Influence of different heat treatment regimes on the change of chemical composition and antibacterial activity of bee honey
- Authors: Gruznov D.V.1, Gruznova O.A.2, Lobanov A.V.2,3,4, Sokhlikov A.B.1, Shcherbakova G.S.1, Stepanova S.P.1, Popov N.I.1
-
Affiliations:
- Federal Research Center All-Russian Research Institute for Experimental Veterinary Science Russian Academy of Sciences
- Semenov Federal Research Center for Chemical Physics, Russian Academy of Sciences
- Moscow Pedagogical State University
- Plekhanov Russian University of Economics
- Issue: Vol 43, No 2 (2024)
- Pages: 81-91
- Section: Chemical physics of biological processes
- URL: https://journals.rcsi.science/0207-401X/article/view/259900
- DOI: https://doi.org/10.31857/S0207401X24020099
- EDN: https://elibrary.ru/WHJYDF
- ID: 259900
Cite item
Full Text
Abstract
The studies of the chemical composition and antibacterial activity of heather honey (Calluna vulgaris) subjected to heat treatment at 35–40°C for 12 hours were carried out. The temperature range (38–40°C), at which decrease in the H2O2 concentration, decrease in D-glucose-1-oxidase activity and increase in the 5-hydroxymethylfurfural content, was identified. The degree of chemical changes was directly proportional to the temperature and time of thermal exposure. The correlation between changes in the chemical composition and antibacterial activity of honey against test microorganisms Escherichia coli (strain 1257), Staphylococcus aureus (strain 209-P) and Bacillus cereus (strain 96) was established. The obtained results showed that heating honey to 37 °C even for 12 hours didn’t cause undesirable changes in its chemical composition and decrease in antibacterial activity. Thus, this temperature regime can be considered more gentle and recommended for use in the heat treatment of this food product.
Full Text
Введение
Пчелиный мед представляет собой сложную биологическую систему, содержащую в своем составе более 180 различных соединений [1]. Условно их объединяют в следующие группы: водная часть, сахара и неуглеводная фракция. Более 60% от общего содержания сахаров составляют моносахариды–глюкоза и фруктоза (α- и β-изомеры). К так называемой неуглеводной фракции относят ферменты, аминокислоты, органические и неорганические кислоты, зольные элементы, водорастворимые витамины, растительные пигменты и липиды [2–7].
На протяжении многих лет считалось, что из всех вышеперечисленных компонентов биологическую активность меда в основном обуславливают сахара, кислоты и ферменты. Однако в 1962 г. J.W. White с соавт. в результате проведенного ряда экспериментов по изучению ингибирующего действия на грамположительные и грамотрицательные микроорганизмы доказали, что аналогичным свойством обладает также пероксид водорода. Для этой цели ими был разработан колориметрический метод, основанный на изменении цвета в результате действия 3,3′-диметоксибензидина, H2O2 и пероксидазы [8–10]. Следует отметить, что за прошедшее время данный подход претерпел многочисленные модификации и продолжает широко применяться исследователями при физико-химическом анализе меда [11–13].
Пероксид водорода в меде образуется под воздействием фермента D-глюкозо-1-оксидазы в результате двухстадийной окислительно-восстановительной реакции [14]. Окислительно-восстановительная активность D-глюкозо-1-оксидазы обуславливается коферментом флавинадениндинуклеотидом (ФАД). В первой, восстановительной полуреакции D-глюкозо-1-оксидаза катализирует окисление β-D-глюкозы путем переноса двух электронов и протона от первой гидроксильной группы β-D-глюкозы на кофактор ФАД с сопутствующим окислением глюкозы до глюконо-1,5-лактона. Далее глюконо-1,5-лактон гидролизуется до глюконовой кислоты. Во второй, окислительной полуреакции восстановленный кофермент ФАДH2 повторно окисляется молекулярным кислородом. Кислород принимает два электрона, переданных от ФАДH2, регенерируя каталитическую систему с сопутствующим образованием H2O2, который впоследствии гидролизуется до воды и кислорода металлсодержащим ферментом — каталазой. Каталазный каталитический цикл включает участие двух молекул: H2O2 и FeIII. На первом этапе H2O2 служит окислителем, окисляя FeIII до промежуточного оксиферрила FeIVO. Одноэлектронный перенос от FeIII к первой молекуле H2O2 разрывает связь О–О в молекулах и восстанавливает ее до воды и кислорода. Во второй части реакции восстановителем выступает вторая молекула H2O2. Двухэлектронное восстановление промежуточного оксиферрила FeIVO H2O2 регенерирует исходную феррикаталазу, образуя одновременно кислород и другую молекулу воды [15, 16]. Кроме каталазы на уровень H2O2 влияют такие факторы, как коллоидное состояние меда, воздействие пероксидаз, тиолсодержащих пероксиредоксинов, аскорбиновой кислоты, УФ-излучения, а также низких и высоких температур [1, 16–18].
