Липид-опосредованное влияние глицирризина на свойства трансмембранного домена E-белка вируса SARS-CoV-2
- Авторы: Кононова П.А.1,2, Селютина О.Ю.1,3, Поляков Н.Э.1,3
-
Учреждения:
- Институт химической кинетики и горения им. В.В. Воеводского Сибирского отделения Российской академии наук
- Новосибирский государственный университет
- Институт химии твердого тела и механохимии Сибирского отделения Российской академии наук
- Выпуск: Том 43, № 2 (2024)
- Страницы: 56-61
- Раздел: Химическая физика биологических процессов
- URL: https://journals.rcsi.science/0207-401X/article/view/259897
- DOI: https://doi.org/10.31857/S0207401X24020065
- EDN: https://elibrary.ru/WHQXFH
- ID: 259897
Цитировать
Полный текст
Аннотация
В работе исследовано взаимодействие глицирризина с трансмембранным доменом E-белка вируса SARS-CoV-2 (E-protein Trans-Membrane domain (ETM)) в гомогенном водном растворе и в модельной липидной мембране с использованием методов селективного ядерного эффекта Оверхаузера (selective NOESY) и ЯМР-релаксации. Методом селективного NOESY показано наличие взаимодействия глицирризина с ЕТМ в водном растворе, что согласуется с литературными данными моделирования, которые указывают на возможность проникновения молекулы глицирризина внутрь канала, образованного молекулами ETM. Однако данный вывод не подтверждается экспериментами NOESY в модельных липидных мембранах–бицеллах. При этом методом ЯМР-релаксации обнаружено влияние глицирризина на подвижность как липидов, так и молекул ETM в бицеллах. Это позволяет сделать предположение, что глицирризиновая кислота оказывает влияние на активность E-белка коронавируса опосредованно, через липиды.
Ключевые слова
Полный текст
Введение
В связи с серьезной эпидемической ситуацией в настоящее время по всему миру исследовательскими группами ведется поиск перспективных лекарственных препаратов, активных против вируса SARS-CoV-2. Ряд исследований указывают на перспективность использования различных ингибиторов слияния вирусных частиц с плазматической мембраной клетки [1, 2]. Хотя большая часть этих исследований посвящены S-белку вируса, который связывается с клеточной мембраной носителя, наличие у коронавирусов липидной оболочки позволяет предполагать, что ингибиторы липид-опосредованного слияния мембран также могут быть перспективными противовирусными агентами.
Вирион коронавируса представляет собой сферическую частицу, которая содержит в своей структуре булавовидные отростки (шипы, S-белок), белки оболочки (E-белки), мембранный белок (M-белок), нуклеокапсидный белок (N-белок). При этом, хотя ингибирование синтеза E-белка приводит к 20-ти — 200-кратному снижению выхода вирусных частиц из клетки, роль его в функционировании вирусных частиц остается не ясна [3]. Некоторые результаты показывают, что E-белки коронавирусов выполняют свои функции на внутриклеточных мембранах, где происходит сборка вируса [3]. Во время репликации E-белок в избытке экспрессируется внутри инфицированной клетки, но в оболочку вириона включается лишь небольшая часть. Бóльшая часть белка локализована в месте внутриклеточного переноса, где он участвует в сборке и создании вирионов коронавирусов [4]. Клетки, инфицированные коронавирусом, часто имеют деформации мембранных структур, такие как искривления мембраны и двухмембранные везикулы [4]. Предполагается, что такие перестройки мембраны связаны с функциями E-белка, который, встраиваясь в мембрану клетки-хозяина, индуцирует искривление мембраны и слипание двух мембранных структур с образованием, соответственно, двухмембранных везикул [4].
