Inglet oxygen generaion via silver nanoparticles UV-photoexcitation
- Authors: Ershov K.S.1, Valiulin S.V.1,2, Pyryaeva A.P.1,3
-
Affiliations:
- Voevodsky Institute of Chemical Kinetics and Combustion Siberian Branch of the Russian Academy of Sciences
- Novosibirsk State Pedagogical University
- Novosibirsk State University
- Issue: Vol 43, No 2 (2024)
- Pages: 103-111
- Section: ХИМИЧЕСКАЯ ФИЗИКА НАНОМАТЕРИАЛОВ
- URL: https://journals.rcsi.science/0207-401X/article/view/259902
- DOI: https://doi.org/10.31857/S0207401X24020114
- EDN: https://elibrary.ru/WHBIOL
- ID: 259902
Cite item
Full Text
Abstract
The NIR-luminescence of suspension of silver nanoparticles stabilized in distilled water has been investigated by photoexcitation of surface plasmon resonance (SPR). The observed short-living luminescence with the spectral maximum at 1300 nm is attributed to the singlet oxugen molecules luminescence. The singlet oxygen generation is assumed to pass in two stages as a result of three-photon process. First the one-photon SPR excitation of silver nanoparticle is occurred and leads to superoxide oxygen generation on the nanoparticle surface. Next the superoxide anion absorbs two more photons of the same laser pulse resulting in electron photodetachment with singlet oxygen formation. During a long period of UV-irradiation the studying suspension ceases to be photostable and sedimentation occurs. The sedimentation may be related to disturbance of nanoparticles steric stability resulting in more efficient superoxide anion adsorption on nanoparticles surface with silver oxide formation.
Full Text
Введение
Наночастицы (НЧ) серебра привлекают внимание все большего числа исследователей благодаря своим специфическим (по сравнению со свойствами макрочастиц серебра) физическим, химическим и в особенности оптическим свойствам [1]. Наночастицы серебра обладают сильным поглощением и рассеянием света в ближней УФ- и видимой областях спектра благодаря явлению поверхностного плазмонного резонанса, природа которого обусловлена колебаниями электронов в зоне проводимости металлических наночастиц, возникающими в результате взаимодействия электронов с электромагнитным полем падающего излучения [2]. Благодаря своим уникальным свойствам плазмонные НЧ металлов, в том числе серебра, находят применение в широком спектре приложений: спектроскопии, создании сенсоров, фотодинамической и фототермальной терапии и других областях [2–5]. Возбуждение металлических наночастиц в полосе плазмонного резонанса может облегчать протекание ряда химических реакций и увеличивать эффективность некоторых фотопроцессов [4], в том числе усиливать фотосенсибилизацию молекул синглетного кислорода органическими молекулами, находящимися вблизи металлических наночастиц [6]. А недавние исследования показывают, что фотовозбуждение НЧ серебра в полосе поверхностного плазмонного резонанса может приводить к образованию активных частиц кислорода (супероксид-аниона, гидроксильного радикала и синглетного кислорода) даже в отсутствие сторонних фотосенсибилизаторов [4, 5, 7].
Одним из наиболее распространенных и простых способов генерации синглетного кислорода является фотосенсибилизация с использованием органических или органо-металлических красителей. Однако ввиду ряда недостатков органических фотосенсибилизаторов, таких как, например, низкая фотостабильность, актуальной задачей остается поиск новых фотосенсибилизаторов с высокой эффективностью образования синглетного кислорода, большим коэффициентом поглощения и хорошей фотостабильностью [5]. Таким новым классом фотосенсибилизаторов могут выступать НЧ серебра, возбуждаемые в полосе поверхностного плазмонного резонанса, так как они более устойчивы к фотодеградации, обладают меньшей цитотоксичностью, имеют на 3–5 порядков более высокие коэффициенты экстинкции, чем органические красители [7], а также перестраиваемую полосу поглощения поверхностного плазмонного резонанса в зависимости от своей формы, размера, материала, а также свойств окружения [3, 8, 9]. Таким образом, использование процесса фотовозбуждения НЧ серебра в полосе плазмонного резонанса для генерации синглетного кислорода потенциально открывает ряд перспектив развития фотодинамической и фототермальной терапии онкологических заболеваний [5]. А установление точных механизмов генерации синглетного кислорода при фотовозбуждении плазмонных НЧ серебра имеет важное значение с точки зрения рационального дизайна наночастиц и их использования в тех приложениях, где необходима генерация синглетного кислорода [5].