В меде, подвергнутом термической обработке, в результате дегидратации фруктозы и глюкозы образуется 5-гидроксиметилфурфурол (5-ГМФ). Считается, что 5-ГМФ обладает мутагенным действием, поэтому контроль за его содержанием крайне важен [19, 20].
Ранее нами была продемонстрирована корреляция между содержаниями H2O2 и 5-ГМФ в некоторых видах пчелиного меда при нагревании [21, 22]. Цель настоящей работы заключалась в сравнительном анализе изменения химического состава меда под воздействием температур от 35 до 40 °С и влияния этого процесса на бактерицидную активность меда. Полученные результаты могут быть использованы в качестве дополнительных рекомендаций при проведении контроля качества меда.
Экспериментальная часть
В работе были использованы образцы натурального пчелиного верескового меда, поступивших из регионов европейской части России и Республики Беларусь. Пробы отбирали и хранили согласно нормативной документации (НД), согласно ГОСТ 19792-2017 [23].
Монофлерность образцов меда подтверждали с помощью микроскопического анализа палинологического состава в соответствии с НД (ГОСТ 31769-2012) [24]. Световую микроскопию образцов меда проводили с использованием бинокулярного микроскопа EUM-5000 (КНР) при увеличении ×400.
Частоту встречаемости пыльцевых зерен, Xp, рассчитывали по формуле
Xp (%) = G · 100n–1,
где G = ΣGi — число пыльцевых зерен вереска во всех счетных полях, n = Σni — общее количество подсчитанных пыльцевых зерен во всех счетных полях, 100 — коэффициент пересчета относительных долей в проценты.
Фотографическое изображение пыльцевых зерен получали с помощью цифровой камеры M1000 PLUS производства компании Levenhuk (USA).
Содержание H2O2 в меде определяли с помощью ранее адаптированного и модифицированного нами спектрально-иодометрического метода, суть которого заключается в том, что при взаимодействии иодида калия с H2O2 в кислой среде выделяется молекулярный иод в форме комплексного аниона I3– и регистрируемый методом электронной абсорбционной спектроскопии [25]. Электронные спектры поглощения регистрировали с помощью спектрофотометра ПЭ5400УФ производства компании Экросхим (Россия)) в диапазоне длин волн λ = 250–500 нм.
Концентрацию H2O2 рассчитывали по формуле
С = R(D – D0)/ε,
где D — оптическая плотность аналитического раствора (λ = 351 нм); D0 — оптическая плотность контрольного раствора (дистиллированная вода); R — коэффициент, учитывающий разбавление; ε — коэффициент молярной экстинции I3– (ε351 = = 26 400 л ∙ моль–1 ∙ см–1).
Содержание сахарозы, глюкозы и фруктозы определяли с помощью метода высокоэффективной жидкостной хроматографии (ВЭЖХ) в соответствии с НД (ГОСТ 32167-2013) [26]. Анализ проводился с использованием хроматографа компании Shimadzu (Japan) серии LC-20 Prominence, колонки Eclipse XDB-C18 (250 мм × 4.6 мм × × 5 мкм) производства компании Agilent (USA) в изократическом режиме при скорости потока 1.3 мл/мин. Подвижная фаза представляла собой смесь ацетонитрила и деионизированной воды в объемном соотношении 4 : 1. Были использованы аналитические стандартные образцы сахарозы, глюкозы и фруктозы — все производства компании Merck (USA) чистотой ≥99.5%.
Массовую долю сахаров рассчитывали по формуле
X = 100A1V1m2A2-1 V2-1 m1-1,
где A1 — площадь или высота пика сахаров в растворе меда (м2); V1 — общий объем раствора меда (мл); m2 — масса сахара, содержащаяся в общем объеме стандартного раствора (г); A2 — площадь или высота пика соответствующего сахара в стандартном растворе (м2); V2 — общий объем стандартного раствора (мл); m1 — проба меда (г).
Содержание 5-ГМФ определяли с помощью метода обращеннофазовой ВЭЖХ в соответствии с НД (ГОСТ 31768-2012) [27]. Анализ проводили с использованием хроматографа LC-20 Prominence (Shimadzu, Japan) колонки Eclipse XDB-C18 (150 мм × 4.6 мм × 5 мкм) в градиентном режиме при скорости потока 1.0 мл/мин. Был использован коммерческий 5-ГМФ с содержанием основного вещества не <99% производства компании Sigma-Aldrich (USA), из которого приготавливали стандартные растворы с концентрациями 100, 50, 30, 20, 10, 5 и 2.0 мкг/мл для построения калибровочной кривой.
