандартных условиях (здесь и далее предполагается, что давление р = 101 325 Па, температура Т = 298.15 К) при расширении базисов АО сходятся к экспериментальному значению. При этом для выбранной методики расчета (функционал M08-HX, базис cc-pVTZ) энтальпия реакции (5) составляет ΔHR° = –28.9 ккал/моль, что на 2.4 ккал/моль больше экспериментального значения [37] (см. табл. 2). Значения относительных энергий переходного комплекса (за нуль здесь принята полная энергия исходных реагентов с поправкой на энергию основных колебательных состояний), рассчитанные в базисах cc-pVTZ, cc-pVQZ, aug-cc-pVTZ и aug-cc-pVQZ (функционал M08-HX) попадают в интервал от –1.5 до –1.0 ккал/моль. Для тех же базисов АО значения относительных энергий переходного комплекса, полученные с использованием приближения связанных кластеров CCSD(T), лежат в интервале от –1.7 до –0.1 ккал/моль (см. табл. 2).
Таблица 2. Относительная энергия E переходного комплекса CH₄F и энтальпия ΔHºR реакции (5)
Базис АО | E, ккал/моль | ΔHR°, ккал/моль | ||||
CCSD(T)а | B3LYPб | M08-HX | CCSD(T)а | B3LYP | M08-HX | |
cc-pVDZ | 2.4 | — | –1.9 | –21.1 | –22.7 | –23.3 |
cc-pVTZ | –0.1 | — | –1.5 | –28.3 | –28.5 | –28.9 |
cc-pVQZ | –0.6 | — | –1.2 | –30.3 | –30.1 | –29.9 |
aug-cc-pVDZ | –0.8 | — | –2.1 | –29.1 | –30.8 | –31.2 |
aug-cc-pVTZ | –1.7 | — | –1.5 | –30.7 | –30.9 | –30.6 |
aug-cc-pVQZ | –0.9 | — | –1.0 | –31.2 | –31.1 | –30.8 |
Эксперимент | 1.85в, 0.43г | –31.5д, –31.3е | ||||
Полученные оценки значительно отличаются от экспериментальных значений энергии активации, но согласуются с независимыми теоретическими оценками, значения которых лежат в интервале от –0.65 до –0.07 ккал/моль [38].
Различия между экспериментальными и теоретическими значениями энергии активации реакции (5) следует рассматривать как систематическую ошибку, возникающую из-за отсутствия учета релятивистских эффектов (тонкой структуры) как при построении ППЭ, так и при проведении экспериментов. Тем не менее близкие значения экспериментальных и теоретических значений констант скорости указывают на возможность использования нерелятивистских полуэмпирических ППЭ для интерпретации экспериментов [37, 38].
3. РЕЗУЛЬТАТЫ И ИХ ОБСУЖДЕНИЕ
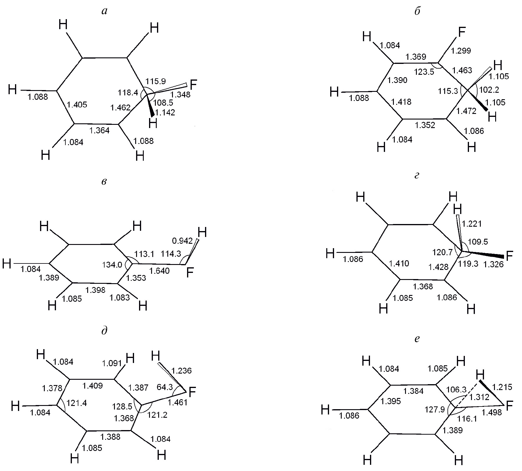
Рис. 1. Структурные модели ипсо- (а), орто- (б), мета- (в), пара- (г) фторциклогексадиенил-радикалов, комплекса C₆H₅F · H (д) и переходных комплексов TS₁ (е) и TS₂(ж). Межъядерные расстояния приведены в ангстремах, углы – в градусах.