Тем не менее количественное описание механизма образования синглетного кислорода при фотовозбуждении металлических наночастиц затруднено. В ряде исследований детально описаны механизмы образования синглетного кислорода при фотовозбуждении полупроводниковых наночастиц [10, 11], однако НЧ серебра имеют фундаментально другую электронную структуру, которая до сих пор не была детально сопоставлена с процессами образования активных частиц кислорода [5].
В ряде исследований [4, 5, 12] был качественно описан механизм активации кислорода и образования активных частиц кислорода при фотовозбуждении поверхностного плазмонного резонанса различных НЧ металлов, в том числе серебра. Авторы работы [4] предполагают, что в результате возбуждения поверхностного плазмонного резонанса сначала происходит передача электрона от наночастицы серебра или золота на молекулярный кислород 3O2, находящийся в окружающем частицу пространстве, в результате чего происходит образование супероксид-аниона O2–, который затем прочно адсорбируется на поверхности наночастицы. В то же время из-за колебания свободных электронов в условиях поверхностного плазмонного резонанса локальная температура поверхности наночастицы растет и приводит к образованию оксидов или гидроксидов золота и серебра. Несмотря на то, что описанный выше процесс предполагается основным, в работе также отмечается, что образование супероксид-аниона может приводить и процессам образования синглетного кислорода.
В работе [12] предложено качественное описание двух механизмов образования синглетного кислорода при облучении наночастиц золота непрерывным и импульсным лазерным излучением в полосе плазмонного резонанса. Как предположено в [12], образование синглетного кислорода происходит в результате взаимодействия плазмонов и горячих электронов с молекулярным кислородом, однако в случае облучения наночастиц золота импульсным излучением дополнительно происходит экстремальный нагрев наночастиц, приводящий к их фрагментации и росту термоионной электронной эмиссии.
В настоящей работе исследуется процесс образования синглетного кислорода при фотовозбуждении наночастиц серебра, стабилизированных поливинилпирролидоном в дистиллированной воде. Образование синглетного кислорода детектируется по его ИК-люминесценции. Предложено описание возможного механизма исследуемого процесса.
Экспериментальная часть
Эксперименты проводили с использованием препарата “Арговит” производства ООО НПЦ “Вектор-Вита” (Россия), который представляет собой 1%-ную суспензию наночастиц серебра, стабилизированных низкомолекулярным поливинилпирролидоном (ПВП) марки К-17 молекулярной массой (12 600 ± 2700) Да, произведенного в Китае, и гидролизатом коллагена (ГК) в дистиллированной воде. Содержание ПВП и гидролизата коллагена в препарате “Арговит” составляло соответственно 5% и 10%, концентрация серебра в суспензии — 10 мг/мл. В ряде экспериментов использовали растворы чистого ПВП марки К-17 (Китай) и чистого гидролизата коллагена (Россия) в дистиллированной воде.
Определение размера и формы НЧ серебра, содержащихся в суспензии препарата “Арговит”, осуществляли с помощью метода просвечивающей электронной микроскопии (ПЭМ). Для этого каплю суспензии объемом 0.4 мкм помещали на медные ПЭМ-сетки, покрытые формваром, и после испарения воды исследовали на микроскопе JEM-100SX (производства компании JEOL (Japan)). Для определения размера НЧ серебра каждая частица на полученных ПЭМ-изображениях вписывалась в прямоугольник наименьшего возможного размера, а диаметр частицы рассчитывался как где S – площадь прямоугольника. Спектры поглощения исследуемых суспензий и растворов сняты с помощью УФ-ВИД-спектрофотометра UV-1800 производства компании Schimadzu (Japan).