Определение точной массовой концентрации 5-ГМФ проводили с помощью спектрофотометра ПЭ5400УФ (Экросхим, Россия) на длине волны λ = 285 нм. В качестве раствора сравнения использовали деионизированную воду.
Количество 5-ГМФ в образцах меда (мг/кг) рассчитывали на основе заранее построенной калибровочной кривой по формуле
М5–ГМФ = C5–ГМФVобр /mм,
где C5–ГМФ — концентрация 5-ГМФ, определенная по калибровочному графику (мкг/мл); Vобр — объем анализируемой пробы (мл); mм — масса анализируемой пробы меда (г).
Определение активности каталазы осуществляли в соответствии с методикой, разработанной А.В. Аганиным [28], согласно которой активность выражали в мм3 кислорода, выделяющегося при воздействии каталазы, содержащейся в 1 г меда, на 10 мл 1%-ного (по массе) раствора H2O2 в течение 24 ч. Для проведения данного анализа была использована коммерческая каталаза производства компании Sigma-Aldrich (USA) чистотой ≥90%, содержащая ≥30 000 ед./мг белка.
Активность диастазы определяли согласно ГОСТ 34232-2017 [29] колориметрическим методом и выражали количеством см3 1%-ного (по массе) раствора крахмала, расщепляемым за 1 ч амилолитическими ферментами, содержащимися в 1 г безводного вещества меда. Значение диастазной активности (ед. Готе) вычисляли по формуле
X = 100 · 80(Dк – Dисп)Dк-1(100 – W )-1,
где 80 — коэффициент пересчета, Dк — оптическая плотность контрольного раствора, Dисп — оптическая плотность испытуемого раствора, W — массовая доля воды в меде (%).
Активность D-глюкозо-1-оксидазы определяли по методу, описанному в работе I. Flanjak с соавт. [30]. Сущность данного метода заключается в том, что H2O2 восстанавливается до воды пероксидазой с использованием 3,3′-диметоксибензидина в качестве субстрата. Образовавшийся окрашенный продукт детектировался спектрофотометрически и имел максимальное поглощение при длине волны λ = 400 нм. Количественное определение проводили с использованием в качестве стандарта H2O2 (10–100 мкмоль/л) производства Fluka, (Germany). Результаты выражали в мкг H2O2/ч на 1 г меда.
Антибактериальную активность исследуемых образцов меда определяли с использованием метода диффузии в агар с микроорганизмами суточных тест-культур. В качестве тест-микроорганизмов брали бактерии Escherichia coli (штамм 1257), Staphylococcus aureus (штамм 209-P) и Bacillus cereus (штамм 96). Из смыва каждой культуры готовили суспензию с количеством микробных клеток в 1 мл, равным 104 (количество устанавливалось по стандарту мутности), и высевали ее в предварительно подготовленные стерильные чашки Петри с мясо-пептонным агаром с лункой в центре (6 чашек на каждую пару микроорганизм–образец меда). В эти чашки помещали образцы меда весом (0.1 ± 0.01) г как подвергнутые тепловой обработке в термостате при различных температурах (35–40 °С) в течение 3 ч (для обработки (5.0 ± 0.01) г меда помещали в стерильные пенициллиновые флаконы и выдерживали в термостате указанное время), так и не подвергавшиеся температурному воздействию. Посевы инкубировались в течение 24 ч при температуре 37 °С. Учет результатов проводился по диаметру зоны задержки роста вокруг образца меда. В качестве контроля использовались чашки Петри, в которые не вносился образец меда.
Статистическую обработку результатов проводили с использованием программного обеспечения MS Excel. Достоверность различия средних величин устанавливали с помощью t-критерия Стьюдента при уровне значимости р < 0.05.
Результаты и их обсуждение
Известно, что вереск (Вереск обыкновенный, Calluna vulgaris) — один из самых распространенных медоносов России, стран СНГ и Европы. Так, например, на территории Республики Беларусь расположено около 800 тыс. га массива. Вересковый мед обладает высокими потребительскими и целебными свойствами [31–34].
Результаты палинологического анализа пыльцевых зерен в исследуемых пробах подтвердили их происхождение: основной минимум пыльцы вереска составил 82 ± 2%. На рис. 1 приведена фотография пыльцевого зерна (×400).
Рис. 1. Фотографическое изображение пыльцевого зерна Вереска обыкновенного — Calluna vulgaris (×400).
Как видно, зерно находится в тетраэдрических и перекрестных тетрадах с округло-трехлопастным очертанием. Данное описание полностью совпадает с приведенным в литературных источниках [31, 32].