Недавние исследования в модельных мембранах подтвердили гипотезу влияния E-белка на кривизну липидного бислоя [5]. Кроме того, данный белок относится к виропоринам, которые, встраиваясь в мембрану инфицированной клетки, образуют олигомеры, которые, в свою очередь, формируют поры в мембране. Блокирование ионных каналов, которые формируют олигомеры E-белка, связывают со снижением репликации коронавирусов [6–8]. В настоящее время уже ведутся работы по исследованию структуры и функций E-белка вируса SARS-CoV-2, а также его взаимодействия с различными ингибиторами растительного происхождения [7]. В том числе, проверяется и гипотеза таргетного воздействия тритерпенового гликозида глицирризина на E-белок коронавируса [9].
Глицирризин (глицирризиновая кислота (ГК), рис. 1) — главный биологически активный компонент экстракта корня солодки [10–12]. Существует множество данных о ее противовирусной активности [13–15], в том числе активности против вируса SARS-CoV-1 [16]. В последнее время появился ряд работ, указывающих на перспективность применения ГК для терапии SARS-CoV-2 [17, 18]. Кроме того, имеются данные об активности производных ГК, моно-, ди- и триникотинатов, в отношении вируса SARS-CoV-2 in vitro [19]. Несмотря на обилие исследований активности ГК против различных ДНК- и РНК-вирусов, механизм ее противовирусного действия остается неясным. Было показано, что влияние ГК на вирус герпеса, ассоциированного с саркомой Капоши, связан с ингибированием синтеза вирусных РНК [20].
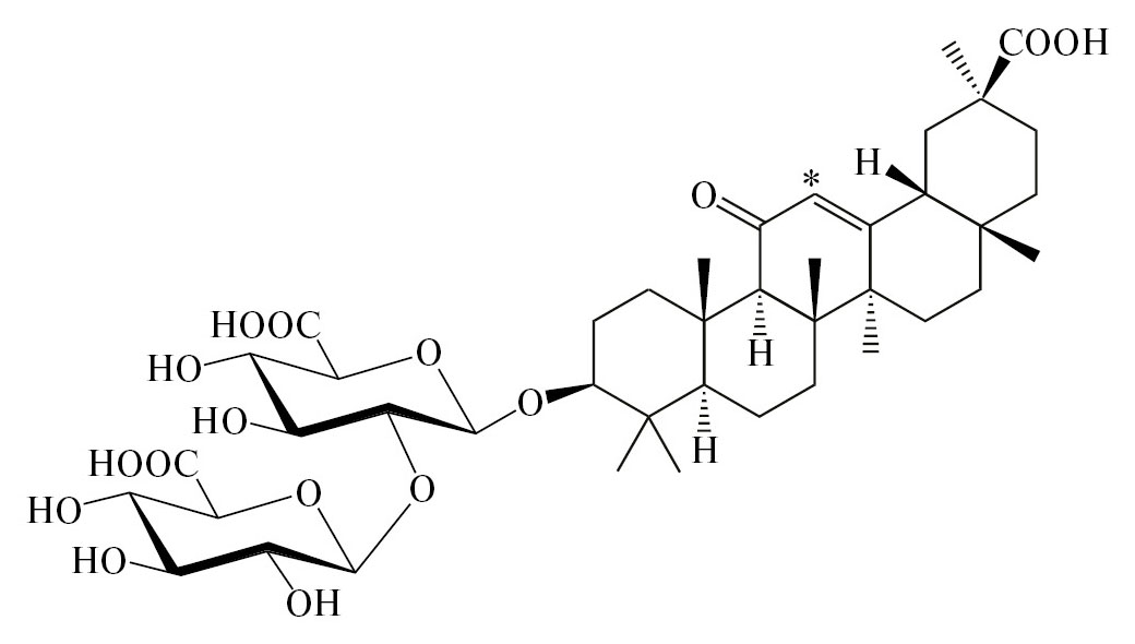
Рис. 1. Структурная формула глицирризина. Звездочкой отмечен протон, возбуждение которого проводилось в экспериментах sNOESY.