Экспериментальная установка для регистрации ИК-люминесценции схожа с той, что была описана ранее [10], и включает в себя лазерный источник УФ-излучения, кювету с исследуемым веществом, ИК-детектор люминесценции, монохроматор и осциллограф. Исследуемое вещество (суспензия НЧ серебра, дистиллированная вода или растворы полимеров) в кварцевой кювете облучалось излучением третьей гармоники Nd:YAG-лазера модели LS-2137U производства компании LOTIS TII (Беларусь), работающего на длине волны 355 нм с длительностью импульса 7 нс на частоте 10 Гц. Лазерное излучение фокусировалось на кювету парой цилиндрических линз таким образом, чтобы фокус был расположен вне кюветы, а сечение лазерного луча в кювете с исследуемым веществом имело овальную форму с площадью около 5 × 16 мм2. Основная гармоника лазерного излучения отделялась с помощью призмы Пеллин–Брока и светофильтра УФС-1. Энергия лазерного излучения на входе в кювету регистрировалась с помощью измерителя энергии компании Gentec-EO (USA) серии QE25SP-S-MT-D0 и варьировалась с помощью набора УФ-ВИД-светофильтров в пределах от 19 до 31 мДж. В ходе экспериментов в кювете происходило постоянное перемешивание суспензии или раствора с помощью магнитной мешалки.
Возбуждаемая лазером ИК-люминесценция фокусировалась сферической линзой (фокусное расстояние — 2.5 см) на входную щель монохроматора M266-IV производства компании Solar Laser Systems (Беларусь) и регистрировалась ИК-фотодетектором на выходе из монохроматора. Ширины входной и выходной щелей составляли 2 мм, относительная апертура — 1 : 3.8, дисперсия — 5.7 нм/мм на длине волны 1.2 мкм, дифракционная решетка — 600 штрихов/мм. В качестве фотодетектора использовали широкополосный ИК-фотодетектор на основе модели G12180-250A InGaAs-фотодиода компании Hamamatsu (Japan), описанный в работе Гольдорта с соавт. [13]. Сигналы люминесценции регистрировались в результате усреднения по последовательности из 128–8192 импульсов.
Результаты и их обсуждение
Морфология и спектральные свойства наночастиц серебра в суспензии препарата “Арговит”
На рис. 1а приведено типичное ПЭМ-изображение наночастиц серебра, содержащихся в суспензии препарата “Арговит”. Как видно из этого рисунка, в суспензии содержатся отдельные частицы, гистограмма распределения по размерам которых приведена на рис. 1б. Гистограмма хорошо аппроксимируется логарифмически нормальной функцией f (d):
