Imitation of the Explosion Effects in a Shock Tube with a Focusing Element
- Authors: Medvedev S.P.1, Khomik S.V.1, Maximova O.G.1, Anderzhanov E.K.1, Ivantsov A.N.1, Mikhalkin V.N.1,2, Tereza A.M.1
-
Affiliations:
- Semenov Federal Research Center for Chemical Physics, Russian Academy of Sciences
- Academy of the State Fire Service, Ministry of Emergency Situations of Russia
- Issue: Vol 42, No 8 (2023)
- Pages: 56-60
- Section: Combustion, explosion and shock waves
- URL: https://journals.rcsi.science/0207-401X/article/view/139942
- DOI: https://doi.org/10.31857/S0207401X23080083
- EDN: https://elibrary.ru/IGUOVO
- ID: 139942
Cite item
Full Text
Abstract
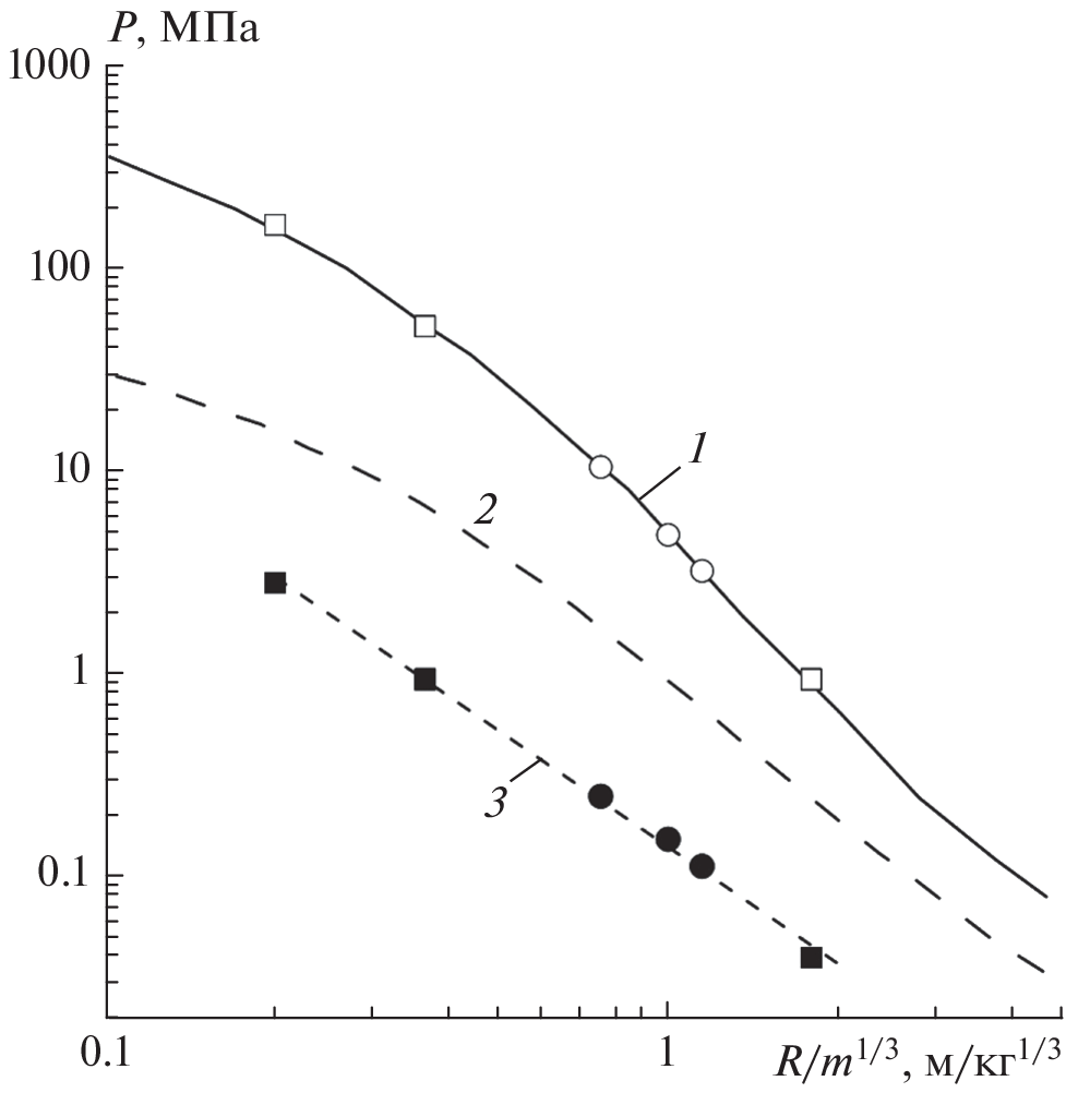
The results of the experiments performed in a cylindrical shock tube (ST) equipped with a focusing element in the form of a truncated cone at the end are analyzed. It is found that the maximum pressure at the top of the cone is greater by several factors than the pressure when the shock wave is reflected from a flat wall. Close agreement is obtained between the measured pressure profiles and the results of numerical simulation of shock wave focusing using the GasDynamicsTool (GDT) package in a three-dimensional formulation. It is shown that the dependence of pressure on time during focusing is similar to that observed in the case of a normal reflection of a shock wave generated by an explosion of a trinitrotoluene (TNT) charge. The results obtained and the developed technique make it possible to imitate the high-explosive action of an explosion without the use of condensed explosives.