В ряде работ было обнаружено влияние ГК на репликацию различных вирусов [21, 22]. Однако тот факт, что противовирусная активность глицирризиновой кислоты обнаруживается в отношении различных слабовзаимосвязанных ДНК- и РНК-вирусов позволяет предположить, что этот эффект связан не только с влиянием ГК на синтез РНК. Было установлено, что при добавлении ГК через 6 ч после заражения клеток вирусом Эпштейна–Барра, противовирусного действия не наблюдается [23]. В то же время при добавлении ГК сразу после заражения и последующем промывании клеток спустя 5 ч противовирусный эффект остается необратимым. Исходя из этого делают вывод, что ГК избирательно блокирует проникновение вируса в клетку, поскольку этот процесс происходит примерно в первые 5 ч после заражения. В случае вируса респираторного синдрома свиней было показано, что действие ГК связано в основном со стадией проникновения вируса и мало влияет на стадии его поглощения и высвобождения [24].
В ряде исследований было показано, что ГК и ее производные предотвращают проникновение ряда вирусов через плазматическую мембрану [16, 23, 25–27]. Кроме того, было установлено, что действие ГК приводит к снижению текучести клеточных мембран [25, 28]. Также установлено, что ГК способна ингибировать высвобождение вирусных частиц из зараженной клетки [29]. Таким образом, одним из возможных механизмов противовирусного действия глицирризина является препятствование слияния липидной оболочки вируса с плазматической мембраной клетки хозяина. Мы полагаем, что мембраномодифицирующая способность ГК может опосредованно влиять и на активность Е-белка, встроенного в липидную оболочку вируса. Поэтому, в связи с неясной до конца ролью E-белка в функционировании и патогенезе коронавирусов в целом и SARS-CoV-2, в частности, требуются комплексные исследования как взаимодействия самого белка с липидной мембраной, так и влияния различных ингибиторов на эти взаимодействия и на активность E-белка in vitro.
В представленной работе мы попытались показать наличие прямого, либо липид-опосредованного взаимодействия ГК с трансмембранным доменом E-белка коронавируса (E-protein Trans-Membrane domain, (ETM)) в гомогенном водном растворе и в модельной липидной мембране, используя методы селективного ядерного эффекта Оверхаузера и ЯМР-релаксации.
Материалы и методы
Исследования проводили в бицеллах 1,2-димиристоил-sn-глицеро-3-фосфохолина (ДМФХ)/ /1,2-дигексаноил-sn-глицеро-3-фосфохолина (ДГФХ), оба производства компании Avanti (USA) и чистоты > 99% (рис. 1). Трансмембранный домен E-белка вируса SARS-CoV-2 (ETM, аминокислотная последовательность ETGTLIVNSVLLFLAFVVFLLVTLAILTALR, чистота — 96%) был синтезирован на заказ компанией Pepmic (Suzhou, China; http://www.pepmic.com/). Порошковые компоненты (липиды, ETM) растворяли в хлороформе; растворитель сушили и полученную пленку растворяли в дейтерированной воде (D2O) производства компании Sigma-Aldrich (чистота — 99.9%). Для ускорения образования бицелл проводили три цикла заморозки–разморозки. Соотношение ДМФХ : ДГФХ составляло 1 : 2, при этом общая концентрация липидов была равна 12 мМ. В гидратированные образцы добавляли 1 мМ ГК, pH полученных образцов — 3.8.
Спектры 1H- и 31P-ЯМР, а также селективные NOESY получены на ЯМР-спектрометре Avance HD III производства компании Bruker (USA) с рабочей частотой 500 МГц на ядрах 1H. Времена релаксации T1 были найдены с использованием стандартной последовательности импульсов инверсии–восстановления.