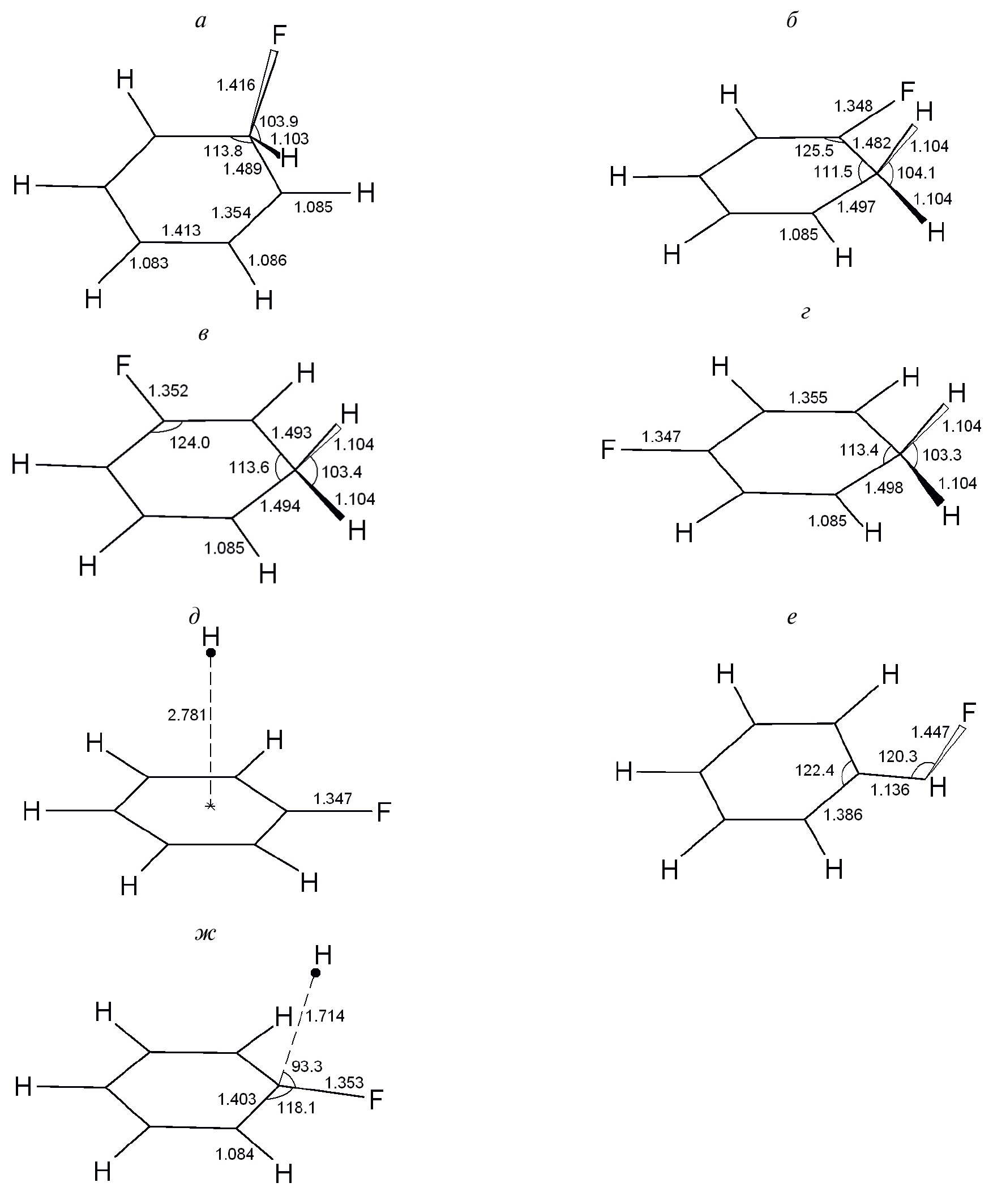
Рис. 2. Структурные модели катионов ипсо- (а), орто- (б), F-изомера (в) фторциклогексадиенил-радикалов и переходных комплексов TSoi (г), TSoF (д) и TSiF (е). Индексы в обозначениях переходных комплексов соответствуют номенклатуре изомеров: o – орто-, i – ипсо-, F-изомеров. Межъядерные расстояния приведены в ангстремах, углы – в градусах.
