Investigation of Ionization Processes Before A Strong Shock Wave
- Authors: Kotov M.A.1,2, Kozlov P.V.2, Osipenko K.Y.1, Gerasimov G.Y.2, Levashov V.Y.3, Bykova N.G.2, Zabelinsky I.E.2
-
Affiliations:
- Ishlinsky Institute for Problems in Mechanics, Russian Academy of Sciences, Moscow, Russia
- Institute of Mechanics, Moscow State University, Moscow, Russia
- Institute of Mechanics of Lomonosov Moscow State University
- Issue: Vol 42, No 10 (2023)
- Pages: 42-49
- Section: Combustion, explosion and shock waves
- URL: https://journals.rcsi.science/0207-401X/article/view/139943
- DOI: https://doi.org/10.31857/S0207401X23100084
- EDN: https://elibrary.ru/PFXYKU
- ID: 139943
Cite item
Full Text
Abstract
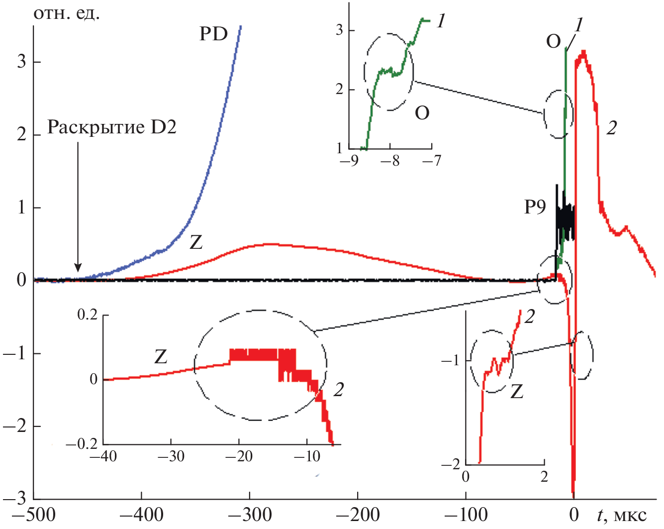
Using a double-diaphragm shock tube DDST-M of the Institute of Mechanics, Moscow State University, a series of probe measurements of the low-temperature plasma parameters ahead the front of an incident shock wave (SW) are carried out. Nitrogen, oxygen, air, and argon are used as the working gases. The results obtained make it possible to describe the processes of the photoelectric effect and photoionization of the gas particles due to the hard radiation of a shock-heated medium and to evaluate the effect of these processes on the change in the probe potential. The probe measurements are synchronized with the registration of the light flux, using an avalanche photodiode (PD) and a 9-frame K011 video camera located at the end of the shock tube. Data from the camera and piezoelectric sensors record the dynamics of the opening of the diaphragm and the process of the formation of an SW in the studied gas.
Keywords
About the authors
M. A. Kotov
Ishlinsky Institute for Problems in Mechanics, Russian Academy of Sciences, Moscow, Russia; Institute of Mechanics, Moscow State University, Moscow, Russia
Email: kotov@ipmnet.ru
Россия, Москва; Россия, Москва
P. V. Kozlov
Institute of Mechanics, Moscow State University, Moscow, Russia
Email: kotov@ipmnet.ru
Россия, Москва
K. Yu. Osipenko
Ishlinsky Institute for Problems in Mechanics, Russian Academy of Sciences, Moscow, Russia
Email: kotov@ipmnet.ru
Россия, Москва
G. Ya. Gerasimov
Institute of Mechanics, Moscow State University, Moscow, Russia
Email: kotov@ipmnet.ru
Россия, Москва
V. Yu. Levashov
Institute of Mechanics of Lomonosov Moscow State University
Email: levashovvy@imec.msu.ru
Moscow, Russia
N. G. Bykova
Institute of Mechanics, Moscow State University, Moscow, Russia
Email: kotov@ipmnet.ru
Россия, Москва
I. E. Zabelinsky
Institute of Mechanics, Moscow State University, Moscow, Russia
Author for correspondence.
Email: kotov@ipmnet.ru
Россия, Москва
References
- Kapper M.G., Cambier J.-L. // J. Appl. Phys. 2011. V. 109. № 113308.
- Суржиков С.Т. // Хим. физика. 2010. Т. 29. № 7. С. 48.
- Nomura S., Lemal A., Kawakami T., Fujita K. // AIAA Paper. № 2018-0741.
- Johnston C.O., Mazaheri A., Gnoffo P. et al. // AIAA Paper. № 2011-3145.