Результаты и их обсуждение
Взаимодействие ГК и ETM в водном растворе
На первом этапе работы взаимодействие молекулы ГК с трансмембранным доменом E-белка было исследовано в гомогенной водной среде методом селективной спектроскопии ядерного эффекта Оверхаузера, (selective Nuclear Overhauser Effect correlation Spectroscopy (sNOESY). Эксперименты показали наличие кросс-пиков между протонами ГК и ETM. Фрагменты 1H-ЯМР-спектров и спектров смеси ГК и ETM в водной среде с pH 3.5 приведены на рис. 2. Проводилось возбуждение протона ГК, обозначенного звездочкой (*) на рис. 1 (сигнал при δ = 5.6 ppm). Кросс-пики наблюдались для протонов остатка фенилаланина (сигнал при δ = 7 ppm). Этот результат говорит о наличии нековалентного взаимодействия молекул ГК с ETM в растворе.
Рис. 2. Фрагменты спектров 1H-ЯМР для образцов, содержащих 1 мМ ETM (1), 1 мМ ГК и 1 мМ ETM (2), и sNOESY для образца, содержащего 1 мМ ГК и 1 мМ ETM (3) в D2O; pH 3.5.
Взаимодействие ГК и ETM в модельной липидной мембране
Далее были проведены эксперименты sNOESY по исследованию взаимодействия ГК и ETM с липидной мембраной, а также сделана попытка обнаружить взаимодействие ГК с ETM внутри липидного бислоя. Ранее полученные данные указывали на то, что ГК способна проникать внутрь липидного бислоя [30–32], однако этот вывод основывался преимущественно на косвенных данных (изменение подвижности липидов в присутствии ГК), а также на данных молекулярного моделирования. На рис. 3 приведены фрагменты 1H-ЯМР- и sNOESY-спектров бицелл ДМФХ/ДГФХ в присутствии 1 мМ ГК. Как и в случае водного раствора производилось возбуждение протона ГК при δ = 5.6 ppm. Наблюдаются кросс-пики между протонами ГК и протонами CH3-, CH2- и N+(CH3)3-групп липидов.
Рис. 3. Фрагменты спектров 1H-ЯМР (1) и sNOESY (2) для образца, содержащего 1 мМ ГК в бицеллах ДМФХ/ДГФХ; pH 3.5.
Также наблюдались кросс-пики между протонами фенилаланина ETM и протонами CH3-, CH2- и N+(CH3)3-групп липидов в бицеллах ДГФХ/ДМФХ (рис. 4).
Рис. 4. Фрагменты спектров 1H-ЯМР (1) и sNOESY (2) для образца, содержащего 0.5 мМ ETM в бицеллах ДМФХ/ДГФХ; pH 3.5.
При совместном добавлении ETM и ГК для протона, обозначенного звездочкой на рис. 1, наблюдаются те же кросс-пики, что и в отсутствие ETM (рис. 5). Для протонов фенилаланина ETM в присутствии ГК исчезает кросс-пик с поверхностными N+(CH3)3-группами липидов (3.2 ppm), т.е., вероятно, происходит изменение локализации молекулы ETM в мембране. Для протонов фелилаланина ETM наблюдаются кросс-пики с CH3-, CH2-группами липидов; Это означает, что ETM по-прежнему находится внутри липидного бислоя. При этом кросс-пиков между сигналами ГК и ETM не наблюдается.
Рис. 5. Фрагменты спектров 1H-ЯМР (1) и sNOESY (2, 3) для образцов, содержащих 1 мМ ГК (1, 2) и 1 мМ ГК + + 0.5 мМ ETM (3) в бицеллах ДМФХ/ДГФХ; pH 3.5.
Поэтому для получения дополнительной информации о влиянии ГК на трансмембранный домен E-белка и липидную оболочку данная система была исследована методом ЯМР-релаксации. Были проведены измерения времени спин-решеточной релаксации (T1) для протонов липидов и для фосфора для образцов, содержащих 1 мМ ГК, 0.5 мМ ETM и 1 мМ ГК + 0.5 мМ ETM. Результаты приведены в табл. 1.