Таблица 3. Основные свойства стабильных участников и переходных комплексов реакций отрыва и замещения водорода. Электронные энергии Eel и энергии основных колебательных состояний EZPE приведены в а.е., вращательные постоянные A, B, C – в см⁻¹
Интермедиат | Симметрия | Eel | EZPE | Вращательные постоянные | ||
A | B | C | ||||
C₆H₆ (бензол) | D6h | -232.272728 | 0.100943 | 0.191627 | 0.191568 | 0.095799 |
Ипсо-C₆H₆ F | Cs | -332.052150 | 0.102067 | 0.164504 | 0.086938 | 0.061077 |
Орто-C₆H₆ F | Cs | -332.057841 | 0.10¹⁵82 | 0.176125 | 0.083502 | 0.057234 |
Мета-C₆H₆ F | Cs | -332.055540 | 0.10¹¹94 | 0.176568 | 0.082452 | 0.056778 |
Пара-C₆H₆ F | Cs | -332.054249 | 0.101224 | 0.178196 | 0.081805 | 0.056636 |
C₆H₅F⋅H | Cs | -332.016714 | 0.094209 | 0.175458 | 0.082774 | 0.059285 |
C6H5 (фенил) | C2v | -231.580403 | 0.087849 | 0.211608 | 0.188592 | 0.099719 |
C₆H₅F | C2v | -331.512398 | 0.092807 | 0.190805 | 0.086191 | 0.059372 |
TS₁ | Cs | -331.999392 | 0.097821 | 0.178590 | 0.061472 | 0.047088 |
TS₂ | Cs | -332.002118 | 0.094882 | 0.181664 | 0.084046 | 0.058891 |
HF | C∞v | -100.447456 | 0.009419 | 0.00000 | 20.869525 | 20.869525 |
F | -99.725232 | - | - | - | - | |
H | -0.499810 | - | - | - | - | |
Ипсо-С6H6F⁺ | Cs | -331.774657 | 0.102266 | 0.174515 | 0.085669 | 0.058663 |
Орто-С6H6F⁺ | Cs | -331.803116 | 0.103179 | 0.179398 | 0.084788 | 0.058169 |
F-С6H6F⁺ | Cs | -331.752715 | 0.10¹¹84 | 0.183284 | 0.078364 | 0.055143 |
С6H5+ | C2v | -231.274621 | 0.085622 | 0.229556 | 0.181645 | 0.101405 |
TSoi | C1 | -331.770214 | 0.100731 | 0.180277 | 0.085217 | 5.851448 |
TSiF | Cs | -331.705236 | 0.097587 | 0.180956 | 0.082377 | 0.057044 |
TSoF | C1 | -331.705170 | 0.097199 | 0.180974 | 0.084688 | 0.058268 |
В табл. 3 представлены равновесные геометрические конфигурации ипсо-, орто-, мета-, пара-фторциклогексадиенил-радикалов C₆H₆F, ван-дер-ваальсова комплекса C₆H₅F · H и переходных комплексов, отвечающих реакциям (1)–(3), рассчитанные с помощью выбранного варианта функционала плотности (M08-HX, базис В). Кроме того, были найдены равновесные геометрические конфигурации катионов изомерных фторциклогексадиенил-радикалов и переходные комплексы, отвечающие их изомеризации и распаду (см. табл. 3).
Структурные модели изомерных фторциклогексадиенил-радикалов и переходных комплексов представлены на рис. 1 и 2. Межъядерные расстояния и валентные углы в ипсо-фторциклогексадиенил-радикале согласуются с соответствующими значениями, рассчитанными с применением функционалов B3LYP и BH&HLYP [19]. Структурные параметры для заряженных изомеров C₆H₆F⁺ и их переходных комплексов также согласуются с результатами предыдущих исследований [42–45].
На основании анализа стационарных точек и путей реакции для ППЭ основного электронного состояния системы C₆H₆ + F можно предположить протекание следующих реакций:
C₆H₆ + F → TS₁₆ → C₆H₅ + HF, (6)
C₆H₆ + F → C₆H₆F → TS₂ → C₆H₅F + H. (7)
Для реакции отрыва водорода (6) относительная энергия продуктов составляет E(6) = E(C₆H₅ + HF) = –21.1 ккал/моль (рис. 3). Теоретическая оценка энтальпии реакции в стандартных условиях составляет ΔHR° (5) = –20.5 ккал/моль, что согласуется с экспериментальными значениями: –25.0 ккал/моль [2] и –25.9 ккал/моль [15, 16]. Экспериментальных оценок энергии активации для реакции (6) не проводилось, однако было показано, что в образующемся в ходе реакции фтороводороде максимально заселенными оказываются ровибронные уровни с колебательными квантовыми числами v = 1 (0.42–0.60) и v = 2 (0.30–0.40). На основании этого было сделано предположение о том, что барьер активации близок к порогу реакции (энергии исходных реагентов) [13, 17]. Теоретическое значение относительной энергии переходного состояния E(TS₁) = –2.9 ккал/моль оказывается на 4.4 ккал/моль ниже суммы энергий фенил-радикала и колебательно-возбужденного фтороводорода c v = 2 (см. рис. 3), что не противоречит экспериментальным результатам.
Рис. 3. Реакции отрыва и замещения водорода в бензоле. Относительные энергии приведены в ккал/моль.