- Brandis A., Johnston C., Cruden B., Prabhu D., Bose D. // J. Thermophys. Heat Transf. 2015. V. 29. P. 209.
- Горелов В.А., Киреев А.Ю. // Физ.-хим. кинетика в газ. динамике. 2014. Т. 15. № 1. С. 1.
- Зельдович Я.Б., Райзер Ю.П. Физика ударных волн и высокотемпературных гидродинамических явлений. М.: Физматлит, 2008.
- Власов П.А., Смирнов В.Н., Тереза А.М. // Хим. физика. 2016. Т. 35. №. 6. С. 35.
- Weymann H.D. // Phys. Fluids. 1969. V. 12. P. 1193.
- Kim M., Gülhan A., Boyd I.D. // J. Thermophys. Heat Transf. 2012. V. 26. P. 244.
- Weymann H.D. // Phys. Fluids. 1960. V. 3. P. 545.
- Holmes L.B., Weymann H.D. // Phys. Fluids. 1969. V. 12. P. 1200.
- Горелов В.А., Кuльдюшова Л.А., Чернышев В.М. // Уч. записки ЦАГИ. 1977. Т. 8. № 6. С. 49.
- Nomura S., Kawakami T., Fujita K. // J. Thermophys. Heat Transf. 2021. V. 35. P. 518.
- Ступоченко Е.В., Лосев С.А., Осипов А.И. Релаксационные процессы в ударных волнах. М.: Наука, 1965.
- Demidov V.I., Ratynskaia S.V., Rypdal K. // Rev. Sci. Instrum. 2002. V. 73. P. 3409.
- Забелинский И.Е., Козлов П.В., Акимов Ю.В. и др. // Хим. физика. 2021. Т. 40. № 11. С. 22.
- Campbell M.F., Parise T., Tulgestke A.M., Spearrin R.M., Davidson D.F., Hanson R.K. // Shock Waves. 2015. V. 25 P. 651.
- Wilson R. // J. Appl. Phys. 1966. V. 37. P. 2261.
- Wilson R. // J. Appl. Phys. 1966. V. 37. P. 3161.
- Prutton M. Introduction to surface physics. Oxford: University Press, 1994.
- Рухляда Н.Я., Вишератин Р.К. // Вопр. ат. науки и техники. Сер.: “Ядерно-реакторные константы”. 2014. № 2. С. 95.
- Lemmon E., Huber M.L., McLinden M.O. NIST standard reference database 23: Reference fluid thermodynamic and transport properties-REFPROP. Ver. 8.0. Gaithersburg: NIST, 2007.
- Colonna G., Capitelli M., Laricchiuta A. Hypersonic meteoroid entry physics. IOP Publishing, 2019.
- Watabene K., Zelikoff M. // J. Opt. Soc. Amer. 1953. V. 43. P. 753.
- Thompson B.A., Harchek P., Reeves R.R., Jr. // J. Geophys. Res. 1963. V. 68. P. 6431.
- Макогон М.М. // Оптика атмосферы и океана. 2001. Т. 14. № 9. С. 764.
- Patterson E.M., Gillespie J.B. // Appl. Optics. 1989. V. 28. P. 425.
- Generalov N.A., Losev S.A. // J. Quant. Spectrosc. Radiat. Transf. 1966. V. 6. P. 101.
- Душин В.К., Забелинский И.Е., Шаталов О.П. // ЖПС. 1983. Т. 39. № 3. С. 440.
- Зуев А.П., Стариковский А.Ю. // ЖПС. 1990. Т. 52. № 3. С. 455.
- Забелинский И.Е., Быкова Н.Г., Ибрагимова Л.Б., Кузнецова Л.А., Шаталов О.П. // Физ.-хим. кинетика в газ. динамике. 2004. Т. 2. № 1. С. 1.
- Левашов В.Ю., Козлов П.В., Быкова Н.Г., Забелинский И.Е. // Хим. физика. 2021. Т. 40. № 1. С. 16.
- Fujita K., Matsuda A., Sato S., Abe T. // Rarefied Gas Dynamics: 22nd Intern. Sympos. IOP Publ., 2001. P. 780.
- Fujita K., Sato S., Abe T., Matsuda A. // AIAA Paper. № 2001-2765.
- Yamada G., Ago S., Kawazoe H., Obayashi S. // J. Fluid Sci. Technol. 2014. V. 9. № 5. P. 70.
Supplementary files