где σg — стандартное геометрическое отклонение, d0 — средний геометрический диаметр частиц. Таким образом, суспензия препарата “Арговит” состоит из одиночных НЧ серебра с размерами преимущественно в диапазоне 5–14 нм.
Рис. 1. а — Типичное ПЭМ-изображение; и б — полученная из ПЭМ-изображений гистограмма распределения по размерам наночастиц серебра, содержащихся в суспензии препарата “Арговит”. Сплошная линия — аппроксимация функцией (1) с d0 = 10 нм и σg = 1.65.
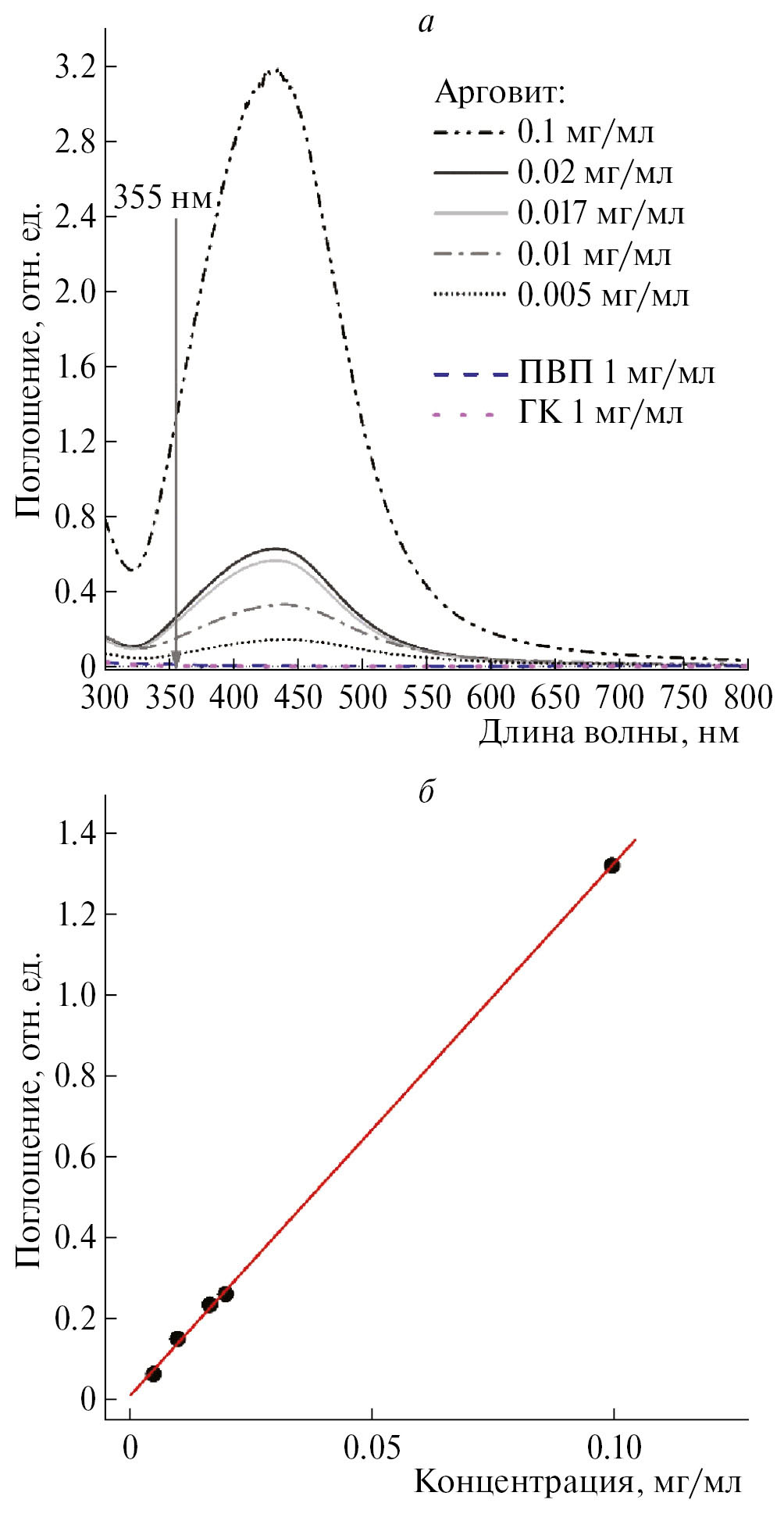
На рис. 2а приведены спектры поглощения, зарегистрированные для суспензии препарата “Арговит”, чистого ПВП и чистого гидролизата коллагена. Из представленных спектров видно, что ПВП и ГК практически не поглощают излучение на длине волны 355 нм. А в спектре поглощения суспензии присутствует широкая полоса поглощения с максимумом около 420 нм, соответствующая полосе поверхностного плазмонного резонанса наночастиц серебра. Интенсивность полосы поглощения суспензии линейно растет с увеличением концентрации НЧ серебра (рис. 2б) и по своим форме и положению хорошо согласуется со спектрами поглощения поверхностного плазмонного резонанса, зарегистрированными для сферических НЧ серебра в тонких пленках с размерами от 2 до 10 нм [8].
Рис. 2. а — Спектры поглощения чистого ПВП, чистого ГК и суспензии препарата “Арговит” при разных концентрациях наночастиц серебра; б — зависимость поглощения суспензии препарата “Арговит” на длине волны 355 нм от концентрации наночастиц серебра.
На рис. 3а приведены спектры люминесценции, зарегистрированные в результате УФ-фотовозбуждения суспензии препарата “Арговит”, чистого ПВП и дистиллированной воды импульсным лазерным излучением на длине волны 355 нм. Спектры записаны с шагом в 10 нм, а каждая точка соответствует интегралу временно́го профиля сигнала люминесценции (рис. 3б), усредненного по 8192 импульсам. Из рис. 3а видно, что при фотовозбуждении воды и ПВП отсутствует спектр люминесценции в диапазоне длин волн 1200–1400 нм, в то время как при фотовозбуждении препарата “Арговит” наблюдается полоса люминесценции с максимумом при ≈1300 нм.