Процесс замещения водорода (7) начинается с безбарьерного присоединения атома фтора к молекуле бензола с образованием ипсо-фторциклогексадиенил-радикала. Относительная энергия и энтальпия реакции в стандартных условиях составляют (см. рис. 3):
E (ipso-C₆H₆F) = – 33.3 ккал/моль, (8)
ΔH°R ( ipso -C₆H₆F) = – 33.9 ккал/моль. (9)
Найденное значение относительной энергии (8) хорошо согласуется с величинами –28.9 и –34.0 ккал/моль, рассчитанными в работе [19] с применением функционалов BH&HLYP и B3LYP соответственно. Энтальпия образования ипсо-фторциклогексадиенила согласуется с теоретическим значением, составляющим –31.0 ккал/моль, но на 9 ккал/моль расходится с экспериментальной величиной, равной –24.8 ккал/моль [9, 19]. Реакция замещения завершается диссоциацией ипсо-фторциклогексадиенил-радикала на фторбензол и атом водорода (см. рис. 3). Процесс является эндотермическим с энергией активации
ΔE = E(TS₂) – (E ipso-C₆H₆F) = 26.9 ккал/моль (10)
и относительной энергией продуктов
E(7) = E(C₆H₅F + H) = – 14.6 ккал/моль. (11)
Теоретическая оценка энтальпии реакции в стандартных условиях составляет
ΔH°R(7) = – 14.4 ккал/моль, (12)
что хорошо согласуется с экспериментальными данными: –15.0 ккал/моль [2] и –12.7 ккал/моль [15, 16].
Как было указано выше, образование фторбензола подтверждено во многих экспериментах [2, 8, 10, 11, 13], однако его выход зависит от условий проведения эксперимента: давления и температуры реакционной смеси, количеств исходных реагентов, степени их разбавления, типа буферного газа и т.д. Учитывая, что минимальный выход в 6–10% был зафиксирован при фторировании бензола в замкнутом объеме с радиохроматографическим контролем продуктов реакции [11], а максимальный в 80% – в проточном реакторе низкого давления с масс-спектрометрическим контролем [2], можно предположить три варианта процесса образования фторбензола [46]. В первом варианте фторбензол является продуктом распада молекулярного иона C₆H₆F⁺ непосредственно в камере масс-спектрометра. Во втором фторбензол образуется за счет рекомбинации фторциклогексадиенил-радикала или его изомеров с фенил-радикалом. В третьем фторбензол является продуктом диссоциации ипсо-фторциклогексадиенил-радикала в соответствии с механизмом реакции (7).
Из анализа экспериментальных результатов следует, что ион C₆H₆F⁺ имеет два основных канала диссоциации:
C₆H₆F⁺ → C₆H₅⁺ + HF, (13)
C₆H₆F⁺ → C₆H₄F⁺ + H₂. (14)
Канал (13) является низшим по энергии, порог канала (14) лежит на 20.3 ккал/моль выше порога (13). Основным стабильным продуктом диссоциации является HF, что соответствует распаду бензола в канале (13). Парциальный вклад в диссоциацию канала (14) не превышает 4% [42, 44, 45]. Анализ спектра энергий отдачи продуктов реакции показал, что брутто-реакции (13) соответствуют несколько процессов, общим продуктом которых является HF, что подтверждается расчетами ППЭ иона C₆H₆F⁺ [42]. Расчеты авторов подтверждают этот механизм: отклонения в относительных энергиях стабильных изомеров и переходных состояний не превышают 2 ккал/моль (см. рис. 4).
Рис. 4. Реакции изомеризации и распада катиона C₆H₆F⁺. Относительные энергии приведены в ккал/моль.
Теоретический механизм предсказывает возможность перегруппировки орто- и ипсо-изомеров C₆H₆F⁺ в ион-дипольный комплекс C₆H₅⁺ · HF (F-изомер) с последующей безбарьерной диссоциацией на C₆H₅⁺ и HF. Этот результат частично подтверждается экспериментом: в ИК-области спектра поглощения реакционной смеси были идентифицированы отдельные линии орто- и пара-изомеров ионов C₆H₆F⁺ [44] и ион-дипольного комплекса C₆H₅⁺ · HF (F-изомера) [18, 43, 45]. Кроме того, была показана возможность диссоциации орто- и ипсо-изомеров C₆H₆F⁺ через метастабильные колебательные состояния, минуя стадию образования F-изомера [45].
Таким образом, версию с образованием фторбензола в результате распада C₆H₆F⁺ следует отбросить, поскольку основными стабильными продуктами распада последнего являются HF и H₂, а не фторбензол. Далее перейдем к рассмотрению возможности образования фторбензола за счет вторичных реакций.
