Synthesis and Properties of poly(p-xylylene)–Molybdenum Oxide Nanocomposites
- Authors: Nesmelov A.A.1, Demin V.A.1, Emelyanov A.V.1,2, Minnekhanov A.A.1, Trofimov A.D.1,2, Khramov E.V.1, Veligzhanin A.A.1, Streltsov D.R.1, Kondratev O.A.1, Bakirov A.V.1, Malakhov S.N.1, Zavyalov S.A.1, Chvalun S.N.1
-
Affiliations:
- National Research Center “Kurchatov Institute”
- Moscow Institute of Physics and Technology
- Issue: Vol 42, No 7 (2023)
- Pages: 50-58
- Section: XXXIV СИМПОЗИУМ “СОВРЕМЕННАЯ ХИМИЧЕСКАЯ ФИЗИКА” (СЕНТЯБРЬ 2022 г., ТУАПСЕ)
- URL: https://journals.rcsi.science/0207-401X/article/view/139946
- DOI: https://doi.org/10.31857/S0207401X23070142
- EDN: https://elibrary.ru/YFMJMW
- ID: 139946
Cite item
Full Text
Abstract
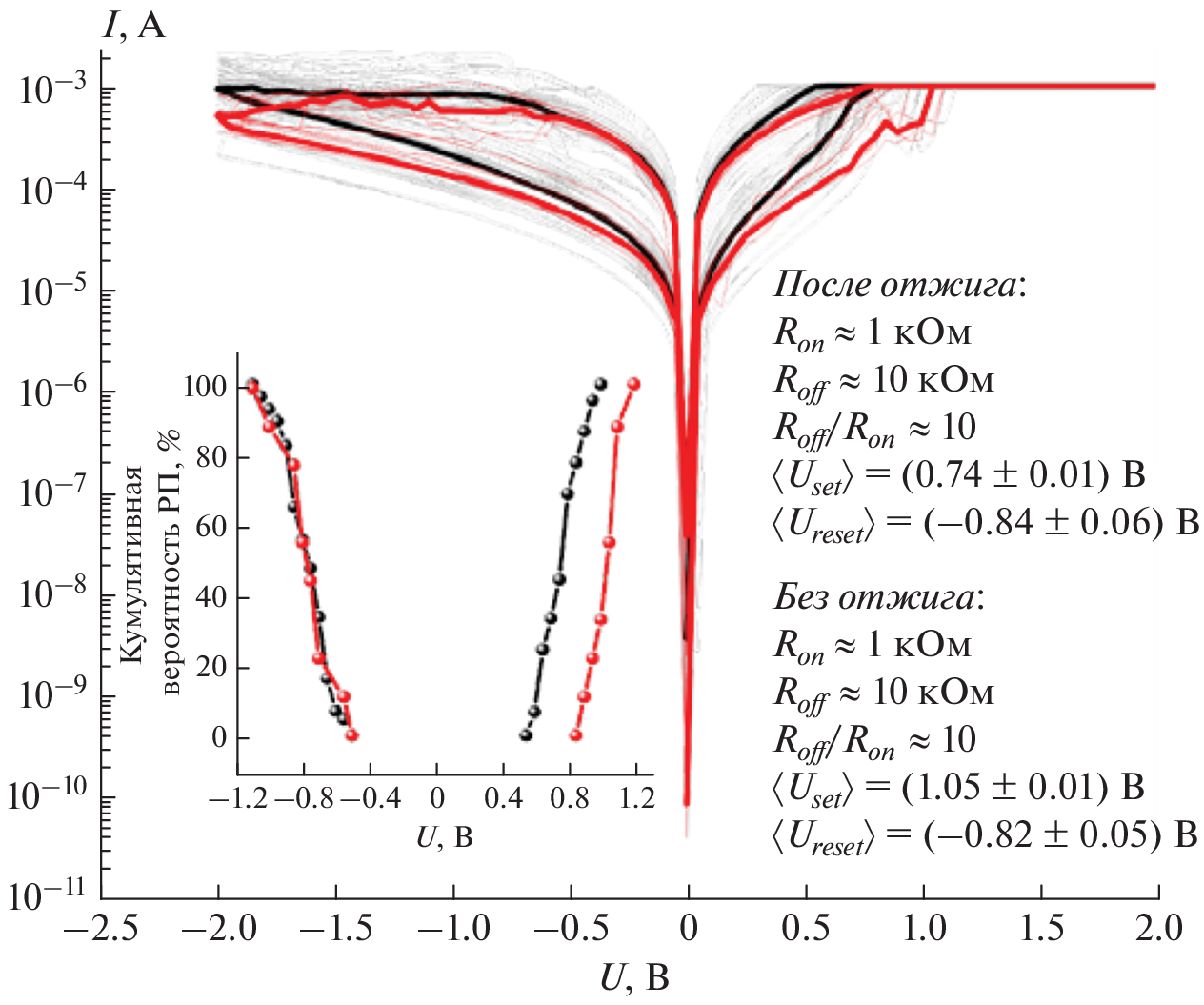
Poly(p-xylylene)–molybdenum oxide nanocomposite thin films of different thicknesses and inorganic filler content are synthesized by low-temperature vapor deposition polymerization. The structure of the nanocomposites and its evolution during thermal annealing is studied by wide angle X-ray scattering and X-ray absorption spectroscopy. It is found that the molybdenum oxide nanoparticles are amorphous in both the as-deposited and annealed composite films. The short-range order characteristic of orthorhombic molybdenum trioxide is preserved in the nanoparticles; however, a noticeable disordering of the structure together with a decrease in the effective oxidation state of molybdenum are revealed. Both an increase in the filler content and thermal annealing lead to a decrease in the bandgap of the composites, which is related to the increase in the nanoparticle size. It is shown that thermal annealing improves the stability of the resistive switching (RS) characteristics in memristors based on the synthesized nanocomposites, which creates an opportunity for the application of these materials as the active layer of memristive devices.
Keywords
About the authors
A. A. Nesmelov
National Research Center “Kurchatov Institute”
Email: aanesmelov@gmail.com
Moscow, Russia
V. A. Demin
National Research Center “Kurchatov Institute”
Email: aanesmelov@gmail.com
Moscow, Russia
A. V. Emelyanov