Рис. 3. а — Спектры люминесценции, зарегистрированные в результате УФ-фотовозбуждения суспензии препарата “Арговит” (5 мг/мл, 25 мДж, усреднение по 16 спектрам), ПВП (5 мг/мл, 30 мДж, усреднение по 4 спектрам), гидролизата коллагена (ГК, 100 мг/мл, 30 мДж, усреднение по 8 спектрам) и дистиллированной воды (30 мДж, усреднение по 4 спектрам); б — сигнал люминесценции, зарегистрированный в суспензии препарата “Арговит” на длине волны 1300 нм (энергия возбуждающего излучения — 25 мДж, усреднение по 8192 импульсам); серой линией показана аппроксимация сигнала люминесцецнии, соответствующая кинетике тушения второго порядка [14].
На рис. 4 показана зависимость интеграла сигнала люминесценции при 1300 нм, зарегистрированного в суспензии препарата “Арговит”, от энергии лазерного излучения в двойных логарифмических координатах. Тангенс угла наклона прямой аппроксимации исследуемой зависимости в пределах погрешности равен трем, откуда следует, что люминесценции предшествует трехфотонное поглощение.
Рис. 4. Зависимость интеграла сигнала люминесценции А, зарегистрированного на длине волны 1300 нм при фотовозбуждении суспензии препарата “Арговит”, от энергии возбуждающего излучения в двойных логарифмических координатах.
Образование синглетного кислорода 1О2
Полученные результаты позволяют отнести зарегистрированный спектр люминесценции с максимумом при ≈1300 нм и сигнал люминесценции (рис. 3) к фосфоресценции молекул синглетного кислорода O2(1Δg). Спектр люминесценции, приведенный на рис. 3а, сдвинут в красную область по сравнению с фосфоресценцией синглетного кислорода в газе с максимумом при ≈1269 нм. Такой батохромный сдвиг спектра люминесценции синглетного кислорода наблюдался в различных конденсированных средах, а наибольшие значения длин волн, при которых люминесценция была максимальной, составляли 1287 нм для синглетного кислорода, адсорбированного на фуллерене [15], и 1300 нм для синглетного кислорода, адсорбированного на наночастицах TiO2 в дистиллированной воде [10]. Можно предположить, что из-за одинаковых значений батохромного сдвига спектры люминесценции, зарегистрированные при УФ-фотовозбуждении суспензии наночастиц серебра (рис. 3а) и суспензии наночастиц TiO2 [10] при фотовозбуждении лазерным излучением на длине волны 355 нм, имеют схожую природу. То есть наблюдаемая люминесценция относится к молекулам синглетного кислорода, адсорбированным на поверхности наночастиц серебра, а батохромный сдвиг обусловлен влиянием поверхности металлических наночастиц на молекулы кислорода.
Сигнал люминесценции (рис. 3б) имеет ширину около 400 нс на полувысоте, что меньше, чем ширина аппаратной функции используемого ИК-фотодетектора при его максимальном временно́м разрешении (1 МГц) [13], поэтому из полученных временны́х профилей сигнала люминесценции невозможно точно установить время жизни синглетного кислорода. Однако можно заключить, что время жизни принимает значение <1 мкс. Время жизни синглетного кислорода в дистиллированной воде составляет (3.7 ± 0.4) мкс [16], однако при фотовозбуждении суспензии TiO2 в дистиллированной воде наблюдалось сокращение времени люминесценции синглетного кислорода до величины, меньшей чем 2 мкс [10]. Сокращение времени люминесценции при фотовозбуждении суспензии TiO2 обусловлено тем, что молекулы синглетного кислорода образуются на поверхности наночастиц [10]. Наблюдаемое сокращение времени люминесценции синглетного кислорода при фотовозбуждении суспензии НЧ серебра, вероятно, также обусловлено рождением молекул синглетного кислорода на поверхности наночастиц серебра. Тут стоить отметить, что присутствие стабилизаторов в суспензии НЧ серебра (ПВП и гидролизата коллагена) не должно приводить к сокращению времени люминесценции синглетного кислорода, так как время его жизни при взаимодействии с ПВП и с гидролизатом коллагена значительно превышает время жизни синглетного кислорода в дистиллированной воде [17, 18].