Для определения концентрации H2O2 в образцах меда был использован спектрально-иодометрический метод, примененный нами ранее для аналогичной цели при анализе меда различного ботанического происхождения [35]. На рис. 2 представлены электронные спектры регистрации комплексного аниона I3– в образцах для последующего расчета концентрации H2O2. Можно видеть, что электронные спектры всех образцов после иодометрической процедуры были идентичны, характеризовались поглощением в УФ-области, максимум поглощения (λmax) соответствовал 351 нм. В результате обработки полученных результатов по указанной выше формуле было установлено, что концентрация H2O2 в исследуемых образцах составила (137.4 ± ± 4.8) мкмоль/л.
Рис. 2. Электронные спектры поглощения комплексного аниона I3– (λmax = 351 нм) в образцах верескового меда 1–20.
В табл. 1 представлены результаты определения содержания в исследуемых образцах сахаров и 5-ГМФ, а также ферментативной активности. Как видно из данных таблицы, все показатели, регламентируемые НД, находились в установленных пределах. Определение активности каталазы и D-глюкозо-1-оксидазы на данный момент не регулируется законодательством РФ. Однако существуют литературные источники, в которых приведены как методики их определения, так и данные, демонстрирующие успешность их применения при проведении анализа химического состава меда [28, 30].
Таблица 1. Анализ состава образцов верескового меда
Контролируемый параметр | Регламентируемая НД норма | Среднее значение в тестируемых образцах |
Глюкоза, ٪ | Суммарная массовая доля, не менее 60.0 | 36.1 ± 2.3 |
Фруктоза, % | 38.5 ± 1.5 | |
Сахароза, ٪ | Не более 5.0 | 2.18 ± 0.5 |
5-ГМФ, мг/кг | Не более 25.0 | 1.92 ± 0.45 |
Диастаза, ед. Готе | Не менее 8.0 | 40.1 ± 2.1 |
Каталаза, мм3 O2 | Не регламентировано | 490 ± 27.4 |
D-глюкозо-1-оксидаза, мкг H2O2/ч на 1 г меда | Не регламентировано | 345.2 ± 15.4 |
Известно, что натуральный мед сохраняет свои ценные биологические свойства на протяжении достаточно длительного периода времени (более 1 года), но только при условии правильного хранения (согласно НД — вдали от прямых солнечных лучей, при температуре не более 20 °С). Установленные режимы в основном объясняются тем, что мед в своем составе содержит ферменты, которые являются термолабильными соединениями. Поэтому воздействие на мед высоких температур приводит к их инактивации [36]. К нагреванию при 60 °С прибегают, как правило, для смешивания нескольких разных видов меда или для подавления процессов брожения, которые могут возникнуть при нарушении условий хранения меда. Следует отметить, что обе описанные манипуляции запрещены законодательством и считаются нарушениями. Согласно НД, максимальный температурный порог нагревания меда, при котором он сохраняет свои биологические свойства и химический состав в неизмененном виде, составляет 40 °С [23].