Брутто-формуле C₆H₆F соответствуют четыре устойчивых изомера, различающихся положением “лишнего” атома водорода относительно связи C–F (см. рис. 1). Поскольку деформация углеродного каркаса требует значительных затрат энергии, относительные энергии переходных комплексов, отвечающих перегруппировкам изомеров друг в друга, должны быть близки к энергии разрыва связи C–H. Отсюда следует, что изомеризация ипсо-фторциклогексадиенил-радикала может рассматриваться как последовательность из двух реакций:
i-C₆H₆F → C₆H₅F + H → a-C₆H₆F, (15)
где символ “i” соответствует ипсо-изомеру, а символ “a” — любому из изомеров C₆H₆F. Сравнение полос поглощения в ИК-спектре [10] с частотами фундаментальных колебаний ипсо-фторциклогексадиенил-радикала, рассчитанными в приближении ”жесткий ротатор ‒ гармонический осциллятор”, позволяет сделать вывод о том, что частоты и интенсивности экспериментальных и рассчитанных колебаний в большинстве случаев близки (см. рис. 5).
Рис. 5. Линии поглощения радикала C₆H₆ F в ИК-области спектра: красные темные линии – данные эксперимента [10], белые прямоугольники –масштабированные значения рассчитанных частот фундаментальных колебаний (масштабирующий множитель – 0.98).
Полосы поглощения при 1000 и 1094 см⁻¹ многократно различаются по интенсивностям, а полоса при 912 см⁻¹ не совпадает ни с одной из рассчитанных частот фундаментальных колебаний (см. табл. 4). Сравнение с частотами фундаментальных колебаний других изомеров совпадения с экспериментальными полосами не дает, т.е. в эксперименте [10] изомеризация не обнаруживается.
Таблица 4. Частоты фундаментальных колебаний и интенсивности полос поглощения изомерных радикалов C₆H₆ F
Частота колебанияа, см⁻¹ | Интенсивность поглощения, отн. ед. | ||||||||||
1б | 2в | 3г | 4д | 5е | 6ж | 1 | 2 | 3 | 4 | 5 | 6 |
599 | 605 | 568 | 565 | 588 | 611 | 3.089 | 2.164 | 0.655 | 0.375 | 0.180 | 0.773 |
693 | 705 | 663 | 675 | 706 | 699 | 2.195 | 1.807 | 33.53 | 11.21 | 9.373 | 141.3 |
823 | 818 | 779 | 791 | 764 | 815 | 0.204 | 0.117 | 8.945 | 3.119 | 4.619 | 177.5 |
883 | 892 | 900 | 900 | 873 | 836 | 1.708 | 1.160 | 6.334 | 2.530 | 1.347 | 0.086 |
912 | – | – | – | – | – | 0.283 | – | – | – | – | – |
924 | 941 | 927 | 919 | 920 | 914 | 4.266 | 4.187 | 3.176 | 2.596 | 3.826 | 61.68 |
1000 | 1012 | 991 | 1020 | 973 | 1029 | 0.947 | 4.563 | 3.789 | 1.892 | 0.200 | 20.40 |
1094 | 1089 | 1081 | 1062 | 1128 | 1147 | 0.221 | 0.003 | 1.296 | 0.045 | 0.008 | 6.413 |
1287 | 1288 | 1278 | 1295 | 1310 | 1290 | 1.000 | 1.000 | 1.000 | 1.000 | 1.000 | 1.000 |
1428 | 1427 | 1423 | 1414 | 1452 | 1469 | 1.115 | 1.709 | 21.59 | 2.300 | 20.07 | 13.90 |
χ2 | 27.04 | 66.30 | 67.01 | 83.35 | 88.96 | χ2 | 3.85 | 38.93 | 10.15 | 20.97 | 233.9 |
Примечание: χ2 – квадратный корень от суммы квадратов невязок.
Так как вместе с ипсо-фторциклогексадиенилом в матрице присутствуют продукты его диссоциации (фенил-радикал и фторбензол) [10], то можно считать, что их появление не является следствием изомеризации i-C₆H₆ F. Соответственно, ее можно считать маловероятной и в условиях газофазных экспериментов [2, 8, 13, 15, 16]. Тогда можно предположить, что фторбензол образуется в результате рекомбинации радикалов C₆H₆ F и C₆H₅:
C₆H₅ + C₆H₆F → C₆H₅F + C₆H₆. (16)
Данная реакция является экзотермической. Теоретическая оценка энтальпии реакции дает
ΔH°R (298 K) = −94.10 ккал/моль, (17)
что указывает на возможность протекания этой реакции. В масс-спектре продуктов фторирования бензола присутствуют пики молекулярных ионов фторбензола (m/z = 96) и, в значительно меньшем количестве, фенил-радикала (m/z = 77), однако отсутствует пик молекулярного иона бензола (m/z = 78) [2]. Поскольку в заметных количествах бензол в смеси отсутствует, то значительная роль реакции (16) в образовании фторбензола тоже маловероятна.
