Influence of Impurities on the Stability of the Ti5Si3 and TiSi Phases
- Authors: Chumakova L.S.1, Bakulin A.V.1, Kulkova S.E.1,2
-
Affiliations:
- Institute of Strength Physics and Materials Science, Siberian Branch, Russian Academy of Sciences
- National Research Tomsk State University
- Issue: Vol 42, No 7 (2023)
- Pages: 78-85
- Section: XXXIV СИМПОЗИУМ “СОВРЕМЕННАЯ ХИМИЧЕСКАЯ ФИЗИКА” (СЕНТЯБРЬ 2022 г., ТУАПСЕ)
- URL: https://journals.rcsi.science/0207-401X/article/view/139962
- DOI: https://doi.org/10.31857/S0207401X23070051
- EDN: https://elibrary.ru/YBMCSE
- ID: 139962
Cite item
Full Text
Abstract
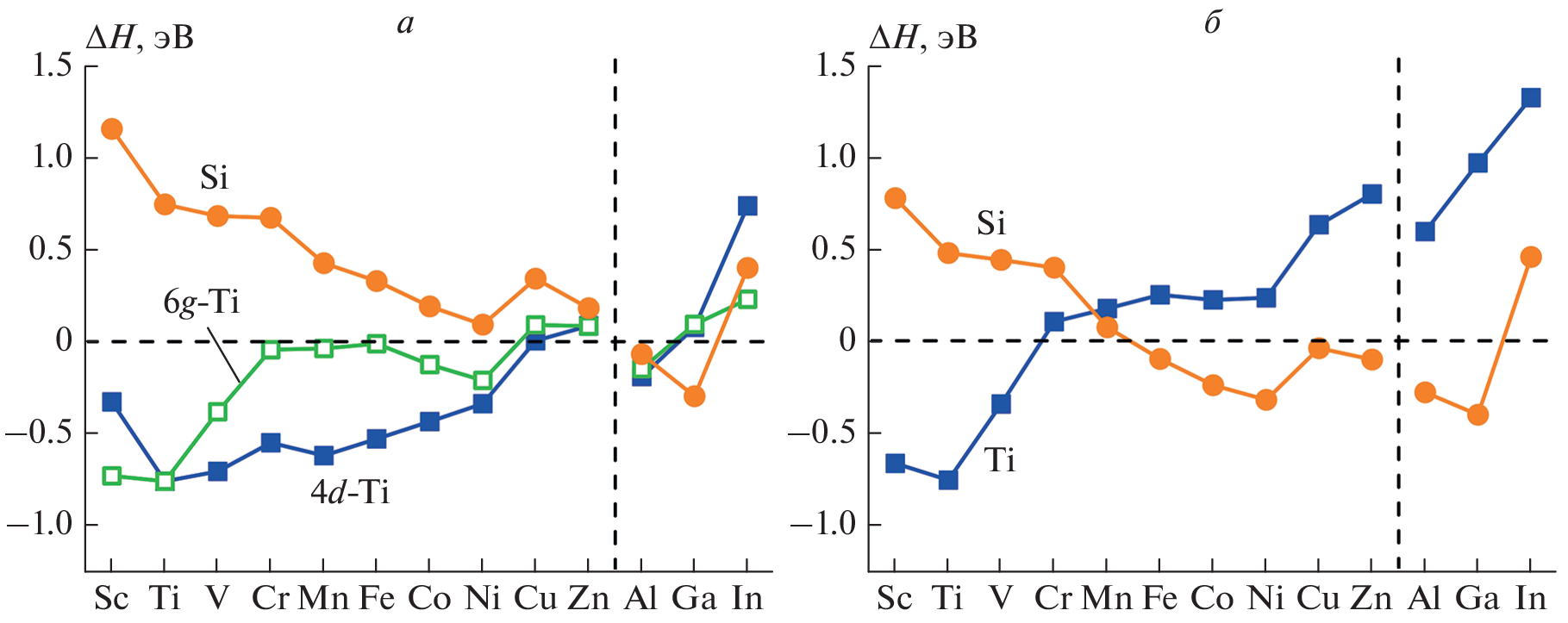
The total energies of a number of Ti–Si intermetallic phases are calculated by the projector augmented-wave method. It is shown that the formation enthalpies of Ti5Si3 and TiSi are almost equal. The peculiarities of the density of electronic states of the considered titanium silicides and its evolution with increasing silicon content are discussed. The formation energies of doped titanium silicides Ti5Si3 and TiSi are calculated depending on the position of the impurity on different sublattices. It is established that the elements of the 3d-period prefer to replace titanium in Ti5Si3, while the elements of the second half of the 3d‑period substitute silicon in TiSi. The effect of impurities on the relative stability of compounds is studied. It is shown that almost all the considered elements except Cu, Zn, Al, and Ga increase the stability of the Ti5Si3 phase with respect to TiSi. The obtained results agree with the available experimental data.