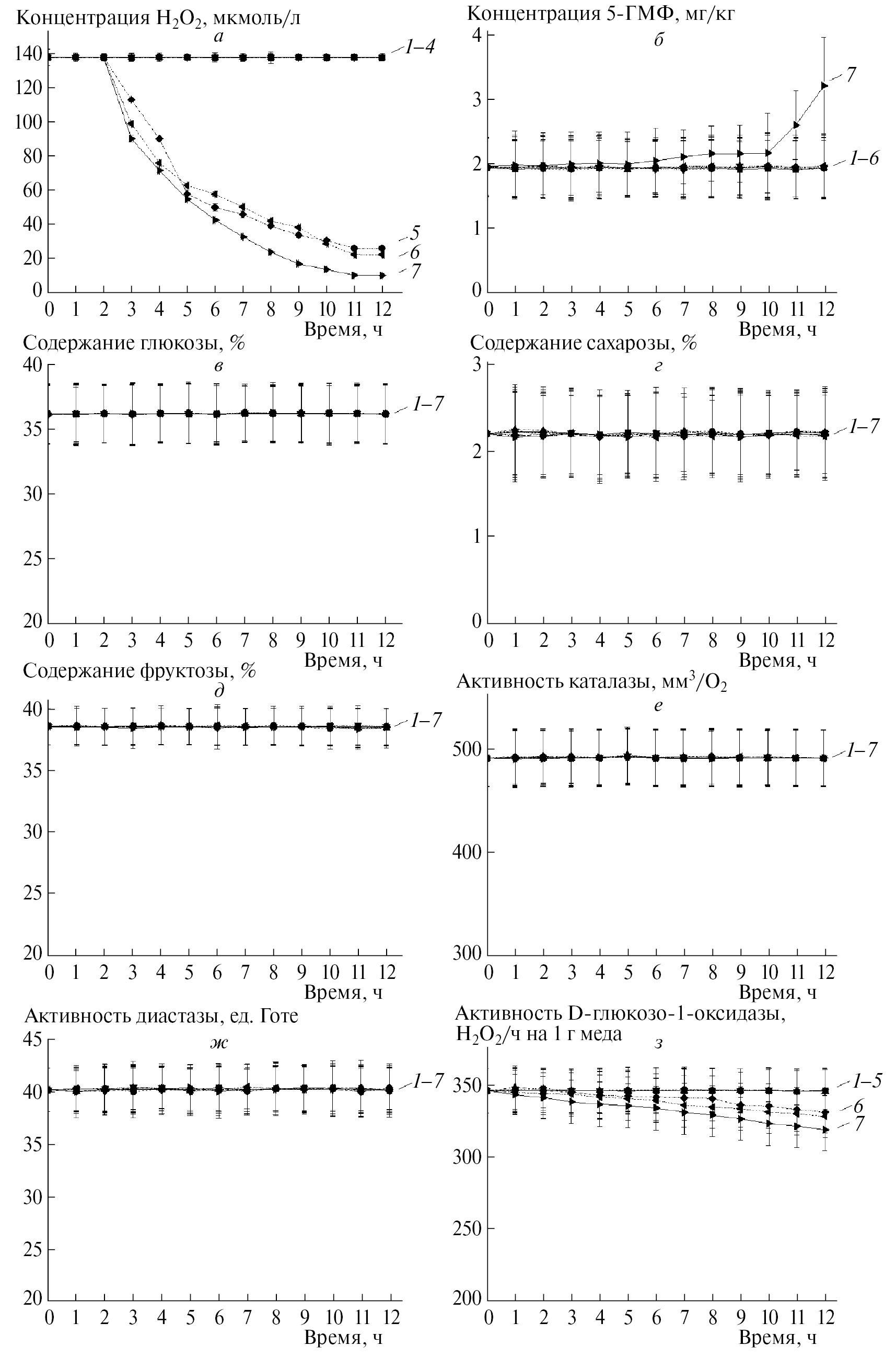
В результате ранее проведенных нами исследований было установлено, что при температурах 20–34 °С существенных изменений в химическом составе меда разного ботанического происхождения (в том числе и верескового) не наблюдается: колебания значений физико-химических показателей не превышали 1.0% при воздействии указанных температур в течение 12 ч. В данной работе описаны изменения, произошедшие с химическим составом верескового меда в результате воздействия температур в диапазоне от 35 до 40 °С в различные периоды времени термообработки. Полученные данные представлены в виде кинетических кривых (рис. 3), из которых видно, что значительные изменения произошли с такими параметрами, как концентрация H2O2, содержание 5-ГМФ и активность D-глюкозо-1-оксидазы.
Рис. 3. Изменения химического состава образцов верескового меда: концентрации H2O2 (а), концентрации 5-ГМФ (б), содержания глюкозы (в), содержания сахарозы (г), содержания фруктозы (д), активности каталазы (е), активности диастазы (ж), активности D-глюкозо-1-оксидазы (з) без термического воздействия — контроль (необработанный мед) (1), и при воздействии в течение 12 ч температур 35 °С (2), 36 °С (3), 37 °С (4), 38 °С (5), 39 °С (6), 40 °С (7).
Так, при обработке образцов меда в течение 3 ч при 38 °С наблюдалось снижение концентрации H2O2 на 18.1%, при 39 °С — на 28.2%, при 40 °С — на 34.7%. После 12-часовой термообработки этот показатель снизился на 81.5, 84.2 и 93.0% соответственно. Постепенное повышение содержания 5-ГМФ отмечалось после 3-часового воздействия при 40 °С, через 12 ч его уровень в образцах повысился на 66.2%, что тем не менее не превысило регламентируемую НД предельно допустимую концентрацию (ПДК) в 25.0 мг/кг. Активность D-глюкозо-1-оксидазы в результате воздействия температур 39 и 40 °С в течение 12 ч снизилась на 5.2 и 7.8% соответственно. Первые изменения этого параметра регистрировались через 3 ч после термической обработки при 38 °С. Следует отметить, что изменение активности диастазы и каталазы не превышали 0.05% даже при обработке образцов в течение 12 ч при 40 °С, что может объясняться их большей устойчивостью к температурному воздействию. Ожидаемым было отсутствие значительных изменений в содержании сахаров (не более 1.0%), так как известно, что процессы термической деструкции моно- и дисахаридов происходят при температурах, значительно выше примененных в данном исследовании.