Остается предположить, что фторбензол образуется в результате двухканальной реакции атома F с C₆H₆ (см. (6), (7)), идущей по каналу (7) через промежуточный комплекс C₆H₆ F*. В этом случае необходимо объяснить, почему при комнатной температуре преодолевается барьер в 26.9 ккал/моль, активирующий диссоциацию i-C₆H₆ F (см. рис. 3). Можно указать как минимум на две причины протекания этой реакции. Во-первых, энергия переходного комплекса ниже энергий исходных реагентов, и ипсо-фторциклогексадиенил-радикал в процессе релаксации может сохранять энергию, достаточную для распада на фторбензол и атом водорода. Во-вторых, в большинстве исследований источником атомов фтора была реакция диссоциации F₂ → 2F, активируемая термически [4–9, 12, 13] при пороге термической атомизации фтора 650 K [12]. Измерения температуры в зоне реакции не проводились, однако в одной из работ она оценивалась как среднее арифметическое температур бензола и атомарного фтора и составила 660–700 K [12, 13]. Данная оценка, несмотря на ее приближенный характер, также подтверждает возможность образования фтор бензола в реакции (7). Отметим, что в работах [15, 16, 47, 48] степень диссоциации F₂ под действием высокочастотного разряда оценивается в 97%, что свидетельствует о более высокой температуре реакционной смеси по сравнению с экспериментами [12, 13].
Полученная квантовохимическая информация о реагентах и переходных комплексах может быть использована для расчета констант скорости в рамках статистической теории химических реакций. Для этого по аналогии с реакцией (5) необходимо скорректировать ошибки в относительных энергиях переходного комплекса и продуктов реакции (6). Учитывая, что энергия активации этой реакции должна мало отличаться от энергии активации реакции (5), оцениваемой в 1 ккал/моль, ошибку расчета относительной энергии переходного комплекса можно оценить в (–3.9) ÷ (–4.0) ккал/моль. Соответственно, ошибка расчета для продуктов реакции должна составлять 4.5–5.0 ккал/моль.
4. ЗАКЛЮЧЕНИЕ
В результате проведенных расчетов предсказано, что взаимодействие бензола с атомарным фтором может протекать по двум каналам: отщепление водорода с образованием фенил-радикала и присоединение фтора с образованием ипсо-фторциклогексадиенил-радикала. Полученные результаты полностью соответствуют экспериментальным данным. Количественные оценки энтальпий образования интермедиатов и продуктов реакций хорошо согласуются как с их экспериментальными значениями, так и с величинами, найденными в независимых расчетах.
Показано, что при комнатной температуре диссоциация ипсо-фторциклогексадиенил-радикала на фторбензол и атомарный водород маловероятна, так как эта стадия реакции имеет достаточно высокий барьер активации. Наблюдаемую экспериментально диссоциацию i-C₆H₆ F с образованием фторбензола можно объяснить тем, что температуры атомов фтора порядка 1000 K достаточно для инициирования этой реакции. При этом образование фторбензола за счет протекания вторичных реакций с участием ипсо-фторциклогексадиенил-радикала и его однозарядного катиона маловероятно. Настоящее исследование является продолжением цикла работ ФИЦ ХФ РАН [15, 16, 46–49] о влиянии органических загрязнителей на окружающую среду.
Работа выполнена в рамках госзадания Министерства науки и высшего образования Российской Федерации (тема № 122040500060-4) и при финансовой поддержке Министерством науки и технологии Тайваня (грант MOST 111-2111-M-001-008).
About the authors
S. O. Adamson
Semenov Federal Research Center for Chemical Physics, Russian Academy of Sciences
Author for correspondence.