Keywords
About the authors
S. P. Medvedev
Semenov Federal Research Center for Chemical Physics, Russian Academy of Sciences
Email: podwal_ac@yahoo.com
Moscow, Russia
S. V. Khomik
Semenov Federal Research Center for Chemical Physics, Russian Academy of Sciences
Email: podwal_ac@yahoo.com
Moscow, Russia
O. G. Maximova
Semenov Federal Research Center for Chemical Physics, Russian Academy of Sciences
Email: podwal_ac@yahoo.com
Moscow, Russia
E. K. Anderzhanov
Semenov Federal Research Center for Chemical Physics, Russian Academy of Sciences
Email: podwal_ac@yahoo.com
Moscow, Russia
A. N. Ivantsov
Semenov Federal Research Center for Chemical Physics, Russian Academy of Sciences
Email: podwal_ac@yahoo.com
Moscow, Russia
V. N. Mikhalkin
Semenov Federal Research Center for Chemical Physics, Russian Academy of Sciences;Academy of the State Fire Service, Ministry of Emergency Situations of Russia
Email: podwal_ac@yahoo.com
Moscow, Russia; Moscow, Russia
A. M. Tereza
Semenov Federal Research Center for Chemical Physics, Russian Academy of Sciences
Author for correspondence.
Email: podwal_ac@yahoo.com
Moscow, Russia
References
- Борисов А.А., Гельфанд Б.Е., Фролов С.М., Поленов А.Н., Цыганов С.А. // Физика горения и взрыва. 1986. № 4. С. 33.
- Медведев С.П., Иванцов А.Н., Михайлин А.И., Сильников М.В., Тереза А.М., Хомик С.В. // Хим. физика. 2020. Т. 39. № 8. С. 3.
- Хомик С.В., Гук И.В., Иванцов А.Н. и др. // Хим. физика. 2021. Т. 40. № 8. С. 63.
- Хомик С.В., Иванцов А.Н., Медведев С.П. и др. // Хим. физика. 2022. Т. 41. № 8. С. 88.
- Медведев С.П., Иванцов А.Н., Андержанов Э.К., Тереза А.М., Хомик С.В., Черепанова Т.Т. // Хим. физика. 2022. Т. 41. № 12. С. 56.
- Михалкин В.Н., Сумской С.И., Тереза А.М., Трошин К.Я., Хасаинов Б.А., Фролов С.М. // Хим. физика. 2022. Т. 41. № 8. С. 3.
- Сумской С.И., Софьин А.С., Зайнетдинов С.Х., Лисанов М.В., Агапов А.А. // Хим. физика. 2023. Т. 42. № 3. С. 63.
- Герасимов Г.Я., Козлов П.В., Забелинский И.Е., Быкова Н.Г., Левашов В.Ю. // Хим. физика. 2022. Т. 41. № 8. С. 17.
- Забелинский И.Е., Козлов П.В., Акимов Ю.В. и др. // Хим. физика. 2021. Т. 40. № 11. С. 22.
- Борисов А.А., Гельфанд Б.Е., Заманский В.М. и др. // Хим. физика. 1988. Т. 7. № 10. С. 1387.
- Gelfand B.E., Khomik S.V., Bartenev A.M. et al. // Shock Waves. 2000. V. 10. № 3. P. 197; https://doi.org/10.1007/s001930050007
- Smirnov N.N., Penyazkov O.G., Sevrouk K.L. et al. // Acta Astronaut. 2017. V. 135. P. 114; https://doi.org/10.1016/j.actaastro.2016.09.014
- Zibarov A.V. // ASME PVP. 1999. V. 397. № 1. P. 117.
- Медведев С.П., Максимова О.Г., Черепанова Т.Т., Агафонов Г.Л., Андержанов Э.К., Тереза А.М., Хомик С.В. // Хим. физика. 2022. Т. 41. № 11. С. 73.
- Kingery C.N., Bulmash G. Air blast parameters from TNT spherical air burst and hemispherical surface burst. U.S. Army Ballistic Research Laboratory: MD, Aberdeen Proving Ground. Tech. rep. ARBL-TR-02555, 1984.
- Hyde D. Microcomputer Programs CONWEP and FUNPRO, Applications of TM 5-855-1, 'Fundamentals of Protective Design for Conventional Weapons’. Department of the Army, Waterways Experiment Station, Corps of Engineers: MS, Vicksburg. Report AD-A 195 867, 1988.
Supplementary files