Антибактериальную активность образцов необработанного меда (контроль) и подвергнутых термической обработке при 35–40 °С в течение 3 ч (время, по прошествии которого наблюдались явные изменения в химическом составе меда) исследовали на следующих микроорганизмах: Escherichia coli (штамм 1257), Staphylococcus aureus (штамм 209-P) и Bacillus cereus (штамм 96). Данный выбор был обусловлен тем, что указанные бактерии являются наиболее распространенными тест-культурами при проведении микробиологических исследований. E. coli (кишечная палочка) представляет собой грамотрицательную, колонизирующую кишечник млекопитающих палочковидную бактерию. Однако некоторые ее штаммы могут вызывать тяжелые пищевые отравления. Также следует отметить, что E. coli является модульным организмом, широко используемым для изучения различных процессов в молекулярных и биохимических исследованиях [37–41]. S. aureus (золотистый стафилококк) — грамположительная бактерия шаровидной формы колонизирует кожные покровы и слизистые оболочки. В результате ряда причин, в частности — снижения иммунитета, микроорганизм способен вызывать различные инфекционные заболевания [41, 42]. B. cereus представляет собой грамположительную спорообразующую почвенную бактерию, способную вызывать пищевые токсикоинфекции у млекопитающих [43].
Результаты бактериального теста представлены на рис. 4. Как видно, исследуемый мед, не подвергавшийся тепловой обработке, оказывает явное воздействие на все микроорганизмы, использованные в качестве тест-культур, причем его влияние на рост стафилококка (средний диаметр зоны задержки роста составляет 28 мм) и кишечной палочки (25 мм) заметно выше, чем на представителя рода бацилл (18 мм), что можно объяснить более высокой устойчивостью почвенных бактерий к воздействию внешних факторов.
Рис. 4. Ингибирование роста бактерий E. coli (■), S. aureus (●) и B. cereus (▲) при воздействии необработанного (н/о мед) и термообработанного меда в течение 3 ч в интервале температур 35–40 °С.
Для меда, подвергнутого тепловой обработке, наблюдается прямая зависимость падения его антибактериальной активности от температуры воздействия в отношении всех трех использованных тест-культур. Следует отметить наиболее резкое ее снижение в отношении S. aureus и B. cereus на отметке 38 °С (средняя зона задержки роста уменьшается с 26 до 12 мм для S. aureus и с 14 до 7 мм для B. cereus). Мед, нагретый до 40 °С, становится безопасным для стафилококков (зона задержки роста отсутствует) и оказывает существенно меньшее воздействие на бациллу (зона задержки роста не превышает 6 мм) по сравнению с образцом, не подвергавшимся воздействию температуры. Степень воздействия нагретого меда на E. coli снижается более плавно (резкого падения антибактериальной активности при 38 °С не наблюдается) и сохраняется даже при 40 °С (средняя зона задержки роста составляет 16 мм).
Выводы
В результате проведенных исследований было установлено, что при воздействии на мед температур в диапазоне 35–37 °С на протяжении 12 ч значительных изменений в химическом составе не наблюдалось. Резкое снижение концентрации H2O2, а также постепенное уменьшение активности D-глюкозо-1-оксидазы и увеличение содержания 5-ГМФ отмечалось после 3-часовой обработки при температуре 38 °С. Степень химических изменений была прямо пропорциональна температуре и времени термического воздействия. Существенных изменений в содержании сахаров не отмечалось. Снижения активности ферментов, считающегося критическим [44], при данных режимах не происходило.
Антибактериальная активность термообработанного меда в отношении всех использованных в эксперименте тест-культур коррелировала с изменением содержания H2O2, который, как известно, является достаточно стабильной активной формой кислорода, вызывающей оксидативный стресс микробной клетки [45]. Таким образом, принимая в расчет отсутствие значительных изменений других параметров, обуславливающих бактерицидное действие меда, можно сделать вывод о ключевой роли H2O2 в этом процессе.
Полученные данные также позволяют предположить, что обработка меда при температуре 38 °С в течение 3 ч является критической для стабильности его химического состава, в то время как согласно действующей НД допускается нагрев до 40 °С при отборе образцов, проведении пробоподготовки и исследований. Так как было показано, что нагрев меда до 37 °С даже в течение 12 ч не вызывал нежелательных химических изменений состава, что было подтверждено и антибактериальным тестом, данный режим можно считать более щадящим и рекомендовать для его использования при анализе меда.
Работа выполнена в рамках проекта “Исследование проблем утилизации отходов природного происхождения в целях практического использования полученных продуктов” (№ 122122600056-9).