Email: sergey.o.adamson@gmail.com
Russian Federation, Moscow
D. D. Kharlampidi
Moscow State Pedagogical University; RUDN University
Email: sergey.o.adamson@gmail.com
Russian Federation, Moscow; Moscow
A. S. Shtyrkova
Moscow State Pedagogical University
Email: sergey.o.adamson@gmail.com
Russian Federation, Moscow
S. Y. Umanskii
Semenov Federal Research Center for Chemical Physics, Russian Academy of Sciences
Email: sergey.o.adamson@gmail.com
Russian Federation, Moscow
Y. A. Dyakov
Semenov Federal Research Center for Chemical Physics, Russian Academy of Sciences; Research Center for Environmental Changes, Academia Sinica
Email: sergey.o.adamson@gmail.com
Russian Federation, Moscow; Taipei, Republic of China
I. I. Morozov
Semenov Federal Research Center for Chemical Physics, Russian Academy of Sciences
Email: sergey.o.adamson@gmail.com
Russian Federation, Moscow
I. G. Stepanov
Semenov Federal Research Center for Chemical Physics, Russian Academy of Sciences
Email: sergey.o.adamson@gmail.com
Russian Federation, Moscow
M. G. Golubkov
Semenov Federal Research Center for Chemical Physics, Russian Academy of Sciences
Email: sergey.o.adamson@gmail.com
Russian Federation, Moscow
References
- Cochran E.L., Adrian F.J., Bowers V.A. // J. Phys. Chem. 1970. V. 74. № 10. P. 2083; https://doi.org/10.1021/j100909a006
- Ebrecht J., Hack W., Wagner H.G. // Ber. Bunseng. Phys. Chem. 1989. V. 93. № 5. P. 619; https://doi.org/10.1002/bbpc.19890930520
- Vasek A.H., Sams L.C. // J. Fluor. Chem. 1974. V. 3. № 3–4. P. 397; https://doi.org/10.1016/S0022-1139(00)82640-8
- Parson J.M., Lee Y.T. // J. Chem. Phys. 1972. V. 56. № 9. P. 4658; https://doi.org/10.1063/1.1677917
- Parson J.M., Shobatake K., Lee Y.T. et al. // J. Chem. Phys. 1973. V. 59. № 3. P. 1402; https://doi.org/10.1063/1.1680198
- Parson J.M., Shobatake K., Lee Y.T. et al. // Faraday Discuss. Chem. Soc. 1973. V. 55. P. 344; https://doi.org/10.1039/dc9735500344
- Shobatake K., Parson J.M., Lee Y.T. et al. // J. Chem. Phys. 1973. V. 59. № 3. P. 1427; https://doi.org/10.1063/1.1680200
- Shobatake K., Lee Y.T., Rice S.A. // J. Chem. Phys. 1973. V. 59. № 3. P. 1435; https://doi.org/10.1063/1.1680201
- Grover J.R., Wen Y., Lee Y.T. et al. // J. Chem. Phys. 1988. V. 89. № 2. P. 938; https://doi.org/10.1063/1.455162
- Jacox M.E. // J. Phys. Chem. 1982. V. 86. № 5. P. 670; https://doi.org/10.1021/j100394a016
- Cramer J.A., Rowland F.S. // J. Amer. Chem. Soc. 1974. V. 96. № 21. P. 6579; https://doi.org/10.1021/ja00828a006
- Moehlmann J.G., Gleaves J.T., Hudgens J.W. et al. // J. Chem. Phys. 1974. V. 60. № 12. P. 4790; https://doi.org/10.1063/1.1680982
- Moehlmann J.G., McDonald J.D. // J. Chem. Phys. 1975. V. 62. № 8. P. 3061; https://doi.org/10.1063/1.430904
- Obara M., Fujioka T. // Jpn. J. Appl. Phys. 1975. V. 14. № 8. P. 1183; https://doi.org/10.1143/JJAP.14.1183
- Vasiliev E.S., Volkov N.D., Karpov G.V. et al. // Russ. J. Phys. Chem. B 2020. V. 94. P. 2004; https://doi.org/10.1134/S0036024420100295
- Vasiliev E.S., Volkov N.D., Karpov G.V. et al. // Russ. J. Phys. Chem. B 2021. V. 15. P. 789; https://doi.org/10.1134/S1990793121050213
- Smith D.J., Setser D.W., Kim K.C. et al. // J. Phys. Chem. 1977. V. 81. № 9. P. 898; https://doi.org/10.1021/j100524a019
- Mason R.S., Parry A.J., Milton D.M.P. // J. Chem. Soc. Faraday Trans. 1994. V. 90. № 10. P. 1373; https://doi.org/10.1039/ft9949001373
- Tsao M.L., Hadad C.M., Platz M.S. // J. Amer. Chem. Soc. 2003. V. 125. № 27. P. 8390; https://doi.org/10.1021/ja035095u
- Zhao Y., Truhlar D.G. // Acc. Chem. Res. 2008. V. 41. № 2. P. 157; https://doi.org/10.1021/ar700111a