Таблица 1. Времена спин-решеточной релаксации ядер липидов
Образец | Время, мс | |||
CH3 | CH2 | P | N+(CH3)3 | |
Чистый липид | 1370 ± 70 | 1120 ± 40 | 1450 ± 70 | 810 ± 40 |
Липид + 0.5 мМ ETM | 1050 ± 80 | 940 ± 40 | 1320 ± 70 | 750 ± 50 |
Липид + 0.5 мМ ETM+1 мМ ГК | 920 ± 50 | 850 ± 30 | 1270 ± 50 | 745 ± 40 |
При добавлении ГК происходит уменьшение времени спин-решеточной релаксации ядер в “хвостах” липидов, при этом времена релаксации ядер “голов” липидов не изменяются. Согласно литературным данным время спин-решеточной релаксации липидов в липосомах определяется высокочастотными колебаниями ацильной цепи [33, 34]. Кроме того, измерение времени релаксации протонов фенилаланина ETM показало существенное его уменьшение в присутствии ГК
Липид + 0.5 мМ ЕТМ: (585 ± 45) мс
Липид + 0.5 мМ ЕТМ + 1 мМ ГК: (230 ± 60) мс
Таким образом, встраивание ГК в липидную мембрану, содержащую молекулы ETM, приводит к уменьшению подвижности липидов и ETM, что, в свою очередь, может оказывать влияние на активность ETM.
Заключение
Методом селективного NOESY показано наличие взаимодействия ГК с трансмембранным доменом E-белка коронавируса в водном растворе. Данный результат согласуется с литературными данными моделирования, которые указывают на возможность проникновения молекулы глицирризина внутрь канала, образованного молекулами ETM. Однако данный результат не подтверждается экспериментами NOESY в модельных липидных мембранах — не было обнаружено кросс-пиков молекул ГК с молекулами ETM в бицеллах ДМФХ/ДГФХ. При этом методом ЯМР-релаксации обнаружено влияние ГК на подвижность как липидов, так и самих молекул ETM в бицеллах, содержащих 0.5 мМ ETM. Это говорит о том, что ГК может оказывать влияние на активность E-белка опосредованно, через липиды. Еще один результат данной работы полученное методом селективного NOESY доказательство проникновения молекулы ГК внутрь липидного бислоя в дополнение к данным, полученным ранее методом ЯМР-релаксации и молекулярного моделирования [25–27].
Работа выполнена при финансовой поддержке Советом по грантам Президента Российской Федерации (грант № МК-1580.2021.1.3).
Об авторах
П. А. Кононова
Институт химической кинетики и горения им. В.В. Воеводского Сибирского отделения Российской академии наук; Новосибирский государственный университет
Email: olga.gluschenko@gmail.com
Россия, Новосибирск; Новосибирск
О. Ю. Селютина
Институт химической кинетики и горения им. В.В. Воеводского Сибирского отделения Российской академии наук; Институт химии твердого тела и механохимии Сибирского отделения Российской академии наук
Автор, ответственный за переписку.
Email: olga.gluschenko@gmail.com
Россия, Новосибирск; Новосибирск
Н. Э. Поляков
Институт химической кинетики и горения им. В.В. Воеводского Сибирского отделения Российской академии наук; Институт химии твердого тела и механохимии Сибирского отделения Российской академии наук
Email: olga.gluschenko@gmail.com
Россия, Новосибирск; Новосибирск
Список литературы
- Baglivo M., Baronio M., Natalini G. et al. // Acta Biomed. 2020. V. 91. № 1. P. 161.
- Tang T., Bidon M., Jaimes J.A., Whittaker G.R., Daniel S. // Antiviral Res. 2020. V. 178. P. 104792.
- Venkatagopalan P., Daskalova S.M., Lopez L.A., Dolezal K.A., Hogue B.G. // Virology. 2015. V. 478. P. 75.
- Schoeman D., Fielding B.C. // Virol. J. 2019. V. 16. № 1. P. 69.
- Mehregan A., Pérez-Conesa S., Zhuang Y. et al. // Biochim. Biophys. Acta-Biomembr. 2022. V. 1864. № 10. P. 183994.
