Structure of a Lean Laminar Hydrogen–Air Flame
- Authors: Tereza A.M.1, Agafonov G.L.1, Anderzhanov E.K.1, Betev A.S.1, Medvedev S.P.1, Khomik S.V.1, Cherepanova T.T.1
-
Affiliations:
- Semenov Federal Research Center for Chemical Physics, Russian Academy of Sciences
- Issue: Vol 42, No 8 (2023)
- Pages: 68-73
- Section: Combustion, explosion and shock waves
- URL: https://journals.rcsi.science/0207-401X/article/view/139950
- DOI: https://doi.org/10.31857/S0207401X23080113
- EDN: https://elibrary.ru/IHJBMJ
- ID: 139950
Cite item
Full Text
Abstract
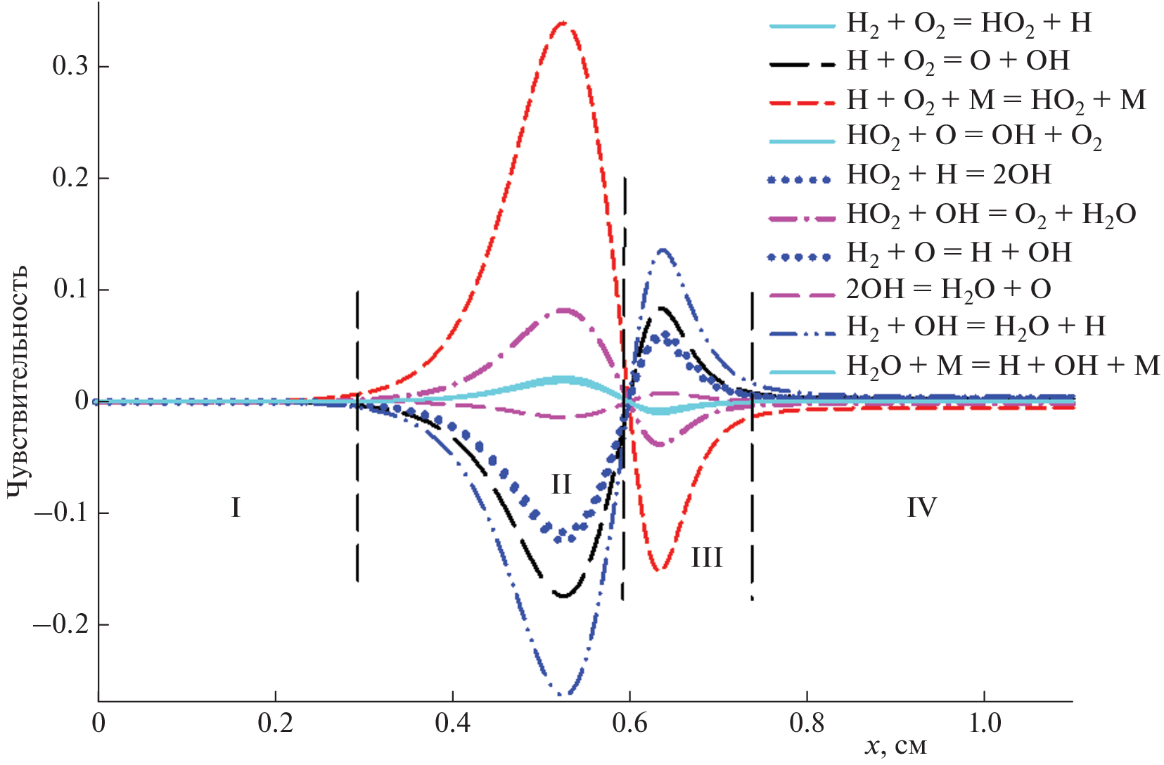
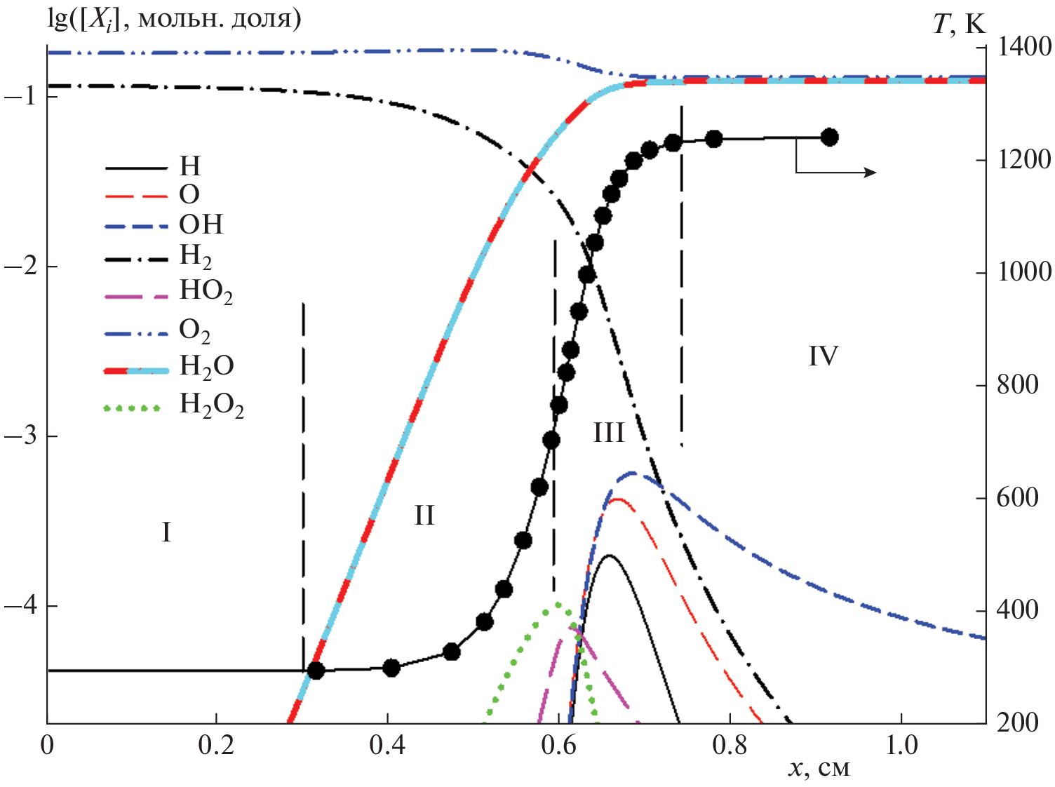
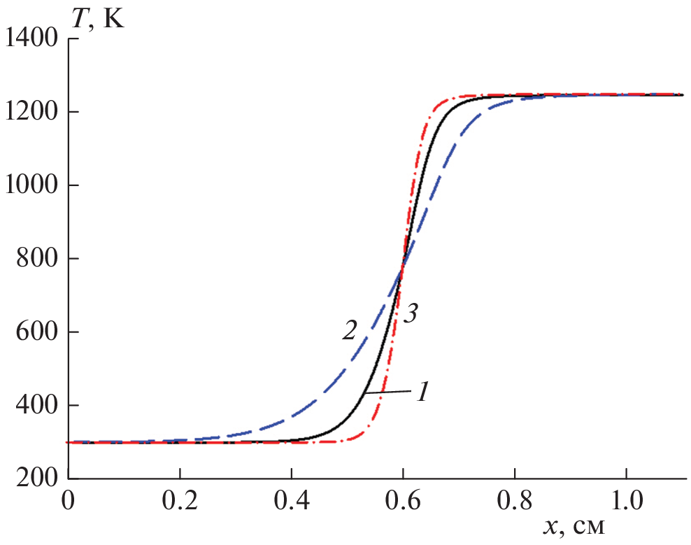
Numerical simulations of flame structure and laminar burning velocity SL are performed for a lean (12%) hydrogen–air mixture under standard conditions. An analysis of the concentration profiles of intermediate species shows that a change in the kinetic mechanism that controls heat release dynamics occurs with increasing temperature. Thus, heat release in the flame consists of two stages. In the region of maximum temperature gradient, the concentrations of H2O2 and HO2 reach their peak values. The subsequent decrease in H2O2 and HO2 concentrations is accompanied by a concurrent increase in