National Research Center “Kurchatov Institute”; Moscow Institute of Physics and Technology
Email: aanesmelov@gmail.com
Moscow, Russia; Dolgoprudny, Moscow oblast, Russia
A. A. Minnekhanov
National Research Center “Kurchatov Institute”
Email: aanesmelov@gmail.com
Moscow, Russia
A. D. Trofimov
National Research Center “Kurchatov Institute”; Moscow Institute of Physics and Technology
Email: aanesmelov@gmail.com
Moscow, Russia; Dolgoprudny, Moscow oblast, Russia
E. V. Khramov
National Research Center “Kurchatov Institute”
Email: aanesmelov@gmail.com
Moscow, Russia
A. A. Veligzhanin
National Research Center “Kurchatov Institute”
Email: aanesmelov@gmail.com
Moscow, Russia
D. R. Streltsov
National Research Center “Kurchatov Institute”
Email: aanesmelov@gmail.com
Moscow, Russia
O. A. Kondratev
National Research Center “Kurchatov Institute”
Email: aanesmelov@gmail.com
Moscow, Russia
A. V. Bakirov
National Research Center “Kurchatov Institute”
Email: aanesmelov@gmail.com
Moscow, Russia
S. N. Malakhov
National Research Center “Kurchatov Institute”
Email: aanesmelov@gmail.com
Moscow, Russia
S. A. Zavyalov
National Research Center “Kurchatov Institute”
Email: aanesmelov@gmail.com
Moscow, Russia
S. N. Chvalun
National Research Center “Kurchatov Institute”
Author for correspondence.
Email: aanesmelov@gmail.com
Moscow, Russia
References
- Wang Z., Wu H., Burr G. W. et al. // Nat. Rev. Mater. 2020. V. 5. № 3. P. 173.
- Berggren K., Xia Q., Likharev K. et al. // Nanotechnology. 2021. V. 32. № 1. P. 012002.
- Mikhaylov A., Pimashkin A., Pigareva Y. et al. // Front. Neurosci. 2020. V. 14. P. 1.
- Demin V.A., Emelyanov A.V., Lapkin D.A. et al. // Crystallogr. Reports. 2016. V. 61. № 6. P. 992.
- Yao P., Wu H., Gao B. et al. // Nature. 2020. V. 577. P. 641.
- Milano G., Pedretti G., Montano K. et al. // Nat. Mater. 2022. V. 21. P. 195.
- Emelyanov A.V., Nikiruy K.E., Serenko A.V. et al. // Nanotechnology. 2020. V. 31. № 4. P. 045201.
- Makarov V.A., Lobov S.A., Shchanikov S. et al. // Front. Comput. Neurosci. 2022. V. 16.
- Elliott S.R. // Intern. J. Appl. Glas. Sci. 2015. V. 6. № 1. P. 15.
- Vincent A.F., Larroque J., Locatelliet N. et al. // IEEE Trans. Biomed. Circuits Syst. 2015. V. 9. № 2. P. 166.