About the authors
L. S. Chumakova
Institute of Strength Physics and Materials Science, Siberian Branch, Russian Academy of Sciences
Email: bakulin@ispms.tsc.ru
Tomsk, Russia
A. V. Bakulin
Institute of Strength Physics and Materials Science, Siberian Branch, Russian Academy of Sciences
Email: bakulin@ispms.tsc.ru
Tomsk, Russia
S. E. Kulkova
Institute of Strength Physics and Materials Science, Siberian Branch, Russian Academy of Sciences;National Research Tomsk State University
Author for correspondence.
Email: bakulin@ispms.tsc.ru
Tomsk, Russia; Tomsk, Russia
References
- Gambino J.P., Colgan E.G. // Mater. Chem. Phys. 1998. V. 52. № 2. P. 99.
- Chen L.J. Silicide technology for integrated circuits. L.: IET, 2009.
- Takasugi T. // Mater. Res. Soc. Sympos. Proc. 1991. V. 213. P. 403.
- Grabke H.J., Meier G.H. // Oxid. Met. 1995. V. 44. P. 147.
- Meyer M.K., Akinc M. // J. Amer. Ceram. Soc. 1996. V. 79. № 4. P. 938.
- Li X.Y., Taniguchi S., Matsunaga Y. et al. // Intermetallics. 2003. V. 11. № 2. P. 143.
- Jiang H.R., Wang Z.L., Ma W.S. et al. // Trans. Nonferrous Met. Soc. China. 2008. V. 18. № 3. P. 512.
- Huang J., Zhao F., Cui X. et al. // Appl. Surf. Sci. 2022. V. 582. P. 152444.
- Massalski T.B. Binary alloy phase diagrams. Materials Park. V. 2. Ohio: ASM, 1986. P. 2054.
- Villars P., Calvert L.D. Pearsons handbook of crystallographic data for intermetallic phases. Metals Park, Ohio: ASM, 1985.
- Colinet C., Tedenac J.C. // Intermetallics. 2010. V. 18. № 8. P. 1444.
- Ekman M., Ozoliņš V. // Phys. Rev. B. 1997. V. 57. № 8. P. 4419.
- Colinet C., Wolf W., Podloucky R. et al. // Appl. Phys. Lett. 2005. V. 87. № 4. P. 041910.
- Shao G. // Acta Mater. 2005. V. 53. № 13. P. 3729.
- Wang T., Chen J.A., Ling X. et al. // Modern Phys. Lett. B. 2006. V. 20. № 7. P. 343.
- Robins D.A., Jenkins I. // Acta Met. 1955. V. 3. № 6. P. 598.
- Savin V.D. // Russ. J. Phys. Chem. 1973. V. 47. P. 1423.
- Golutvin Yu.M. // Russ. J. Phys. Chem. 1959. V. 33. P. 164.
- Маслов В.М., Неганов А.С., Боровинская И.П. и др. // Физика горения и взрыва. 1978. Т. 14. № 6. С. 73.
- Meschel S.V., Kleppa O.J. // J. Alloys Compd. 1998. V. 267. № 1. P. 128.
- Kematick R.J., Myers C.E. // Chem. Mater. 1996. V. 8. № 1. P. 287.
- Topor L., Kleppa O.J. // J. Met. Trans. A. 1985. V. 17. P. 1217.
- Williams J.J., Ye Y.Y., Kramer M.J. et al. // Intermetallics. 2000. V. 8. № 8. P. 937.
- Blöchl P.E. // Phys. Rev. B. 1994. V. 50. № 24. P. 17953.
- Kresse G., Joubert D. // Ibid. 1999. V. 59. № 3. P. 1758.
- Perdew J.P., Burke K., Ernzerhof M. // Phys. Rev. Lett. 1996. V. 77. № 18. P. 3865.
- Чумакова Л.С., Бакулин А.В., Кулькова С.Е. // ЖЭТФ. 2022. Т. 161. Вып. 6. С. 874.
- Manz T.A., Limas N.G. // RSC Adv. 2016. V. 6. P. 47 771.
- Limas N.G., Manz T.A. // RSC Adv. 2016. V. 6. P. 45 727.
- Бакулин А.В., Кулькова С.Е. // ЖЭТФ. 2018. Т. 154. Вып. 6 (12). С. 1136.
Supplementary files