H, O, and OH concentrations. Variation of the rate constants for the reactions responsible for heat release results in changes in both temperature gradient and the value of SL. The value of SL is most sensitive to the reaction in which molecular hydrogen combines with hydroxyl radical to produce water vapor.
About the authors
A. M. Tereza
Semenov Federal Research Center for Chemical Physics, Russian Academy of Sciences
Email: tereza@chph.ras.ru
Moscow, Russia
G. L. Agafonov
Semenov Federal Research Center for Chemical Physics, Russian Academy of Sciences
Email: tereza@chph.ras.ru
Moscow, Russia
E. K. Anderzhanov
Semenov Federal Research Center for Chemical Physics, Russian Academy of Sciences
Email: tereza@chph.ras.ru
Moscow, Russia
A. S. Betev
Semenov Federal Research Center for Chemical Physics, Russian Academy of Sciences
Email: tereza@chph.ras.ru
Moscow, Russia
S. P. Medvedev
Semenov Federal Research Center for Chemical Physics, Russian Academy of Sciences
Email: tereza@chph.ras.ru
Moscow, Russia
S. V. Khomik
Semenov Federal Research Center for Chemical Physics, Russian Academy of Sciences
Email: tereza@chph.ras.ru
Moscow, Russia
T. T. Cherepanova
Semenov Federal Research Center for Chemical Physics, Russian Academy of Sciences
Author for correspondence.