- Khakimov R.R., Chernikova A.G., Lebedinskii Y. et al. // ACS Appl. Electron. Mater. 2021. V. 3. № 10. P. 4317.
- Lapkin D.A., Korovin A.N., Malakhov S.N. et al. // Adv. Electron. Mater. 2020. V. 6. № 10. P. 1.
- Strukov D.B., Snider G.S., Stewart D.R. et al. // Nature. 2008. V. 453. № 7191. P. 80.
- Minnekhanov A.A., Shvetsov B.S., Martyshov M.M. et al. // Org. Electron. 2019. V. 74. P. 89.
- Banerjee W., Liu Q., Hwang H. // J. Appl. Phys. 2020. V. 127. № 5.
- Choi S., Tan S.H., Li Z. et al. // Nat. Mater. 2018. V. 17. № 4. P. 335.
- Martyshov M.N., Emelyanov A.V., Demin V.A. et al. // Phys. Rev. Appl. 2020. V. 14. № 3. P. 1.
- Matsukatova A.N., Emelyanov A.V., Kulagin V.A. et al. // Org. Electron. 2022. V. 102. P. 10645.
- Zeng T., Zou X., Wang Z. et al. // Small. 2021. V. 17. № 13. P. 2006662.
- Громов В.Ф., Иким М.И., Герасимов Г.Н. и др. // Хим. физика. 2021. Т. 40. № 12. С. 76.
- Иким М.И., Спиридонова Е.Ю., Белышева Т.В. и др. // Хим. физика. 2016. Т. 35. № 6. С. 90.
- Мацукатова А.Н., Емельянов А.В., Миннеханов А.А. и др. // Письма в ЖТФ. 2020. Т. 46. № 2. С. 25
- Matsukatova A.N., Emelyanov A.V., Minnekhanov A.A. et al. // Appl. Phys. Lett. 2020. V. 117. № 24. P. 243501.
- Minnekhanov A.A., Emelyanov A.V., Lapkin D.A. et al. // Sci. Rep. 2019. V. 9. № 1. P. 10800.
- Zavyalov S.A., Grigoriev E.I. Zavyalov A.S. et al. // Intern. J. Nanosci. 2005. V. 04. № 01. P. 149.
- Streltsov D.R., Mailyan K.A., Gusev A.V. et al. // Polymer. 2015. V. 71. P. 60.
- Nesmelov A.A., Oveshnikov L.N., Ozerin S.A. et al. // J. Phys. Chem. C. 2019. V. 123. № 16. P. 10517.
- Oveshnikov L.N., Zavyalov S.A., Trunkin I.N. et al. // Sci. Rep. 2021. V. 11. № 1. P. 16004.
- Yeh Y.S., James W.J., Yasuda H. // J. Polym. Sci., Part B: Polym. Phys. 1990. V. 28. № 4. P. 545.
- Pokhodnya K.I., Bonner M., Miller J.S. // Chem. Mater. 2004. V. 16. № 24. P. 5114.
- Hübers H.W., Schubert J., Krabbe A. et al. // Infrared Phys. Technol. 2001. V. 42. № 1. P. 41.
- Shvetsov B.S., Minnekhanov A.A., Emelyanov A.V. et al. // Nanotechnology. 2022. V. 33. № 25. P. 255201.
- Deb S.K., Bowden F.P. // Proc. Roy. Soc. London, Ser. A. 1968. V. 304. № 1477. P. 211.
- Xue Q., Wang Y.C., Wei X.H. // Appl. Surf. Sci. 2019. V. 479. P. 469.
- Трахтенберг Л.И., Герасимов Г.Н., Григорьев Е.И. // ЖФХ. 1999. Т. 73. № 2. С. 209
- Chernyshov A., Veligzhanin A., Zubavichus Y. // Nucl. Instr. Meth. Phys. Res. A. 2009. V. 603. P. 95.
- Ravel B. // J. Synchrotron. Rad. 2005. V. 12. P. 537.
- Суровой Э.П., Еремеева Г.О. // Неорган. материалы. 2013. Т. 49. № 5. С. 500.
- Tauc J. // Mater. Res. Bull. 1968. V. 3. P. 37.
- Ressler T., Wienold J., Jentoft R.E. et al. // J. Catal. 2002. V. 210. P. 67.
- Farges F., Siewert R., Brown G.E. et al. // Can. Mineral. 2006. V. 44. P. 731.
- Andersson G., Magneli A. // Acta Chem. Scand. 1950. V. 4. P. 793.
Supplementary files