- Zhao Y., Truhlar D.G. // J. Chem. Theor. Comp. 2008. V. 4. № 11. P. 1849; https://doi.org/10.1021/ct800246v
- Adamson S.O. // Russ. J. Phys. Chem. B 2016. V. 10. P. 143; https://doi.org/10.1134/S1990793116010012
- Hehre W.J., Ditchfield R., Pople J.A. // J. Chem. Phys. 1972. V. 56. № 5. P. 2257; https://doi.org/10.1063/1.1677527
- Hariharan P.C., Pople J.A. // Theor. Chim. Acta. 1973. V. 28. № 3. P. 213; https://doi.org/10.1007/BF00533485
- Clark T., Chandrasekhar J., Spitznagel G.W. et al. // J. Comput. Chem. 1983. V. 4. № 3. P. 294; https://doi.org/10.1002/jcc.540040303
- Dunning T.H. // J. Chem. Phys. 1989. V. 90. № 2. P. 1007; https://doi.org/10.1063/1.456153
- Kendall R.A., Dunning T.H., Harrison R.J. // J. Chem. Phys. 1992. V. 96. № 9. P. 6796; https://doi.org/10.1063/1.462569
- Schmidt M.W., Baldridge K.K., Boatz J.A. et al. // J. Comp. Chem. 1993. V. 14. № 11. P. 1347; https://doi.org/10.1002/jcc.540141112
- Gordon M.S., Schmidt M.W. // Theory and Applications of Computational Chemistry. Amsterdam: Elsevier, 2005. P. 1167; https://doi.org/10.1016/B978-044451719-7/50084-6
- Huber K.P., Herzberg G. // In: Molecular Spectra and Molecular Structure. Boston: Springer, 1979. P. 8; https://doi.org/10.1007/978-1-4757-0961-2_2
- Feller D., Peterson K.A. // J. Mol. Struct. THEOCHEM. 1997. V. 400. № 1–3. P. 69; https://doi.org/10.1016/S0166-1280(97)90269-4
- Gondal M.A., Rohrbeck W., Urban W. et al. // J. Mol. Spectrosc. 1983. V. 100. № 2. P. 290; https://doi.org/10.1016/0022-2852(83)90087-5
- Darwent B. Bond dissociation energies in simple molecules. Gaithersburg: National Bureau of Standards, 1970; https://doi.org/10.6028/NBS.NSRDS.31
- Porter T.L., Mann D.E., Acquista N. // J. Mol. Spectrosc. 1965. V. 16. № 2. P. 228; https://doi.org/10.1016/0022-2852(65)90121-9
- Hildenbrand D.L. // Chem. Phys. Lett. 1975. V. 32. № 3. P. 523; https://doi.org/10.1016/0009-2614(75)85231-6
- Colbourn E.A., Dagenais M., Douglas A.E. et al. // Can. J. Phys. 1976. V. 54. № 13. P. 1343; https://doi.org/10.1139/p76-159
- Burgess D.R., Manion J.A. // J. Phys. Chem. Ref. Data. 2021. V. 50. № 2. 023102; https://doi.org/10.1063/5.0028874
- Espinosa-García J., Bravo J.L., Rangel C. // J. Phys. Chem. A. 2007. V. 111. № 14. P. 2761; https://doi.org/10.1021/jp0688759
- Foon R., Reid G.P. // Trans. Faraday Soc. 1971. V. 67. P. 3513; https://doi.org/10.1039/tf9716703513
- Persky A. // Chem. Phys. Lett. 1998. V. 298. № 4–6. P. 390; https://doi.org/10.1016/S0009-2614(98)01154-3
- Atkinson R., Baulch D.L., Cox R.A. et al. // J. Phys. Chem. Ref. Data. 1997. V. 26. № 3. P. 521; https://doi.org/10.1063/1.556011
- Hrusak J., Schroeder D., Weiske T. et al. // J. Amer. Chem. Soc. 1993. V. 115. № 5. P. 2015; https://doi.org/10.1021/ja00058a057
- Solcà N., Dopfer O. // J. Amer. Chem. Soc. 2003. V. 125. № 5. P. 1421; https://doi.org/10.1021/ja021036p
- Dopfer O., Solcà N., Lemaire J. et al. // J. Phys. Chem. A. 2005. V. 109. № 35. P. 7881; https://doi.org/10.1021/jp052907v
- Dopfer O. // J. Phys. Org. Chem. 2006. V. 19. № 8–9. P. 540; https://doi.org/10.1002/poc.1053
- Adamson S.O., Kharlampidi D.D., Shtyrkova A.S. et al. // Atoms. 2023. V. 11. № 10. 132; https://doi.org/10.3390/atoms11100132
- Vasiliev E.S., Karpov G.V., Shartava D.K. et al. // Russ. J. Phys. Chem. B 2022. V. 16. P. 388; https://doi.org/10.1134/S1990793122030113
- Morozov I.I., Vasiliev E.S., Butkovskaya N.I. et al. // Russ. J. Phys. Chem. B 2023. V. 17. P. 1091; https://doi.org/10.1134/S1990793123050251
- Morozov I.I., Vasiliev E.S., Volkov N.D. et al. // Russ. J. Phys. Chem. B 2022. V. 16. P. 877; https://doi.org/10.1134/S1990793122050220
Supplementary files