- Wilson L., Gage P., Ewart G. // Virology. 2006. V. 353. № 2. P. 294.
- Gupta M.K., Vemula S., Donde R. et al. // J. Biomol. Struct. Dyn. 2021. V. 39. № 7. P. 2617.
- Pervushin K., Tan E., Parthasarathy K. et al. // PLOS Pathog. 2009. V. 5. № 7. P. e1000511.
- Chernyshev A. Pre-print. 2020. 10.26434/chemrxiv.12286421.v1
- Толстиков Г.А., Балтина Л.А., Гранкина В.П., Кондратенко Р.М., Толстикова Т.Г. Новосибирск: Изд-во “Гео”, 2007.
- Shibata S. // Yakugaku Zasshi. 2000. V. 120. № 10. P. 849.
- Selyutina O.Y., Polyakov N.E. // Inten. J. Pharm. 2019. V. 559. P. 271.
- Fiore C., Eisenhut M., Krausse R. et al. // Phytother. Res. 2008. V. 22. № 2. P. 141.
- Sun Z.G., Zhao T.T., Lu N., Yang Y.A., Zhu H.L. // Mini Rev. Med. Chem. 2019. V. 19. № 10. P. 826.
- Pompei R., Pani A., Flore O., Marcialis M.A., Loddo B. // Experentia. 1980. V. 36. № 3. P. 304.
- Hoever G., Baltina L., Michaelis M. et al. // J. Med. Chem. 2005. V. 48. № 4. P. 1256.
- Chrzanowski J., Chrzanowska A., Graboń W. // Phyther. Res. 2021. V. 35. № 2. P. 629.
- Bailly C., Vergoten G. // Pharmacol. Ther. 2020. V. 214. P. 107618.
- Fomenko V.V., Rudometova N.B., Yarovaya O.I. et al. // Molecules. 2022. V. 27. № 1. P. 295.
- Kang H., Lieberman P.M. // J. Virol. 2011. V. 85. № 21. P. 11159.
- Sekizawa T., Yanagi K., Itoyama Y. // Acta Virol. 2001. P. 51.
- Baba M., Shigeta S. // Antiviral Res. 1987. V. 7. № 2. P. 99.
- Lin J.C. // Ibid. 2003. V. 59. № 1. P. 41.
- Duan E., Wang D., Fang L. et al. // Ibid. 2015. V. 120. P. 122.
- Harada S. // Biochem. J. 2005. V. 392. P. 191.
- Crance J.M., Lévêque F., Biziagos E. et al. // Antiviral Res. 1994. V. 23. № 1. P. 63.
- Sui X., Yin J., Ren X. // Ibid. 2010. V. 85. № 2. P. 346.
- Wolkerstorfer A., Kurz H., Bachhofner N., Szolar O.H.J. // Ibid. 2009. V. 83. № 2. P. 171.
- Matsumoto Y., Matsuura T., Aoyagi H. et al. // PLoS One. 2013. V. 8. № 7. P. e68992.
- Selyutina O.Y., Shelepova E.A., Paramonova E.D. et al. // Arch. Biochem. Biophys. 2020. V. 686. P. 108368.
- Selyutina O.Y., Apanasenko I.E., Kim A.V. et al. // Coll. Surf. B. Biointerfaces. 2016. V. 147. P. 459.
- Selyutina O.Y., Apanasenko I.E., Polyakov N.E. // Russ. Chem. Bull. 2015. V. 64. № 7. P. 1555.
- Ellena J.F., Lepore L.S., Cafiso D.S. // J. Phys. Chem. 1993. V. 97. № 12. P. 2952.
- Lepore L.S., Ellena J.F., Cafiso D.S. // Biophys. J. 1992. V. 61. № 3. P. 767.
Дополнительные файлы
Примечание
Х Международная конференция им. В.В. Воеводского “Физика и химия элементарных химических процессов” (сентябрь 2022, Новосибирск, Россия).








