Polymer Composites Based on Polylactide-Containing Various Kinds of Carbon Nanofillers
- Authors: Rogovina S.Z.1, Gasymov M.M.1, Lomakin S.M.1,2, Kuznetsova O.P.1, Shevchenko V.G.1,3, Arbuzov A.A.4, Berlin A.A.1
-
Affiliations:
- Semenov Federal Research Center for Chemical Physics, Russian Academy of Sciences
- Emanuel Institute of Biochemical Physics, Russian Academy of Sciences
- Enikolopov Institute of Synthetic Polymer Materials, Russian Academy of Sciences
- Federal Research Center of Problems of Chemical Physics and Medicinal Chemistry
- Issue: Vol 42, No 11 (2023)
- Pages: 70-78
- Section: Chemical physics of polymeric materials
- URL: https://journals.rcsi.science/0207-401X/article/view/233219
- DOI: https://doi.org/10.31857/S0207401X23110080
- EDN: https://elibrary.ru/VEMEDJ
- ID: 233219
Cite item
Full Text
Abstract
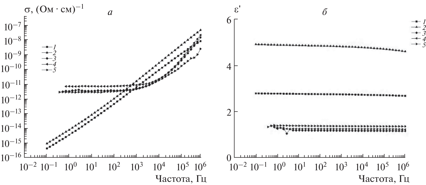
Filled nanocomposites of polylactide with graphite nanoplates (GNPs) and reduced graphene
oxide (RGO) are prepared by liquid-phase synthesis. A comparative study of the mechanical, electric, and
thermophysical characteristics of the compositions depending on the nature of the nanofillers is carried out.
An insignificant difference in the mechanical parameters of the compositions containing GNPs and RGO as
fillers is established. At the same time, when studying the electrical properties, it is found that the use of RGO
as a filler leads to the production of composites with a lower percolation threshold of the flow than in the case
of GNPs and increased conductivity. The differential scanning calorimetry (DSC) method shows that compositions
containing GNPs as a filler have a higher degree of crystallinity in comparison with similar compositions
containing RGO. This is caused by the structure of the filled compositions, which influences the
nucleation rate of polylactide (PLA) crystallites on the surface of ordered planar nanoparticles of the GNPs
and imperfect RGO particles. Thus, the use of different carbon nanofillers may promote the production of
compositions that differ in their characteristics.
About the authors
S. Z. Rogovina
Semenov Federal Research Center for Chemical Physics, Russian Academy of Sciences
Email: s.rogovina@mail.ru
Moscow, Russia
M. M. Gasymov
Semenov Federal Research Center for Chemical Physics, Russian Academy of Sciences
Email: s.rogovina@mail.ru
Moscow, Russia
S. M. Lomakin
Semenov Federal Research Center for Chemical Physics, Russian Academy of Sciences; Emanuel Institute of Biochemical Physics, Russian Academy of Sciences
Email: s.rogovina@mail.ru
Moscow, Russia; Moscow, Russia
O. P. Kuznetsova
Semenov Federal Research Center for Chemical Physics, Russian Academy of Sciences
Email: s.rogovina@mail.ru
Moscow, Russia
V. G. Shevchenko
Semenov Federal Research Center for Chemical Physics, Russian Academy of Sciences; Enikolopov Institute of Synthetic Polymer Materials, Russian Academy of Sciences
Email: s.rogovina@mail.ru
Moscow, Russia; Moscow, Russia
A. A. Arbuzov
Federal Research Center of Problems of Chemical Physics and Medicinal Chemistry
Email: s.rogovina@mail.ru
Chernogolovka, Russia
A. A. Berlin
Semenov Federal Research Center for Chemical Physics, Russian Academy of Sciences
Author for correspondence.
Email: s.rogovina@mail.ru
Moscow, Russia
References
- Mortazavi B., Hassouna F., Laachchi A. et al. // Thermochim. Acta. 2013. V. 552. P. 106.
- Fu Y., Liu L., Zhang J. et al. // Polymer. 2014. V. 55. № 24. P. 6381.
- Fu Y., Liu L., Zhang J. // ACS Appl. Marer. Interfaces. 2014. V. 6. № 16. P. 14069.
- Rogovina S.Z., Lomakin S.M., Usachev S.V. et al. // Polym. Cryst. 2022. V. 2022. P. 1.
- Роговина С.З., Ломакин С.М., Гасымов М.М. и др. // Все материалы. Энциклопед. справ. 2022. № 6. С. 11.
- Роговина С.З., Гасымов М.М., Ломакин С.М. и др. // Механика композит. материалов. 2022. Т. 58. № 6. С. 1.
- Usachev S.V., Lomakin S.M., Koverzanova E.V. et al. // Thermochim. Acta. 2022. V. 712. P. 179227.
- Chen G., Wu D., Weng W. et al. // Carbon. 2003. V. 41. P. 619.
- Liu W., Do I., Fukushima H. // Carbon Lett. 2010. V. 11. № 4. P. 279.
- Zhu H., Ji D., Jiang L., Dong H. // Philos. Trans. Royal Soc. A. 2013. V. 371. P. 20 120 308.
- Yamaguchi H., Murakami K., Eda G. et al. // ACS Nano. 2011. V. 5. P. 4945.
- Garlotta D.A. // J. Polym. Environ. 2011. V. 19. № 2. P. 63.
- Hu C., Li Z., Wang Y. et al. // J. Mater. Chem. 2017. V. 9. № 5. P. 2318.
- Арбузов А.А., Мурадян В.Е., Тарасов Б.П. и др. // ЖФХ. 2016. Т. 90. № 5. С. 663.
- Перова А.Н., Бревнов П.Н., Усачёв С.В. и др. // Хим. физика. 2021. Т. 40. № 7. С. 49.
- Ломакин С.М., Хватов А.В., Сахаров П.А. и др. // Хим. физика. 2020. Т. 39. № 11. С. 58.
- Смыковская Р.С., Кузнецова О.П., Мединцева Т.И. и др. // Хим. Физика. 2022. Т. 41. № 4. С. 56.
- Alexandre M., Dubiois P. // Mater. Sci. Eng. R. Rep. 2000. V. 28. P. 1.
- Fornes T.D., Paul D.R. // Polymer. 2003. V. 44. P. 4993.
- Gao Y., Picot O.T., Bilotti E. et al. // Eur. Polym. J. 2017. V. 86. P. 117.
- Balogun Y.A., Buchnan R.C. // Compos. Sci. Tecnol. 2010. V. 70. № 6. P. 892.
- Arriagada P., Palza H., Palma P. et al. // J. Biomed Mater Res A. 2017. V. 106. № 4. P. 1051.
- Kim D.W., Lim J.H., Yu. J. // Compos. B. Eng. 2019. V. 168. P. 387.
- De Sousa D.E.S., Scuracchio C.H., De Barra G.M. et al. // Multifunc. Polym. Comp. 2015. V. 7. P. 245.
- Linares A., Canalda J.C., Cagiao M.E. et al. // Macromolecules. 2008. V. 41. P. 7090.
- Fischer E., Sterzel H., Wegner G. // Colloid Polym. Sci. 1973. V. 990. P. 980.
- Müller A.J., Ávila M., Saenz G. et al. Poly(lactic acid) Science and Technology: Processing, Properties, Additives and Applications. 1st ed. Oxfordshire: Royal Soc. Chem., 2015.
- Жорина Л.А., Кузнецова О.П., Роговина С.З. и др. // Хим. физика. 2018. Т. 37. № 12. С. 74.
Supplementary files