Email: tereza@chph.ras.ru
Moscow, Russia
References
- Щетинков Е.С. Физика горения газов. М.: Наука, 1965.
- Франк-Каменецкий Д.А. Диффузия и теплопередача в химической кинетике. М.: Наука, 1987.
- Заманский В.М., Борисов А.А. // Итоги науки и техники. Сер. “Кинетика и катализ”. Т. 19. М.: ВИНИТИ, 1989.
- Abagyan A.A., Adamov E.O., Burlakov E.V. // Proc. IAEA Conf. (Intern.). IAEA-J4-TC972. Vienna, Austria: Springer, 1996. P. 46.
- Saji G. // Nuclear Engineering and Design. 2016. V. 307 P. 64; https://doi.org/10.1016/j.nucengdes.2016.01.039
- Raman K.S. Laminar burning velocities of lean hydrogen–air mixtures. Graduate Aeronautical Laboratories. Report FM97-15. Pasadena, CA: California Institute of Technology, 1998.
- Шебеко Ю.Н., Шебеко А.Ю. // Пожарная безопасность. 2014. № 2. С. 106.
- Азатян В.В., Андрианова З.С., Иванова А.Н., Карнаух А.А., Павлов В.А. // ЖФХ. 2015. Т. 89. № 10. С. 1553.
- Yakovenko I.S., Ivanov M.F., Kiverin A.D, Melnikova K.S. // Intern. J. Hydrogen Energy. 2018. V. 43. P. 1894.
- Volodin V.V., Golub V.V., Kiverin A.D. et al. // Combust. Sci. Tech. 2021. V. 193. Issue. 2. P. 225; https://doi.org/10.1080/00102202.2020.1748606
- Коробейничев O.П., Шмаков А.Г., Рыбицкая И.В. и др. // Кинетика и катализ. 2009. Т. 50. № 2. С. 170.
- Sanchez A.L., Williams F.A. // Progr. Energy Combust. Sci. 2014. V. 41. P. 1.
- Азатян В.В. // Кинетика и катализ. 2020. Т. 61. № 3. С. 291.
- Яковенко И.С., Медведков И.С., Киверин А.Д. // Хим. физика. 2022. Т. 41. № 3. С. 1.
- Hussaini M.Y., Kumar A., Voigt R.G. Major research topics in combustion. N.Y.: Springer, 1992; https://doi.org/10.1007/978-1-4612-2884-4
- Bradley D., Lawes M., Liu K., Verhelst S., Woolley R. // Combust. and Flame. 2007. V. 149. Issue. 1–2. P. 162.
- Kuznetsov M., Czerniak M., Grune J., Jordan, T. // Proc. Conf. (Intern.) of Hydrogen Safety. Brussels, Belgium: Springer, 2013. P. 1; http://www.ichs2013.com/images/papers/231.pdf
- Gai G., Kudriakov S., Rogg B. et al. // Intern. J. Hydrogen Energy. 2019. V. 44 (31). P.17015; https://doi.org/10.1016/j.ijhydene.2019.04.225
- Alekseev V. PhD. Theses. Lund, Sweden: Lunds Univ., 2015.
- Linteris G.T., Babushok V. // Proc. Combust. Inst. 2009. V. 32. P. 2535.
- Герасимов И Е., Князьков Д.А., Шмаков А.Г. и др. // Физика горения и взрыва. 2011. Т. 47. № 1. С. 3.
- Азатян В.В., Сайкова Г.Р., Балаян Г.В., Пугачев Д.В. // ЖФХ. 2015. Т. 89. № 3. С. 385.
- Коробейничев О.П., Шмаков А.Г., Шварцберг В.М. и др. // Хим. физика. 2021. Т. 40. № 5. С. 22.
- Большова Т.А., Коробейничев О.П. // Физика горения и взрыва. 2006. Т. 42. № 5. С. 3.
- CHEMKIN-Pro 15112. CK-TUT-10112-1112-UG-1. San Diego: Reaction Design, 2011.
- Keromnes A., Metcalfe W.K., Heufer K.A. et al. // Combust. and Flame. 2013. V. 160. P. 995.
- Власов П.А., Смирнов В.Н., Тереза А.М. // Хим. физика. 2016. Т. 35. № 6. С. 35.
- Тереза А.М., Агафонов Г.Л., Андержанов Э.К. и др. // Хим. физика. 2022. Т. 41. № 8. С. 66.
- Goos E., Burcat A., Ruscic B. Rep. ANL 05/20, TAE 960. 2016; http://garfield.chem.elte.hu/Burcat/burcat. html
- Yakovenko I., Kiverin A., Melnikova K. // Fluids. 2021. V. 6. P. 21.
- Семёнов Н.Н. Цепные реакции. М.: Госхимтехиздат, 1934.
Supplementary files