About the authors
D. V. Gruznov
Federal Research Center All-Russian Research Institute for Experimental Veterinary Science Russian Academy of Sciences
Author for correspondence.
Email: 79164422245@yandex.ru
All-Russian Research Institute for Veterinary Sanitation, Hygiene and Ecology
Russian Federation, MoscowO. A. Gruznova
Semenov Federal Research Center for Chemical Physics, Russian Academy of Sciences
Email: 79164422245@yandex.ru
Russian Federation, Moscow
A. V. Lobanov
Semenov Federal Research Center for Chemical Physics, Russian Academy of Sciences; Moscow Pedagogical State University; Plekhanov Russian University of Economics
Email: 79164422245@yandex.ru
Russian Federation, Moscow; Moscow; Moscow
A. B. Sokhlikov
Federal Research Center All-Russian Research Institute for Experimental Veterinary Science Russian Academy of Sciences
Email: 79164422245@yandex.ru
All-Russian Research Institute for Veterinary Sanitation, Hygiene and Ecology
Russian Federation, MoscowG. Sh. Shcherbakova
Federal Research Center All-Russian Research Institute for Experimental Veterinary Science Russian Academy of Sciences
Email: 79164422245@yandex.ru
All-Russian Research Institute for Veterinary Sanitation, Hygiene and Ecology
Russian Federation, MoscowS. P. Stepanova
Federal Research Center All-Russian Research Institute for Experimental Veterinary Science Russian Academy of Sciences
Email: 79164422245@yandex.ru
All-Russian Research Institute for Veterinary Sanitation, Hygiene and Ecology
Russian Federation, MoscowN. I. Popov
Federal Research Center All-Russian Research Institute for Experimental Veterinary Science Russian Academy of Sciences
Email: 79164422245@yandex.ru
All-Russian Research Institute for Veterinary Sanitation, Hygiene and Ecology
Russian Federation, MoscowReferences
- Villacres-Granda I., Proano A., Coello D. et al. // Food Chem. 2021. V. 365. № 15. P. 130519; https://doi.org/10.1016/j.foodchem.2021.130519
- Cagliani L.R., Maestri G., Consonni R. // Food Contr. 2022. V. 133. P. 108574; https://doi.org/10.1016/J.FOODCONT.2021.108574
- Seraglio S.K.T., Schulz M., Brugnerotto P. et al. // Food Res. Intern. 2021. V. 143. P. 110268; https://doi.org/10.1016/J.FOODRES.2021.110268
- Zaikina V.I. Ekspertiza meda i sposoby obnaruzheniya yego fal’sifi katsii. M:. Izdatel’skiy dom “Dashkov i Ko”, 2012.
- Komlatsky V.I., Plotnikov S.A. // Pchelovodstvo. 2006. V. 2. P. 54.
- Cherevko Yu.A., Nosovitsky P.B. // Pchelovodstvo. 2000. V. 3. P. 39.
- Doner L.W. // J. Sci. Food Agric. 1977. V. 28. P. 443.
- Bogdanov S. // Lebensmittel-Wissenschaft und Technologie. 1984. V. 17. P. 74.
- Almasaudi S. // Saudi J. Biol. Sci. 2021. V. 28. № 4. P. 2188; https://doi.org/10.1016/j.sjbs.2020.10.017
- White J.W., Subers M.H., Schepartz A.I. // Biochim. Biophys. Acta. 1963. V. 7. № 73. P. 57.
- Kwakman P.H.S., te Velde A.A., de Boer L. et al. // PLoS One. 2011. V. 6. № 3. P. 1; https://doi.org/10.1371/journal.pone.0017709
- Lehmann D.M., Krishnakumar K., Batres M.A. et al. // Access Microbiol. 2019. V. 1. № 10. P. 1; https://doi.org/10.1099/acmi.0.000065
- Alygizou A., Grigorakis S., Gotsiou P. et al. // J. Anal. Meth. Chem. 2021. V. 2021. P. 5554305; https://doi.org/10.1155/2021/5554305
- Wohlfart G., Witt S., Hendle J. et al. // Acta Cryst., Sect. D: Biol. Crystallogr. 1999. V. 55. P. 969; https://doi.org/10.1107/s0907444999003431
- Jones P., Dunford H.B. // J. Theoretical Biol. 1977. V. 69. P. 457.