Величина сигнала люминесценции синглетного кислорода при фотовозбуждении суспензии НЧ серебра в воде зависит от энергии лазерного импульса, что проиллюстрировано на рис. 4. Данная зависимость хорошо аппроксимируется прямой с тангенсом угла наклона, равным 2.9 ± 0.1, что соответствует трехфотонной природе регистрируемой ИК-люминесценции.
Схожий трехфотонный процесс наблюдался при регистрации временно́й зависимости сигнала люминесценции синглетного кислорода, образованного при фотовозбуждении наночастиц TiO2 в дистиллированной воде [10]. Авторы работы [10] предполагают, что синглетный кислород образуется в процессе фотоотщепления электрона от супероксид-аниона, адсорбированного на поверхности наночастицы, одним и тем же лазерным импульсом: причем необходимое число фотонов n зависит от свойств среды, в которой находятся наночастицы TiO2, и равняется двум для дистиллированной воды вследствие увеличения энергии сольватации супероксид-аниона в воде. Отщепленный электрон может в дальнейшем рекомбинировать с дыркой или с растворенным в воде кислородом.
В работе [19] исследовалась адсорбция молекулярного кислорода на пленках серебра и было установлено, что при комнатной температуре адсорбция кислорода является слабой и составляет менее 1% от покрытия всей поверхности. При этом в работе [4] предполагается, что в результате фотовозбуждения НЧ серебра в газовой фазе в полосе поверхностного плазмонного резонанса происходит передача электрона от наночастицы молекуле кислорода в основном состоянии 3O2, находящейся в окружающем наночастицу воздухе, с последующим образованием супероксид-аниона О2–, который, в свою очередь, эффективно адсорбируется на поверхности наночастиц. При фотовозбуждении НЧ серебра, стабилизированных полимерами, адсорбция супероксид аниона на поверхности наночастиц серебра может быть затруднена. Однако нельзя исключать, что перед проведением стабилизации на НЧ серебра уже были сорбированы молекулы кислорода или некоторая концентрация молекулярного кислорода осталась в пространстве между наночастицей и стабилизирующим полимером. В этом случае первый квант возбуждающего излучения может приводить к образованию молекул супероксид-аниона, уже адсорбированных или адсорбируемых из пространства между наночастицей и полимером. А поглощение еще двух квантов может запускать процесс фотовозбуждения супероксид-аниона с отщеплением электрона и образованием синглетного кислорода, описанный в работе [10]. Предложенный механизм подтверждает наблюдаемую трехквантовую природу исследуемого фотопроцесса.
Тут стоит отметить, что суспензия препарата “Арговит” не является фотостабильной. На рис. 5а приведены спектры поглощения суспензии препарата “Арговит” до и после облучения в течение 2 ч лазерным излучением на длине волны 355 нм с постоянным перемешиванием суспензии магнитной мешалкой. На рис. 5б приведена зависимость интеграла сигнала люминесценции от времени облучения. Видно, что с увеличением времени облучения падает интенсивность полосы плазмонного резонанса, а ее пик слегка смещается в синюю область. Синий сдвиг полосы плазмонного резонанса может быть связан с уменьшением размеров НЧ серебра [8], которое в свою очередь, может быть обусловлено двумя факторами. Во-первых, частичным растворением НЧ серебра в воде, что становится заметным уже после облучения в течение 2 ч УФ-излучением на длине волны 365 нм [5], а во-вторых, фрагментацией наночастиц в результате их экстремального нагрева при воздействии импульсного лазерного излучения с длиной волны в полосе плазмонного резонанса (данное явление обсуждалось в работе [12] для НЧ золота). При этом после 4 ч УФ-облучения в исходно прозрачной суспензии препарата “Арговит” образуется темная, заметная невооруженным глазом взвесь, со временем оседающая на дно кюветы в отсутствие перемешивания.
Рис. 5. а — Спектр поглощения суспензии препарата “Арговит” до УФ-облучения (1) и после УФ-облученияв течение 2 ч (2) (исходная концентрация наночастиц серебра — 0.1 мг/мл); б — временна́я зависимость интеграла сигнала люминесценции в спектральном диапазоне от 1200 до 1400 нм при фотовозбуждении суспензии на длине волны 355 нм (каждый сигнал усреднялся по 128 импульсам, энергия возбуждающего излучения — 30 мДж).
Относительно немного известно о процессах фототрансформации полимерных покрытий металлических наночастиц. Так, известно, что ПВП, покрывающий НЧ серебра, деградирует под действием длительного УФ-излучения, но остается открытым вопрос о состоянии покрытия поливинилпирролидоном поверхности наночастиц после УФ-облучения [20]. Можно предположить, что образующаяся темная взвесь является оксидом серебра Ag2O, образующимся в результате снижения стерической стабильности НЧ серебраиз-за фотодеградации ПВП на поверхности наночастиц при их длительном облучении УФ-излучением [20]. Снижение стерической стабильности наночастиц может увеличивать эффективность адсорбции молекул кислорода и супероксид-аниона на поверхности наночастицы, что, в свою очередь, может приводить к активизации процесса образования оксида серебра [4]. Так как в течение двухчасового УФ-облучения не наблюдалась заметная фотодеградация ПВП [21] и коллагена [22] в растворе и на поверхности наночастиц [20], для исключения влияния процессов фотодеградации присутствующих в суспензии ПВП и гидролизата коллагена во всех экспериментах по регистрации ИК-люминесценции длительность УФ-облучения суспензии препарата “Арговит” составляла не более 2 ч. При измерении зависимости интеграла сигнала от энергии лазерного импульса перед каждым новым измерением суспензия заменялась на исходную, не подвергавшуюся облучению.
Образование синглетного кислорода при фотооблучении препарата “Арговит” в полосе плазмонного резонанса НЧ серебра, входящих в его состав, делает его перспективным для фототерапии, так как сам препарат не является токсичным, разрешен для применения в медицинских целях и ко всему прочему также показал эффективность в борьбе с рядом инфекционных заболеваний [23].
Заключение
Зарегистрирована ИК-люминесценция с максимумом вблизи 1300 нм при импульсном лазерном облучении на длине волны 355 нм препарата “Арговит”, представляющего собой 1%-ную суспензию наночастиц серебра со средним геометрическим размером 10 нм в дистиллированной воде, стабилизированных ПВП (5%) с добавлением гидролизата коллагена (10%). Возбуждение лазерного излучения происходит на длине волны в полосе поглощения поверхностного плазмонного резонанса исследуемых НЧ серебра. Зарегистрированная ИК-люминесценция отнесена к люминесценции молекул синглетного кислорода, адсорбированных на поверхности наночастиц серебра, что подтверждается наблюдаемым батохромным спектральным сдвигом люминесценции по сравнению со спектром люминесценции синглетного кислорода в газе и сокращением времени люминесценции. Наблюдаемая зависимость сигнала люминесценции от энергии лазерного импульса указывает на трехфотонную природу люминесценции, регистрируемой при фотооблучении суспензии НЧ серебрав воде. Можно полагать, что в результате фотовозбуждения наночастиц серебра в полосе поверхностного плазмонного резонанса сперва происходит поглощение одного фотона. В результате этого вначале происходит передача электрона от наночастицы молекуле кислорода в основном состоянии 3O2, адсорбированной на поверхности наночастицы или находящейся в непосредственной близости к ней, с последующим образованием супероксиданиона О2– на поверхности наночастицы. А затем реализуется процесс двухфотонного фотовозбуждения молекул супероксид-аниона с отщеплением электрона и образованием молекулы синглетного кислорода.
Полученные результаты позволяют заключить, что процесс образования синглетного кислорода при фотовозбуждении суспензии наночастиц серебра определяется временем жизни адсорбированного на поверхности супероксид-аниона и спектром фотоотщепления электрона от супероксида аниона в исследуемой среде. Для уточнения характера влияния поверхности наночастиц серебра на процесс фотообразования синглетного кислорода требуются дополнительные исследования.
Исследование выполнено при финансовой поддержке Российским научным фондом (грант № 22-23-00921).