- Brudzynski K. // Food Chem. 2020. V. 1. № 332. P. 127229; https://doi.org/10.1016/j.foodchem.2020.127229
- Zamocky M., Gasselhuber B., Furtmuller P.G. et al. // Arch. Biochem. Biophys. 2012. V. 525. № 2. P. 131; https://doi.org/10.1016/j.abb.2012.01.017
- Chen C., Campbell L.T., Blair Sh.E. et al. // Front. Microbiol. 2012. V. 3. P. 265; https://doi.org/10.3389/fmicb.2012.00265
- Besir A., Yazici F., Mortas M. et al. // LWT — Food Sci. Tech. 2021. V. 139. P. 110602; https://doi.org/10.1016/j.lwt.2020.110602
- Fang G.Z., Lv Y.Y., Sheng W. et al. // Anal. Bioanal. Chem. 2011. V. 401. № 10. P. 3367; https://doi.org/10.1007/s00216-011-5430-4
- Yarova O.A., Lobanov A.V. // RZh “Problemy veterinarnoy sanitarii, gigiyeny i ekologii”. 2012. V. 2. P. 12.
- Yarova O.A., Sokhlikov A.B., Lobanov A.V. // Vestnik RASKHN. 2012. V. 6. P. 51.
- GOST (State Standard) 19792-2017. Natural honey. Specifications.
- GOST (State Standard) 31769-2012. Honey. Determination of the relative frequency of pollen.
- Lobanov A.V., Rubtsova N.A., Vedeneeva Yu.A. et al. // Dokl. Chem. 2008. V. 421. P. 190.
- GOST (State Standard) 32167-2013. Honey. Method for determination of sugars.
- GOST (State Standard) 31768-2012. Natural honey. Methods for determination of hydroxymethylfurfural.
- Aganin A.V. Med i yego issledovaniye. Saratov: Izdatel’stvo Saratovskogo universiteta, 1985.
- GOST (State Standard) 34232-2017. Honey. Methods for determination of sucrose activity, diastase activity, insoluble matters.
- Flanjak I., Strelec I., Kenjerić D. et al. // J. Apicult. Sci. 2015. V. 60. № 1. P. 39; https://doi.org/10.1515/jas-2016-0005
- Burmistrov A.N., Nikitina V.A. Medonosnyye rasteniya i ikh pyl’tsa: Spravochnik. M.: Rosagropromizdat, 1990.
- Kasiotis K.M., Baira E., Iosifi dou S. et al. // Front. Chem. 2022. V. 10. P. 924881; https://doi.org/10.3389/fchem.2022.924881
- Lehebel-Peron A., Sidawy P., Dounias E. et al. // J. Rur. Stud. 2016. V. 44. P. 132; https://doi.org/10.1016/j.jrurstud.2016.01.005
- Andrade P.B., Amaral M.T., Isabel P. et al. // Food Chem. 1999. V. 66. № 4. P. 503; https://doi.org/10.1016/S0308-8146(99)00100-4
- Yarova O.A., Lobanov А.V. // Problemy veteri narnoy sanitarii, gigiyeny i ekologii. 2012. V. 1. P. 1.
- Bucekova M., Juricova V., Monton E. et al. // Food Chem. 2018. V. 240. P. 1131; https://doi.org/10.1016/j.foodchem.2017.08.054
- Krupyanskii Y. F. // Russ. J. Phys. Chem. B. 2021. V. 15. P. 326. https://doi.org/10.1134/S199079312102007X
- Tereshkin E.V., Loiko N.G., Tereshkina K.B. et al. // Russ. J. Phys. Chem. B. 2021. V. 15. P. 1026. https://doi.org/10.1134/S1990793121060099
- Krupyanskii Y.F., Generalova A.A., Kovalenko V.V. et al. // Russ. J. Phys. Chem. B. 2023. V. 42. P. 3.
- Tereshkin E.V., Tereshkina K.B., Loiko N.G. et al. // Russ. J. Phys. Chem. B. 2023. V. 42. P. 30.
- Tertyshnaya Y.V., Khvatov A.V., Lobanov A.V. // Russ. J. Phys. Chem. B. 2020. V. 14. P. 1022. https://doi.org/10.1134/S1990793120060135
- Kluytmans J., van Belkum A., Verbrugh H. // Microbiol. Mol. Biol. Rev. 1997. V. 10(3). P. 505.
- Rahnama H., Azari R., Yousefi M.H. et al. // Food Contr. 2022. V. 143. P. 109250; https://doi.org/10.1016/j.foodcont.2022.109250
- Matienko L.I., Mil E.M., Binyukov V.I. // Russ. J. Phys. Chem. B. 2020. V. 14. P. 559. https://doi.org/10.1134/S1990793120030227
- Karbyshev M.S., Abdullaev Sh.P. Biokhimiya oksidativnogo stressa: Uchebno-metodicheskoye posobiye. M.: RNIMU im. N. I. Pirogova Minzdrava Rossii, 2018.
Supplementary files