About the authors
K. S. Ershov
Voevodsky Institute of Chemical Kinetics and Combustion Siberian Branch of the Russian Academy of Sciences
Email: pyryaeva@kinetics.nsc.ru
Russian Federation, Novosibirsk
S. V. Valiulin
Voevodsky Institute of Chemical Kinetics and Combustion Siberian Branch of the Russian Academy of Sciences; Novosibirsk State Pedagogical University
Email: pyryaeva@kinetics.nsc.ru
Russian Federation, Novosibirsk; Novosibirsk
A. P. Pyryaeva
Voevodsky Institute of Chemical Kinetics and Combustion Siberian Branch of the Russian Academy of Sciences; Novosibirsk State University
Author for correspondence.
Email: pyryaeva@kinetics.nsc.ru
Russian Federation, Novosibirsk; Novosibirsk
References
- Zhang Y.J. // Plasmonics. 2011. V. 6. P. 393.
- Willets K.A., Duyne R.P. // Annu. Rev. Phys. Chem. 2007. V. 58. P. 267.
- Vankayala R., Kuo C.-L., Sagadevan A. et al. // J. Mater. Chem. B. 2013. V. 1. P. 4379.
- Huang Y.-F., Zhang M., Zhao J.-M. et al. // Angewandte Chemie. 2014. V. 126. P. 2385.
- Zhang W., Li Y., Niu J. et al. // Langmuir. 2013. V. 29. P. 4647.
- Rogovina S.Z., Prut E.V., Solov’eva A.B. et al. // Russ. J. Phys. Chem B. 2013. V. 7. I. 4. P. 490.
- Vankayala R., Sagadevan A., Vijayaraghavan P. et al. // Angewandte Chemie. 2011. V. 123. P. 10828.
- Mogensen K.B.,Kneipp K. // J. Phys. Chem. C. 2014. V. 118. P. 28075.
- Zapadinskii B.I., Kotova A.V., Matveeva I.A. et al. // Russ. J. Phys. Chem B. 2010. V. 4. I. 5. P. 864.
- Demyanenko A.V., Bogomolov A.S., Dozmorov N.V. et al. // J. Phys. Chem. C. 2019. V. 123. P. 2175.
- Nosaka Y., Daimon T., Nosaka A.Y. et al. // Physical Chemistry Chemical Physics. 2004. V. 6. P. 2917.
- Pasparakis G., // Small. 2013. V. 9. P. 4130.
- Goldort V.G., Demyanenko A.V., Bogomolov A.S. et al. // Inst. Exp. Tech. 2019. V. 2. P. 252.
- Trushina A.P., Goldort V.G., Kochubei S.A. et al. // Chemical Physics Letters. 2010. V. 485. P. 11.
- Bagrov I.V., Kiselev V.M., Kislyakov I.M. et al. // Optics and Spectroscopy. 2015. V. 118. P. 417.
- Bregnhøj M., Westberg M., Jensen F. et al. // Phys. Chem. Chem. Phys. 2016. V. 18. P. 22946.
- Shiller K., Muller F.W., // Polymer International. 1991. V. 25. P. 19.
- Ryu A., Naru E., Arakane K. et al. // Chem. Pharm. Bull. 1997. V. 45. P. 1243.
- Pettenkofer C., Pockrand I.,Otto A., // Surface Science. 1983. V. 135. P. 52.
- Louie S.M., Gorham J.M., Tan J. et al. // Environ. Sci.: Nano. 2017. V. 4. P. 1866.
- Kowalonek J., Kaczmarek H., // European Polymer Journal. 2010. V. 46. P. 345.
- Rebrova G.A., Vasilevskii V.K., Rebrov L.B. et al. // Biochemistry (Moscow), Supplement Series B: Biomedical Chemistry. 2007. V. 53. P. 442. Russian language.
- Burmistrov V.A., Bogdanchikova N.E., Gyusan A.O. et al. // Siberian scientific medical journal. 2021. V. 41. I. 5. P. 4.
Supplementary files
Note
Х Международная конференция им. В.В. Воеводского “Физика и химия элементарных химических процессов” (сентябрь 2022, Новосибирск, Россия).







